Sign in to use this feature.

Years

Between: -

Subjects

remove_circle_outline
remove_circle_outline
remove_circle_outline
remove_circle_outline
remove_circle_outline
remove_circle_outline
remove_circle_outline
remove_circle_outline
remove_circle_outline

Journals

remove_circle_outline
remove_circle_outline
remove_circle_outline
remove_circle_outline
remove_circle_outline
remove_circle_outline
remove_circle_outline
remove_circle_outline
remove_circle_outline
remove_circle_outline
remove_circle_outline
remove_circle_outline
remove_circle_outline
remove_circle_outline
remove_circle_outline

Article Types

Countries / Regions

remove_circle_outline
remove_circle_outline
remove_circle_outline
remove_circle_outline
remove_circle_outline
remove_circle_outline
remove_circle_outline
remove_circle_outline
remove_circle_outline

Search Results (1,662)

Search Parameters:
Keywords = alcohol drinking

Order results
Result details
Results per page
Select all
Export citation of selected articles as:
17 pages, 266 KB  
Article
The Combined Effect of Dietary and Behavioral Risk Factors in Gastric Cancer: A Case-Control Study Using a Healthy Lifestyle Index in Fujian, China
by Monica Wangari, Xinyu Chen, Qingying Wang, Fengqin Zou, Yaqing Wu and Yulan Lin
Nutrients 2026, 18(9), 1343; https://doi.org/10.3390/nu18091343 - 24 Apr 2026
Abstract
Background/Objectives: Gastric cancer (GC) remains a major health challenge in high-incidence regions like Fujian Province, China. This study aimed to identify modifiable dietary and behavioral risk factors for GC and to evaluate their combined effect using a Healthy Lifestyle Index (HLI) in [...] Read more.
Background/Objectives: Gastric cancer (GC) remains a major health challenge in high-incidence regions like Fujian Province, China. This study aimed to identify modifiable dietary and behavioral risk factors for GC and to evaluate their combined effect using a Healthy Lifestyle Index (HLI) in a high-incidence region of China. Methods: A case–control study was conducted at a tertiary hospital from June 2023 to December 2024, including 336 newly diagnosed GC cases and 336 healthy controls from Fujian Province. A Healthy Lifestyle Index (HLI, scored 0–10) was constructed from ten dietary and behavioral factors, with participants categorized into tertiles as healthy, moderate, or unhealthy. Results: The proportions of males and females were 56.5% and 43.5%, respectively. The mean age of the case group was 56.76 ± 10.83 years, significantly higher than that of the control group (53.86 ± 11.13 years, p < 0.001). The HLI incorporated ten behavioral/dietary components: sedentary behavior, smoking, alcohol consumption, tea drinking, physical activity, pickled and processed food intake, regular eating habits, fruit intake, vegetable intake, and red meat intake. Cases showed a higher proportion of unhealthy lifestyle patterns (34.8% vs. 26.8%), whereas controls showed a higher proportion of healthy lifestyle behaviors (41.7% vs. 37.5%); however, the overall between-group distribution of HLI categories was not statistically significant (p = 0.078). The multivariate logistic regression showed that the healthy group was associated with a lower risk of developing GC compared to the unhealthy group (aOR = 0.34, 95% CI: 0.20–0.57, p < 0.001). Conclusions: A healthier combined dietary and behavioral profile may be associated with lower odds of GC in this population. However, the observed associations should be interpreted cautiously because of the case–control design, the lack of H. pylori data, and the absence of formal validation of the HLI in the Fujian population. Prospective studies with objective dietary assessment and more detailed clinical characterization are warranted. Full article
(This article belongs to the Section Nutritional Epidemiology)
12 pages, 493 KB  
Case Report
Early-Onset Oral Tongue Squamous Cell Carcinoma in the Absence of Traditional Risk Factors: A Case Report with Whole-Exome Sequencing Analysis
by Evgeniy Aleksiev, Darina Lyudmilova Kachakova-Yordanova, Vanyo Mitev, Martin Marinov Georgiev and Zornitsa Mihaylova
Reports 2026, 9(2), 130; https://doi.org/10.3390/reports9020130 - 24 Apr 2026
Abstract
Oral squamous cell carcinoma (OSCC) typically develops in individuals with established risk factors such as tobacco and alcohol use, yet an increasing number of cases occur in young non-smoking, non-drinking (NSND) patients. We report a case of oral tongue OSCC in a 33-year-old [...] Read more.
Oral squamous cell carcinoma (OSCC) typically develops in individuals with established risk factors such as tobacco and alcohol use, yet an increasing number of cases occur in young non-smoking, non-drinking (NSND) patients. We report a case of oral tongue OSCC in a 33-year-old woman who is a never-smoker and never-drinker without identifiable environmental or local risk factors. The patient underwent surgical treatment followed by adjuvant radiotherapy and remains disease-free 15 months after therapy. Whole-exome sequencing (WES) revealed a pathogenic truncating TP53 mutation together with additional somatic alterations affecting genes involved in DNA repair, hypoxia adaptation, mitochondrial function, and epigenetic regulation. The heterogeneous mutational profile suggests branched tumor evolution and the involvement of non-classical tumorigenic pathways. This report contributes to the growing evidence that OSCC in young NSND patients represents a biologically distinct subgroup and demonstrates the value of comprehensive genomic profiling for improving understanding of tumor heterogeneity and potential molecular drivers in the absence of traditional carcinogenic exposures. Full article
(This article belongs to the Special Issue Case Reports in Oral Diseases)
Show Figures

