Antimycotic Activity of Essential Oil of Origanum heracleoticum L. from Bulgaria Against Clinical Isolates of Candida spp.
Abstract
1. Introduction
2. Materials and Methods
2.1. Essential Oil Sample
2.2. Determination of the Relative Density of the Essential Oil from O. heracleoticum L. at 20 °C
2.3. Determination of the Refractive Index of Essential Oils
2.4. Determination of the Angle of Rotation of the Plane of Polarization of Essential Oils
2.5. Determination of the Acid Number of Essential Oils
2.6. Determination of the Ester Number of Essential Oils
2.7. GC Analysis
2.8. Test Microorganisms
2.9. Antimicrobial Testing
2.10. Time-Kill Assay of Clinical Candida spp. with O. heracleoticum Essential Oil
2.11. Methylene Blue Absorption Test
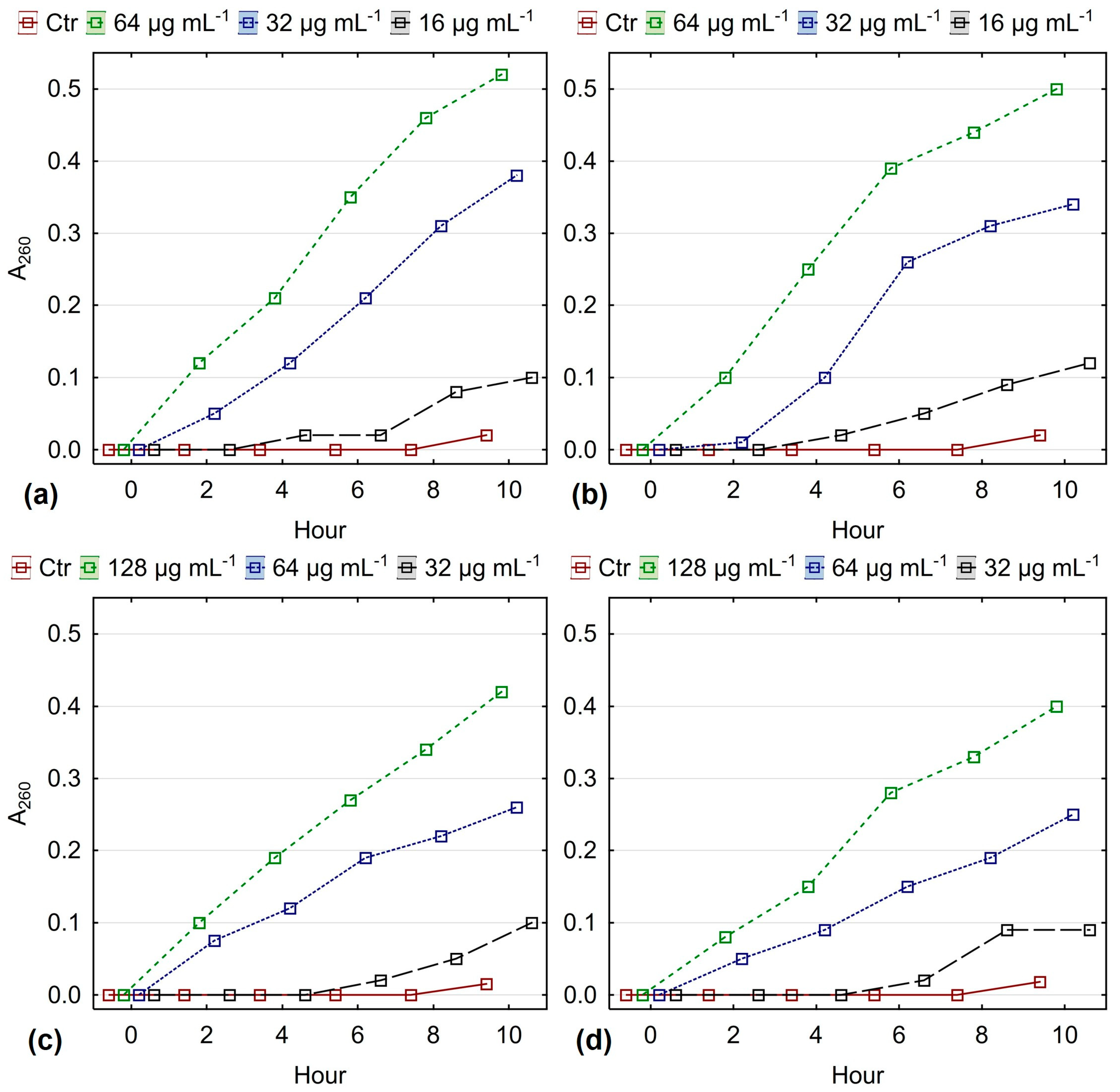
2.12. Test for the Release of Cellular Substances with an Absorption Maximum at 260 nm
2.13. Test for Inhibition of Germination and Filamentous Growth of Clinical Isolates
2.14. Inhibition of the Production of Extracellular Hydrolytic Enzymes by Clinical Isolates of Candida spp. Under the Action of Essential Oil from O. heracleoticum L.
