Sign in to use this feature.

Years

Between: -

Subjects

remove_circle_outline
remove_circle_outline
remove_circle_outline
remove_circle_outline
remove_circle_outline
remove_circle_outline
remove_circle_outline
remove_circle_outline
remove_circle_outline

Journals

Article Types

Countries / Regions

Search Results (105)

Search Parameters:
Keywords = antimycotic activity

Order results
Result details
Results per page
Select all
Export citation of selected articles as:
19 pages, 2316 KB  
Article
1,2,3-Triazolo-Bridged Click Coupling of Pinane-Based Azidodiol Enantiomers with Pyrimidine- and Purine-Based Building Blocks: Synthesis, Antiproliferative, and Antimicrobial Evaluation
by Dima Depp, Kitti Tari, András Szekeres, Adriána Kovács, István Zupkó and Zsolt Szakonyi
Int. J. Mol. Sci. 2025, 26(23), 11705; https://doi.org/10.3390/ijms262311705 - 3 Dec 2025
Viewed by 1057
Abstract
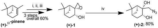
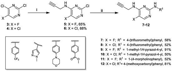
Key intermediate azidodiols were synthesized according to literature from commercially available (+)- and (−)-α-pinene in a four-step sequence, including epoxidation with mCPBA, allylic rearrangement, a second epoxidation and, finally, a regioselective azidolysis of the resulting epoxide by sodium azide, yielding the enantiomerically [...] Read more.
Key intermediate azidodiols were synthesized according to literature from commercially available (+)- and (−)-α-pinene in a four-step sequence, including epoxidation with mCPBA, allylic rearrangement, a second epoxidation and, finally, a regioselective azidolysis of the resulting epoxide by sodium azide, yielding the enantiomerically pure azidodiols. The pyrimidine-based alkyne building blocks were prepared from dichloropyrimidines following our method reported previously, while the purine-containing alkyne analogues were synthesized in a procedure of two or three steps. Click reactions were carried out in the presence of Cu(OAc)2 and sodium ascorbate. The obtained pinane-coupled 2,4-diaminopyrimidines were screened for antiproliferative activity by MTT assay on HeLa, MD231, SiHa, MCF-7, and A2780 human cancer cell lines compared with fibroblast cells (NIH/3T3), on Gram-positive and Gram-negative pathogenic bacteria, and two yeasts, and the SAR was explained in detail. The prepared compounds showed moderate antiproliferative activity. While the starting azidodiols (+)-2 and (−)-2 exhibited excellent and selective antibacterial activities against S. aureus with a moderate antimycotic effect on C. krusei, only the (−)-enantiomer was active against P. aeruginosa. In a similar manner, most pyrimidine and purine derivatives also expressed moderate antimycotic effect against C. krusei. One of the purine-based derivatives (−)-30 possessed remarkable and selective antibacterial effect against P. aeruginosa. Full article
(This article belongs to the Special Issue Drug Discovery: Design, Synthesis and Activity Evaluation)
Show Figures