Figure 1

20 pages, 937 KB  
Article
Drinking to Cope or Coping to Drink? Behavioral Profiles of Stress Management and Alcohol Use Risk Among Medical Students: A Cross-Sectional Study
by Lucretiu Radu, Madalina Aldea, Vlayko Vodenicharov, Teodor Nicolae Dinescu, Iulia Balutoiu, Ramona Constantina Vasile, Alexandra-Daniela Rotaru-Zavaleanu, Citto Iulian Taisescu, Andrei Gresita, Mihai Andrei Ruscu and Venera Cristina Dinescu
J. Clin. Med. 2026, 15(9), 3218; https://doi.org/10.3390/jcm15093218 - 23 Apr 2026
Abstract
Background/Objectives: Alcohol misuse among medical students is commonly attributed to academic stress, yet the specific role of coping mechanisms in this relationship has received limited attention. We investigated whether substance use coping, rather than stress exposure itself, drives alcohol use risk in [...] Read more.
Background/Objectives: Alcohol misuse among medical students is commonly attributed to academic stress, yet the specific role of coping mechanisms in this relationship has received limited attention. We investigated whether substance use coping, rather than stress exposure itself, drives alcohol use risk in Romanian medical students, and whether distinct coping-based subgroups can be identified through cluster analysis. Methods: We conducted a cross-sectional survey among 244 medical students (mean age 21.95 ± 3.27 years; 67.2% female) at the University of Medicine and Pharmacy of Craiova, Romania. Alcohol use was measured with the AUDIT and coping strategies with the Brief COPE. Analyses included Mann–Whitney U tests, Spearman correlations, multiple linear and binary logistic regression, and k-means clustering. Results: At-risk drinking (AUDIT ≥ 8) was identified in 19.7% of participants. The tendency to use substances to cope with stress (substance use coping) was the strongest predictor of AUDIT scores in both linear regression (B = 2.090, p < 0.001, R2 = 0.513) and logistic regression (OR = 2.026, p < 0.001). Male sex independently predicted at-risk status (OR = 2.572, p = 0.025), while planning was protective in both models (B = −0.657, p = 0.005; OR = 0.691, p = 0.029). Humor also emerged as a significant risk factor (OR = 1.638, p = 0.005). K-means analysis (k = 5) revealed five coping profiles with significantly different AUDIT distributions (Kruskal–Wallis H = 47.26, p < 0.001). The Substance-Oriented cluster (13.1% of students) had a mean AUDIT of 12.66, compared with 3.00–4.13 in other clusters. Conclusions: In a subgroup of medical students, alcohol use appears integrated into the coping repertoire rather than merely being a consequence of stress. The identified coping profiles should be interpreted as prototypical configurations with overlapping boundaries rather than discrete categorical types, given the low silhouette coefficient (0.094) of the cluster solution. The strong predictive effect of substance use coping should be interpreted with the caveat that the Brief COPE Substance Use subscale and the AUDIT share content related to alcohol use behavior, which may inflate the observed association. These findings point to the need for coping-specific interventions. Planning skills training and a more nuanced understanding of humor’s role in drinking contexts may offer avenues for prevention. However, the logistic model’s sensitivity of 50.0% indicates that coping-based identification alone would miss approximately half of at-risk students, underscoring the need for further refinement before clinical application. Full article
(This article belongs to the Section Mental Health)
14 pages, 650 KB  
Article
Differences in Patterns of Alcohol Use and Sexual Risk-Taking Behaviours Among Sexually Active Australian and Overseas-Born Domestic and International University Students in Australia
by Alex Leong, Erich C. Fein, Kirstie Daken, Judith A. Dean, Sara F. E. Bell, Joseph Debattista, Armin Ariana, Kathryn Elizabeth Wenham, Joanne Durham, Charles F. Gilks, Zhihong Gu and Amy B. Mullens
Int. J. Environ. Res. Public Health 2026, 23(5), 547; https://doi.org/10.3390/ijerph23050547 - 23 Apr 2026
Abstract
Alcohol use has been linked to sexual risk-taking behaviour, particularly among young people in Australia, who are also substantially represented in sexually transmissible infection (STI). While research on alcohol use and sexual risk-taking among university students in Australia exists, no studies outside recent [...] Read more.
Alcohol use has been linked to sexual risk-taking behaviour, particularly among young people in Australia, who are also substantially represented in sexually transmissible infection (STI). While research on alcohol use and sexual risk-taking among university students in Australia exists, no studies outside recent Tertiary Students Sexual and Reproductive Health Survey (TSSHS) publications have distinguished between Australian-born and overseas-born domestic students, despite evidence that migrant populations may show different alcohol use and sexual behaviour patterns. Using data from the TSSHS and a cross-sectional anonymous online survey of university-enrolled students, this study is the first to compare sexually active Australian-born domestic, overseas-born domestic, and international students on alcohol use and sexual risk-taking. Findings align with past research, with Australian-born domestic students being more likely to consume alcohol at high-risk levels than international and overseas-born domestic students. Differences in sexual risk-taking behaviours between the three enrolment groups were fully mediated by harmful alcohol use, indicating an indirect effect between group membership and sexual risk-taking. Age moderated this mediation, with the association between harmful drinking and sexual risk-taking strongest among students aged 20–24, compared with younger and older groups. Full article
Show Figures

