Sign in to use this feature.

Years

Between: -

Subjects

remove_circle_outline
remove_circle_outline
remove_circle_outline
remove_circle_outline
remove_circle_outline
remove_circle_outline
remove_circle_outline

Journals

Article Types

Countries / Regions

Search Results (11)

Search Parameters:
Keywords = air-cooling heatsink

Order results
Result details
Results per page
Select all
Export citation of selected articles as:
24 pages, 10398 KB  
Article
An Enhanced Cooling Method for Power Modules on All-Electric Ships Based on Parameter Optimization and Special-Shaped Design of Sintered Heat Pipes
by Binyu Wang, Ting Lu, Qisheng Wu, Bobin Yao, Hongwei Zhang, Xiwei Zhou and Weiyu Liu
Micromachines 2025, 16(11), 1197; https://doi.org/10.3390/mi16111197 - 22 Oct 2025
Viewed by 601
Abstract
This paper proposes an enhanced cooling method for multi-chip power modules (e.g., in MMC inverters) with uneven power loss in all-electric propulsion ships based on sintered heat pipe parameter optimization and special-shaped design. First, five key parameters of straight sintered heat pipes were [...] Read more.
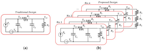
This paper proposes an enhanced cooling method for multi-chip power modules (e.g., in MMC inverters) with uneven power loss in all-electric propulsion ships based on sintered heat pipe parameter optimization and special-shaped design. First, five key parameters of straight sintered heat pipes were optimized: placement directly under hotspot chips, 10 mm in diameter, quantity matching the number of hotspot chips, length equal to the heatsink side length, and direction perpendicular to heatsink fins. Then, a C-shaped heat pipe was designed using the parallel thermal resistance principle, which forms two parallel low-thermal-resistance paths and outperforms conventional U-shaped ones. Finite element simulations showed that the hotspot temperature of the conventional heatsink was 91.26 °C, while it dropped to 87.35 °C with optimized straight heat pipes and further to 80.85 °C with C-shaped ones. Experiments verified an 11.65% temperature reduction (from 86.7 °C of conventional heatsinks to 76.6 °C of C-shaped heat pipe heatsinks). This method effectively lowers hotspot temperatures, reduces device failure rates, improves the thermal reliability of power modules, and provides a generalized design methodology for heatsinks of various power electronic converters. Full article
Show Figures

Figure 1

19 pages, 3167 KB  
Article
Numerical and Experimental Analysis of Cooling System Performance in Induction Hobs: A Comparison of Heatsink Designs
by Ayberk Salim Mayil and Cisil Timuralp
Appl. Sci. 2025, 15(11), 5995; https://doi.org/10.3390/app15115995 - 26 May 2025
Viewed by 1023
Abstract
The increasing demand for induction hobs necessitates efficient cooling systems to ensure the safe operation of electronic cut-outs. This study investigates the thermal representation of three different ignition designs integrated into an induction hob cooling system. A simplified model consisting of a radial [...] Read more.
The increasing demand for induction hobs necessitates efficient cooling systems to ensure the safe operation of electronic cut-outs. This study investigates the thermal representation of three different ignition designs integrated into an induction hob cooling system. A simplified model consisting of a radial fan, a daughterboard, and the electronics installed in the systems is used for the maintenance of the system. Remote measurements of air velocities at the cooler outlets are compared with the results obtained through programmable system dynamics (CFD) operations using FloEFD v2021.1 software. The findings of the study using the k-ε turbulence model show that Type 1 temperature is resistant to the lowest surface temperature for both the closest (IGBT 1) and the farthest (IGBT 2) temperature to the fan. Conversely, Type 3 temperatures exhibited high temperatures. Air velocity comparisons showed a maximum error rate of 30%, which is acceptable considering the variability in Type 1. Measurement system evaluation and DOE study were continued to increase the experimental range. This study demonstrates the utility offered by heatsink design in optimizing the cooling system of induction hobs and provides valuable insights for integrating thermal management systems. Full article
(This article belongs to the Section Applied Thermal Engineering)
Show Figures

