Abstract
This study aims to investigate the influence of various metal compounds (ZnO, ZnCl2, Zn(OH)2, MgO, MgCl2, and Mg(OH)2) on the structural and electrochemical properties of chars derived from the pyrolysis of polyvinyl chloride (PVC). Raw PVC samples mixed with different metal compounds were firstly pyrolyzed at 500 °C in a fixed-bed reactor. The produced chars were further pyrolyzed at 800 °C. The objective was to evaluate the impact of these metal compounds on the char structure through comparative analysis. The pyrolytic chars were characterized using Fourier transform infrared spectroscopy (FTIR), X-ray diffraction (XRD), Raman spectroscopy, and Brunauer–Emmett–Teller (BET) analysis. Zinc-based additives notably increased carbon yield to 32–34 wt.%, attributed to ZnCl2-induced cross-linking. Specifically, ZnO facilitated porous architectures and aromatic structures with six or more rings. Mg-based compounds induce the formation of a highly stacked carbon structure primarily composed of crosslinked cyclic alkenes, rather than large polyaromatic domains. Upon further thermal treatment, these aliphatic-rich stacked structures can be progressively transformed into aromatic frameworks through dehydrogenation reactions at elevated temperatures. A high-surface-area porous carbon material (PVC/ZnO-800, SSA = 609.382 m2 g−1) was synthesized, demonstrating a specific capacitance of 306 F g−1 at 1 A g−1 current density.
1. Introduction
PVC, a high-performance thermoplastic polymer, is widely utilized in various applications, such as plumbing, irrigation, and water supply systems, owing to its exceptional strength, chemical resistance, and low thermal conductivity []. With rapid urbanization and infrastructure development, global PVC consumption has grown significantly. From 2016 to 2020, annual production of plastics exceeded 330 million metric tons, with PVC accounting for 9.6% of the total output in 2020 []. PVC waste exhibits a dual nature of resource and solid waste: the complex natural decomposition of PVC poses risks of soil and water contamination, and PVC can serve as a potential source of fuel and carbon materials []. However, PVC recycling poses significant challenges, with current recycling capabilities in Europe reaching only 10% of the total PVC waste []. Traditional disposal methods include mechanical recycling (25.5%), chemical recycling (0.8%), incineration (9.3%), and landfill disposal (36.0%) [,]. Among these methods, both incineration and landfill disposal pose significant environmental risks through emissions of harmful substances, while mechanical recycling is constrained by high material losses, limited processing efficiency, and low-value end products [,]. Consequently, there is an urgent need for clean and efficient disposal technologies that can convert PVC waste into high-quality products, enable sustainable urban waste management, and support the national “carbon peak and carbon neutrality” goals.
Pyrolysis is a typical thermochemical conversion technology, which transforms organic matter via thermal decomposition in inert conditions, producing oil, gas, and char []. Compared to traditional incineration methods, this process significantly reduces pollutant emission while enabling high-value recycling of PVC waste. Current research on PVC pyrolysis primarily focuses on three key mechanisms []: (i) the general pyrolysis mechanism of PVC, (ii) co-pyrolysis of PVC blends, and (iii) catalytic dehydrochlorination. Generally, the pyrolysis of PVC involves three stages: initial decomposition into intermediates and HCl (250–350 °C); secondary decomposition of intermediates, yielding polyenes and small amounts of volatiles (350–525 °C); and final conversion of polyenes into aromatic hydrocarbons and chars []. Therefore, the dominant mechanism of PVC pyrolysis is branched-chain scission, which includes removing HCl and releasing 2–4 cyclic aromatic hydrocarbons []. Meanwhile, during the initial thermal decomposition stage, the release of HCl might catalyze benzene formation, with cyclohexadiene serving as the probable cross-linking center of intermediates []. Al-Yaari et al. [] and Pan et al. [] revealed that the activation energy in the first stage (75 kJ mol−1) was markedly lower than in the second stage (140 kJ mol−1), indicating that a well-regulated pyrolysis condition can effectively suppress the production of secondary chlorine-containing byproducts. Huang et al. [] employed density functional theory (DFT) to analyze the thermal decomposition mechanism of PVC model compounds, revealing that HCl elimination proceeds via concerted mechanisms, with activation barriers ranging from 167.4 kJ mol−1 to 243.3 kJ mol−1. Further research has shown that the defects in PVC enhance dehydrochlorination efficiency by reducing bond dissociation energies and energy barriers, promoting synergistic reactions at lower temperatures and C-Cl homolysis reactions at higher temperatures [].
Notably, co-pyrolysis of PVC with metal compounds has been demonstrated to effectively modify reaction pathways, promoting dehydrochlorination and product upgrading []. In particular, metal compounds can substantially enhance dehydrochlorination during PVC pyrolysis. This phenomenon is primarily driven by two mechanisms: the alkaline nature of metal compounds reacting with released HCl or the catalytic activity of metal compounds directly interacting with PVC molecules [,]. Meng et al. [] revealed that the dehydrochlorination performance of metal oxides follows the sequence ZnOnm > ZnOnar > CaO > MgO > CuO > Fe2O3 > Al2O3, which is potentially linked to the size of the metal ion radius. Among them, the incorporation of zinc additives achieved 84.48% dehydrochlorination efficiency while simultaneously suppressing benzene formation by 80%, and it demonstrated a fourth stage of thermal decomposition, which involved ZnCl2 volatilization at elevated temperatures and the thermal degradation of polyene chains [,]. Based on the DFT calculation results, the incorporation of copper (Cu) demonstrated a pronounced effect in reducing the energy barrier of poly(vinyl chloride) (PVC) dehydrochlorination, decreasing it from 211.0 to 73.6 kJ/mol []. However, this catalytic behavior may paradoxically elevate polychlorinated dibenzo-p-dioxin and furan (PCDD/F) emissions under certain conditions. Specifically, at 300 °C, PCDD/F formation reached a peak after 48 h of reaction, and increasing the CuO/PVC molar ratio led to significant suppression of PCDD/F generation, suggesting that CuO might inhibit its formation through enhanced dehydrochlorination pathways at higher concentrations []. Ca, Mg, and Fe mainly worked by adsorbing HCl gas via alkaline adsorption, exhibiting little influence on the pyrolysis reaction pathways [,,]. Furthermore, several works indicated that Zn-based compounds enhance residual char yield while suppressing benzene formation [,,]. This phenomenon likely stemmed from ZnCl2 chelating chlorine atoms on PVC molecular chains to form polar transition-state carbenium ions, thereby promoting intermolecular cross-linking []. Specifically, benzene formation from PVC required not only the elimination of ≥3 HCl molecules from six-carbon segments but also the detachment of pre-formed cyclohexadienyl moieties from polymer chains []. Cross-linked structures inhibited the final step, consequently reducing benzene yield.