Figure 1

21 pages, 550 KB  
Article
Relationship Between Knowledge, Attitudes, and Practices for the Consumption of Spirulina-Enriched Fruit and Vegetable Juices: Structural Equation Modelling and Consumers’ Preference Evaluation Approach
by Miona Belović, Lato Pezo, Goran Radivojević, Mirjana Penić, Jasmina Lazarević, Bojana Filipčev, Uroš Čakar, Jasmina Vitas and Biljana Cvetković
Nutrients 2026, 18(8), 1309; https://doi.org/10.3390/nu18081309 - 21 Apr 2026
Viewed by 111
Abstract
Background/Objectives: The presented study aimed to understand the relationship between knowledge, attitudes, and practices, as well as consumers’ preferences for the consumption of Spirulina-enriched fruit and vegetable juices. Methods: A survey about the consumers’ attitudes towards consumption of algae in general and [...] Read more.
Background/Objectives: The presented study aimed to understand the relationship between knowledge, attitudes, and practices, as well as consumers’ preferences for the consumption of Spirulina-enriched fruit and vegetable juices. Methods: A survey about the consumers’ attitudes towards consumption of algae in general and especially Spirulina was conducted to better understand the target groups and marketing strategies for this novel non-alcoholic beverage product. Knowledge–Attitude–Practice (KAP) model in combination with structural equation modelling (SEM) was applied to test the hypothesised relationships between the variables. Additionally, consumers’ preference test was done using a seven-point hedonic scale and ranking of the six juice samples: plain sour cherry juice (SC1), sour cherry juice with 0.8% (SC2) and 1.6% (SC3) of blue Spirulina powder; plain tomato juice (T1), tomato juice with 0.8% (T2) and 1.6% (T3) of blue Spirulina powder. Results: The SEM results showed that there is a limited direct impact of knowledge on social motivation, while personal behaviour strongly predicts social motivation. Namely, perceived nutritional value and health benefits were shown to be the main factors for consumers’ willingness to drink Spirulina-enriched juice. Conclusions: The result of the consumer preference evaluation exposed that the juices containing sour cherry and Spirulina achieved better sensory acceptance and ranking than those containing tomato, pointing out the importance of the product matrix for achieving consumer acceptance. Full article
Show Figures