2.14.1. Inhibition of Protease Production
2.14.2. Inhibition of Lipase Production
3. Results and Discussion
4. Conclusions
Author Contributions
Funding
Data Availability Statement
Conflicts of Interest
References
- Casalini, G.; Giacomelli, A.; Antinori, S. The WHO fungal priority pathogens list: A crucial reappraisal to review the prioritisation. Lancet Microbe 2024, 5, 717–724. [Google Scholar] [CrossRef]
- WHO. WHO Fungal Priority Pathogens List to Guide Research, Development and Public Health Action. Available online: https://www.who.int/publications/i/item/9789240060241 (accessed on 4 October 2025).
- CDC. Data and Statistics on Candidemia. Available online: https://www.cdc.gov/candidiasis/data-research/facts-stats/index.html (accessed on 4 October 2025).
- Jenkins, E.N.; Gold, J.A.W.; Benedict, K.; Lockhart, S.R.; Berkow, E.L.; Dixon, T.; Shack, S.L.; Witt, L.S.; Harrison, L.H.; Seopaul, S.; et al. Population-Based Active Surveillance for Culture-Confirmed Candidemia—10 Sites, United States, 2017–2021. MMWR Surveill. Summ. 2025, 74, 1–15. [Google Scholar] [CrossRef] [PubMed]
- Ostrosky-Zeichner, L.; Rex, J.H.; Pappas, P.G.; Hamill, R.J.; Larsen, R.A.; Horowitz, H.W.; Powderly, W.G.; Hyslop, N.; Kauffman, C.A.; Cleary, J.; et al. Antifungal susceptibility survey of 2,000 bloodstream Candida isolates in the United States. Antimicrob. Agents Chemother. 2003, 47, 3149–3154. [Google Scholar] [CrossRef]
- Posteraro, B.; Posteraro, P. Update on antifungal resistance and its clinical impact. Curr. Fungal Infect. Rep. 2013, 7, 224–234. [Google Scholar] [CrossRef]
- Bays, D.J.; Thompson, G.R. Epidemiology of invasive candidiasis. J. Fungi 2024, 10, 650. [Google Scholar] [CrossRef] [PubMed]
- Kantardzhiev, T. Etiological Diagnosis and Etiotropic Therapy of Mycoses; National Centre for Infectious and Parasitic Diseases: Sofia, Bulgaria, 2012; 188p, ISBN 978-954-92298-3-7. (In Bulgarian) [Google Scholar]
- Hitkova, H.Y.; Georgieva, D.S.; Hristova, P.M.; Marinova-Bulgaranova, T.V.; Borisov, B.K.; Popov, V.G. Antifungal susceptibility of non-albicans Candida species in a tertiary care hospital, Bulgaria. Jundishapur J. Microbiol. 2020, 13, e101767. [Google Scholar] [CrossRef]
- Hitkova, H.; Georgieva, D. Species distribution and antifungal susceptibility of vaginal Candida isolates. Problems Infect. Parasit. Dis. 2024, 52, 13–17. [Google Scholar] [CrossRef]
- Fu, Y.; Luo, G.; Spellberg, B.J.; Edwards, J.E., Jr.; Ibrahim, A.S. Gene overexpression/suppression analysis of candidate virulence factors of Candida albicans. Eukaryotic Cell 2008, 7, 483–492. [Google Scholar] [CrossRef]
- Yang, Y.-L.; Cheng, M.-F.; Chang, Y.-W.; Young, T.-G.; Chi, H.; Lee, S.C.; Cheung, B.M.-H.; Tseng, F.-C.; Chen, T.-C.; Ho, Y.-H.; et al. Host factors do not influence the colonization or infection by fluconazole-resistant Candida species in hospitalized patients. J. Negat. Results Biomed. 2008, 7, 12. [Google Scholar] [CrossRef]
- Ramesh, N.; Priyadharsini, M.; Sumathi, C.S.; Balasubramanian, V.; Hemapriya, J.; Kannan, R. Virulence factors and antifungal sensitivity pattern of Candida spp. isolated from HIV and TB patients. Indian. J. Microbiol. 2011, 51, 273–278. [Google Scholar] [CrossRef] [PubMed]
- Lopes, J.P.; Lionakis, M.S. Pathogenesis and virulence of Candida albicans. Virulence 2022, 13, 89–121. [Google Scholar] [CrossRef]
- Talapko, J.; Juzbašić, M.; Matijević, T.; Pustijanac, E.; Bekić, S.; Kotris, I.; Škrlec, I. Candida albicans—The virulence factors and clinical manifestations. J. Fungi 2021, 7, 79. [Google Scholar] [CrossRef] [PubMed]
- Lortal, L.; Costa-de-Oliveira, S.; Martin, R.; Richardson, J.P.; Moyes, D.L.; Hader, S.; Tucey, T.M.; Warris, A.; Hall, R.A.; Naglik, J.R. Candidalysin biology and activation of host cells. mBio 2025, 16, e00603-24. [Google Scholar] [CrossRef]
- Ghannoum, M.; Rice, L. Antifungal agents: Mode of action, mechanisms of resistance, and correlation of these mechanisms with bacterial resistance. Clin. Microbiol. Rev. 1999, 12, 501–517. [Google Scholar] [CrossRef] [PubMed]