Therefore, the potential for co-pyrolysis of PVC with metal compounds is evident. However, current understanding remains limited regarding the evolution of product properties during PVC pyrolysis with metal additives and comparative studies among different metal compounds. This study employed a two-step pyrolysis strategy to convert PVC into high-performance carbon materials, with particular emphasis on the structural evolution of char during the first-step co-pyrolysis with metal additives. To compare the effects of different metal compounds on PVC pyrolysis, ZnO, ZnCl2, Zn(OH)2, MgO, MgCl2, and Mg(OH)2 were selected. The structural characteristics of chars were studied by a range of comprehensive analytical methods, including FTIR, XRD, BET, and Raman spectroscopy, which provided an insight into the char structures. Additionally, the stability of char was investigated by thermogravimetric analysis (TGA). The electrochemical performance was also characterized by three-electrode testing.
2. Results
2.1. Char Yield
Figure 1 illustrates the char yield of PVC pyrolyzed with various metal compounds at 500 °C. As shown, the char yield of raw PVC is only 22 wt.%. The addition of Mg-based compounds has a minimal impact on char yield, while incorporating Zn-based compounds increases the char yield markedly (32–34 wt.%). The significant changes in char yields upon incorporating zinc-based compounds may be associated with the formation of ZnCl2 []. During the dehydrochlorination stage of PVC, Zn- and Mg-based compounds can facilitate the rapid liberation of HCl owing to their alkaline properties forming metal chlorides. At high temperatures, the Lewis acid ZnCl2 facilitates the isomerization of cis-olefins to trans-olefins []. The formed trans-olefins can stabilize the carbon framework and hinder the transformation of carbon into volatile hydrocarbons such as benzene, consequently boosting the residual carbon accumulation.

Figure 1.
Effect of different metal compound additives on char yield.
2.2. Analysis of Char
2.2.1. X-Ray Diffraction Analysis
XRD offers detailed information on the chemical composition and structural characteristics of crystalline materials, revealing three characteristic peaks: the γ band centered at approximately 20°, corresponding to aliphatic structures; the π band at ~26°, representing the (002) reflection of aromatic carbon structure; and the (10) band near 42°, indicative of polycyclic aromatic hydrocarbon structure stacking. The X-ray spectra of the chars obtained with different metal compounds are shown in Figure 2.

Figure 2.
XRD patterns of pyrolysis chars obtained with different metal compound additives: (a) PVC with ZnO and Zn(OH)2 decomposition at 500 °C (unwashed); (b) at 500 °C; (c) at 800 °C.
Figure 2a compares the residues of unwashed PVC/ZnO and PVC/Zn(OH)2 pyrolytic chars at 500 °C. The analysis reveals the existence of ZnO and ZnCl2 in PVC/ZnO and PVC/Zn(OH)2. This indicates that both metals can react with released HCl, forming ZnCl2 during the reaction. Moreover, the observed ZnO means that the ZnO is not fully transformed into ZnCl2. Figure 2b,c compare the XRD patterns of different pyrolysis chars produced at 500 °C and 800 °C, respectively. All curves exhibit broad, diffuse peaks, which are characteristic of amorphous carbon. When the pyrolysis temperature increases from 500 to 800 °C, peaks (002) and (10) are enhanced, indicating the structure is transformed into a more stacked material with increasing temperature. Furthermore, PVC/Mg demonstrates higher intensity than PVC/Zn. This suggests that Mg-based compounds likely promote the formation of stacked structures with respect to Zn-based compounds.
The XRD parameters are calculated and given in Table 1. The d002 values of all samples range from 0.355 to 0.366 nm, notably exceeding the 0.335 nm for graphite crystals, signifying a lower degree of graphitization in the carbon materials []. Analysis of La, Lc, and N collectively reveals a decrease in the stacked structures of PVC/Zn compared to PVC, whereas an increased phenomenon is noted for PVC/Mg. Among PVC/Zn, PVC/ZnCl2 exhibits higher values of La, Lc, and N (3.156, 1.614, 4.492), followed by PVC/ZnO, with PVC/Zn(OH)2 showing the least results, with La being 2.468. This difference may be attributed to the ability of ZnCl2 to promote crosslinking reactions, leading to the formation of more stacked structures with respect to ZnO and Zn(OH)2 []. A higher fa is also registered for PVC/Zn, indicating a stronger aromaticity than other samples, especially PVC/Zn(OH)2 char, despite of the more stacked structure of PVC/Mg chars. From the above analysis, it can be seen that PVC pyrolysis with Mg compounds can produce chars with more stacked layers that contain aliphatics.

Table 1.
The calculated parameter of XRD.
2.2.2. Raman Spectroscopy
Raman spectroscopy is utilized to analyze ordered and amorphous carbon, offering a complementary approach to XRD for a comprehensive exploration of the chemical structure of carbonaceous materials [,]. Due to the lack of a distinct graphite structure observed in the XRD analysis, the G band at around 1590 cm−1 corresponds to the C=C vibration of aromatic benzene ring, and the D band at around 1350 cm−1 represents an aromatic ring system with ≥6 fused benzene rings. Parameters derived from the Raman spectra, including the peak band position, total Raman peak area, and the ID/IG and IG/IAll band area ratio, are derived to analyze the char structure and its correlation with reactivity [].