Figure 1

21 pages, 4530 KB  
Article
Investigation of Cooling Techniques for Roof-Mounted Silicon Photovoltaic Panels in the Climate of the UAE: A Computational and Experimental Study
by Tarek Abdelaty, Hassam Nasarullah Chaudhry and John Kaiser Calautit
Energies 2023, 16(18), 6706; https://doi.org/10.3390/en16186706 - 19 Sep 2023
Cited by 2 | Viewed by 2251
Abstract
The increased adoption of photovoltaic (PV) systems for global decarbonisation necessitates addressing the gap in reduced panel efficiency due to overheating. This issue is especially prominent in countries with extremely hot and humid climates where PV utilisation is hindered by declining panel output. [...] Read more.
The increased adoption of photovoltaic (PV) systems for global decarbonisation necessitates addressing the gap in reduced panel efficiency due to overheating. This issue is especially prominent in countries with extremely hot and humid climates where PV utilisation is hindered by declining panel output. A systematic review of PV cooling techniques suggests passive systems are more economical, sustainable, and easier to implement than active systems, despite possessing a lower cooling potential. Air-based systems were deemed the most viable for the UAE’s climate, considering both performance and cost. Based on these findings, two individual improvements for air-based cooling systems were combined in an attempt to achieve greater cooling: a segmented multiangular aluminium fin heatsink developed from previous works. Various perforation patterns were simulated on the chosen heatsink using CFD software to determine the most optimal arrangement. The original and optimised models were both tested under real-life conditions in Dubai, United Arab Emirates, revealing similar cooling potential between the two. The results of this study indicate that the PV cell temperature can be decreased by up to 10 °C with the placement of an aluminium fin heatsink, which corresponds to an approximate efficiency increase of 5%. Full article
Show Figures

Figure 1

21 pages, 16188 KB  
Article
Influence of Gravity on Passively Cooled Heat Sink Using Experimental Data and Finite Element Analysis
by George-Gabriel Chiriac, Cătălin Gabriel Dumitraș, Dragoș Florin Chitariu, Petrică Vizureanu and Andrei Victor Sandu
Processes 2023, 11(3), 896; https://doi.org/10.3390/pr11030896 - 16 Mar 2023
Cited by 1 | Viewed by 2565
Abstract
This paper studies the effect of gravity orientation on a heat sink, used to passively cool a thick film resistor, by changing the assembly orientation. Using the same geometry and boundary conditions as in the experimental setup, finite element simulations were conducted to [...] Read more.
This paper studies the effect of gravity orientation on a heat sink, used to passively cool a thick film resistor, by changing the assembly orientation. Using the same geometry and boundary conditions as in the experimental setup, finite element simulations were conducted to evaluate the accuracy of Siemens Flotherm XT 2021.2 simulation software. In order to determine the influence of heat sink orientation, experimental measurements were performed on the resistor and heat sink temperature using thermocouples. Siemens Simcenter Flotherm XT 2021.2 software (Siemens, Munich, Germany) was used to perform finite element simulation. The influence of the heat sink position was evaluated on two setups, one where the resistor is placed directly on the heat sink using screws, and the second one, where a thermal pad was placed between the resistor and the heat sink. Screws were to clamp the parts in both cases. In total, four experiments and simulations were performed with two assemblies with two different gravity orientations for each assembly. In all the cases, the heat sink was placed on a wooden structure to prevent heat transfer through conduction, due to poor thermal conductivity of wood, and to allow unrestricted air flow underneath and around the heat sink. The first simulation was then calibrated for the first scenario, and the rest of the simulations were made using the calibrated one. No other changes in boundary conditions were made. Temperature measurements show an improved cooling when the air speed between the heat sink fins is enhanced due to natural hot air movement generated by the gravity. Gravity has an influence on the cooling regardless of the presence or absence of a thermal interface material. Measured temperatures were reduced up to 8.2 °C due to the rotation of the heatsink. Finite element analysis shows similar temperature values to the measured ones in all the scenarios. Full article
(This article belongs to the Special Issue New Advances in Heat Transfer and Fluid Flow)
Show Figures

