Sign in to use this feature.

Years

Between: -

Subjects

remove_circle_outline
remove_circle_outline
remove_circle_outline
remove_circle_outline
remove_circle_outline
remove_circle_outline
remove_circle_outline
remove_circle_outline
remove_circle_outline

Journals

Article Types

Countries / Regions

Search Results (49)

Search Parameters:
Keywords = allelopathic water extract

Order results
Result details
Results per page
Select all
Export citation of selected articles as:
17 pages, 1949 KB  
Article
Allelopathic Effect of the Invasive Species Acacia dealbata Link and Hakea decurrens R.Br., subsp. physocarpa on Native Mediterranean Scrub Species
by Laura Nogales, Natividad Chaves, José Blanco-Salas, Laura Mateos, Luz Victoria Rubio and Juan Carlos Alías
Plants 2025, 14(23), 3685; https://doi.org/10.3390/plants14233685 - 3 Dec 2025
Viewed by 708
Abstract
Invasive species can profoundly alter ecosystems through mechanisms such as allelopathy. This study evaluates the allelopathic effects of Acacia dealbata and Hakea decurrens subsp. physocarpa on two dominant Mediterranean native species, Cistus ladanifer and Lavandula stoechas. Germination bioassays using aqueous extracts (1:10 [...] Read more.
Invasive species can profoundly alter ecosystems through mechanisms such as allelopathy. This study evaluates the allelopathic effects of Acacia dealbata and Hakea decurrens subsp. physocarpa on two dominant Mediterranean native species, Cistus ladanifer and Lavandula stoechas. Germination bioassays using aqueous extracts (1:10 w/v) at concentrations of 1, 1/2, and 1/4 of leaves collected in March and September were used to evaluate germination, hypocotyl emergence, and root development compared to control values (water) and between treatments. The phenolic composition of the solutions used was also analyzed. Significant inhibitory effects were observed across all parameters, especially at high concentrations, with responses modulated by the invasive species, the native target, and seasonal variation. A. dealbata showed stronger phytotoxicity in March, while H. decurrens subsp. physocarpa was more active in September. Phytochemical analysis revealed a higher load of phenolic compounds in A. dealbata, which may be related to the greater allelopathic activity of this species. These findings confirm the allelopathic potential of both invasive species and their ability to interfere with the establishment of native plants while facilitating their own, potentially impacting the colonization success of invasive species and altering vegetation succession in Mediterranean ecosystems. Full article
(This article belongs to the Section Plant Protection and Biotic Interactions)
Show Figures

Figure 1

9 pages, 1539 KB  
Proceeding Paper
The Effect of Biological Extracts on the Growth and Development of Invasive Plants
by Diana Batmanova, Barbara Stalmachová and Petr Plohák
Eng. Proc. 2025, 116(1), 15; https://doi.org/10.3390/engproc2025116015 - 1 Dec 2025
Viewed by 372
Abstract
The article focuses on allelopathic interactions between plants. It presents the results of the effect of biological extracts from Solidago canadensis and Robinia pseudoacacia on seedlings of Lepidium sativum and Solidago canadensis. Solidago canadensis extracts inhibit the growth of Lepidium sativum, [...] Read more.
The article focuses on allelopathic interactions between plants. It presents the results of the effect of biological extracts from Solidago canadensis and Robinia pseudoacacia on seedlings of Lepidium sativum and Solidago canadensis. Solidago canadensis extracts inhibit the growth of Lepidium sativum, while Robinia pseudoacacia extracts stimulate the growth of Lepidium sativum. The application of Solidago canadensis extracts to Solidago canadensis seedlings showed signs of autotoxicity. Full article
Show Figures