Figure 1

12 pages, 254 KB  
Article
Dietary Habits Contributing to Weight Gain Among a Random Sample of Undergraduate College Males
by Cedric Harville, Delores C. S. James and Sobit Regmi
Obesities 2026, 6(2), 24; https://doi.org/10.3390/obesities6020024 - 17 Apr 2026
Viewed by 152
Abstract
Background: Male college students are at risk for weight gain due to unhealthy dietary habits. This study assessed the dietary habits of undergraduate college males. Methods: Online cross-sectional survey (n = 235) of randomly sampled male undergraduate college students. Results: The mean [...] Read more.
Background: Male college students are at risk for weight gain due to unhealthy dietary habits. This study assessed the dietary habits of undergraduate college males. Methods: Online cross-sectional survey (n = 235) of randomly sampled male undergraduate college students. Results: The mean age was 21.15 ± 3.21. Most were enrolled full-time (91.5%), lived off-campus (77.4%), upper class (59.6%), had a campus meal plan (52.8%), and white (51.9%). Mean body mass index (BMI) was 25.02 ± 4.86. Males gained an average of 10.81 ± 13.01 lbs while in college. Most ate one to two servings of fruits (67.1%) and vegetables (65.1%). Significant differences in weight gained during college and fruit consumed was significant [p = 0.02 *]. Male students reported on 20 different foods and drinks they consumed at least “a few times per week.” Most ate fresh fruits (76.1%), prepared a hot meal at home (72.7%), ate fresh vegetables (68.1%). Males also ate at fast-food restaurants (47.7%) and drank coffee (44.4%). Males that reported they drank alcohol (p = 0.03*), diet soda (p = 0.03 *), coffee (p = 0.01 *), and ate at fast-food restaurants (p = 0.02 *) “a few times per week” were found to have significantly gained more weight. Conclusions: Increased intake and consumption of alcohol, diet soda, and fast-food was associated with increased weight gain among college males. Full article
21 pages, 3101 KB  
Article
Ezetimibe Normalizes Dietary Cholesterol-Induced Exacerbation of Liver Injury in Alcohol-Fed Mice
by Yanchao Xu, Nan Zhang, Piumi B. Wickramasinghe, Kavya Veera, Preethi Parupalli, Alex Dao, Junyu Liu, Rithika Anand, Lyndsey E. Langley, Sreeja Eadha, Hasan Iqbal, Chen Liu, Fang Bian and Lin Jia
Biomolecules 2026, 16(4), 590; https://doi.org/10.3390/biom16040590 - 16 Apr 2026
Viewed by 348
Abstract
Interactions between alcohol and nutrition play an important role in the development and progression of alcohol-associated liver disease (ALD). Although dietary cholesterol was shown to exacerbate fatty liver and liver injury in alcohol-fed mice, findings regarding the combined effect of dietary cholesterol and [...] Read more.
Interactions between alcohol and nutrition play an important role in the development and progression of alcohol-associated liver disease (ALD). Although dietary cholesterol was shown to exacerbate fatty liver and liver injury in alcohol-fed mice, findings regarding the combined effect of dietary cholesterol and heavy alcohol drinking on cholesterol homeostasis remain controversial. Ezetimibe has been widely used as a cholesterol-lowering drug in hypercholesterolemic subjects. It is not fully understood whether ezetimibe blunts the adverse effect of cholesterol on lipid and biliary bile acid metabolism in alcohol-exposed mice. In the current study, wild-type mice were subjected to NIAAA alcohol feeding model. Dietary cholesterol (0.2%, w/v) and ezetimibe (0.001%, w/v) were added to the liquid diets. Cholesterol and triglyceride contents in the liver and circulation were determined. Biliary bile acid composition, as well as hepatic and circulating inflammatory markers were analyzed. We found that ezetimibe protected mice from the synergistic effects of dietary cholesterol and alcohol on hepatic triglyceride accumulation, which was accompanied by enhanced expression of genes involved in hepatic beta oxidation. Dietary cholesterol caused great increases in liver cholesterol content and dramatic reductions in the expression of hepatic cholesterol biosynthetic genes in both control- and alcohol-fed mice. These changes were normalized by ezetimibe treatment. Ezetimibe attenuated dietary cholesterol-induced elevations in total biliary bile acids. Moreover, mice fed a diet containing both cholesterol and alcohol exhibited increased expression of monocyte chemoattractant protein 1 (Mcp1) and tumor necrosis factor alpha (Tnfα) in the distal small intestine. Collectively, our findings indicate that ezetimibe effectively mitigates the adverse effects of dietary cholesterol and alcohol consumption on hepatic lipid accumulation and liver injury. Full article
(This article belongs to the Special Issue Molecular Mechanisms Underlying Liver Diseases: 2nd Edition)
Show Figures