Graphical abstract

22 pages, 2194 KB  
Article
On the Antimicrobial Potential of Asparagopsis armata’s Ethanol Extract: A New Multiple-Industry Bio-Product?
by Rafael Félix, Pedro Dias, Adriana P. Januário, Carina Félix, Andreu Blanco, Filipa Amaro, Paula Guedes de Pinho, Patrícia Valentão and Marco F. L. Lemos
Int. J. Mol. Sci. 2025, 26(23), 11358; https://doi.org/10.3390/ijms262311358 - 24 Nov 2025
Viewed by 526
Abstract
The identification and development of novel antimicrobials is a crucial challenge in the face of increasing antibiotic and antimycotic resistance. As such, there is growing interest in exploring the chemical diversity of natural sources, such as invasive seaweeds such as Asparagopsis armata. [...] Read more.
The identification and development of novel antimicrobials is a crucial challenge in the face of increasing antibiotic and antimycotic resistance. As such, there is growing interest in exploring the chemical diversity of natural sources, such as invasive seaweeds such as Asparagopsis armata. The valorization of such sources can further contribute to the development of bio-based industries, aligning with societal goals for environmental and economic sustainability. Therefore, a solid-liquid extraction method was performed using ethanol, and the obtained extract was studied for chemical composition elucidation, bioactivity, and toxicity evaluation. Analysis by GC-MS revealed some major chromatographic peaks, including floridoside (2-α-O-D-galactopyranosyl glycerol), glycerol, and oleamide. Also, several other smaller peaks were tentatively attributed to Low Molecular Weight Carbohydrate Derivatives, including isosaccharino-1,4-lactone, which had only been reported once in nature. The extract demonstrated significant antioxidant activity as measured by Ferric Reducing Antioxidant Potential and Oxygen Radical Absorption Capacity, but not by Lipid Peroxidation Inhibitory Potential assays, which is in line with its polar nature. The extract exhibited antimicrobial activity against various microorganisms, with a MIC of 2 mg/mL observed for Staphylococcus epidermidis, Vibrio parahaemolyticus, and the three yeast strains tested. Moreover, the extract inhibited the growth and phenotypic changes in filamentous fungi, which may result in reduced virulence. Specifically, the extract inhibited sporulation in Aspergillus fumigatus and orange pigmentation in Fusarium graminearum, possibly by a reduction in the production of aurofusarin, rubrofusarin, and mycotoxins. In vitro cell viability assays in 3T3, RAW264.7, and HaCaT demonstrated the extract was not cytotoxic or presented low cytotoxicity at concentrations up to 0.1 mg/mL, but a strong cytotoxic effect was observed at 1 mg/mL. At non-cytotoxic concentrations, the ethanol extract inhibited up to 48% of NO production in LPS-stimulated RAW264.7. This may indicate that anti-inflammatory activity may add to the antimicrobial activity in human and animal systemic and topical applications of the extract. In this work, new molecules were reported in A. armata, and the bioactivities reported were novel for this extract and algal species—especially through the choice of uncommon but very relevant pathogens to study. Our findings are a valuable contribution to addressing challenges in human and animal health, food and feed technology, as well as animal husbandry and agriculture. Full article
(This article belongs to the Special Issue Advances and Emerging Trends in Marine Natural Products)
Show Figures

Figure 1

19 pages, 2886 KB  
Article
Antimycotic Activity of Essential Oil of Origanum heracleoticum L. from Bulgaria Against Clinical Isolates of Candida spp.
by Yana Hristova, Ivan Iliev, Meri Hristamyan, Miroslava Gocheva, Lena Ilieva and Velizar Gochev
Appl. Sci. 2025, 15(21), 11672; https://doi.org/10.3390/app152111672 - 31 Oct 2025
Viewed by 1380
Abstract
The component composition of Bulgarian essential oil from Origanum heracleoticum L. was determined by gas chromatography and mass spectrometry analysis. Fifty-three different compounds were identified in the essential oil, with carvacrol (70.31–70.52%) and p-cymene (10.86–11.03%) determined to be the main components. The antimicrobial [...] Read more.
The component composition of Bulgarian essential oil from Origanum heracleoticum L. was determined by gas chromatography and mass spectrometry analysis. Fifty-three different compounds were identified in the essential oil, with carvacrol (70.31–70.52%) and p-cymene (10.86–11.03%) determined to be the main components. The antimicrobial activity of the essential oil was determined against 138 clinical isolates of four species of Candida spp., and it was found to exhibit high antimycotic activity (minimal inhibitory concentration (MIC) between 64 μg mL−1 and 128 μg mL−1) against both fluconazole-sensitive and fluconazole-resistant strains. It was found that Bulgarian essential oil from O. heracleoticum L. disrupts the normal permeability of the cell membrane and inhibits some of the main virulence factors of medically important fungi in the genus Candida by preventing germination, transition to the filamentous stage of growth and the production of hydrolytic enzymes. Full article
Show Figures

Figure 1

23 pages, 2833 KB  
Review
Staurosporine as an Antifungal Agent
by Filipa C. Santos, Joaquim T. Marquês, Eva N. Santos and Rodrigo F. M. de Almeida
Int. J. Mol. Sci. 2025, 26(19), 9683; https://doi.org/10.3390/ijms26199683 - 4 Oct 2025
Viewed by 968
Abstract
Staurosporine (STS) was discovered in 1977 by Omura and colleagues during a chemical screening for microbial alkaloids. It was the first indolocarbazole compound isolated from a soil-dwelling bacterium, Streptomyces staurosporeus. STS was also found to have antifungal activity, but its potent protein [...] Read more.
Staurosporine (STS) was discovered in 1977 by Omura and colleagues during a chemical screening for microbial alkaloids. It was the first indolocarbazole compound isolated from a soil-dwelling bacterium, Streptomyces staurosporeus. STS was also found to have antifungal activity, but its potent protein kinase (PK) inhibitory properties, perhaps the most extensively characterized biochemical feature of STS, were only revealed nearly a decade after its discovery. Thereafter, STS has been studied mainly for its anticancer potential with foreseen applications ranging from biomedical (e.g., antiparasitic) to agricultural (e.g., insecticidal). Interestingly, the recent discovery that STS induces apoptosis in the filamentous fungus Neurospora crassa renewed interest in this molecule as a scaffold for antifungal drug development. Studies in fungi and mammalian cell lines suggest that, in addition to PK inhibition, other modes of action are possible for STS. These may involve the targeting of membrane lipid domains and/or alterations of membrane biophysical properties. Here, the studies on the action of STS and its natural and synthetic derivatives against diverse fungal species, since its discovery to the present day, are critically reviewed and discussed with the aim of highlighting their advantages, limitations to be overcome, conceivable mechanisms of action, and potential as antifungal chemotherapeutic agents. Full article
(This article belongs to the Section Molecular Microbiology)
Show Figures