Figure 1

19 pages, 11737 KB  
Article
Performance Analysis of Low-Capacity Water–LiBr Absorption–Cooling Systems Using Geothermal Heat-Sinks in Hot Climates
by Omar Ketfi, Hamid Abdi, Billel Lounici and Mahmoud Bourouis
Energies 2023, 16(2), 809; https://doi.org/10.3390/en16020809 - 10 Jan 2023
Cited by 4 | Viewed by 2421
Abstract
This paper addresses the use of a geothermal heat-sink to remove the heat released in domestic-sized single and double-effect water–LiBr absorption chillers operating in hot climates. This study is the continuation of a previous work, which demonstrated the operational constraints of these absorption [...] Read more.
This paper addresses the use of a geothermal heat-sink to remove the heat released in domestic-sized single and double-effect water–LiBr absorption chillers operating in hot climates. This study is the continuation of a previous work, which demonstrated the operational constraints of these absorption chillers working in hot Algerian climate-zones. After localizing the non-operation zones for both systems, the thermo-physical properties of the soil at several depths are investigated for the implementation of the underground heat-exchanger. This heat-exchanger is connected to the condenser and the absorber of both systems, to supply cooling water at inlet temperatures of 33 °C in hot climate conditions, with ambient temperatures varying from 38 °C to 42 °C. The results show a steady operation for both absorption chillers in climate conditions which had not previously allowed the two systems to operate in water or air-cooled modes. A maximum coefficient of performance of 0.76 and 1.25 is obtained for single- and double-effect absorption cycles, respectively, with chilled water at 7 °C. The underground-tube length required is between 4.5 and 18 m, depending on the absorption-cycle configuration and the temperature of the chilled water. Full article
(This article belongs to the Section J1: Heat and Mass Transfer)
Show Figures

Figure 1

30 pages, 4363 KB  
Article
Energy Analysis and Cost-Effective Design Solutions for a Dual-Source Heat Pump System in Representative Climates in Europe
by Maciej Milanowski, Antonio Cazorla-Marín and Carla Montagud-Montalvá
Energies 2022, 15(22), 8460; https://doi.org/10.3390/en15228460 - 12 Nov 2022
Cited by 7 | Viewed by 2933
Abstract
Ground-source heat pumps are an efficient technology for heating and cooling in buildings. However, the main limitation of their widespread application is the borehole heat exchanger’s (BHE) high investment cost. Hybridizing GSHP systems may overcome this limitation. This research work analyzes the long-term [...] Read more.
Ground-source heat pumps are an efficient technology for heating and cooling in buildings. However, the main limitation of their widespread application is the borehole heat exchanger’s (BHE) high investment cost. Hybridizing GSHP systems may overcome this limitation. This research work analyzes the long-term energy performance of a dual-source heat pump (DSHP) system, which uses the air or the ground as external heat/sink sources, in three representative European climates. First, a BHE cost-effective design solution is proposed for each climatology; then, a complete energy analysis is carried out, and the optimal source control parameters that best enhance the system performance in each climate are determined with the use of a complete dynamic model of the DSHP system developed in TRNSYS. Simulations were carried out for a 25-year operation period. Results show that the DSHP maintains the efficiency during the simulated period, with deviations lower than 1.7% in all cases. Finally, the source control optimization method results in only slight efficiency gains (<0.35%) but with a stronger effect on the ground/air use ratio (up to 25% use of air in cold climates), reducing the thermal imbalance of the ground and leading to a consequent BHE size length and cost reduction. Full article
Show Figures