Figure 3a,b show the Raman parameters of pyrolytic chars obtained in the presence of different metal compounds at 500 °C. Compared to raw PVC pyrolytic char, the total peak intensities of PVC/Zn chars are all lower. This indicates the lower Raman scattering ability of PVC/Zn chars, which is possibly related with the formation of aromatic structures []. The higher intensity of ID/IG indicates that PVC/Zn pyrolytic chars contain a high proportion of aromatic structures with ≥6 fused benzene rings. This suggests that the introduction of ZnCl2 and ZnO can produce more aromatic clusters with ≥6 fused benzene rings. Comparatively, PVC/Zn(OH)2 char shows a lower ID/IG with respect to raw PVC. This indicates that the formation of aromatic clusters with ≥6 fused benzene rings is hindered in the presence of Zn(OH)2. The lower ID/IG and lowest La indicate that the growth of aromatic clusters with ≥6 fused benzene rings aromatics is weaker in the presence of Zn(OH)2 [].

Figure 3.
Raman parameters of pyrolysis chars obtained with different metal compound additives: (a) total Raman peak area at 500 °C; (b) ratio of band peak areas ID/IG and IG/IAll at 500 °C; (c) ratio of band peak areas ID/IG and IG/IAll at 800 °C.
In contrast, the PVC/Mg chars exhibit an opposite trend, showing a higher total peak area, which suggests that the presence of Mg can enhance the Raman scattering ability of the resulting chars. Although XRD analysis confirms the formation of more stacked and crosslinked structures, these structures are not fully aromatized and therefore can be more readily excited by laser irradiation. At the same time, a lower ID/IG and a slightly higher IG/IAll are observed. This indicates that the stacked and crosslinked structures are possibly composed of fewer aromatized clusters such as cyclohexenes or cyclohexadienes [].
From Figure 3c, it can be seen that ID/IG decreases and IG/IAll increases at 800 °C for all samples, which represents a transition from six fused benzene ring systems to larger macrocyclic structures. Comparatively, the PVC/Zn pyrolytic chars undergo a lower degree of aromatization than the PVC/Mg chars at 800 °C. This suggests that the relatively well-stacked and crosslinked structures in PVC/Mg are more readily transformed into macrocyclic aromatics than those in PVC/Zn, which are richer in ≥6-ring structures. Therefore, the recombination reaction extent of these ≥6-ring structures to form macrocyclic aromatics is lower compared to the dehydrogenation of stacked structures.
2.2.3. FTIR Analysis
The FTIR analysis depicts the functional group of char materials, as illustrated in Figure 4. In the cases of PVC/MgO, PVC/Mg(OH)2, PVC/ZnO, and PVC/Zn(OH)2, the weak peak at 3038 cm−1 is attributed to the stretching vibration of sp2 C-H bonds in alkenes/aromatics, and the sp3 C-H stretching vibrations (2914/2852 cm−1) represent the aliphatics in char materials []. The band at 1576 cm−1 corresponds to the C=C stretching vibration of alkenes/aromatics. Notably, PVC/Mg chars exhibit stronger peaks for sp2 C-H stretching vibrations, C=C stretching vibrations in alkenes/aromatics, and methyl bending peaks (around 1430 cm−1), suggesting the presence of a higher content of aliphatic alkene structures, which is consistent with the Raman analysis. Among the PVC/Mg chars, the PVC/MgCl2 char shows the strongest intensities of sp2 C-H and sp3 C-H stretching vibrations. These results indicate that the PVC/Mg contains more alkene structures.

Figure 4.
FTIR spectrometer of pyrolysis chars obtained with different metal compound additives.
2.2.4. BET Analysis
BET analysis can provide comprehensive insights into the pore structure of the carbon materials. The adsorption–desorption isotherms of N2 at 77 K can be used to characterize the specific surface area, pore volume, and pore size distribution of the chars. The low-pressure region (P/P0 < 0.1) reflects micropore filling, while the intermediate pressure range (0.4 < P/P0 < 0.9) indicates capillary condensation in mesopores and the high-pressure region (P/P0 > 0.9) reveals information about macropores []. These features serve as key indicators for evaluating porosity development during thermal treatment. The N2 adsorption isotherms and pore size distribution of pyrolytic chars obtained with different metal compounds are presented in Figure 5.

Figure 5.
N2 adsorption isotherms and pore size distribution figures of pyrolysis chars obtained with different metal compound additives: (a) Zn-based compounds; (b) Mg-based compounds; (c) at 800 °C.
The nitrogen adsorption–desorption isotherms of PVC/Zn samples are presented in Figure 5a. PVC, PVC/Zn(OH)2, and PVC/ZnCl2 exhibit Type I isotherms, showing significant adsorption at low pressures (P/P0 < 0.1), indicating abundant micropores. At saturation pressure (P/P0 > 0.99), an upward inflection suggests adsorbate condensation, typical of microporous materials. In contrast, PVC/ZnO displays a distinctive hysteresis loop during desorption, indicative of a Type IV isotherm with H4-type hysteresis, characteristic of micro–mesoporous materials.
Figure 5b shows the isotherms for PVC/Mg chars. PVC/MgO demonstrates Type IV behavior with an H3-type hysteresis loop, typically associated with aggregates of plate-like particles forming slit-shaped mesopores or macropores. PVC/Mg(OH)2 exhibits Type IV isotherms with H4-type hysteresis, characteristic of materials containing narrow slit-like pores. In contract, PVC/MgCl2 displays a Type III isotherm, indicative of predominantly non-porous materials. The pyrolytic chars obtained at 800 °C (Figure 5c) show enhanced adsorption capacities compared to their counterparts obtained at 500 °C. PVC/ZnO-800 and PVC/Zn(OH)2-800 retain isotherm characteristics comparable to those of their counterparts prepared at 500 °C. In contrast, PVC/MgO-800 and PVC/Mg(OH)2-800 display notably weakened hysteresis loops, implying that thermal treatment at elevated temperatures may induce expansion of narrow pores or fissures, thereby altering the pore structure.