Graphical abstract

20 pages, 970 KB  
Article
Bioactive Properties of a Serine Protease Inhibitor Purified from Vicia ervilia Seeds
by Radoslav Abrashev, Ekaterina Krumova, Maria Angelova, Jeny Miteva-Staleva, Vladislava Dishliyska, Nikola Ralchev, Zornitsa Stoyanova, Rossitza Rodeva and Lyudmila Simova-Stoilova
Sci 2025, 7(3), 129; https://doi.org/10.3390/sci7030129 - 10 Sep 2025
Viewed by 1001
Abstract
Legumes contain variable amounts of bioactive substances, including protease inhibitors, which have a protective role against herbivorous insects and bacterial, fungal, and viral pathogens. However, their potential for application in agricultural and medicinal practices requires additional investigation. Bitter vetch (Vicia ervilia (L.) [...] Read more.
Legumes contain variable amounts of bioactive substances, including protease inhibitors, which have a protective role against herbivorous insects and bacterial, fungal, and viral pathogens. However, their potential for application in agricultural and medicinal practices requires additional investigation. Bitter vetch (Vicia ervilia (L.) Willd.) is an ancient crop that is now underutilized, and its potential for various applications has recently been reevaluated. In this study, we report the purification, characterization, and bioactive properties of a protease inhibitor against trypsin/chymotrypsin-type proteases (vPI) from bitter vetch seeds. The inhibitor was purified by extraction under acidic conditions, ammonium sulfate fractionation, and size-exclusion chromatography. Its inhibitory specificity, thermostability, pH stability, and antioxidant and antimycotic activity against Alternaria alternata, Alternaria solani, Aspergillus fumigatus, Aspergillus niger, Candida albicans, Fusarium solani, Mucor michei, Penicillium griseofulvum, and Rhizopus oryzae were evaluated. Purified vPI presented superoxide anion scavenging power and antifungal activity in response to all tested strains except M. michei. It had the strongest effect on F.solani and A. solani, and a moderate effect on P. griseofulvum and C. albicans. The treatment of A. alternata, R. oryzae, A. fumigatus, and A. niger demonstrated high efficacy within the initial 24h but declined thereafter. The usefulness and limitations of the vPI application in practice are discussed. Full article
(This article belongs to the Section Biology Research and Life Sciences)
Show Figures

Figure 1

18 pages, 1812 KB  
Review
Nanocarriers for Medical Ozone Delivery: A New Therapeutic Strategy
by Manuela Malatesta and Flavia Carton
Nanomaterials 2025, 15(15), 1188; https://doi.org/10.3390/nano15151188 - 3 Aug 2025
Viewed by 1285
Abstract
Ozone (O3) occurs in nature as a chemical compound made of three oxygen atoms. It is an unstable, highly oxidative gas that rapidly decomposes into oxygen. The therapeutic use of O3 dates back to the beginning of the 20th century [...] Read more.
Ozone (O3) occurs in nature as a chemical compound made of three oxygen atoms. It is an unstable, highly oxidative gas that rapidly decomposes into oxygen. The therapeutic use of O3 dates back to the beginning of the 20th century and is currently based on the application of low doses, inducing a moderate oxidative stress that stimulates the antioxidant cellular defenses without causing cell damage. Low O3 doses also induce anti-inflammatory and regenerative effects, and their anticancer potential is under investigation. In addition, the oxidative properties of O3 make it an excellent antibacterial, antimycotic, and antiviral agent. Thanks to these properties, O3 is currently widely used in several medical fields. However, its chemical instability represents an application limit, and ozonated oil is the only stabilized form of medical O3. In recent years, novel O3 formulations have been proposed for their sustained and more efficient administration, based on nanotechnology. This review offers an overview of the nanocarriers designed for the delivery of medical O3, and of their therapeutic applications. The reviewed articles demonstrate that research is active and productive, though it is a rather new entry in the nanotechnological field. Liposomes, nanobubbles, nanoconstructed hydrogels, polymeric nanoparticles, and niosomes were designed to deliver O3 and have been proven to exert antiseptic, anticancer, and pro-regenerative effects when administered in vitro and in vivo. Improving the therapeutic administration of O3 through nanocarriers is a just-started challenge, and multiple prospects may be foreseen. Full article
(This article belongs to the Section Biology and Medicines)
Show Figures