Figure 1

23 pages, 3097 KB  
Article
Migration of Plastic Additives and Non-Intentionally Added Substances from Packaging into Edible Oils and Beverages: A Combined GC–MS and Hydrolysis–Capillary Electrophoresis Approach
by Rodica Sturza, Veronica Dragancea, Aliona Ghendov-Mosanu, Ileana-Denisa Nistor, Diana-Carmen Mirila and Dmitri Lazacovici
Polymers 2026, 18(8), 965; https://doi.org/10.3390/polym18080965 - 15 Apr 2026
Viewed by 365
Abstract
The present study aimed to investigate the migration of potentially hazardous compounds from plastic food packaging into edible oils, bottled water and soft drinks available on the market in the Republic of Moldova. GC–MS screening was applied to identify plastic additives and unintentionally [...] Read more.
The present study aimed to investigate the migration of potentially hazardous compounds from plastic food packaging into edible oils, bottled water and soft drinks available on the market in the Republic of Moldova. GC–MS screening was applied to identify plastic additives and unintentionally added substances (NIAS). The influence of key extraction parameters, including solvent type, extraction time, pH, alcohol content and sugar concentration, was systematically investigated. The optimized procedure demonstrated satisfactory analytical performances, with recoveries ranging from 81 to 96%, repeatability below 5% and detection limits between 0.006 and 0.01 mg/L. To allow a comprehensive assessment of total phthalate contamination, an additional analytical approach based on the hydrolysis of phthalate esters and the determination of o-phthalic acid using capillary electrophoresis with spectrophotometric detection was proposed. The method showed a linearity range of 0.1–5.0 mg/L and a limit of quantification of 0.07 mg/L. The combined chromatographic and hydrolysis-capillary electrophoresis approaches provide a reliable tool for the integrated determination and evaluation of phthalate residues in aqueous-alcoholic systems and beverages, accessible to laboratories performing food quality control. Full article
Show Figures

Graphical abstract

11 pages, 269 KB  
Article
Energy Drink Consumption Among Adolescents in Northern Spain: Habits, Risk Perception and Associated Factors
by Maria del Mar Fernandez-Alvarez, Judit Cachero-Rodríguez, Cristina Fernández-Rodríguez, Carla Carrizo-Rodríguez, María García-Martínez and Ruben Martin-Payo
Nutrients 2026, 18(8), 1240; https://doi.org/10.3390/nu18081240 - 15 Apr 2026
Viewed by 305
Abstract
Background/Objectives: Energy drinks (EDs) are widely consumed by adolescents despite increasing evidence of adverse health effects. This study aimed to assess ED consumption patterns, risk perception, and associated factors among adolescents in the Principality of Asturias, Spain. Methods: A cross-sectional descriptive [...] Read more.
Background/Objectives: Energy drinks (EDs) are widely consumed by adolescents despite increasing evidence of adverse health effects. This study aimed to assess ED consumption patterns, risk perception, and associated factors among adolescents in the Principality of Asturias, Spain. Methods: A cross-sectional descriptive study was conducted between January and March 2025 in a sample of 1250 adolescents aged 13–18 years. Data were collected using an anonymous questionnaire assessing frequency and age at initiation of ED consumption, motives and contexts of use, perception of adverse effects, and co-occurrence with other risk behaviors. Descriptive analyses and linear regression models were performed to identify predictors of ED consumption. Results: Overall, 29.6% of participants reported occasional or habitual ED consumption. Consumption was significantly higher among upper secondary school students, particularly in social settings and during study-related activities (p < 0.001). ED consumption was significantly associated with other risk behaviors, including alcohol and tobacco use (p < 0.001). Additionally, 8.6% of adolescents reported that EDs have no adverse health effects. Male sex, alcohol consumption, and tobacco use were the main predictors of ED consumption. Conclusions: A substantial proportion of adolescents consume EDs, with early initiation and increasing consumption with age and educational level. Although some adverse effects are recognized, risk perception remains low. These findings underscore the need for preventive, educational, and regulatory strategies to reduce ED consumption and its normalization among adolescents. Full article