Table 2 shows the BET parameters from the N2 adsorption–desorption measurements. The specific surface areas of PVC/ZnO, PVC/Zn(OH)2, and PVC/ZnCl2 are determined to be 518.117, 72.954, and 337.491 m2 g−1, respectively, with average pore sizes below 10 nm, indicating typical mesoporous characteristics. The relatively low specific surface area of PVC/Zn(OH)2 is likely attributable to its larger particle size, which reduces the available surface area for adsorption. In comparison, the specific surface areas of PVC/Mg chars are significantly lower than those of PVC/Zn chars. Notably, PVC/MgCl2 exhibits a specific surface area of only 18.11 m2 g−1, even lower than that of PVC char, suggesting limited porosity. Upon pyrolysis at 800 °C, the specific surface areas of PVC/ZnO-800, PVC/Zn(OH)2-800, and PVC/MgO-800 increase, accompanied by a reduction in average pore size, indicating that higher temperatures can create more microporous structures. Conversely, PVC/Mg(OH)2-800 shows a slight decrease in specific surface area and an increase in average pore size, which may be attributed to the widening of narrow pores or the formation of larger interconnected pores, consistent with the observed disappearance of hysteresis loops in the isotherms.

Table 2.
Bet parameters from the N2 adsorption–desorption measurements.
2.2.5. Thermogravimetric Characteristics
The influence of various metal compounds on the stability of chars are investigated through thermogravimetric analysis (TGA), as shown in Figure 6. For all chars, a gradual weight loss can be observed at higher temperatures. The weight loss rate follows the order PVC/Zn > PVC/Mg > PVC, indicating that the incorporation of both Zn- and Mg-based compounds promotes the formation of additional unstable chars during the preparation stage. For PVC/Zn chars, the weight loss follows the order PVC/Zn(OH)2 > PVC/ZnCl2 > PVC/ZnO, which reflects different chemical structures. Above 450 °C, the PVC/Zn(OH)2 and PVC/ZnCl2 chars start to decompose, resulting in a final weight loss of 25.88 wt.% and 16.27 wt.%, respectively. Moreover, the decomposition of these two samples continues to 800 °C. This indicates the weak stability of these two chars even though they demonstrate the highest yield of chars during the preparation stage. Comparatively, the PVC/ZnO char shows a relatively stable characteristic similar to PVC/Mg chars. The lower stability of PVC/Zn(OH)2 and PVC/ZnCl2 chars is related to the distinct structure.

Figure 6.
Effect of different metal compound additives on TG analysis.
2.3. Electrochemical Analysis of Chars
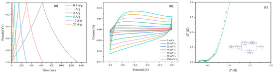
Based on BET analysis, PVC/ZnO-800 exhibits the highest specific surface area along with well-developed pore structures. Therefore, it is selected for subsequent electrochemical performance evaluation, as presented in Figure 7. The galvanostatic charge–discharge curves (Figure 7a) display highly symmetrical triangular shapes across a wide range of current densities (0.5–20 A g−1), indicating excellent electrochemical reversibility and typical electrical double-layer capacitor (EDLC) behavior. The specific capacitance values at current densities of 0.5, 1, 2, 5, 10, and 20 A g−1 are calculated to be 312, 306, 296, 278, 259, and 233 F g−1, respectively. As the current density increases by a factor of 40, the specific capacitance decreases by approximately 74%. This reduction is primarily attributed to the insufficient time for electrolyte ions to diffuse into and fully occupy the microporous structure of the material at high charge–discharge rates, particularly in samples with relatively large particle sizes []. Figure 7b demonstrates that the PVC/ZnO-800 displays quasi-rectangular cyclic voltammetry profiles with persistent redox peaks near −0.6 V when the scan rate increases from 5 to 100 mV s−1, evidencing both excellent rate capability and the existence of faradaic pseudo-capacitance contributions.

Figure 7.
Electrochemical test results of PVC/ZnO-800: (a) GCD curves at different current densities; (b) CV curves at different scanning rates; (c) electrochemical impedance spectroscopy.
Nyquist plot analysis (Figure 7c) reveals that the material exhibits excellent electrochemical performance, as evidenced by its characteristic frequency-dependent response. In the high-frequency region (>10 kHz), the intercept on the real axis corresponds to an exceptionally low Ohmic resistance (Rs = 1.4 Ω for PVC/ZnO-800), indicating efficient charge transport arising from both the ionic conductivity of the electrolyte and the electronic conductivity of the electrode material. Additionally, in the low-frequency region (<1 Hz), PVC/ZnO-800 displays a nearly vertical line approaching 90°, which reflects outstanding ion diffusion kinetics and near-ideal capacitive behavior. The combination of a low Rs value and the vertical low-frequency response highlights the superior electrochemical properties, including reduced internal resistance, efficient charge transfer pathways, enhanced ion accessibility, and a well-developed porous architecture. These characteristics are particularly beneficial for high-rate energy storage applications, where both electronic and ionic conductivities are critical to achieving optimal performance.