Graphical abstract

20 pages, 1262 KB  
Article
Physicochemical and Biological Properties of Menthol and Thymol-Based Natural Deep Eutectic Solvents
by Martina Bagović Kolić, Martina Železnjak, Ksenija Markov, Višnja Gaurina Srček, Marina Cvjetko Bubalo, Kristina Radošević and Ivana Radojčić Redovniković
Molecules 2025, 30(8), 1713; https://doi.org/10.3390/molecules30081713 - 11 Apr 2025
Cited by 8 | Viewed by 3834
Abstract
Seven hydrophobic deep eutectic solvents (hDESs) were characterised to evaluate their potential applicability in different industries and their environmental impact. Standard physicochemical properties were determined, yielding polarity and density values that were slightly higher for thymol-based hDESs than menthol-based ones, whereas for viscosity, [...] Read more.
Seven hydrophobic deep eutectic solvents (hDESs) were characterised to evaluate their potential applicability in different industries and their environmental impact. Standard physicochemical properties were determined, yielding polarity and density values that were slightly higher for thymol-based hDESs than menthol-based ones, whereas for viscosity, the trend was opposite. Regarding biologically relevant activities, the antioxidative capacity and antimicrobial activity of hDESs were determined. Thymol-based hDESs are more potent as potential antioxidants, especially the one with coumarin as a hydrogen bond acceptor, which had the highest Oxygen Radical Absorbance Capacity (ORAC) value. Antimicrobial activity was assessed on four bacterial strains and one yeast strain. Calculated minimal inhibitory concentrations (MICs) showed that all hDESs possess this activity, and even the antimycotic effect against C. albicans was observed. Furthermore, to ensure the safety of these solvents for human use, in vitro cytocompatibility was determined. hDESs were tested on three human cell lines (HaCaT, CaCo-2, and HeLa), with no cytotoxic effect observed up to 1000 mg L−1. Finally, the environmental impact by the phytotoxicity test and in vitro antioxidative assay on wheat was determined for three selected hDESs, which were found to be slightly toxic, with different effects on plant defence mechanisms against induced antioxidative stress. Overall, the tested terpene-based hDESs demonstrate potential as alternative solvents for various industries, including food production, cosmetics, and pharmaceuticals, with thymol-based variants exhibiting a slight advantage in relation to the parameters evaluated in this study. Full article
Show Figures

Graphical abstract

18 pages, 1948 KB  
Article
Synthesis and Biological Activity of Glycosyl Thiazolyl Disulfides Based on Thiacarpine, an Analogue of the Cytotoxic Alkaloid Polycarpine from the Ascidian Polycarpa aurata
by Dmitry N. Pelageev, Yuri E. Sabutski, Svetlana M. Kovach, Nadezhda N. Balaneva, Ekaterina S. Menchinskaya, Ekaterina A. Chingizova, Anna L. Burylova and Victor Ph. Anufriev
Mar. Drugs 2025, 23(3), 117; https://doi.org/10.3390/md23030117 - 9 Mar 2025
Viewed by 1630
Abstract
Polycarpine, a diimidazolyl disulfan alkaloid isolated from the ascidian Polycarpa aurata, showed high cytotoxic activity in vitro. However, in vivo experiments have shown that polycarpine has a high acute toxicity. At the same time, its synthetic thiazolyl analog, thiacarpine, showed less acute [...] Read more.
Polycarpine, a diimidazolyl disulfan alkaloid isolated from the ascidian Polycarpa aurata, showed high cytotoxic activity in vitro. However, in vivo experiments have shown that polycarpine has a high acute toxicity. At the same time, its synthetic thiazolyl analog, thiacarpine, showed less acute toxicity and had a greater therapeutic index, which makes its derivatives promising for further drug development. We assume that due to the presence of a disulfide bond in the molecules of polycarpine and thiacarpine and the possibility of its reduction in a living cell, the mercapto derivatives formed are responsible for the high activity of the original compounds. Based on this assumption, and to increase the selectivity of action, glycosyl disulfide conjugates of thiacarpine derivatives with thioglucose and thioxylose were synthesized and screened for their cytotoxic and antimicrobial activities. The target compounds did not show hemolytic activity at concentrations of up to 25 μM. Some of them exhibited moderate cytotoxic activity, blocked colony growth and migration of HeLa tumor cells, high antimicrobial activity, and inhibited biofilm formation comparable to or higher than that of a standard antibiotic (gentamicin) and antimycotic (nitrofungin). Full article
Show Figures