Figure 1

16 pages, 1613 KB  
Article
Allelopathic Effect of Salvia pratensis L. on Germination and Growth of Crops
by Marija Ravlić, Renata Baličević, Miroslav Lisjak, Željka Vinković, Jelena Ravlić, Ana Županić and Brankica Svitlica
Crops 2025, 5(4), 45; https://doi.org/10.3390/crops5040045 - 22 Jul 2025
Cited by 2 | Viewed by 1662
Abstract
Salvia pratensis L. is a valuable medicinal plant rich in bioactive compounds, yet its allelopathic potential remains underexplored. This study evaluated allelopathic effects and total phenolic (TPC) and flavonoid (TFC) contents of water extracts from the dry aboveground biomass of S. pratensis. [...] Read more.
Salvia pratensis L. is a valuable medicinal plant rich in bioactive compounds, yet its allelopathic potential remains underexplored. This study evaluated allelopathic effects and total phenolic (TPC) and flavonoid (TFC) contents of water extracts from the dry aboveground biomass of S. pratensis. To assess their selectivity and potential application in sustainable weed management, extracts at five different concentrations were tested on the germination and early growth of lettuce, radish, tomato, and carrot. The results demonstrated that the phytotoxic effects of S. pratensis extracts were both concentration- and species-dependent. Higher extract concentrations significantly inhibited germination and seedling growth, while lower concentrations of extracts stimulated shoot elongation by up to 30% compared to the control. Phytochemical analysis revealed that S. pratensis extracts contain notable TPC and TFC contents, with their concentrations increasing consistently with the extract concentration. Correlation analysis showed that higher TPC and TFC contents were strongly negatively correlated with germination and seedling growth parameters. Radish exhibited the highest sensitivity to the extracts, while lettuce was the most tolerant. Further research under field conditions is needed to assess the efficacy, selectivity, and practical potential of S. pratensis extracts in sustainable crop production systems. Full article
Show Figures

Figure 1

17 pages, 1320 KB  
Article
Allelopathic Impact of Erigeron canadensis and Erigeron annuus on Major Crop Species
by Jiale Liu, Xu Liu, Shengjie Fu, Hongfeng Wang and Liqiang Mu
Diversity 2025, 17(5), 318; https://doi.org/10.3390/d17050318 - 27 Apr 2025
Viewed by 1388
Abstract
This study investigates the allelopathic potential of two invasive plants from the Asteraceae family, Erigeron canadensis L. and Erigeron annuus (L.) Desf., which are prevalent in Heilongjiang Province, China. We systematically examined the effects of water extracts from these plants at various concentrations [...] Read more.
This study investigates the allelopathic potential of two invasive plants from the Asteraceae family, Erigeron canadensis L. and Erigeron annuus (L.) Desf., which are prevalent in Heilongjiang Province, China. We systematically examined the effects of water extracts from these plants at various concentrations (25, 50, 75, and 100 g·L−1) on the germination and seedling growth of three major food crops: wheat (Triticum aestivum L.), rice (Oryza sativa L.), and corn (Zea mays L.). Using the Petri dish method and two-way ANOVA with SPSS27 software, we assessed the interaction effects of species and concentration on these crops. The results revealed differential chemosensory effects between E. canadensis and E. annuus extracts. Specifically, the aqueous extract of E. canadensis at 25 g·L−1 promoted wheat root length, while all other growth indicators showed inhibitory effects. The inhibitory effects on wheat, rice, and maize increased with the concentration of the leaching solution. At 100 g·L−1, E. annuus extract completely inhibited the germination of wheat and rice, with an integrated sensitization effect index of −1. The inhibitory effects of the extracts on seed growth indices were in the order of shoot length > root length > biomass. Wheat was the most affected among the three crops, followed by rice, and maize was the least affected. The allelopathic potential of E. annuus was more substantial than that of E. canadensis. Full article
(This article belongs to the Special Issue Ecology and Evolution of Invasive Plant Species)
Show Figures

Figure 1

18 pages, 11135 KB  
Article
Isolation and Characterization of Photosensitive Hemolytic Toxins from the Mixotrophic Dinoflagellate Akashiwo sanguinea
by Jiling Pan, Ting Fang, Shuang Xie, Ning Xu and Ping Zhong
Mar. Drugs 2025, 23(4), 153; https://doi.org/10.3390/md23040153 - 31 Mar 2025
Cited by 2 | Viewed by 1390
Abstract
The mixotrophic dinoflagellate Akashiwo sanguinea is known to have acute toxic effects on multiple marine organisms, while the composition and chemical properties of its toxins remain unclear. In this study, we established a method for separation and purification of A. sanguinea toxins using chromatographic [...] Read more.
The mixotrophic dinoflagellate Akashiwo sanguinea is known to have acute toxic effects on multiple marine organisms, while the composition and chemical properties of its toxins remain unclear. In this study, we established a method for separation and purification of A. sanguinea toxins using chromatographic techniques. The acetone extract of A. sanguinea exhibited higher hemolytic activity and shorter incubation time compared to methanol and ethyl acetate extracts. Five fractions were obtained by solid-phase extraction (SPE), of which SPE3 (acetone/water ratio 3:2) and SPE4 (acetone/water ratio 4:1) exhibited the highest hemolytic activities and allelopathic effects. Further purification on SPE3 and SPE4 using reverse-phase high-performance liquid chromatography (RP-HPLC) coupled with a diode array detector (DAD) resulted in 11 subfractions, among which Fr4-5 displayed the strongest hemolytic activity. Nearly all active subfractions exhibited higher hemolytic activities incubated under light than those in the dark (p < 0.05), suggesting that A. sanguinea can produce both photosensitive and non-photosensitive toxins, with the former being the primary contributors to its hemolytic activity. Molecular characterization by UV-Vis, FTIR, and HRMS/MS analysis revealed that the structural features of Fr4-5 were highly consistent with porphyrin analogs and could be derived from chlorophyll c-related precursors. These findings highlight that the photosensitive toxins in A. sanguinea may serve dual roles in stress adaptation and ecological competition, potentially contributing to the formation of the blooms. Full article
(This article belongs to the Special Issue Marine Algal Chemical Ecology 2024)
Show Figures