Figure 1

28 pages, 12077 KB  
Article
Research on Vehicle Aerodynamics and Thermal Management Based on 1D and 3D Coupling Simulation
by Yingchao Zhang, Jiesong Jian, Guohua Wang, Yuhan Jia and Jintao Zhang
Energies 2022, 15(18), 6783; https://doi.org/10.3390/en15186783 - 16 Sep 2022
Cited by 10 | Viewed by 4105
Abstract
In order to ensure the full heat dissipation of heat exchangers, the opening of the grille should be large, which increases the wind drag of the whole vehicle. Most of the research on the grille only focuses on its impact on the heat [...] Read more.
In order to ensure the full heat dissipation of heat exchangers, the opening of the grille should be large, which increases the wind drag of the whole vehicle. Most of the research on the grille only focuses on its impact on the heat dissipation of the engine compartment; there is little research on its influence on the performance of the thermal management system, because it is difficult to solve the real-time data interaction of different dimensional models. So we established the 1D and 3D strong coupling model. The biggest difference from other 1D and 3D coupling models is that we can use the interfaces reserved by the two kinds of software to realize real-time data interaction, and simultaneously analyze the 1D thermal management performance and 3D flow field and temperature field of the engine components. The coupling model is used to study three heat balance conditions. The results show that the heat-sinking capability of the cooling system is the worst under the climbing condition; and the refrigeration capacity of the air-conditioning system is the worst under the idling condition. According to the heat balance results and evaluation index priorities, we determine the simulation process. In this article, first the upper grille is gradually closed; then the flow field, temperature field and evaluation indexes are studied through the strong coupling model to obtain the analysis results of the upper grille; then based on the results, the lower grille is gradually closed, and the analysis results of the lower grille are obtained in the same way. The final simulation results show that on the premise of ensuring the performances of engine cooling system and air conditioning refrigeration system, the air drag coefficient is reduced by 17.5 counts compared with the original vehicle. Full article
Show Figures

Figure 1

18 pages, 6644 KB  
Article
Experimental Investigation on Waste Heat Recovery from a Cement Factory to Enhance Thermoelectric Generation
by Mohamed R. Gomaa, Talib K. Murtadha, Ahmad Abu-jrai, Hegazy Rezk, Moath A. Altarawneh and Abdullah Marashli
Sustainability 2022, 14(16), 10146; https://doi.org/10.3390/su141610146 - 16 Aug 2022
Cited by 29 | Viewed by 4200
Abstract
This work investigated the potential for waste heat recovery from a cement factory using thermoelectric generation (TEG) technology. Several TEGs were placed on a secondary coaxial shell separated from the kiln shell by an air gap. The performance of the system was tested [...] Read more.
This work investigated the potential for waste heat recovery from a cement factory using thermoelectric generation (TEG) technology. Several TEGs were placed on a secondary coaxial shell separated from the kiln shell by an air gap. The performance of the system was tested and evaluated experimentally. Two cooling methods, active water and forced air, were considered. A forced closed-loop water cooling system with a heat exchanger was considered for the active-water cooling method. A heat exchanger was inserted before the water tank to improve cooling efficiency by reducing the inlet temperature of the cooling water tank, in contrast to forced-air cooling, in which a heatsink was used. The obtained results indicated that the closed-loop water-cooled system equipped with a radiator, i.e., active water, has the highest conversion efficiency. The maximum absorbed heat for the forced-air and active-water cooling systems were 265.03 and 262.95 W, respectively. The active-water cooling method improves the power of TEG by 4.4% in comparison with forced-air cooling, while the payback periods for the proposed active-water and forced-air cooling systems are approximately 16 and 9 months, respectively. Full article
Show Figures

Figure 1

15 pages, 4404 KB  
Article
Heat Dissipation Characteristics of IGBT Module Based on Flow-Solid Coupling
by Lipeng Tan, Peisheng Liu, Chenhui She, Pengpeng Xu, Lei Yan and Hui Quan
Micromachines 2022, 13(4), 554; https://doi.org/10.3390/mi13040554 - 31 Mar 2022
Cited by 25 | Viewed by 5156
Abstract
With the increase of power level and integration in electric vehicle controllers, the heat flux of the key silicon-based IGBT (Insulated Gate Bipolar Transistor) device has reached its physical limit. At present, third-generation semiconductor devices including SiC MOSFETs (Metal-Oxide-Semiconductor Field-Effect Transistor) are gradually [...] Read more.
With the increase of power level and integration in electric vehicle controllers, the heat flux of the key silicon-based IGBT (Insulated Gate Bipolar Transistor) device has reached its physical limit. At present, third-generation semiconductor devices including SiC MOSFETs (Metal-Oxide-Semiconductor Field-Effect Transistor) are gradually replacing the dominant IGBT module. The hybrid IGBT module consists of both and can improve the performance and reduce the cost of controllers. Limits due to the installation space, location, and other conditions in the car make it difficult to meet the requirements of controllers with an air-cooled heatsink due to their large size and limited heat dissipation capacity. A smaller and more powerful water-cooled heatsink case is required to ensure the heat dissipation of the IGBT in the controller. Based on previous experience in finite element numerical simulation, hydrodynamics calculation, and heat transfer calculation, ANSYS Workbench finite element software was used to analyze the thermal resistance of each structure inside the module and the heatsink structure. The fluid characteristics and heat transfer performance of three different flow channel structures were analyzed, and the design of the cooling flow fin was improved to provide a reference for the heat dissipation of the hybrid IGBT module. Full article
Show Figures