- Pauli, A. Anticandidal low molecular compounds from higher plants with special reference to compounds from essential oils. Med. Res. Rev. 2006, 26, 223–268. [Google Scholar] [CrossRef]
- Rathod, S.D.; Klausner, J.D.; Krupp, K.; Reingold, A.L.; Madhivanan, P. Epidemiologic features of vulvovaginal candidiasis among reproductive-age women in India. Infect. Dis. Obstet. Gynecol. 2012, 2012, 859071. [Google Scholar] [CrossRef]
- Girmenia, C.; Tuccinardi, C.; Santilli, S.; Mondello, F.; Monaco, M.; Cassone, A.; Martino, P. In vitro activity of fluconazole and voriconazole against isolates of Candida albicans from patients with haematological malignancies. J. Antimicrob. Chemother. 2000, 46, 479–483. [Google Scholar] [CrossRef] [PubMed][Green Version]
- Jerez-Puebla, E.; Fernández, M.; Illnait, T.; Perurena, R.; Rodríguez, I.; Martínez, G. In vitro susceptibility of Candida spp. isolated from oral cavity of HIV/AIDS patients to itraconazole, clotrimazole and ketoconazole. Arch. Venez. Farmacol. Ter. 2012, 31, 80–84. [Google Scholar][Green Version]
- Mulu, A.; Kassu, A.; Anagaw, B.; Moges, B.; Gelaw, A.; Alemayehu, M.; Belyhun, Y.; Biadglegne, F.; Hurissa, Z.; Moges, F.; et al. Frequent detection of ‘azole’ resistant Candida species among late presenting AIDS patients in northwest Ethiopia. BMC Infect. Dis. 2013, 13, 82. [Google Scholar] [CrossRef]
- Kalemba, D.; Kunicka, A. Antibacterial and antifungal properties of essential oils. Curr. Med. Chem. 2003, 10, 813–829. [Google Scholar] [CrossRef]
- Tangarife-Castaño, V.; Correa-Royero, J.; Zapata-Londoño, B.; Durán, C.; Stanshenko, E.; Mesa-Arango, A.C. Anti-Candida albicans activity, cytotoxicity and interaction with antifungal drugs of essential oils and extracts from aromatic and medicinal plants. Infectio 2011, 15, 160–167. [Google Scholar] [CrossRef]
- Adwan, G.; Salmeh, Y.; Adwan, K.; Barakat, A. Assessment of antifungal activity of herbal and conventional toothpastes against clinical isolates of Candida albicans. Asian Pac. J. Trop. Biomed. 2012, 2, 375–379. [Google Scholar] [CrossRef]
- Carvalhinho, S.; Costa, A.; Coelho, A.; Martins, E.; Sampaio, A. Susceptibilities of Candida albicans mouth isolates to antifungal agents, essential oils and mouth rinses. Mycopathologia 2012, 174, 69–76. [Google Scholar] [CrossRef] [PubMed]
- Lira-Mota, K.; Oliveira-Pereira, F.; Oliveira, W.; Lima, I.; Oliveira, E. Antifungal activity of Thymus vulgaris L. essential oil and its constituent phytochemicals against Rhizopus oryzae: Interaction with ergosterol. Molecules 2012, 17, 14418–14433. [Google Scholar] [CrossRef]
- Cannas, S.; Molicotti, P.; Ruggeri, M.; Cubeddu, M.; Sanguinetti, M.; Marongiu, B.; Zanetti, S. Antimycotic activity of Myrtus communis L. towards Candida spp. from isolates. J. Infect. Dev. Ctries. 2013, 7, 295–298. [Google Scholar] [CrossRef] [PubMed]
- Olama, Z.; Holail, H.; Makki, S. Antifungal effect of some plant oils against some oral clinical isolates of Candida albicans in Lebanese community. TOJSAT 2013, 3, 25–39. [Google Scholar]
- Palmeira-de-Oliveira, A.; Silva, B.M.; Palmeira-de-Oliveira, R.; Martinez-de-Oliveira, J.; Salgueiro, L. Are plant extracts a potential therapeutic approach for genital infections? Curr. Med. Chem. 2013, 20, 2914–2928. [Google Scholar] [CrossRef]
- Sharanappa, R.; Vidyasagar, G.M. Argemone mexicana L.: Plant profile, phytochemistry and pharmacology—A review. Int. J. Pharm. Pharm. Sci. 2014, 6, 45–53. [Google Scholar]
- Allizond, V.; Cavallo, L.; Roana, J.; Mandras, N.; Cuffini, A.M.; Tullio, V.; Banche, G. In vitro antifungal activity of selected essential oils against Aspergillus spp. Molecules. 2023, 28, 7259. [Google Scholar] [CrossRef]
- Di Vito, M.; Caracciolo, I.; Cudazzo, F.; Bazzano, M.; Sanguinetti, M. A new potential resource in the fight against Candida auris: Essential oils. Microbiol. Spectr. 2023, 11, e04385-22. [Google Scholar] [CrossRef]
- Fernandes, L.; Furtado, G.H.C.; Gimenes, F.; Caetano, M.; Magário, M.K.W.; Consolaro, M.E.L. Effect of vapor-phase oregano essential oil on biofilms of antifungal-resistant vaginal isolates of Candida species. Antibiotics 2023, 12, 690. [Google Scholar] [CrossRef]