(This article belongs to the Special Issue Nutrition in Children's Growth and Development: 2nd Edition)
52 pages, 501 KB  
Conference Report
Abstracts of the 1st International Online Conference on Fermentation
by Antonio Morata, Paola Domizio, Alice Vilela, Iris Loira and Manuel Malfeito-Ferreira
Biol. Life Sci. Forum 2026, 59(1), 4; https://doi.org/10.3390/blsf2026059004 - 8 Apr 2026
Viewed by 297
Abstract
The 1st International Online Conference on Fermentation (IOCFE2025), held on 12–13 November 2025, convened a global assembly of researchers to explore the multifaceted roles of microorganisms in biotechnology, food safety, and human health. Under the chairmanship of Professor Antonio Morata, the symposium was [...] Read more.
The 1st International Online Conference on Fermentation (IOCFE2025), held on 12–13 November 2025, convened a global assembly of researchers to explore the multifaceted roles of microorganisms in biotechnology, food safety, and human health. Under the chairmanship of Professor Antonio Morata, the symposium was structured around four pivotal tracks: biotechnological tools in fermentation, sensory profile impacts, food safety and drink innovation, and the nutraceutical implications of fermented products. A significant portion of the discourse focused on enology, specifically the use of Saccharomyces and non-Saccharomyces yeast derivatives to mitigate climate-related challenges such as high alcohol content and acidity, alongside emerging biopreservation strategies like kefir-enriched coatings and natural antifungal agents. The award-winning research highlighted the breadth of the field, ranging from the development of agri-food biostimulants and enhanced carotenoid production under LED illumination to the genomic characterization of glucose transport in Torulaspora delbrueckii. Furthermore, the sessions on health and nutrition provided a critical appraisal of meta-analytic studies, examining the probiotic potential of Enterococcus faecium and the role of fermented dairy in the Mediterranean diet. By integrating traditional fermentation practices with high-tech interventions like ultra-high pressure homogenization (UHPH) and solid-state biorefinery processes, IOCFE2025 underscored the vital contribution of fermentation science to sustainable agriculture and the global functional food market. Full article
(This article belongs to the Proceedings of The 1st International Online Conference on Fermentation)
20 pages, 425 KB  
Article
Associations Between Heavy Episodic Drinking and Perceived Social Isolation in U.S. Young Adults by Sexual Orientation
by Derek Sean Falk
Youth 2026, 6(2), 43; https://doi.org/10.3390/youth6020043 - 8 Apr 2026
Viewed by 295
Abstract
Heavy episodic drinking (HED) is prevalent in young adulthood, yet its relationship with psychosocial well-being remains complex. This study examines the association between HED and perceived social isolation among young adults and tests whether this relationship varies by sexual orientation. Using pooled, nationally [...] Read more.
Heavy episodic drinking (HED) is prevalent in young adulthood, yet its relationship with psychosocial well-being remains complex. This study examines the association between HED and perceived social isolation among young adults and tests whether this relationship varies by sexual orientation. Using pooled, nationally representative data from the 2022 and 2024 Health Information National Trends Survey (HINTS), this study analyzed adults aged 18–29 (N = 723). Perceived social isolation was measured using the PROMIS Social Isolation Short Form. Weighted multivariable linear regression models assessed interactions between sexual orientation and HED occasions (0 vs. 1+), adjusting for sociodemographic variables and psychological distress. 45.5% reported HED. Lesbian/gay (B = 5.62, SE = 0.58, p < 0.001) and bisexual (B = 1.66, SE = 0.34, p < 0.001) young adults reported higher isolation than straight peers; HED was inversely associated with isolation (B = −1.71, SE = 0.20, p < 0.001). A significant interaction indicated that among lesbian/gay young adults, heavy drinking was associated with lower perceived isolation (B = −5.77, SE = 0.98, p < 0.001). Interventions should account for the social meanings of alcohol use to avoid unintentionally increasing isolation among sexual minoritized populations. Full article
(This article belongs to the Special Issue Alcohol Use in Young People)
Show Figures