3. Discussion
Different metal compounds exhibit distinct influences on the chemical and physical structural properties of the resulting chars. As shown in Figure 1, all Zn-based compounds can promote char formation during PVC pyrolysis but in a different way. PVC/Zn(OH)2 and PVC/ZnCl2 mixtures produce the highest char yields. XRD and Raman analyses reveal that the chars derived from PVC/ZnO and PVC/ZnCl2 are enriched in aromatic structures, particularly those containing ≥6 fused benzene rings. However, the PVC/Zn(OH)2 char shows a lower abundance of such aromatic structures compared to both raw PVC char and chars derived from PVC/ZnO and PVC/ZnCl2. Consistent with this observation, the PVC/Zn(OH)2 char also exhibits the lowest La value, indicating a lower degree of ordering. In addition, PVC/Zn(OH)2 char undergoes a mass loss of 25.88 wt.% upon further heating to 800 °C. Preliminarily, it can be inferred that Zn(OH)2 may partially promote the crosslinking reactions of conjugated polyene intermediates during pyrolysis but suppress the formation of light gas and large polyaromatic structures (≥6 fused benzene rings), resulting in the development of a relatively weakly crosslinked carbon network that is less stable. A slightly lower char yield is observed for the PVC/ZnO mixture with respect to PVC/Zn(OH)2 and PVC/ZnCl2 mixtures. Notably, the PVC/ZnO char exhibits the lowest Lc value and the highest BET surface area. Additionally, a higher number of aromatic structures with ≥6 fused benzene rings is evident in the PVC/ZnO char, and the stability of the PVC/ZnO char is comparable to that of the raw PVC and PVC/Mg chars. These findings suggest that ZnO promotes the formation of a more stable and porous structure rich in aromatic clusters. This behavior is likely attributed to the nanostructural properties of ZnO. The ZnO can be uniformly mixed with raw PVC and subsequently transformed into ZnCl2 during the dehydrochlorination stage, which can promote the formation of aromatic clusters. The enhanced stability and high BET surface area observed for PVC/ZnO are presumably the result of strong interconnections among aromatic clusters.
In contrast, the introduction of Mg-based compounds shows a negligible effect on char yield. Both the La and the Lc values of the PVC/Mg chars are higher than those of raw PVC char and PVC/Zn chars, despite the lower content of aromatic structures containing ≥6 fused benzene rings. This suggests that while highly stacked carbon structures are formed as evidenced by XRD, these stacks are predominantly composed of cyclic alkenes rather than extended aromatic systems. The prevalence of cyclic alkenes explains both the lower proportion of large aromatic domains and the higher abundance of sp2 C-H and sp3 C-H bonds, as observed by FTIR. This structure can be more easily excited under laser irradiation, leading to the highest total Raman peak area among the samples. The presence of Mg-based compounds appears to limit the generation of porous structures, as fewer cavities are formed. As a result, the larger molecular clusters exhibit improved thermal stability against secondary cracking. Nevertheless, a significant reduction in the ID/IG ratio, accompanied by an increase in the ID/IAll value, is observed for PVC/Mg chars at 800 °C. This indicates that the initially formed, highly stacked clusters—primarily composed of crosslinked cyclic alkenes—are progressively transformed into more stable aromatic structures through dehydrogenation reactions during pyrolysis.
4. Materials and Methods
4.1. Sample Preparation and Pyrolysis Procedure
PVC was purchased from Shanghai Aladdin Biochemical Technology Co., Ltd. (Shanghai, China). Before commencing the experiments, the PVC feedstock was dried and sieved through a 300 μm mesh to obtain PVC powder with a homogeneous particle size. A laboratory-scale quartz reactor (length: 300 mm, inner diameter: 20 mm) was set up in a fixed bed configuration for this study. Two to three g of PVC powder was mixed with metal compounds, including ZnO, Zn(OH)2, ZnCl2, MgO, Mg(OH)2, and MgCl2, in a 1:1 mass ratio. For each run, the nitrogen flow rate was set to 100 mL min−1, and the reaction tube was purged for 30 min to remove air. The temperature of the resistance furnace was then increased to 300 °C at a heating rate of 10 °C min−1, and dehydrochlorination was carried out for 60 min. The temperature was further increased to 500 °C at a heating rate of 10 °C min−1 and maintained for 30 min. After the reaction, the experimental setup was cooled to room temperature, then the sample was washed with dichloromethane to remove condensed liquid product. The metal additives were dissolved by stirring with dilute acid, and the pyrolytic chars were separated using a filter membrane and a vacuum pump. This filtration process was repeated in triplicate, followed by washing with deionized water until the pH reached neutrality. The pyrolytic chars were subsequently dried in an oven for 12 h at 105 °C and stored for further analysis. The pyrolytic chars were labeled PVC/x, where x = ZnO, Zn(OH)2, ZnCl2, MgO, Mg(OH)2, and MgCl2, respectively. Further, PVC/ZnO, PVC/Zn(OH)2, PVC/MgO, and PVC/Mg(OH)2 were heated to 800 °C at a heating rate of 10 °C min−1 under a nitrogen (N2) atmosphere and maintained at this temperature for 30 min. The resulting samples were labeled PVC/ZnO-800, PVC/Zn(OH)2-800, PVC/MgO-800, and PVC/Mg(OH)2-800.
4.2. Char Characterization
XRD spectra (PANalytical B.V. (Almelo, The Netherlands), X’Pert Pro multipurpose X-ray diffractometer, NL) were utilized to investigate the crystal structure characteristics of raw PVC and chars. Samples were scanned in a step-scan mode with a step size of 0.01° over an angular 2θ range of 10–90°. Diffractograms were deconvoluted in the 2θ region of 10–45°, creating a γ peak near 20°, a π peak near 26°, and (002) and (10) peaks near 42°. The crystal structure was evaluated by five indicators: interlayer spacing of aromatic ring layers (d002), average lateral sizes (La), average stacking heights (Lc), layer numbers (N), and aromaticity (fa). These indicators were calculated by Equations (1)–(5) [,].