Figure 1

16 pages, 6463 KB  
Article
Faba Bean Extracts Allelopathically Inhibited Seed Germination and Promoted Seedling Growth of Maize
by Bo Li, Enqiang Zhou, Yao Zhou, Xuejun Wang and Kaihua Wang
Agronomy 2024, 14(12), 2857; https://doi.org/10.3390/agronomy14122857 - 29 Nov 2024
Cited by 2 | Viewed by 1937
Abstract
Allelopathic interactions between crops in an intercropping system can directly affect crop yields. Faba beans may release allelochemicals to the cropping system. However, the allelopathic effects in the faba bean–maize relay intercropping system are still unclear. Maize seeds and seedlings were treated with [...] Read more.
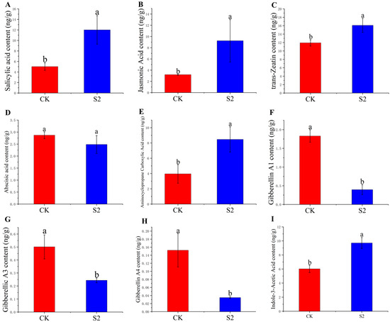
Allelopathic interactions between crops in an intercropping system can directly affect crop yields. Faba beans may release allelochemicals to the cropping system. However, the allelopathic effects in the faba bean–maize relay intercropping system are still unclear. Maize seeds and seedlings were treated with a 50 mL of 100 g L−1 faba bean leaf extract (L1), 150 g L−1 faba bean leaf extract (L2), 100 g L−1 faba bean stem extract (S1), or 150 g L−1 faba bean stem extract (S2) and sterile water (CK) to study the allelopathic effects of faba bean extracts on maize seed germination and seedling growth. The α-amylase activities, antioxidant enzyme activities, phytohormones and allelochemical content in maize seeds were determined to evaluate the allelopathic effects of faba bean extracts on maize seed germination. The agronomic traits, photosynthetic parameters and nutrient absorption characteristics of maize seedlings were determined to explore the allelopathic effects of faba bean extracts on maize seedling growth. High-concentration (150 g L−1) faba bean stem extracts released allelochemicals, such as 4-hydroxybenzoic acid, hydrocinnamic acid, trans-cinnamic acid, and benzoic acid. These allelochemicals entered the interior of maize seeds and increased the abscisic acid, salicylic acid and indole-3-acetic acid content in maize seeds but decreased the aminocyclopropane carboxylic acid in maize seeds. High-concentration (150 g L−1) faba bean stem extracts increased the superoxide dismutase and peroxidase activity and decreased the α-amylase activity in maize seeds at germination (36 h). Faba bean extracts released nitrogen, potassium and phosphorus and increased nitrogen content, phosphorus content, potassium content and photosynthesis of maize seedling. In summary, faba bean extracts released allelochemicals that inhibited the germination of maize seeds but released nutrients and promoted the growth and development of maize seedlings. The research results provide a basis for improving the Faba bean–maize relay strip intercropping. Full article
(This article belongs to the Section Agricultural Biosystem and Biological Engineering)
Show Figures