Graphical abstract

14 pages, 10702 KB  
Article
Antimicrobial and Antiherpetic Properties of Nanoencapsulated Hypericum perforatum Extract
by Yoana Sotirova, Nadezhda Ivanova, Neli Ermenlieva, Neli Vilhelmova-Ilieva, Lora Simeonova, Miroslav Metodiev, Viliana Gugleva and Velichka Andonova
Pharmaceuticals 2025, 18(3), 366; https://doi.org/10.3390/ph18030366 - 4 Mar 2025
Cited by 3 | Viewed by 2391
Abstract
Background/Objectives: This study aims to gain insights into the antimicrobial and antiherpetic activity of hyperforin-rich Hypericum perforatum L. (HP) extract using nanostructured lipid carriers (NLCs) as delivery platforms. Methods: Two established NLC specimens, comprising glyceryl behenate and almond oil or borage oil, [...] Read more.
Background/Objectives: This study aims to gain insights into the antimicrobial and antiherpetic activity of hyperforin-rich Hypericum perforatum L. (HP) extract using nanostructured lipid carriers (NLCs) as delivery platforms. Methods: Two established NLC specimens, comprising glyceryl behenate and almond oil or borage oil, and their extract-loaded counterparts (HP-NLCs) were utilized. Their minimal bactericidal/fungicidal concentrations (MBC; MFC) were investigated against Escherichia coli ATCC 25922, Staphylococcus aureus ATCC 25923, Pseudomonas aeruginosa ATCC 10145, Klebsiella pneumoniae ATCC 10031, and Candida albicans ATCC 10231. The anti-herpesvirus (HSV-1) potential was evaluated concerning antiviral and virucidal activity and impact on viral adsorption. Results: The borage oil-based extract-loaded nanodispersion (HP-NLC2) exhibited pronounced microbicidal activity against S. aureus (MBC 6.3 mg/mL), K. pneumoniae (MBC 97.7 µg/mL), and C. albicans (MFC < 48.8 µg/mL), unlike the almond oil-containing sample (HP-NLC1), which showed only weak inhibition of the fungal growth. HP-NLC2 was found to be less cytotoxic and to suppress HSV-1 replication slightly more than HP-NLC1, but generally, the effects were weak. Neither the empty lipid nanoparticles nor the HP extract-loaded carriers expressed activity against E. coli, P. aeruginosa, the HSV-1 extracellular virions, or viral adhesion. Conclusions: It could be concluded that both HP-NLC samples revealed only minor antiherpetic potential of the hyperforin-rich extract, but HP-NLC2 demonstrated significant antibacterial and antimycotic activity. Therefore, the latter was featured as a more convenient HP-carrier system for nano-designed dermal pharmaceutical formulations. Such a thorough investigation of hyperforin-determined anti-HSV-1 effects and antibacterial and antimycotic properties, being the first of its kind, contributes to the fundamental knowledge of HP and reveals new perspectives for the utilization, limitations, and therapeutic designation of its non-polar components. Full article
Show Figures