where λ is the X-ray wavelength, θ is the Bragg angle, Ba and Bc are the FWHM of the (10) and 002 peaks, φa and φc are the corresponding scattering angles, and Aπ and Aγ are the areas of the π-band and γ-band. The main organic functional groups of raw PVC and chars were performed with an FTIR spectrometer (Bruker, VERTEX 70, DE, Ettlingen, Germany), with a 4 cm−1 resolution and 32 scans between 4000 and 400 cm−1. The samples were first powdered in an agate mortar and then mixed with KBr to prepare transparent wafers. To ensure moisture removal, the mixture of the sample and the KBr powder was dried overnight in an oven at 105 °C. Raman measurements were conducted with a Raman microspectroscope (LabRAMHR 800, Horiba Jobin Yvon, FR) using an Nd-YAG beam at 532 nm. Raman spectra were measured in the range of 800–2000 cm−1. The Raman spectra were fitted using the five-peaks method, with the corresponding peak band shifts and their detailed descriptions summarized in Table 3 []. The specific surface area and pore size analysis was conducted using a surface area and pore size analyzer (Micromeritics, 3Flex, Norcross, GA, USA) to determine the total external surface area of the sample. The feedstock materials were dried, and a long-neck funnel was used to fill the sample tube to the bottom before testing. Then, liquid nitrogen was employed to maintain the testing temperature, and a mesopore analysis template was selected for the measurements. A thermogravimetric analyzer (TA Instruments, Discovery TGA 55, New Castle, DE, USA) was used to determine the stability of chars obtained at different metal compound additives under specific conditions, including an N2 atmosphere with a sweeping flow rate of 100 mL min−1, a temperature range of 30 to 800 °C, and a heating rate of 10 °C min−1.

Table 3.
Raman peak band positions and descriptions.
4.3. Electrochemical Characterization
The electrodes were prepared by mixing a homogeneous slurry of PVC pyrolytic chars, acetylene black, and polytetrafluoroethylene (PTFE) in a ratio of 8:1:1, combined with 1 mL anhydrous ethanol. This mixture was pressed and rolled into a char sheet with a thickness of approximately 100 µm. Subsequently, the sheet was cut into rectangular pieces measuring 1 × 1 cm to obtain the electrode sheets, which were then vacuum-dried at 80 °C for 12 h. The prepared electrode sheet was pressed onto the nickel foam current collector using a tablet press. The mass of the electrode sheet was determined by calculating the difference in the mass of the nickel foam before and after pressing. In the end, the electrode sheet was immersed in KOH solution overnight and subsequently used for electrochemical testing.
The electrochemical performance of the pyrolytic chars was evaluated using a three-electrode system on an electrochemical workstation (Metrohm Autolab, Multi AutoLab M204, NL, Utrecht, The Netherlands), using 6 mol L−1 KOH solution as the electrolyte and with a nickel sheet coated with the pyrolytic chars acting as the working electrode. A standard Ag/AgCl electrode was used as the reference electrode, and a platinum sheet functioned as the counter electrode. Cyclic voltammetry (CV) measurements were conducted within a voltage range of −1.0 to 0 V at scan rates ranging from 5 to 100 mV s−1. Galvanostatic charge–discharge (GCD) tests were carried out over the same voltage range (−1.0 to 0 V) at current densities varying from 0.5 to 20 A g−1. For electrochemical impedance spectroscopy (EIS), the tests were performed at the open-circuit potential of the electrodes, with an amplitude of 5 mV and a frequency range spanning from 100 kHz to 0.01 Hz.
5. Conclusions
In this study, pyrolysis experiments of PVC were carried out in the presence of various metal compounds to investigate their influence on char formation and structural evolution. The results reveal distinct mechanisms associated with different metal compounds. Zn-based compounds significantly promote char formation compared to Mg-based compounds. Specifically, Zn(OH)2 facilitates partial crosslinking of conjugated polyene intermediates during pyrolysis, while simultaneously suppressing the generation of light gases and the development of large polyaromatic structures (≥6 fused benzene rings). This leads to the formation of a relatively weakly crosslinked carbon network. In the case of ZnO, the formation of a stable and porous char structure enriched in aromatic clusters is observed, which is attributed to both the inherent nanostructural properties of ZnO and its transformation into ZnCl2 during the dehydrochlorination stage, which further promotes aromatic cluster formation. In contrast, Mg-based compounds induce the formation of a highly stacked carbon structure primarily composed of crosslinked cyclic alkenes rather than large polyaromatic domains. Upon further thermal treatment, these aliphatic-rich stacked structures can be progressively transformed into aromatic frameworks through dehydrogenation reactions at elevated temperatures. Among different samples, a relative stable and porous char can be obtained from PVC/ZnO mixtures. The PVC/ZnO-800 char exhibits outstanding comprehensive performance: a BET-specific surface area of 609.382 m2 g−1, and a specific capacitance of 306 F g−1 at a 1 A g−1 current density.
Author Contributions
Conceptualization, J.Y.; methodology, T.D.; validation, G.X.; formal analysis, X.Z.; investigation, X.Z.; resources, J.Y.; data curation, J.S.; writing—original draft preparation, C.W.; writing—review and editing, J.Y.; visualization, J.Y.; supervision, J.Y.; project administration, J.Y.; funding acquisition, J.Y. All authors have read and agreed to the published version of the manuscript.
Funding
This work was supported by Special Funds for Guiding Local Scientific and Technological Development by the Central Government of China (Hubei, 2024CSA088), the National Natural Science Foundation of China (52176186) and Natural Science Foundation of Wuhan (2024040701010042).
Data Availability Statement
The original contributions presented in the study are included in the article; further inquiries can be directed to the corresponding author.
Acknowledgments
The authors also extend thanks for the help from the Analytical and Testing Center of Huazhong University of Science and Technology.
Conflicts of Interest
The authors declare that the research was conducted in the absence of any commercial or financial relationships that could be construed as a potential conflict of interest.