Figure 1

16 pages, 1614 KB  
Article
Allelopathic Effects of Soil Extracts from Rhus typhina Plantations on Common Turfgrass Species in Northern China
by Jiahao Li, Liang Fang, Liping Li, Yuxin Dong, Lingsu Chen and Xiaoxi Zhang
Agronomy 2024, 14(11), 2561; https://doi.org/10.3390/agronomy14112561 - 31 Oct 2024
Viewed by 1654
Abstract
The allelopathic plant Rhus typhina (Rt) has a shallowly distributed root system with a high density of secretory canals, which may allow it to exhibit indirect allelopathic effects through the soil on an understory turf species in a plantation. However, how these effects [...] Read more.
The allelopathic plant Rhus typhina (Rt) has a shallowly distributed root system with a high density of secretory canals, which may allow it to exhibit indirect allelopathic effects through the soil on an understory turf species in a plantation. However, how these effects occur is still not well understood. For this study, the soil from the root zone of Rt was extracted via distilled water, and extracts at different concentrations (25, 50, and 100 g L−1) were used to treat six commonly planted turfgrass species, including Medicago sativa (Ms), Lolium perenne (Lp), Trifolium repens (Tr), Medicago falcata (Mf), Festuca arundinacea (Fa) and Coronilla varia (Cv), during a continuous germination–seedling culture experiment via the sand culture method. The germination, physiological, and growth indicators of the turfgrass seedlings were analyzed. The allelopathic effects of the soil extract at different concentrations on the six receivers were evaluated to provide a scientific basis for managing plantations with multilayer structures. The results indicated that, in general, the extracts of the soil from the root zone of Rt inhibited the germination and seedling growth performance characteristics of the mentioned turfgrasses; the inhibitory effects on Ms, Lp, and Mf increased with increasing concentrations of the Rt soil extracts, whereas those on Fa tended to decrease. In addition, the inhibitory effect on Tr obviously weakened at 50 g·L−1 relative to that at 25 g·L−1, whereas it became more obvious at 100 g·L−1; however, it exhibited the opposite trend for Cv. Generally, Mf and Cv were more sensitive to Rt allelochemicals at relatively low concentrations, and these species should be avoided when planting in Rt plantations at low densities. In contrast, Lp and Tr were more sensitive than those at relatively high concentrations and should be avoided when planting in Rt plantations at high densities. Full article
(This article belongs to the Section Grassland and Pasture Science)
Show Figures

Figure 1

17 pages, 2496 KB  
Article
Allelochemicals Released from Rice Straw Inhibit Wheat Seed Germination and Seedling Growth
by Bo Li, Wenwen Wu, Wenyuan Shen, Fei Xiong and Kaihua Wang
Agronomy 2024, 14(10), 2376; https://doi.org/10.3390/agronomy14102376 - 14 Oct 2024
Cited by 5 | Viewed by 1888
Abstract
Recently, returning rice straw to soil has become a common problem in wheat production because it causes decreased wheat seedling emergence. Allelopathy is an important factor affecting seed germination. However, the effects of rice straw extracts on wheat seed germination and seedling growth [...] Read more.
Recently, returning rice straw to soil has become a common problem in wheat production because it causes decreased wheat seedling emergence. Allelopathy is an important factor affecting seed germination. However, the effects of rice straw extracts on wheat seed germination and seedling growth remain unclear. Wheat seeds and seedlings were treated with 30 g L−1 of rice leaf extracts (L1), 60 g L−1 of rice leaf extracts (L2), 30 g L−1 of rice stem extracts (S1), 60 g L−1 of rice stem extracts (S2) and sterile water (CK) to study the allelopathic effects of rice straw extracts on wheat seed germination and seedling growth. The α-amylase and antioxidant enzyme activities in wheat seeds; the agronomic traits, photosynthetic indicators, and nutrient contents of wheat seedlings; and the phenolic acids in rice stem extracts were determined. Common allelochemicals, including 4-hydroxybenzoic acid, hydrocinnamic acid, trans-cinnamic acid, vanillic acid, benzoic acid, protocatechualdehyde, caffeic acid, syringic acid, sinapic acid, and salicylic acid, were detected in rice stem extracts. Low-concentration rice leaf and stem extracts (30 g L−1) had no effect on the germination rate of wheat seeds. High-concentration (60 g L−1) rice stem and leaf extracts decreased the seed germination rate by 11.00% and 12.02%. Rice stem extract (60 g L−1) decreased the α-amylase activity, and gibberellin content of wheat seeds but increased superoxide dismutase, peroxidase, and catalase activities and malondialdehyde content in wheat seeds. Allelochemicals entered the internal tissues of wheat seeds, where they decreased the gibberellin content and α-amylase activity and increased the antioxidant enzyme activity, ultimately leading to an inhibitory effect on seed germination. Rice stem and leaf extracts decreased the SPAD value and photosynthetic indicators of wheat seedlings. Rice stem extract (60 g L−1) decreased the fresh weight and root length of wheat seedlings by 31.37% and 45.46%. Low-concentration rice leaf and stem extract (30 g L−1) had no effect on the nutrient contents of wheat seedlings. Rice leaf and stem extracts (60 g L−1) decreased the nitrogen and potassium contents of wheat seedlings. These results indicated that low-concentration rice leaf and stem extract (30 g L−1) had no effect on wheat seed germination and the high-concentration rice stem extract (60 g L−1) released allelochemicals and inhibited wheat seed germination and seedling growth. These findings provide a basis for the improvement of straw return techniques. Full article
(This article belongs to the Section Agricultural Biosystem and Biological Engineering)
Show Figures