Figure 1

14 pages, 939 KB  
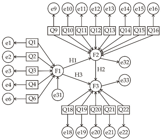
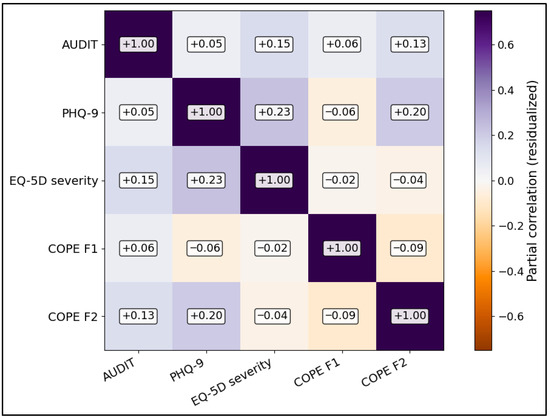
Article
Alcohol-Related Risk, Depressive Symptoms, HRQoL, and Coping Phenotypes in Head-and-Neck Cancer: A Multicenter Cross-Sectional Study Stratified by Clinical Stage
by Alexandru-Romulus Hut, Gheorghe Iovanescu, Eugen Radu Boia, Delia Ioana Horhat, Andrada Ioana Dumitru, Raphael Galant, Cosmin Rosca, Andreea Mihaela Kis and Nicolae Constantin Balica
Medicina 2026, 62(4), 671; https://doi.org/10.3390/medicina62040671 - 1 Apr 2026
Viewed by 310
Abstract
Background and Objectives: Alcohol misuse, depressive symptoms, maladaptive coping, and impaired health-related quality of life (HRQoL) are clinically relevant in head-and-neck cancer, but their interrelationships are not fully captured by clinical stage alone. This multicenter study examined these domains at first admission [...] Read more.
Background and Objectives: Alcohol misuse, depressive symptoms, maladaptive coping, and impaired health-related quality of life (HRQoL) are clinically relevant in head-and-neck cancer, but their interrelationships are not fully captured by clinical stage alone. This multicenter study examined these domains at first admission and explored whether data-driven psychosocial phenotypes could complement stage-based stratification. Materials and Methods: In this multicenter cross-sectional study conducted at participating ENT/oncology centers in Timișoara and Oradea, Romania, during May 2024–October 2026, 64 adults with head-and-neck cancer completed the Alcohol Use Disorders Identification Test (AUDIT), Patient Health Questionnaire-9 (PHQ-9), EuroQol five-dimension questionnaire (EQ-5D), and Coping Orientation to Problems Experienced (COPE). Patients were compared by stage (I–III vs. IV). We also examined correlations, modeled poor HRQoL (EQ-5D health sum ≤ 9), derived COPE factor scores, identified psychosocial profiles by unsupervised clustering, and explored an indirect-association framework linking AUDIT, PHQ-9, and EQ-5D problem severity. Results: Stage IV disease was associated with greater tumor burden but not with worse psychosocial scores. Overall, 18.8% met criteria for possible alcohol dependence (AUDIT ≥ 20), and PHQ-9 scores correlated with poorer EQ-5D health status (ρ = −0.275; p = 0.028). Three psychosocial profiles showed significant differences in alcohol-risk burden, depressive symptoms, and coping signatures. The exploratory indirect-effect analysis did not support a statistically significant PHQ-9-mediated association between AUDIT and EQ-5D problem severity (indirect effect 0.002; 95% CI −0.018 to 0.022). Conclusions: Alcohol-related risk and depression-associated HRQoL burden were common and were not meaningfully explained by stage alone. Exploratory phenotype-based stratification may help identify patients who could benefit from earlier supportive-care triage. Full article
Show Figures

Figure 1

22 pages, 887 KB  
Review
School-Based Alcohol and Tobacco Prevention Strategies: A Scoping Review and the Missing Role of School Nurses
by Paula Concha-Gacitua, Amalia Sillero Sillero, Sonia Ayuso-Margañon, Maria J. Golusda, Ana Maria Montserrat-Gala, Eva Gutiérrez-Naharro and Raquel Ayuso-Margañon
Children 2026, 13(4), 453; https://doi.org/10.3390/children13040453 - 26 Mar 2026
Viewed by 487
Abstract
Background/Objectives: Alcohol and tobacco use in adolescence are major public health concerns that shape long-term health trajectories and undermine healthy behaviour development. Schools are key settings for health promotion, offering structured environments to foster self-regulation, social skills, and protective behaviours. This scoping [...] Read more.
Background/Objectives: Alcohol and tobacco use in adolescence are major public health concerns that shape long-term health trajectories and undermine healthy behaviour development. Schools are key settings for health promotion, offering structured environments to foster self-regulation, social skills, and protective behaviours. This scoping review mapped recent school-based educational strategies designed to prevent alcohol and tobacco use among adolescents and to examine whether the included studies reported any involvement of school nurses. Methods: Review followed Arksey and O’Malley’s framework and adhered to JBI guidance and PRISMA-ScR. Searches were conducted in PubMed and Web of Science (2019–2024) to identify school-based educational interventions targeting alcohol and/or tobacco use among primary or secondary school children. The primary search targeted prevention strategies, complemented by nursing-related terms to identify nurse involvement. A standardised charting form captured study characteristics, intervention formats, theoretical foundations, implementation factors, and any reported participation of health professionals. Data extraction was performed independently by two reviewers. Results: Eleven studies met the inclusion criteria. Most were randomised controlled trials (81.8%). Educational strategies included online (45.5%), hybrid (27.3%), and face-to-face (27.3%) formats. Programs focused on social skills, self-regulation, harm reduction, or resilience. Digital formats were cost-effective but showed challenges in engagement and sustained participation, while face-to-face or hybrid approaches offered relational support but were vulnerable to implementation drift. No study reported nurse involvement. Conclusions: School-based prevention strategies can contribute to healthier behaviours related to substance use by reinforcing socioemotional competencies and reducing early exposure to substances. However, persistent barriers such as low engagement, inconsistent delivery, and the absence of health professionals limit their impact. The role of school nurses could be considered in future school-based prevention programmes. Full article
(This article belongs to the Special Issue Promoting Healthy Lifestyles in Children and Adolescents)
Show Figures