- Balef, S.S.H.; Hosseini, S.S.; Asgari, N.; Sohrabi, A.; Mortazavi, N. The inhibitory effects of carvacrol, nystatin, and their combination on oral candidiasis isolates. BMC Res. Notes 2024, 17, 104. [Google Scholar] [CrossRef]
- Kowalczyk, A. Essential Oils against Candida auris—A Promising Approach for Antifungal Activity. Antibiotics 2024, 13, 568. [Google Scholar] [CrossRef]
- Yuan, X.; Liu, Y.; Li, Y.; Zhang, Y. Antifungal activity of essential oils and their potential against stationary-phase Candida albicans. Sci. Rep. 2024, 14, 19767. [Google Scholar] [CrossRef]
- Potente, G.; Bonvichini, F.; Gentilomi, G.A.; Antognoni, F. Anti-Candida activity of essential oils from Lamiaceae: Focus on Mediterranean taxa. Plants 2020, 9, 959. [Google Scholar] [CrossRef]
- Karpiński, T.M. Anti-Candida and antibiofilm activity of selected Lamiaceae essential oils. Front. Biosci. 2023, 28, 28. [Google Scholar] [CrossRef] [PubMed]
- Hou, G.W.; Huang, T. Essential oils as promising treatments for treating Candida albicans infections: Research progress, mechanisms, and clinical applications. Front. Pharmacol. 2024, 15, 1400105. [Google Scholar] [CrossRef] [PubMed]
- Touati, A.; Mairi, A.; Ibrahim, N.A.; Idres, T. Essential oils for biofilm control: Mechanisms, synergies, and translational challenges. Antibiotics 2025, 14, 503. [Google Scholar] [CrossRef] [PubMed]
- Kauser, S.; Raj, N.; Ahmedi, S.; Manzoor, N. Mechanistic insight into the membrane-disrupting properties of thymol in Candida species. Microbe 2024, 2, 100045. [Google Scholar] [CrossRef]
- Baycheva, S. Chemical composition of oregano essential oil (Origanum heracleoticum L.). In Proceedings of the International Conference on Technics, Technologies and Education (ICTTE), Yambol, Bulgaria, 19–20 October 2017; pp. 410–417. (In Bulgarian). [Google Scholar]
- Baycheva, S.K.; Dobreva, K.Z. Chemical composition of Bulgarian white oregano (Origanum heracleoticum L.) essential oils. IOP Conf. Ser. Mater. Sci. Eng. 2021, 1031, 012107. [Google Scholar] [CrossRef]
- Baycheva, S.; Kjuchukova, R.; Stoyanchev, T.; Dobreva, K. Antimicrobial activity of Bulgarian white oregano essential oils and ethanol extracts. AIP Conf. Proc. 2023, 2889, 080024. [Google Scholar] [CrossRef]
- Kyuchukova, R.; Baycheva, S.; Stoyanchev, T.; Dobreva, K. Application of essential oils and ethanol extracts of Bulgarian white oregano as additives in cooked-smoked sausages. AIP Conf. Proc. 2023, 2889, 080025. [Google Scholar] [CrossRef]
- Hacioglu, M.; Oyardi, O.; Kirinti, A. Oregano essential oil inhibits Candida spp. biofilms. Z. Naturforsch. C. J. Biosci. 2021, 76, 443–450. [Google Scholar] [CrossRef] [PubMed]
- Cid-Chevecich, C.; Müller-Sepúlveda, A.; Jara, J.A.; López-Muñoz, R.; Santander, R.; Budini, M.; Escobar, A.; Quijada, R.; Criollo, A.; Díaz-Dosque, M.; et al. Origanum vulgare L. essential oil inhibits virulence patterns of Candida spp. and potentiates the effects of fluconazole and nystatin in vitro. BMC Complement. Med. Ther. 2022, 22, 39. [Google Scholar] [CrossRef]
- Niu, C.; Wang, C.; Yang, Y.; Chen, R.; Zhang, J.; Chen, H.; Zhuge, Y.; Li, J.; Cheng, J.; Xu, K.; et al. Carvacrol induces Candida albicans apoptosis associated with Ca2+/calcineurin pathway. Front. Cell. Infect. Microbiol. 2020, 10, 192. [Google Scholar] [CrossRef] [PubMed]
- Mączka, W.; Gornowicz-Porowska, J.; Nowak, G. Carvacrol—A natural phenolic compound with antimicrobial and antibiofilm activity. Molecules 2023, 28, 3382. [Google Scholar] [CrossRef]
- BDS ISO 279:2001; Essential Oils—Determination of Relative Density at 20 °C. Bulgarian Institute for Standardization: Sofia, Bulgaria, 2001.
- BDS ISO 280:1999; Essential Oils—Determination of Refractive Index—Comparative Method. Bulgarian Institute for Standardization: Sofia, Bulgaria, 1999.
- BDS ISO 592:2001; Essential Oils—Determination of Optical Rotation. Bulgarian Institute for Standardization: Sofia, Bulgaria, 2001.
- BDS ISO 1242:2002; Essential Oils—Determination of Acid Number. Bulgarian Institute for Standardization: Sofia, Bulgaria, 2002.
- BDS ISO 709:2003; Essential Oils—Determination of Ester Number. Bulgarian Institute for Standardization: Sofia, Bulgaria, 2003.