Figure 1

18 pages, 7560 KB  
Article
Allelopathic Effects of Sugarcane Leaves: Optimal Extraction Solvent, Partial Separation of Allelopathic Active Fractions, and Herbicidal Activities
by Ramida Krumsri, Hisashi Kato-Noguchi and Thanatsan Poonpaiboonpipat
Plants 2024, 13(15), 2085; https://doi.org/10.3390/plants13152085 - 27 Jul 2024
Cited by 1 | Viewed by 2530
Abstract
The inhibitory potential of allelopathic plants is the subject of increasing research attention for their application in weed management. The sugarcane leaf is an agricultural waste product that has been reported to have allelopathic potential. Therefore, the present study determined the optimal organic [...] Read more.
The inhibitory potential of allelopathic plants is the subject of increasing research attention for their application in weed management. The sugarcane leaf is an agricultural waste product that has been reported to have allelopathic potential. Therefore, the present study determined the optimal organic solvent system and fractionation procedure to enhance the quantity of this extract and its allelopathic efficiency. Sugarcane leaves were extracted using five ethanol/water solvent ratios (v/v): 00:100, 25:75, 50:50, 75:25, and 100:00. Their allelopathic effects on seed germination and seedling growth were assayed in two major weeds, Echinochloa crus-galli (L.) Beauv. and Amaranthus viridis L. The results showed that the extract concentration, solvent ratio, and their interaction significantly inhibited the growth parameters in A. viridis. Consequently, a crude ethanol/water ratio of 00:100 was used to separate the active fraction via acid–base solvent partitioning. The acidic fraction (AE) exerted the greatest inhibitory effect and completely (100%) inhibited A. viridis at all concentrations, followed by the original crude fraction, neutral fraction, and aqueous fraction. Moreover, all of the fractions had selective effects, inhibiting A. viridis much more than E. crus-galli in the laboratory tests. The chemical analysis using gas chromatography/mass spectrometry indicated that the AE fraction contained 20 different compounds. The five major compounds included alkaloids, organic acids, and phenols. Therefore, the AE fraction was selected for formulation in a concentrated suspension and tested for its herbicidal characteristics. The formulation exhibited early post-emergence activities and had a stronger effect on A. viridis compared to E. crus-galli. The physiological mechanism of the formulation was tested against A. viridis. The thiobarbituric acid reactive substances and H2O2 occurred in the A. viridis leaf, which suggests lipid peroxidation and cell disruption. Full article
Show Figures