Figure 1

12 pages, 1468 KB  
Article
Chronic Alcohol Consumption Induces Irreversible and Heterogeneous Pancreatic Steatosis in Men: An MRI-Based Cross-Sectional Study
by Yuting Zhao, Wenjuan Yang, Chengwei Tang and Jing Li
J. Clin. Med. 2026, 15(7), 2513; https://doi.org/10.3390/jcm15072513 - 25 Mar 2026
Viewed by 432
Abstract
Background: Chronic alcohol consumption is a recognized cause of pancreatic steatosis, though its imaging characteristics in individuals remain undefined. This study investigated the effect of chronic alcohol intake on the pancreatic fat content and distribution in a male population and assessed the impact [...] Read more.
Background: Chronic alcohol consumption is a recognized cause of pancreatic steatosis, though its imaging characteristics in individuals remain undefined. This study investigated the effect of chronic alcohol intake on the pancreatic fat content and distribution in a male population and assessed the impact of abstinence. Methods: In this cross-sectional study, 140 male alcohol drinkers (who consumed >20 g ethanol/day for >5 years) and 142 male non-drinkers were recruited. The pancreatic fat fraction (FF) was quantified using T1- and T2*-corrected double-echo chemical shift magnetic resonance imaging (CSI). Participants were stratified by age (20–50 years, 50–70 years). Drinkers were further categorized as current drinkers or short-term (<1 year) or long-term (1–2 years) abstainers. Results: The pancreatic FF was significantly higher in alcohol drinkers compared with age-matched controls in the 20–50-year-old (6.07 ± 1.59% vs. 2.94 ± 0.62%, p < 0.05) and 50–70-year-old (9.14 ± 2.22% vs. 5.98 ± 1.00%, p < 0.05) groups. In drinkers aged 40–70 years, the pancreatic fat distribution was uneven. No significant difference in the FF was observed across the three drinking status groups (p > 0.05). Conclusions: Chronic alcohol consumption could cause fat deposition in the pancreas. An uneven distribution of pancreatic fat began in the fourth decade in this male population. An alcoholic fatty pancreas was not reversed within a follow-up period of up to two years. Full article
(This article belongs to the Section Gastroenterology & Hepatopancreatobiliary Medicine)
Show Figures

Graphical abstract

25 pages, 2208 KB  
Article
Characterization of Key Odorants in Jimo Huangjiu Using a Characteristic Aroma-Directed Screening Strategy
by Hongtao Yu, Siman Zheng, Liuxi Chen, Juan Wang, Hongqin Liu, Jinglin Zhang, Mingquan Huang, Jihong Wu, Dongrui Zhao and Jinchen Li
Foods 2026, 15(6), 1111; https://doi.org/10.3390/foods15061111 - 23 Mar 2026
Viewed by 356
Abstract
Jimo Huangjiu (JMHJ), a Chinese geographical indication product from Shandong Province, is characterized by distinctive burnt-like and smoky aromas. However, the specific odorants responsible for these sensory attributes remain uncharacterized. In this study, the flavor characteristics of Jimo Huangjiu are characterized through static [...] Read more.
Jimo Huangjiu (JMHJ), a Chinese geographical indication product from Shandong Province, is characterized by distinctive burnt-like and smoky aromas. However, the specific odorants responsible for these sensory attributes remain uncharacterized. In this study, the flavor characteristics of Jimo Huangjiu are characterized through static and dynamic sensory evaluation during the drinking process. This study identified the essential odorants of JMHJ through integrated sensomics analysis. Results revealed pyrazines and phenolic compounds as the characteristic aroma markers responsible for the unique smoky and burnt-like aroma of JMHJ. Ethyl 2-methylpropionate, 4-methylphenol, 4-ethyl-2-methoxyphenol, β-phenylethyl alcohol, 2-ethyl-6-methylpyrazine, 2-ethyl-3-methylpyrazine, 2-methylpyrazine, 2-methoxyphenol, 2-methylphenol, 2,3-dimethylpyrazine, and 2-hydroxy-3-methyl-2-cyclopentenone were confirmed as key odorants in JMHJ. Furthermore, the synergistic interactions between nonanoic acid and phenolic compounds were found to contribute to a Qu-like aroma, representing a novel mechanism for this characteristic sensory attribute in Huangjiu. Full article
(This article belongs to the Special Issue Food Flavor Chemistry and Sensory Properties Analysis)
Show Figures

Figure 1

Back to TopTop