- Adams, R.P. Identification of Essential Oil Components by Gas Chromatography/Mass Spectrometry, 4th ed.; Allured Publishing: Carol Stream, IL, USA, 2007. [Google Scholar]
- Jennings, W.; Shibamoto, T. Qualitative Analysis of Flavor and Fragrance Volatiles by Glass Capillary Gas Chromatography; Academic Press: New York, NY, USA, 1980. [Google Scholar]
- Kondjoyan, N.; Berdagué, J.-L. A Compilation of Relative Retention Indices for the Analysis of Aromatic Compounds; Laboratoire d’Etude des Arômes: Theix, France, 1996. [Google Scholar]
- Joulain, D.; König, W.A. The Atlas of Spectral Data of Sesquiterpene Hydrocarbons; E.B.-Verlag: Hamburg, Germany, 1998; 658p, ISBN 3-930826-48-8. [Google Scholar]
- Clinical and Laboratory Standards Institute (CLSI). Reference Method for Broth Dilution Antifungal Susceptibility Testing of Yeasts, 4th ed.; CLSI standard M27; CLSI: Wayne, PA, USA, 2017; ISBN 1-56238-826-6/1-56238-827-4. [Google Scholar]
- Pozzatti, P.; Loreto, É.; Nunes, M.; Rossato, L.; Santurio, J.; Alves, S. Activities of essential oils in the inhibition of Candida albicans and Candida dubliniensis germ tube formation. J. Mycol. Méd. 2010, 20, 185–189. [Google Scholar] [CrossRef]
- Milovanović, I.; Mišan, A.; Sakač, M.; Čaparkapa, I.; Šarić, B.; Matić, J.J.; Jovanov, T. Evaluation of a GC-MS method for the analysis of oregano essential oil composition. Food Process. Qual. Saf. 2009, 36, 75–79. [Google Scholar]
- Karamanos, A.; Sotiropoulou, D. Field studies of nitrogen application on Greek oregano (Origanum vulgare ssp. hirtum (Link) Letswaart) essential oil during two cultivation seasons. Ind. Crops Prod. 2013, 46, 246–252. [Google Scholar] [CrossRef]
- Marrelli, M.; Araniti, F.; Abenavoli, M.R.; Statti, G.; Conforti, F. Potential health benefits of Origanum heracleoticum essential oil: Phytochemical and biological variability among different Calabrian populations. Nat. Prod. Commun. 2018, 13, 1183–1187. [Google Scholar] [CrossRef]
- Napoli, E.; Giovino, A.; Carrubba, A.; How Yuen Siong, V.; Rinoldo, C.; Nina, O.; Ruberto, G. Variations of essential-oil constituents in oregano (Origanum vulgare subsp. viridulum (= O. heracleoticum)) over cultivation cycles. Plants 2020, 9, 1174. [Google Scholar] [CrossRef]
- Amato, G.; Caputo, L.; Francolino, R.; Martino, M.; De Feo, V.; De Martino, L. Origanum heracleoticum essential oils: Chemical composition, phytotoxic and α-amylase inhibitory activities. Plants 2023, 12, 866. [Google Scholar] [CrossRef] [PubMed]
- Jerković, I.; Mastelić, J.; Miloš, M. Impact of both the season of collection and drying on volatile constituents of Origanum vulgare L. ssp. hirtum grown wild in Croatia. Int. J. Food Sci. Technol. 2001, 36, 593–702. [Google Scholar] [CrossRef]
- Oussalah, M.; Caillet, S.; Saucier, L.; Lacroix, M. Antimicrobial effect of selected plant essential oils on the growth of a Pseudomonas putida strain isolated from meat. Meat Sci. 2006, 73, 236–244. [Google Scholar] [CrossRef]
- Shen, D.; Pan, M.-H.; Wu, Q.-L.; Park, C.-H.; Juliani, H.R.; Ho, C.-T.; Simon, J.E. LC-MS method for the simultaneous quantitation of the anti-inflammatory constituents in oregano (Origanum species). J. Agric. Food Chem. 2010, 58, 7119–7125. [Google Scholar] [CrossRef]
- Tsigarida, E.; Skandamis, P.; Nychas, G. Behaviour of Listeria monocytogenes and autochthonous flora on meat stored under aerobic, vacuum and modified atmosphere packaging conditions with or without the presence of oregano essential oil at 5 °C. J. Appl. Microbiol. 2000, 89, 901–909. [Google Scholar] [CrossRef]