Figure 1

16 pages, 2495 KB  
Article
Phytochemistry and Allelopathic Effects of Tanacetum vulgare L. (Tansy) Extracts on Lepidium sativum L. (Garden Pepper Cress) and Lactuca sativa L. (Lettuce)
by Asta Judžentienė, Jurga Būdienė, Donata Stancelytė and Irena Nedveckytė
Horticulturae 2024, 10(6), 538; https://doi.org/10.3390/horticulturae10060538 - 21 May 2024
Cited by 4 | Viewed by 2885
Abstract
Tanacetum vulgare is a perennial plant growing wild along roadsides, pastures, and agricultural fields. Its prevalence is due to several factors: good climatic adaptability, high self-seeding potential, phenotypic plasticity, multiplying via underground rhizomes and its allelochemicals, which influence the seed germination, root development [...] Read more.
Tanacetum vulgare is a perennial plant growing wild along roadsides, pastures, and agricultural fields. Its prevalence is due to several factors: good climatic adaptability, high self-seeding potential, phenotypic plasticity, multiplying via underground rhizomes and its allelochemicals, which influence the seed germination, root development and the overall vegetation of the surrounding plants. The phytochemistry of tansy extracts and their allelopathic activity on the seed germination and growth of garden pepper cress (Lepidium sativum L.) and lettuce (Lactuca sativa L.) were investigated. The major volatile compounds, 1,8-cineole, camphor and borneol were determined in tansy flower extracts. The leaf extracts contained appreciable amounts of 1,8-cineole and borneol. Feruloylquinic, (di)ferulic and dehydrocaffeoyl-5-caffeoylquinic acids, acacetin, ludovicin C and tanacetin were determined both in leaf and inflorescence extracts. Root extracts contained minor quantities of some terpenoids and polyphenols. Extracts of T. vulgare’s aerial parts showed strong allelopathic effects on model plants. The flower and leaf water extracts inhibited lettuce and pepper cress seed germination and growth the most. According to the fractions, the acidic solution had the strongest effect, followed by neutral and alkaline solutions. At the highest relative concentrations of 0.5 and 1.0 tansy leaf acidic fraction, lettuce seed germination and growth decreased by 89.93% (from 35.07 ± 4.79 to 3.53 ± 2.10 mm) and by 98.46% (from 35.07 ± 4.79 to 0.57 ± 0.98 mm) compared to the control, respectively. Tansy root extracts showed weak effects. Our results demonstrated that the allelopathic inhibitory potential of tansy extracts was higher on garden pepper cress than on lettuce. The presence of allelochemicals in T. vulgare may have a significant impact on plant communities and ecosystems. Full article
Show Figures

Figure 1

18 pages, 369 KB  
Article
Does the Invasive Heracleum mantegazzianum Influence Other Species by Allelopathy?
by Daniela Gruľová, Beata Baranová, Adriana Eliašová, Christelle Brun, Jozef Fejér, Ivan Kron, Luca Campone, Stefania Pagliari, Ľuboš Nastišin and Vincent Sedlák
Plants 2024, 13(10), 1333; https://doi.org/10.3390/plants13101333 - 12 May 2024
Cited by 5 | Viewed by 4937
Abstract
Heracleum mantegazzianum is an invasive species in middle Europe. The mode of action of its invasiveness is still not known. Our study focuses on observation of potential allelopathic influence by the production and release of phytochemicals into its environment. Plant material was collected four [...] Read more.
Heracleum mantegazzianum is an invasive species in middle Europe. The mode of action of its invasiveness is still not known. Our study focuses on observation of potential allelopathic influence by the production and release of phytochemicals into its environment. Plant material was collected four times within one season (April, May, June, July 2019) at locality Lekárovce (eastern Slovakia) for comparison of differences in composition and potential allelopathy. Water extracts from collected samples were used for different biological assays. The total phenols and flavonoids were determined spectrophotometrically. The profile and content of phenolic components, including coumarins, were determined by two techniques of liquid chromatography along with in vitro evaluation of the free radical scavenging activity of extracts (DPPH, Hydroxyl, Superoxide, and FRAP). The changes in composition in extracts in different seasonal periods were evident as well as potential phytotoxic activity in some concentrations on specific model plants. The slight antioxidant activity was noted. The invasiveness of the current species could be supported by the excretion of its phytochemicals into its surroundings and by different modes of action influencing living organisms in its environment. Full article
(This article belongs to the Special Issue Plant Invasions across Scales)
19 pages, 5966 KB  
Article
Allelopathic Effects of Corn Straw and Its Water Extracts on Four Weed Species and Foxtail Millet
by Shuqi Dong, Jiaxin Dong, Peiyao Li, Bo Cao, Mengyao Liu, Zhenyu Guo, Xie Song, Yongqing Ma, Chunyan Hu and Xiangyang Yuan
Plants 2024, 13(10), 1315; https://doi.org/10.3390/plants13101315 - 10 May 2024
Cited by 1 | Viewed by 1985
Abstract
Straw covering is a protective tillage measure in agricultural production, but there is relatively little research on the allelopathic effects of corn straw on weeds and foxtail millet. This experiment studied the allelopathic effects of corn straw on four weeds (Chenopodium album [...] Read more.
Straw covering is a protective tillage measure in agricultural production, but there is relatively little research on the allelopathic effects of corn straw on weeds and foxtail millet. This experiment studied the allelopathic effects of corn straw on four weeds (Chenopodium album, Setaria viridis, Echinochloa crus-galli and Amaranthus retroflexus) in foxtail millet fields, and also measured the growth indicators of foxtail millet. The study consisted of Petri dish and field experiments. Five treatments were used in the Petri dish experiment: clear water as control (0 g/L, TCK) and four types of corn straw water extracts. They were, respectively, the stock solution (100 g/L, T1), 10 X dilution (10 g/L, T2), 50 X dilution (2 g/L, T3), and 100 X dilution (1 g/L, T4) of corn straw water extracts. Additionally, seven treatments were set up in the field experiment, consisting of three corn straw covering treatments, with covering amounts of 3000 (Z1), 6000 (Z2) and 12,000 kg/ha (Z3), and four control treatments—one treatment with no corn straw cover (CK) and three treatments involving the use of a black film to create the same shading area as the corn straw covered area, with black film coverage areas of 50% (PZ1), 70% (PZ2), and 100% (PZ3), respectively. The results showed that the corn straw water extract reduced the germination rate of the seeds of the four weeds. The T1 treatment resulted in the allelopathic promotion of C. album growth but the inhibition of S. viridis, E. crus-galli, and A. retroflexus growth. Treatments T2, T3, and T4 all induced the allelopathic promotion of the growth of the four weeds. The order of the effects of the corn straw water extracts on the comprehensive allelopathy index of the four weed seeds was as follows: C. album > S. viridis > A. retroflexus > E. crus-galli. With an increase in the corn straw mulching amount, the density and total coverage of the four weeds showed a gradual downward trend, whereas the plant control effect and fresh weight control effect showed a gradual upward trend. All indices showed the best results under 12,000 kg/ha of mulching and returning to the field. Overall, corn straw coverage significantly impacted the net photosynthetic rate and transpiration rate of foxtail millet and increased the yield of foxtail millet. Under coverages of 6000 and 12,000 kg/ha, the growth of foxtail millet is better. Based on our findings, we recommend a corn straw coverage of 12,000 kg/ha for the allelopathic control of weeds in foxtail millet fields. Full article
(This article belongs to the Special Issue Plant Chemical Ecology)
Show Figures