Graphical abstract

19 pages, 26559 KB  
Article
Effects of the Tobacco Defensin NaD1 Against Susceptible and Resistant Strains of Candida albicans
by Olga V. Shevchenko, Alexander D. Voropaev, Ivan V. Bogdanov, Tatiana V. Ovchinnikova and Ekaterina I. Finkina
Pathogens 2024, 13(12), 1092; https://doi.org/10.3390/pathogens13121092 - 10 Dec 2024
Cited by 3 | Viewed by 1804
Abstract
Today, Candida albicans is still the most common cause of both local and life-threatening systemic candidiasis. The spread of resistant fungal strains has resulted in an urgent need to search for new promising antimycotics. Here, we investigated the antifungal action of the tobacco [...] Read more.
Today, Candida albicans is still the most common cause of both local and life-threatening systemic candidiasis. The spread of resistant fungal strains has resulted in an urgent need to search for new promising antimycotics. Here, we investigated the antifungal action of the tobacco defensin NaD1 against susceptible and resistant to azoles and echinocandins strains of C. albicans. We demonstrated that NaD1 was equally effective and fungicidal against all tested strains. The MIC and MFC values were 6.25 and 12.5 µM, respectively. We showed for the first time that NaD1 could act synergistically not only with caspofungin but also with human host defense antimicrobial peptides cathelicidin LL-37 and β-defensin-2 (HBD2) against susceptible and resistant fungal strains. Using flow cytometry, we demonstrated that NaD1 in combinations with LL-37 or HBD2 can reinforce each other by enhancing membrane disruption. Using the Caco-2 cell monolayer model, we demonstrated that NaD1 impaired the adhesion of C. albicans cells to the human epithelium. Moreover, NaD1 inhibited the formation of fungal biofilms in Sabouraud broth and less markedly in nutrient-rich RPMI-1640 medium, and enhanced the antibiofilm activity of caspofungin. Thus, we hypothesized that NaD1 might affect the development of candidiasis in vivo, including that caused by resistant fungal strains. Full article
(This article belongs to the Special Issue Fighting Pathogens with Natural Antimicrobials)
Show Figures

Figure 1

15 pages, 5616 KB  
Article
Biological Potential of Asphodelus microcarpus Extracts: α-Glucosidase and Antibiofilm Activities In Vitro
by Sonia Floris, Francesca Pintus, Antonella Fais, Benedetta Era, Nicola Raho, Chiara Siguri, Germano Orrù, Sara Fais, Carlo Ignazio Giovanni Tuberoso, Stefania Olla and Amalia Di Petrillo
Molecules 2024, 29(21), 5063; https://doi.org/10.3390/molecules29215063 - 26 Oct 2024
Cited by 2 | Viewed by 2447
Abstract
Type 2 diabetes (T2D), characterized by insulin resistance and β-cell dysfunction, requires continuous advancements in management strategies, particularly in controlling postprandial hyperglycemia to prevent complications. Current antidiabetics, which have α-amylase and α-glucosidase inhibitory activities, have side effects, prompting the search for better alternatives. [...] Read more.
Type 2 diabetes (T2D), characterized by insulin resistance and β-cell dysfunction, requires continuous advancements in management strategies, particularly in controlling postprandial hyperglycemia to prevent complications. Current antidiabetics, which have α-amylase and α-glucosidase inhibitory activities, have side effects, prompting the search for better alternatives. In addition, diabetes patients are particularly vulnerable to yeast infections because an unusual sugar concentration promotes the growth of Candida spp. in areas like the mouth and genitalia. Asphodelus microcarpus contains bioactive flavonoids with potential enzyme inhibitory properties. This study investigates α-amylase and α-glucosidase inhibitory activities and antioxidant and antimycotic capacity of ethanolic extracts from different parts of A. microcarpus. Results show that extracts significantly inhibit α-glucosidase, with the IC50 value being up to 25 times higher than for acarbose, while exerting low α-amylase activity. The extracts also demonstrated strong antioxidant properties and low cytotoxicity. The presence of phenolic compounds is likely responsible for the observed biological activities. Molecular docking analysis of 11 selected compounds identified emodin and luteolin as significant inhibitors of α-glucosidase. Additionally, the extracts demonstrated significant antibiofilm action against an MDR strain of Candida albicans. These findings suggest that A. microcarpus is a promising source of natural compounds for T2D management. Full article
(This article belongs to the Special Issue Research on Chemical Composition and Activity of Natural Products)
Show Figures