- Oussalah, M.; Caillet, S.; Saucier, L.; Lacroix, M. Inhibitory effects of selected essential oils on the growth of four pathogenic bacteria: Escherichia coli O157:H7, Salmonella Typhimurium, Staphylococcus aureus and Listeria monocytogenes. Food Control 2007, 18, 414–420. [Google Scholar] [CrossRef]
- Zheng, Z.L.; Tan, J.Y.W.; Liu, H.Y.; Zhou, X.H.; Xiang, X.; Wang, K.Y. Evaluation of oregano essential oil (Origanum heracleoticum L.) on growth, antioxidant effect and resistance against Aeromonas hydrophila in channel catfish (Ictalurus punctatus). Aquaculture 2009, 292, 214–218. [Google Scholar] [CrossRef]
- Čabarkapa, I.; Škrinjar, M.; Nemet, N.; Milovanović, I. Effect of Origanum heracleoticum L. Essential oil on food-borne Penicillium aurantiogriseum and Penicillium chrysogenum isolates. Proc. Nat. Sci. Matica Srpska Novi Sad 2011, 120, 81–91. [Google Scholar] [CrossRef]
- Adam, K.; Sivropoulou, A.; Kokkini, S.; Lanaras, T.; Arsenakis, M. Antifungal activities of Origanum vulgare subsp. hirtum, Mentha spicata, Lavandula angustifolia and Salvia fruticosa essential oils against human pathogenic fungi. J. Agric. Food Chem. 1998, 46, 1739–1745. [Google Scholar]
- Della Pepa, T.; Elshafie, H.S.; Capasso, R.; De Feo, V.; Camele, I.; Nazzaro, F.; Scognamiglio, M.R.; Caputo, L. Antimicrobial and phytotoxic activity of Origanum heracleoticum and O. majorana essential oils growing in Cilento (Southern Italy). Molecules 2019, 24, 2576. [Google Scholar] [CrossRef] [PubMed]
- Dalleau, S.; Cateau, E.; Bergès, T.; Berjeaud, J.-M.; Imbert, C. In vitro activity of terpenes against Candida biofilms. Int. J. Antimicrob. Agents 2008, 31, 572–576. [Google Scholar] [CrossRef]
- Marcos-Arias, C.; Eraso, E.; Madariaga, L.; Quindós, G. In vitro activities of natural products against oral Candida isolates from denture wearers. BMC Complement. Altern. Med. 2011, 11, 119. [Google Scholar] [CrossRef]
- Erfaninia, M.; Alizadeh, F. Killing Kinetics of carvacrol against fluconazole-susceptible and -resistant isolates of Candida tropicalis. Med. Lab. J. 2023, 17, 27–34. [Google Scholar] [CrossRef]
- Bonifaz, A.; Tirado-Sanchez, A.; Graniel, M.; Mena, C.; Valencia, A.; Ponce-Olivera, R. The efficacy and safety of sertaconazole cream (2%) in diaper dermatitis candidiasis. Mycopathologia 2013, 175, 249–254. [Google Scholar] [CrossRef][Green Version]
- Cox, S.D.; Mann, C.M.; Markham, J.L. the mode of antimicrobial action of the essential oil of Melaleuca alternifolia (Tea Tree Oil). J. Appl. Microbiol. 2000, 88, 170–175. [Google Scholar] [CrossRef]
- Laroche, C.; Beney, L.; Maréchal, P.-A.; Gervais, P. The effect of osmotic pressure on the membrane fluidity of Saccharomyces cerevisiae at different physiological temperatures. Appl. Microbiol. Biotechnol. 2001, 56, 249–254. [Google Scholar] [CrossRef]
- Pina-Vaz, C.; Rodrigues, A.G.; Sansonetty, F.; Martinez-de-Oliveira, J.; Fonseca, A.F.; Mårdh, P.-A. Antifungal activity of local anesthetics against Candida Species. Infect. Dis. Obstet. Gynecol. 2000, 8, 124–137. [Google Scholar] [CrossRef] [PubMed]
- Acuña, E.; Contador, R.; Pereira, M.; Aguilera, J.; Berríos, J.; Fuentes-López, M. Carvacrol-induced vacuole dysfunction and morphological consequences in nakaseomyces glabratus and Candida albicans. Microorganisms 2023, 11, 2915. [Google Scholar] [CrossRef] [PubMed]
- Preda, M.; Bumbac, R.; Dumitru, I.; Bostan, M.; Ditu, L. Pathogenesis, prophylaxis, and treatment of Candida auris. Biomedicines 2024, 12, 561. [Google Scholar] [CrossRef]
- Molaeitabari, A.; Dahms, T.E.S. Blocking the shikimate pathway amplifies the impact of carvacrol on Candida albicans by attenuating adhesion, hyphal and biofilm formation. Microbiol. Spectr. 2025, 13, e02754-24. [Google Scholar] [CrossRef] [PubMed]