References
- Khan, S.M.; Gull, N.; Khan, R.U.; Butt, M.T.Z. Polyvinylchloride (PVC): Structure and Properties Relationship. In Polyvinylchloride-Based Blends; Visakh, P.M., Darie-Nita, R.N., Eds.; Springer International Publishing: Cham, Switzerland, 2022; pp. 19–47. [Google Scholar] [CrossRef]
- Lu, L.; Li, W.; Cheng, Y.; Liu, M. Chemical recycling technologies for PVC waste and PVC-containing plastic waste: A review. Waste Manag. 2023, 166, 245–258. [Google Scholar] [CrossRef]
- Zhang, L. Insights into the evolution of chemical structure and pyrolysis reactivity of PVC-derived hydrochar during hydrothermal carbonization. RSC Adv. 2023, 13, 27212–27224. [Google Scholar] [CrossRef] [PubMed]
- Lorang, S.; Yang, Z.; Zhang, H.; Lü, F.; He, P. Achievements and policy trends of extended producer responsibility for plastic packaging waste in Europe. Waste Dispos. Sustain. Energy 2022, 4, 91–103. [Google Scholar] [CrossRef]
- Havaei, M.; Akin, O.; Locaspi, A.; John Varghese, R.; Minette, F.; Romers, E.; De Meester, S.; Van Geem, K.M. Beyond the Landfill: A critical review of techniques for End-of-Life Polyvinyl chloride (PVC) valorization. Waste Manag. 2025, 193, 105–134. [Google Scholar] [CrossRef]
- Liu, Y.; Zhou, C.; Li, F.; Liu, H.; Yang, J. Stocks and flows of polyvinyl chloride (PVC) in China: 1980–2050. Resour. Conserv. Recycl. 2020, 154, 104584. [Google Scholar] [CrossRef]
- Tang, Y.; Song, M.; Dong, J.; Li, G.; Ye, C.; Hu, Y.; Fang, Y.; Wang, L.; Zheng, Y. Synergetic effect of in-situ CaO on PVC plastic pyrolysis characteristics: TG and Py GC/MS analysis. Polym. Degrad. Stab. 2025, 234, 111205. [Google Scholar] [CrossRef]
- Qureshi, M.S.; Oasmaa, A.; Pihkola, H.; Deviatkin, I.; Tenhunen, A.; Mannila, J.; Minkkinen, H.; Pohjakallio, M.; Laine-Ylijoki, J. Pyrolysis of plastic waste: Opportunities and challenges. J. Anal. Appl. Pyrolysis 2020, 152, 104804. [Google Scholar] [CrossRef]
- Yu, J.; Sun, L.; Ma, C.; Qiao, Y.; Yao, H. Thermal degradation of PVC: A review. Waste Manag. 2016, 48, 300–314. [Google Scholar] [CrossRef] [PubMed]
- Marcilla, A.; Beltrán, M. Thermogravimetric kinetic study of poly(vinyl chloride) pyrolysis. Polym. Degrad. Stab. 1995, 48, 219–229. [Google Scholar] [CrossRef]
- Lian, X.; Wang, S.; Shan, R.; Gu, J.; Zhao, C.; Zhao, W.; Yuan, H.; Chen, Y. Pyrolysis characterization and mechanism studies of different structural plastics: A comparative study at optimal temperatures. Energy 2024, 313, 133986. [Google Scholar] [CrossRef]
- Wu, J.; Papanikolaou, K.G.; Cheng, F.; Addison, B.; Cuthbertson, A.A.; Mavrikakis, M.; Huber, G.W. Kinetic Study of Polyvinyl Chloride Pyrolysis with Characterization of Dehydrochlorinated PVC. ACS Sustain. Chem. Eng. 2024, 12, 7402–7413. [Google Scholar] [CrossRef]
- Al-Yaari, M.; Dubdub, I. Pyrolytic Behavior of Polyvinyl Chloride: Kinetics, Mechanisms, Thermodynamics, and Artificial Neural Network Application. Polymers 2021, 13, 4359. [Google Scholar] [CrossRef]
- Pan, J.; Jiang, H.; Qing, T.; Zhang, J.; Tian, K. Transformation and kinetics of chlorine-containing products during pyrolysis of plastic wastes. Chemosphere 2021, 284, 131348. [Google Scholar] [CrossRef] [PubMed]
- Huang, J.; Li, X.; Zeng, G.; Cheng, X.; Tong, H.; Wang, D. Thermal decomposition mechanisms of poly(vinyl chloride): A computational study. Waste Manag. 2018, 76, 483–496. [Google Scholar] [CrossRef]
- Meng, H.; Liu, J.; Xia, Y.; Hu, B.; Sun, H.; Li, J.; Lu, Q. Migration and transformation mechanism of Cl during polyvinyl chloride pyrolysis: The role of structural defects. Polym. Degrad. Stab. 2024, 224, 110750. [Google Scholar] [CrossRef]
- Chen, S.; Hu, Y.H. Chemical recycling of plastic wastes with alkaline earth metal oxides: A review. Sci. Total Environ. 2023, 905, 167251. [Google Scholar] [CrossRef]
- Torres, D. Hydrochloric acid removal from the thermogravimetric pyrolysis of PVC. J. Anal. Appl. Pyrolysis 2020, 149, 104831. [Google Scholar] [CrossRef]
- Kots, P.A.; Vance, B.C.; Quinn, C.M.; Wang, C.; Vlachos, D.G. A two-stage strategy for upcycling chlorine-contaminated plastic waste. Nat. Sustain. 2023, 6, 1258–1267. [Google Scholar] [CrossRef]
- Meng, T.-T.; Zhang, H.; Lü, F.; Shao, L.-M.; He, P.-J. Comparing the effects of different metal oxides on low temperature decomposition of PVC. J. Anal. Appl. Pyrolysis 2021, 159, 105312. [Google Scholar] [CrossRef]
- Masuda, Y.; Uda, T.; Terakado, O.; Hirasawa, M. Pyrolysis study of poly(vinyl chloride)–metal oxide mixtures: Quantitative product analysis and the chlorine fixing ability of metal oxides. J. Anal. Appl. Pyrolysis 2006, 77, 159–168. [Google Scholar] [CrossRef]
- Zhou, X.-L. Upcycling waste polyvinyl chloride: One-pot synthesis of valuable carbon materials and pipeline-quality syngas via pyrolysis in a closed reactor. J. Hazard. Mater. 2022, 427, 128210. [Google Scholar] [CrossRef]