Figure 1

15 pages, 5577 KB  
Article
Phytotoxic Effects and Potential Allelochemicals from Water Extracts of Paulownia tomentosa Flower Litter
by Yali Xiao, Jing Tan, Yi Yu, Jiajia Dong, Lingling Cao, Lunguang Yao, Yingjun Zhang and Zhiqiang Yan
Agronomy 2024, 14(2), 367; https://doi.org/10.3390/agronomy14020367 - 13 Feb 2024
Cited by 4 | Viewed by 3485
Abstract
Flowers of Paulownia spp. wither and fall on a large scale after blooming in spring and have potential allelopathic effects on surrounding plants, including crops and weeds. In this study, the phytotoxic effects of water extracts of Paulownia tomentosa flower litter (EPF) on [...] Read more.
Flowers of Paulownia spp. wither and fall on a large scale after blooming in spring and have potential allelopathic effects on surrounding plants, including crops and weeds. In this study, the phytotoxic effects of water extracts of Paulownia tomentosa flower litter (EPF) on wheat (Triticum aestivum L.), lettuce (Lactuca sativa L.), green bristlegrass (Setaria viridis L.) and purslane (Portulaca oleracea L.) were evaluated in the laboratory. The mode of action of the phytotoxicity of EPF on lettuce seedlings was studied and the secondary metabolites in EPF were analyzed by liquid chromatography high-resolution mass spectrometry (LC-HRMS). The results show that EPF significantly inhibited the seed germination and seedling growth of four target plants in a concentration-dependent manner. In addition, EPF could induce the excessive accumulation of reactive oxygen species (ROS) flowing with oxidative damage of the lipid bilayer of the biofilm, resulting in reduced cell viability and even apoptosis in lettuce. There were 66 secondary metabolites identified by LC-HRMS in P. tomentosa flowers. Among them, 10 compounds, including salicylic acid, caffeic acid, parthenolide, 7-hydroxycoumarin and abscisic acid (ABA), were all known allelochemicals. In summary, P. tomentosa flower litter displayed significant allelopathic effects, which were related to the accumulation of ROS in target plants. Phenolic acids, flavonoids as well as ABA are probably the main allelochemicals of P. tomentosa flowers. Full article
(This article belongs to the Section Plant-Crop Biology and Biochemistry)
Show Figures