- Palmeira-de-Oliveira, A.; Salgueiro, L.; Palmeira-de-Oliveira, R.; Martinez-de-Oliveira, J.; Pina-Vaz, C.; Queiroz, J.A.; Rodrigues, A.G. Anti-Candida activity of essential oils. Mini-Rev. Med. Chem. 2009, 9, 1292–1305. [Google Scholar] [CrossRef]
- Hube, B.; Stehr, F.; Bossenz, M.; Mazur, A.; Kretschmar, M.; Schäfer, W. secreted lipases of Candida albicans: Cloning, characterisation and expression analysis of a new gene family with at least ten members. Arch. Microbiol. 2000, 174, 362–374. [Google Scholar] [CrossRef] [PubMed]
- De Azevedo, I.Z.; Semprebom, A.M.; Baboni, F.B.; Rosa, R.T.; Machado, M.A.; Samaranayake, L.P.; Rosa, E.A. Low-virulent oral Candida albicans strains isolated from smokers. Arch. Oral Biol. 2012, 57, 148–153. [Google Scholar] [CrossRef] [PubMed]





| № | Components | * RIa | % Area | ** RIb | % Area |
|---|---|---|---|---|---|
| 1 | 2-Methyl Methyl butanoate | 773 | 0.02 | - | ND *** |
| 2 | cis-3-Hexenol | 852 | 0.03 | 1351 | 0.04 |
| 3 | Hexanol | 863 | 0.02 | 1326 | 0.02 |
| 4 | Tricyclene | - | ND | 1002 | 0.02 |
| 5 | α-Thujene | 932 | 0.73 | 1014 | 0.7 |
| 6 | α-Pinene | 941 | 0.62 | 1014 | 0.63 |
| 7 | Thuja-2,4(10)-diene | 949 | 0.03 | 1113 | 0.03 |
| 8 | Camphene | 957 | 0.23 | 1052 | 0.24 |
| 9 | 1-Octen-3-ol | 976 | 0.58 | 1422 | 0.61 |
| 10 | Sabinene | 979 | 0.03 | - | ND |
| 11 | 3-Octanone | 983 | 0.13 | 1236 | 0.12 |
| 12 | β-Pinene | 985 | 0.26 | 1098 | 0.21 |
| 13 | Myrcene | 991 | 1.43 | 1141 | 1.32 |
| 14 | 3-Octanol | - | ND | 1373 | 0.03 |
| 15 | α-Phellandrene | 1010 | 0.04 | 1147 | 0.05 |
| 16 | δ-3-Carene | 1017 | 0.08 | 1133 | 0.07 |
| 17 | α-Terpinene | 1022 | 0.37 | 1160 | 0.35 |
| 18 | p-Cymene | 1030 | 11.03 | 1247 | 10.86 |
| 19 | Limonene | 1035 | 1.48 | 1182 | 1.41 |
| 20 | trans-β-Ocimene | - | ND | 1212 | 0.02 |
| 21 | β-Phellandrene | 1037 | 0.31 | 1193 | 0.21 |
| 22 | 1,8-Cineole | - | ND | 1200 | 0.06 |
| 23 | γ-Terpinene | 1063 | 0.40 | 1224 | 0.39 |
| 24 | cis-Sabinene hydrate | 1072 | 0.40 | 1445 | 0.43 |
| 25 | Nonene-3-ol | 1078 | 0.02 | - | ND |
| 26 | Terpinolene | 1094 | 0.11 | 1259 | 0.07 |
| 27 | p-Cymene | - | ND | 1409 | 0.07 |
| 28 | Linalool | 1099 | 0.22 | 1520 | 0.52 |
| 29 | trans-Sabinene hydrate | 1104 | 0.73 | 1528 | 0.75 |
| 30 | trans-Pinene hydrate | 1128 | 0.07 | - | ND |
| 31 | cis- Pinene hydrate | 1146 | 0.05 | 1539 | 0.07 |
| 32 | trans-Pinocamphone | 1170 | 0.08 | - | ND |
| 33 | Borneol | 1176 | 0.74 | 1668 | 0.69 |
| 34 | Terpinene-4-ol | 1186 | 1.78 | 1576 | 1.41 |
| 35 | p-Cymen-8-ol | 1189 | 0.10 | 1813 | 0.08 |
| 36 | α-Terpineol | 1197 | 0.26 | 1673 | 0.27 |
| 37 | Methyl salicylate | 1201 | 0.01 | - | ND |
| 38 | cis-Dihydrocarvone | 1203 | 0.16 | 1586 | 0.15 |
| 39 | trans-Piperitol | - | - | 1718 | 0.02 |
| 40 | trans-Dihydrocarvone | 1212 | 0.05 | 1599 | 0.08 |
| 41 | Carvacrol Methyl ether | 1247 | 0.13 | 1567 | 0.09 |
| 42 | Carvone | 1253 | 0.29 | 1708 | 0.32 |
| 43 | Thymol | 1292 | 0.30 | 2131 | 0.29 |
| 44 | Cumin alcohol | - | ND | 2054 | 0.03 |
| 45 | Isobornyl acetate | - | ND | 1552 | 0.07 |
| 46 | Carvacrol | 1310 | 70.31 | 2162 | 70.52 |
| 47 | Terpinyl acetate | - | ND | 1689 | 0.1 |
| 48 | Carvacryl acetate | 1374 | 0.05 | 1834 | 0.07 |
| 49 | α-Copaene | 1393 | 0.03 | 1476 | 0.04 |
| 50 | β-Bourbonene | 1405 | 0.04 | 1500 | 0.04 |
| 51 | cis-α-Bergamotene | - | ND | 1562 | 0.04 |
| 52 | β-Caryophyllene | 1442 | 1.03 | 1570 | 0.98 |
| 53 | trans-α-Bergamotene | 1448 | 0.08 | - | ND |
| 54 | trans-β-Farnesene | 1459 | 0.03 | - | ND |
| 55 | α-Humulene | 1476 | 0.16 | 1643 | 0.16 |
| 56 | allo-Aromadendrene | 1484 | 0.02 | - | ND |
| 57 | β-Bisabolene | 1518 | 0.79 | 1700 | 0.77 |
| 58 | γ-Cadinene | 1533 | 0.06 | 1729 | 0.06 |