Figure 1

20 pages, 3892 KB  
Article
Exploring the Antifungal Effectiveness of a Topical Innovative Formulation Containing Voriconazole Combined with Pinus sylvestris L. Essential Oil for Onychomycosis
by Safaa Halool Mohammed Al-Suwaytee, Olfa Ben Hadj Ayed, Raja Chaâbane-Banaoues, Tahsine Kosksi, Maytham Razaq Shleghm, Leila Chekir-Ghedira, Hamouda Babba, Souad Sfar and Mohamed Ali Lassoued
Colloids Interfaces 2024, 8(5), 56; https://doi.org/10.3390/colloids8050056 - 17 Oct 2024
Cited by 6 | Viewed by 3752
Abstract
(1) Background: The present study aimed to assess the antifungal effectiveness of a topical innovative formulation containing the association of an antifungal agent, voriconazole (VCZ), and the essential oil of Pinus sylvestris L. (PSEO). (2) Methods: Pseudo-ternary phase diagram and D-optimal mixture design [...] Read more.
(1) Background: The present study aimed to assess the antifungal effectiveness of a topical innovative formulation containing the association of an antifungal agent, voriconazole (VCZ), and the essential oil of Pinus sylvestris L. (PSEO). (2) Methods: Pseudo-ternary phase diagram and D-optimal mixture design approaches were applied for the development and the optimization of the o/w nanoemulsion. The optimized formulation (NE) was subjected to physicochemical characterization and to physical stability studies. In vitro permeation studies were carried out using the Franz cell diffusion system. The antimycotic efficacy against Microsporum canis was carried out in vitro. (3) Results: Optimal nanoemulsion showed great physical stability and was characterized by a small droplet size (19.015 nm ± 0.110 nm), a PDI of 0.146 ± 0.011, a zeta potential of −16.067 mV ± 1.833 mV, a percentage of transmittance of 95.352% ± 0.175%, and a pH of 5.64 ± 0.03. Furthermore, it exhibited a significant enhancement in apparent permeability coefficient (p < 0.05) compared to the VCZ free drug. Finally, NE presented the greatest antifungal activity against Microsporum canis in comparison with VCZ and PSEO tested alone. (4) Conclusions: These promising results suggest that this topical innovative formulation could be a good candidate to treat onychomycosis. Further ex vivo and clinical investigations are needed to support these findings. Full article
Show Figures

Figure 1

22 pages, 1013 KB  
Review
Ergosterol Biosynthesis and Regulation Impact the Antifungal Resistance and Virulence of Candida spp.
by Daniel Eliaš, Nora Tóth Hervay and Yvetta Gbelská
Stresses 2024, 4(4), 641-662; https://doi.org/10.3390/stresses4040041 - 2 Oct 2024
Cited by 23 | Viewed by 12694
Abstract
Ergosterol is a key fungal sterol that is mainly found in the plasma membrane and is responsible for the proper membrane structure, rigidity, permeability and activity of membrane proteins. Ergosterol plays a crucial role in the ability of fungi to adapt to environmental [...] Read more.
Ergosterol is a key fungal sterol that is mainly found in the plasma membrane and is responsible for the proper membrane structure, rigidity, permeability and activity of membrane proteins. Ergosterol plays a crucial role in the ability of fungi to adapt to environmental stresses. The biosynthesis of ergosterol is also intimately connected with the antifungal resistance and virulence of pathogenic fungi. The most common etiological agents of life-threatening fungal infections are yeasts belonging to the genus Candida. The antifungal agents mostly used to treat Candida spp. infections are azoles, which act as competitive inhibitors of sterol demethylase, a key enzyme in the fungal ergosterol biosynthetic pathway. Although most studies on ergosterol biosynthesis, its regulation and the uptake of sterols are from the baker’s yeast Saccharomyces cerevisiae, the study of ergosterol biosynthesis and its relationship to antifungal drug resistance and virulence in pathogenic fungi is of utmost importance. The increasing antifungal drug resistance of Candida spp. and the limited armamentarium of antimycotics pose a challenge in the development of new therapeutic approaches. This review summarizes the available data on ergosterol biosynthesis and related phenomena in Candida albicans and non-albicans Candida species (Candida glabrata, Candida parapsilosis, Candida tropicalis and Candida auris) with special emphasis on C. albicans and C. glabrata as the most common etiological agents of systemic candidiasis. Full article
(This article belongs to the Collection Feature Papers in Plant and Photoautotrophic Stresses)
Show Figures