Figure 1

14 pages, 1322 KB  
Article
Investigating the Phytotoxic Potential of Helianthus annuus on Germination and Seedling Morphological Parameters of Two Target Poaceae Species: Spring Barley and Spring Wheat
by Daiva Janusauskaite
Agronomy 2023, 13(12), 3064; https://doi.org/10.3390/agronomy13123064 - 14 Dec 2023
Viewed by 2696
Abstract
Allelopathy is a phenomenon that has both beneficial and deleterious influences among plants within the same ecosystem. The allelopathic activity of sunflower on cereals, one of the most popular crops in crop rotation, is still poorly studied and understood. This experiment was aimed [...] Read more.
Allelopathy is a phenomenon that has both beneficial and deleterious influences among plants within the same ecosystem. The allelopathic activity of sunflower on cereals, one of the most popular crops in crop rotation, is still poorly studied and understood. This experiment was aimed at evaluating the allelopathic potential of aqueous extracts of different parts of the sunflower (Helianthus annuus L.) grown in the Boreal environmental zone on seedling morphological parameters of spring barley (Hordeum vulgare L.) and spring wheat (Triticum aestivum L.). The following three factors were studied: factor A—two growth stages: flowering sunflower (FS) and ripe sunflower (RS); factor B—three sunflower plant parts: leaves and stems (L + S), heads (H), and roots (R) for extract preparation; factor C—five concentrations (25%, 50%, 75%, and 100% (initial concentration 1:10, referred to as 100% solution)) of sunflower aqueous extracts and deionised water (0%) as a control. FS extract revealed an inhibitory effect on all parameters of spring barley and spring wheat in comparison to RS extract. Extracts from different plant parts differed in their allelopathic effects. Compared with L + S extract, R extract significantly stimulated SG and the morphological characteristics of wheat. H extract significantly inhibited barley RL and SL. With increasing concentrations of the extracts, the values of all investigated parameters were significantly inhibited for both receptor plants. Full article
Show Figures

Figure 1

18 pages, 1727 KB  
Article
Sustainable Recovery of Anthocyanins and Other Polyphenols from Red Cabbage Byproducts
by Rusăndica Stoica, Mihaela Ganciarov, Diana Constantinescu-Aruxandei, Luiza Capră, Ioana-Raluca Șuică-Bunghez, Raluca-Mădălina Senin, Georgiana Diana Pricope, Georgeta-Ramona Ivan, Costin Călin and Florin Oancea
Foods 2023, 12(22), 4157; https://doi.org/10.3390/foods12224157 - 17 Nov 2023
Cited by 9 | Viewed by 6610
Abstract
The objective of this work was to develop a sustainable process for the extraction of anthocyanins from red cabbage byproducts using, for the first time, apple vinegar in extractant composition. Our results showed that the mixture 50% (v/v) ethanol–water, [...] Read more.
The objective of this work was to develop a sustainable process for the extraction of anthocyanins from red cabbage byproducts using, for the first time, apple vinegar in extractant composition. Our results showed that the mixture 50% (v/v) ethanol–water, acidified with apple vinegar, used in the proportion of 25 g of red cabbage by-products per 100 mL of solvent, was the best solvent for the preparation of an anthocyanin extract with good stability for food applications. The chemical characterization of this extract was performed by FTIR, UV-VIS, HPLC-DAD, and ICP-OES. The stability was evaluated by determining the dynamics of the total polyphenol content (TPC) and the total monomeric anthocyanin pigment content (TAC) during storage. On the basis of the statistical method for analysis of variance (ANOVA), the standard deviation between subsamples and the repeatability standard deviation were determined. The detection limit of the stability test of TPC was 3.68 mg GAE/100 g DW and that of TAC was 0.79 mg Cyd-3-Glu/100 g DW. The red cabbage extract has high TPC and TAC, good stability, and significant application potential. The extracted residues, depleted of anthocyanins and polyphenols with potential allelopathic risks, fulfill the requirements for a fertilizing product and could be used for soil treatment. Full article
(This article belongs to the Section Food Security and Sustainability)
Show Figures

Graphical abstract

Back to TopTop