| 59 | δ-Cadinene | 1538 | 0.11 | 1726 | 0.1 |
| 60 | trans-Calamenene | 1540 | 0.08 | 1798 | 0.1 |
| 61 | Caryophyllene oxide | 1608 | 0.78 | 1952 | 0.79 |
| 62 | Humulene epoxyde II | 1635 | 0.11 | 2007 | 0.09 |
| Total amount of the identified components: | 97.00 | 96.66 | |||
| Substance | Species | MIC ± SD, µg mL−1 | MICs Range | MFC ± SD, µg mL−1 | MFCs Range |
|---|---|---|---|---|---|
| Essential oil | C. albicans (82) | 58.3 ± 12.5 | 32–64 | 105.1 ± 31 | 64–128 |
| C. glabrata (18) | 170.7 ± 66.1 | 128–256 | 384 ± 140.2 | 256–512 | |
| C. tropicalis (14) | 106.7 ± 33 | 64–128 | 192 ± 70.1 | 128–256 | |
| C. parapsilosis (24) | 85.3 ± 33 | 64–128 | 149.3 ± 52.3 | 128–256 | |
| FLC | C. albicans (82) | 17.3 ± 22.7 | 0.5–64 | 46.8 ± 16.6 | 32–64 |
| C. glabrata (18) | 40 ± 33.9 | 16–64 | 64 | - | |
| C. tropicalis (14) | 6 ± 2.8 | 4–8 | 48 ± 22.6 | 32–64 | |
| C. parapsilosis (24) | 6 ± 2.8 | 4–8 | 48 ± 22.6 | 32–64 | |
| IT | C. albicans (82) | 0.4 ± 0.6 | 0.125–2 | 29.5 ± 6 | 16–32 |
| C. glabrata (18) | 1.3 ± 0.1 | 0.5–2 | 32 | - | |
| C. tropicalis (14) | 0.4 ± 0.2 | 0.25–0.5 | 16 | - | |
| C. parapsilosis (24) | 0.2 ± 0.1 | 0.125–0.5 | 24 ± 11.3 | 16–32 | |
| KT | C. albicans (82) | 4 ± 4.4 | 0.5–16 | 22.2 ± 9.9 | 8–32 |
| C. glabrata (18) | 5 ± 4.2 | 2–8 | 32 | - | |
| C. tropicalis (14) | 3 ± 1.4 | 2–4 | 32 | - | |
| C. parapsilosis (24) | 3 ± 1.41 | 2–4 | 24 ± 11.3 | 16–31 |
| Essential Oil Concentration | C. albicans FR | C. glabrata FR | ||
|---|---|---|---|---|
| Production of Proteases, K1 | Production of Lypases, K2 | Production of Proteases, K1 | Production of Lypases, K2 | |
| Control | 1.59 ± 0.02 | 1.76 ± 0.04 | 1.87 ± 0.01 | 1.66 ± 0.08 |
| MIC25 | 1.48 ± 0.05 | 1.65 ± 0.03 | 1.67 ± 0.08 | 1.52 ± 0.05 |
| MIC50 | 1.36 ± 0.07 | 1.48 ± 0.06 | 1.46 ± 0.05 | 1.40 ± 0.04 |
| MIC | 1.10 ± 0.10 | 1.32 ± 0.05 | 1.17 ± 0.10 | 1.21 ± 0.10 |
Disclaimer/Publisher’s Note: The statements, opinions and data contained in all publications are solely those of the individual author(s) and contributor(s) and not of MDPI and/or the editor(s). MDPI and/or the editor(s) disclaim responsibility for any injury to people or property resulting from any ideas, methods, instructions or products referred to in the content. |
© 2025 by the authors. Licensee MDPI, Basel, Switzerland. This article is an open access article distributed under the terms and conditions of the Creative Commons Attribution (CC BY) license (https://creativecommons.org/licenses/by/4.0/).
Share and Cite
Hristova, Y.; Iliev, I.; Hristamyan, M.; Gocheva, M.; Ilieva, L.; Gochev, V. Antimycotic Activity of Essential Oil of Origanum heracleoticum L. from Bulgaria Against Clinical Isolates of Candida spp. Appl. Sci. 2025, 15, 11672. https://doi.org/10.3390/app152111672
Hristova Y, Iliev I, Hristamyan M, Gocheva M, Ilieva L, Gochev V. Antimycotic Activity of Essential Oil of Origanum heracleoticum L. from Bulgaria Against Clinical Isolates of Candida spp. Applied Sciences. 2025; 15(21):11672. https://doi.org/10.3390/app152111672
Chicago/Turabian StyleHristova, Yana, Ivan Iliev, Meri Hristamyan, Miroslava Gocheva, Lena Ilieva, and Velizar Gochev. 2025. "Antimycotic Activity of Essential Oil of Origanum heracleoticum L. from Bulgaria Against Clinical Isolates of Candida spp." Applied Sciences 15, no. 21: 11672. https://doi.org/10.3390/app152111672
APA StyleHristova, Y., Iliev, I., Hristamyan, M., Gocheva, M., Ilieva, L., & Gochev, V. (2025). Antimycotic Activity of Essential Oil of Origanum heracleoticum L. from Bulgaria Against Clinical Isolates of Candida spp. Applied Sciences, 15(21), 11672. https://doi.org/10.3390/app152111672