Figure 1

15 pages, 3905 KB  
Article
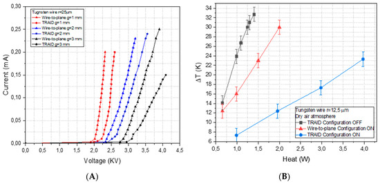
Design and Experimental Evaluation of Innovative Wire-to-Plane Fins’ Configuration for Atmosphere Corona-Discharge Cooling Devices
by Mar Cogollo, Pedro M. Balsalobre, Andrés Díaz Lantada and Héctor Puago
Appl. Sci. 2020, 10(3), 1010; https://doi.org/10.3390/app10031010 - 4 Feb 2020
Cited by 10 | Viewed by 7265
Abstract
Electro-fluid-dynamic cooling devices (EFAs) are being recognized due to their enormous advantages for their application in several industrial sectors, their performance benefits from generated ionic winds and their singular features, which make them competitive with conventional fans and heatsinks. Due to the problems [...] Read more.
Electro-fluid-dynamic cooling devices (EFAs) are being recognized due to their enormous advantages for their application in several industrial sectors, their performance benefits from generated ionic winds and their singular features, which make them competitive with conventional fans and heatsinks. Due to the problems in the electronics industry, where traditional refrigeration systems are not effective due to their dimensions, this study analyzes an innovative arrangement based on wire-to-plane fins by direct current (DC) positive corona discharge in atmospheric air for applications. The paper focuses on optimizing the multicriteria geometry of the electrodes. Several parameters are analyzed such as the gap between emitter and ground electrodes, the electrode materials and geometry, the diameter of the high-voltage electrode and the influence of the dielectric barriers located near the corona electrode to improve heat exchange. Experimental validation shows the potential of this arrangement related to weight, volume, non-mobile parts and silence. Full article
(This article belongs to the Section Applied Industrial Technologies)
Show Figures

Figure 1

13 pages, 20577 KB  
Article
Design of a Concentrically Stacked Modular Actuator with Forced Air Cooling for Multi-DOF Robotic Systems
by Jaeho Noh, Jaeyong Lee, Woosung Yang and Sungon Lee
Energies 2018, 11(11), 2947; https://doi.org/10.3390/en11112947 - 29 Oct 2018
Cited by 4 | Viewed by 3774
Abstract
This paper proposes a concentrically stacked modular (CoSMo) actuator with rotary electric motors to implement multi-degree-of-freedom (multi-DOF) robotic systems with high power densities. The CoSMo actuator shows a novel design concept, which enables the actuator module with an integrated radiator to be combined [...] Read more.
This paper proposes a concentrically stacked modular (CoSMo) actuator with rotary electric motors to implement multi-degree-of-freedom (multi-DOF) robotic systems with high power densities. The CoSMo actuator shows a novel design concept, which enables the actuator module with an integrated radiator to be combined in series and cooled by a single fan. This unique system has elevated thermal characteristics owing to the heatsink sharing effect. This enables the module to carry higher current by decreasing the temperature-rise rate. Also, the proposed design concept reduces the number of components required for cooling and allows the actuator to be placed concentrically, which contributes to the system having low mechanical impedance and higher power output per unit mass. The thermal characteristics and feature of the CoSMo actuator were analytically and numerically verified by simulation using a simplified model. To advance the thermal characteristics of the system further, the adequate actuator types for the CoSMo actuator were analyzed and a prototype was fabricated based on the analysis. Through the experiment using the prototype, we verified that the maximum continuous current that can be applied to the CoSMo actuator is up to about three times greater than the rated current in a forced air-cooling environment. Full article
(This article belongs to the Section J: Thermal Management)
Show Figures

Figure 1

Back to TopTop