Figure 1

22 pages, 940 KB  
Review
Efficacy of Curcumin-Mediated Antimicrobial Photodynamic Therapy on Candida spp.—A Systematic Review
by Magdalena Kubizna, Grzegorz Dawiec and Rafał Wiench
Int. J. Mol. Sci. 2024, 25(15), 8136; https://doi.org/10.3390/ijms25158136 - 26 Jul 2024
Cited by 17 | Viewed by 5306
Abstract
Oral candidiasis is a common problem among immunocompetent patients. The frequent resistance of Candida strains to popular antimycotics makes it necessary to look for alternative methods of treatment. The authors conducted a systematic review following the PRISMA 2020 guidelines. The objective of this [...] Read more.
Oral candidiasis is a common problem among immunocompetent patients. The frequent resistance of Candida strains to popular antimycotics makes it necessary to look for alternative methods of treatment. The authors conducted a systematic review following the PRISMA 2020 guidelines. The objective of this review was to determine if curcumin-mediated blue light could be considered as an alternative treatment for oral candidiasis. PubMed, Google Scholar, and Cochrane Library databases were searched using a combination of the following keywords: (Candida OR candidiasis oral OR candidiasis oral OR denture stomatitis) AND (curcumin OR photodynamic therapy OR apt OR photodynamic antimicrobial chemotherapy OR PACT OR photodynamic inactivation OR PDI). The review included in vitro laboratory studies with Candida spp., in vivo animal studies, and randomized control trials (RCTs) involving patients with oral candidiasis or prosthetic stomatitis, published only in English. The method of elimination of Candida species in the studies was curcumin-mediated aPDT. A total of 757 studies were identified. Following the analysis of the titles and abstracts of the studies, only 42 studies were selected for in-depth screening, after which 26 were included in this study. All studies evaluated the antifungal efficacy of curcumin-mediated aPDT against C. albicans and non-albicans Candida. In studies conducted with planktonic cells solutions, seven studies demonstrated complete elimination of Candida spp. cells. The remaining studies demonstrated only partial elimination. In all cases, experiments on single-species yeast biofilms demonstrated partial, statistically significant inhibition of cell growth and reduction in biofilm mass. In vivo, curcumin-mediated aPDT has shown good antifungal activity against oral candidiasis also in an animal model. However, its clinical efficacy as a potent therapeutic strategy for oral candidiasis requires few further RCTs. Full article
(This article belongs to the Special Issue Antifungal Drug Discovery: Progresses, Challenges, Opportunities)
Show Figures

Figure 1

15 pages, 6901 KB  
Article
Vaginal Ovule Loaded with Bismuth Lipophilic Nanoparticles and Cetylpyridinium Chloride Inhibits Human Cervical Carcinoma and Candida albicans Growth
by Claudio Cabral-Romero, Rene Hernández-Delgadillo, Jesús Alejandro Torres-Betancourt, Claudia María García-Cuellar, Yesennia Sánchez-Pérez, Juan Manuel Solis-Soto, Irene Meester, Nayely Pineda-Aguilar, Sergio Eduardo Nakagoshi-Cepeda, Juan Valerio Cauich-Rodríguez and María Argelia Akemi Nakagoshi-Cepeda
J. Funct. Biomater. 2024, 15(8), 206; https://doi.org/10.3390/jfb15080206 - 25 Jul 2024
Cited by 2 | Viewed by 2727
Abstract
Bismuth lipophilic nanoparticles (BisBAL NPs) and cetylpyridinium chloride (CPC) are antineoplastic and antimicrobial in vitro. As a next pre-clinical step, a clinically viable dosage form for vaginal application was developed. Compendial pharmacopeial tests (mass uniformity, disintegration, and compressive mechanics) and inductively coupled plasma [...] Read more.
Bismuth lipophilic nanoparticles (BisBAL NPs) and cetylpyridinium chloride (CPC) are antineoplastic and antimicrobial in vitro. As a next pre-clinical step, a clinically viable dosage form for vaginal application was developed. Compendial pharmacopeial tests (mass uniformity, disintegration, and compressive mechanics) and inductively coupled plasma optical emission spectroscopy were conducted on in-house developed glycerinated gelatin (60:15 v/w) vaginal ovules containing BisBAL NP-CPC. The antimycotic activity of BisBAL NP-CPC vaginal ovules was analyzed using disk diffusion and cell viability XTT assays. The antitumor properties of BisBAL NP-CPC vaginal ovules were assessed by cell viability MTT tests. BisBAL NP-CPC and drug-free vaginal ovules deposited into ex vivo porcine vaginas disaggregated without signs of adverse cytotoxicity within the timespan of clinical efficacy. BisBAL NP-CPC vaginal ovules demonstrated antifungal efficacy comparable to miconazole: C. albicans growth inhibition haloes in diffusion tests were 23 ± 0.968 mm (n = 3) for BisBAL NP-CPC and 20.35 ± 0.899 mm (n = 3) for miconazole. Likewise, BisBAL NP-CPC vaginal ovules reduced HeLa cell growth by 81%, outperforming the clinical reference of 500 μM 5-fluouracil, which induced a 70% growth inhibition. BisBAL NP-CPC incorporated into glycerinated gelatin vaginal ovules constitute an innovative drug delivery system for topical antimycotic and anti-cervical carcinoma treatments. Full article
(This article belongs to the Section Biomaterials for Cancer Therapies)
Show Figures

Figure 1

Back to TopTop