- Tao, R.; Li, B.; Wu, Y.; Zhang, W.; Zhao, L.; Yuan, H.; Gu, J.; Chen, Y. Based on experiment and quantum chemical calculations: A study of the co-pyrolysis mechanism of polyesterimide enameled wires with polyvinyl chloride and the catalytic effect of endogenous metal Cu. Resour. Environ. Sustain. 2024, 17, 100167. [Google Scholar] [CrossRef]
- Shibata, E.; Yamamoto, S.; Kasai, E.; Nakamura, T. Formation behavior of PCDD/Fs in PVC pyrolysis with copper oxide. Chemosphere 2003, 50, 1235–1242. [Google Scholar] [CrossRef] [PubMed]
- Hu, Y.; Li, M.; Zhou, N.; Yuan, H.; Guo, Q.; Jiao, L.; Ma, Z. Catalytic stepwise pyrolysis for dechlorination and chemical recycling of PVC-containing mixed plastic wastes: Influence of temperature, heating rate, and catalyst. Sci. Total Environ. 2024, 908, 168344. [Google Scholar] [CrossRef]
- Karayildirim, T.; Yanik, J.; Yuksel, M.; Saglam, M.; Vasile, C.; Bockhorn, H. The effect of some fillers on PVC degradation. J. Anal. Appl. Pyrolysis 2006, 75, 112–119. [Google Scholar] [CrossRef]
- Ji, M.; Chen, L.; Que, J.; Zheng, L.; Chen, Z.; Wu, Z. Effects of transition metal oxides on pyrolysis properties of PVC. Process Saf. Environ. Prot. 2020, 140, 211–220. [Google Scholar] [CrossRef]
- Müller, J.; Dongmann, G. Formation of aromatics during pyrolysis of PVC in the presence of metal chlorides. J. Anal. Appl. Pyrolysis 1998, 45, 59–74. [Google Scholar] [CrossRef]
- Blazsó, M.; Jakab, E. Effect of metals, metal oxides, and carboxylates on the thermal decomposition processes of poly (vinyl chloride). J. Anal. Appl. Pyrolysis 1999, 49, 125–143. [Google Scholar] [CrossRef]
- Peña, G.D.J.G.; Rahman, R.K.; Raj, A.; Stephen, S.; Anjana, T.; Brito, J.L. Effect of fuel flow rate on the characteristics of soot generated from unsubstituted and disubstituted aromatic hydrocarbon flames: Experimental and numerical study. Combust. Flame 2018, 190, 224–239. [Google Scholar] [CrossRef]
- Baysal, M.; Yürüm, A.; Yıldız, B.; Yürüm, Y. Structure of some western Anatolia coals investigated by FTIR, Raman, 13C solid state NMR spectroscopy and X-ray diffraction. Int. J. Coal Geol. 2016, 163, 166–176. [Google Scholar] [CrossRef]
- Sadezky, A.; Muckenhuber, H.; Grothe, H.; Niessner, R.; Pöschl, U. Raman microspectroscopy of soot and related carbonaceous materials: Spectral analysis and structural information. Carbon 2005, 43, 1731–1742. [Google Scholar] [CrossRef]
- Yu, J.; Liu, X.; Millan, M. A study on pyrolysis of wood of different sizes at various temperatures and pressures. Fuel 2023, 342, 127846. [Google Scholar] [CrossRef]
- Wang, P.; Yu, J.; Liu, X.; Millan, M. On the effect of pellet density on biomass pyrolysis in a pressurized fixed bed reactor. Fuel 2023, 354, 129191. [Google Scholar] [CrossRef]
- Zickler, G.A.; Smarsly, B.; Gierlinger, N.; Peterlik, H.; Paris, O. A reconsideration of the relationship between the crystallite size La of carbons determined by X-ray diffraction and Raman spectroscopy. Carbon 2006, 44, 3239–3246. [Google Scholar] [CrossRef]
- Zhou, J.; Gui, B.; Qiao, Y.; Zhang, J.; Wang, W.; Yao, H.; Yu, Y.; Xu, M. Understanding the pyrolysis mechanism of polyvinylchloride (PVC) by characterizing the chars produced in a wire-mesh reactor. Fuel 2016, 166, 526–532. [Google Scholar] [CrossRef]
- Zou, J.; Fan, C.; Jiang, Y.; Liu, X.; Zhou, W.; Xu, H.; Huang, L. A preliminary study on assessing the Brunauer-Emmett-Teller analysis for disordered carbonaceous materials. Microporous Mesoporous Mater. 2021, 327, 111411. [Google Scholar] [CrossRef]
- Wei, L.; Sevilla, M.; Fuertes, A.B.; Mokaya, R.; Yushin, G. Hydrothermal Carbonization of Abundant Renewable Natural Organic Chemicals for High-Performance Supercapacitor Electrodes. Adv. Energy Mater. 2011, 1, 356–361. [Google Scholar] [CrossRef]
- Sonibare, O.O.; Haeger, T.; Foley, S.F. Structural characterization of Nigerian coals by X-ray diffraction, Raman and FTIR spectroscopy. Energy 2010, 35, 5347–5353. [Google Scholar] [CrossRef]
- Yu, J.; Sun, L.; Berrueco, C.; Fidalgo, B.; Paterson, N.; Millan, M. Influence of temperature and particle size on structural characteristics of chars from Beechwood pyrolysis. J. Anal. Appl. Pyrolysis 2018, 130, 249–255. [Google Scholar] [CrossRef]
Disclaimer/Publisher’s Note: The statements, opinions and data contained in all publications are solely those of the individual author(s) and contributor(s) and not of MDPI and/or the editor(s). MDPI and/or the editor(s) disclaim responsibility for any injury to people or property resulting from any ideas, methods, instructions or products referred to in the content. |
© 2025 by the authors. Licensee MDPI, Basel, Switzerland. This article is an open access article distributed under the terms and conditions of the Creative Commons Attribution (CC BY) license (https://creativecommons.org/licenses/by/4.0/).