Performance Analysis of Low-Capacity Water–LiBr Absorption–Cooling Systems Using Geothermal Heat-Sinks in Hot Climates
Abstract
:1. Introduction
2. System Modelling
2.1. Absorption-Chiller Modelling
Mass- and Energy-Balances
2.2. Underground Heat-Exchanger Modelling
- Soil temperature is considered constant around the tube.
- Thin wall is considered for the heat exchanger tube.
- Wall-tube temperature is maintained constant at soil temperature.
- Fluid temperature undergoes a variation only in the axial direction.
- Ground properties are constant.
2.3. Soil Temperature
2.4. Case Study
3. Results and Discussion
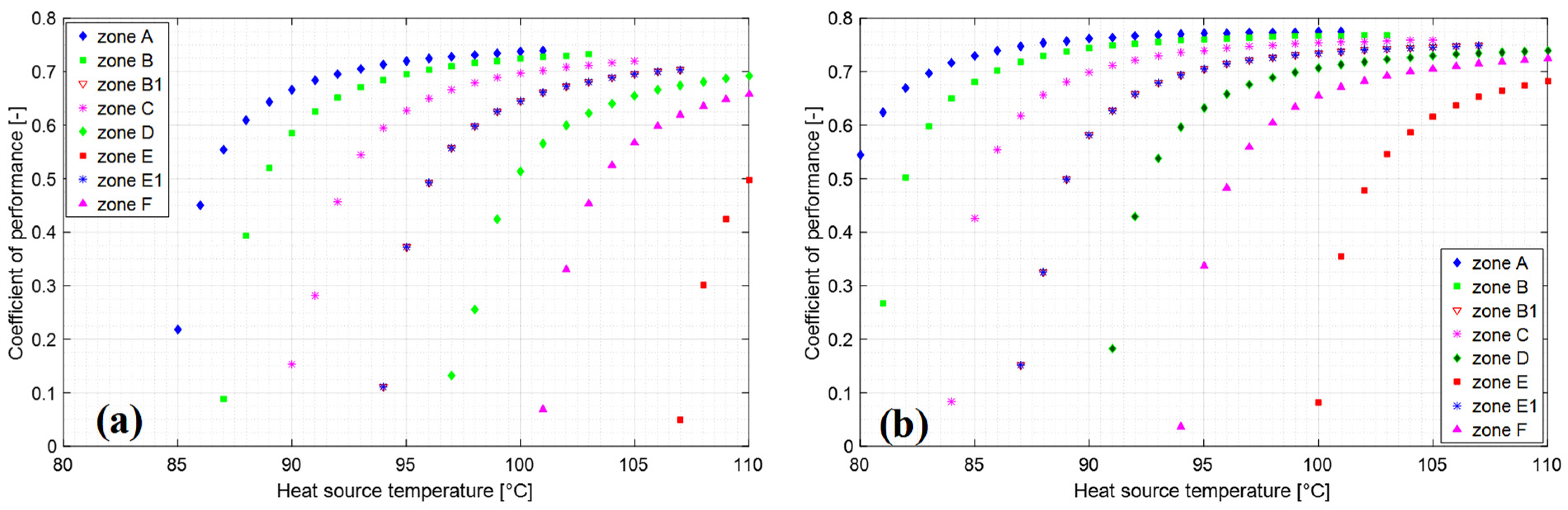
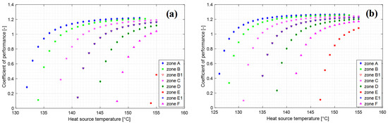
3.1. Performance Analysis of the Single- and Double-Effect Absorption Chillers in Algerian Climate Zones
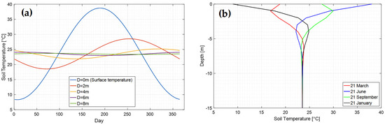
3.2. Underground-Temperature Profiles for Climate Zones D, E and F
3.3. Parametric Study of the Underground Heat-Exchanger
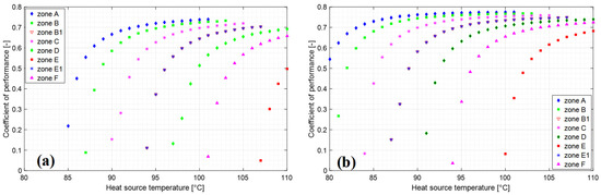
3.4. Performance Analysis of the Absorption-Cooling Cycles Connected to a Geothermal Heat-Sink
4. Conclusions
- Both single- and double-effect absorption-cooling cycles were unable to operate efficiently or even unable to operate at all in the climate conditions of the Saharan zones D, E and F.
- When the single-effect absorption cycle was connected to a geothermal heat-sink in zones D, E and F, maximum COP values of 0.76 and 0.79 were obtained at heat-source temperatures of 94 °C and 90 °C, respectively. The cooling capacity was approximately 85% of the nominal value at a chilled-water temperature of 7 °C, and 7% over the nominal value at a chilled-water temperature of 12 °C.
- As regards the double-effect absorption cycle, the maximum COP values were 1.25 and 1.29 at chilled-water temperatures of 7 °C and 12 °C and heat-source temperatures of 143 °C and 135 °C, respectively. The double-effect absorption-cycle was able to operate at full nominal-cooling-capacity at a 7 °C chilled-water temperature, and 10% over its nominal cooling capacity at a chilled-water temperature of 12 °C.
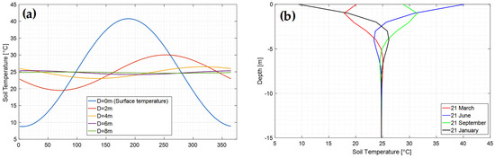
- The underground-tube length required in the heat-sink depended on the climate zone for both the single- and double-effect absorption-cooling cycles. As regards the single-effect absorption cycle, climate zone E, which presented the highest ambient temperatures, required approximately 50% of the tube length needed by zones D and F. This could be explained by the soil temperature at 2 m depth, which is 22 °C, while the temperatures corresponding to zones D and F are 28 °C and 27 °C, respectively. The tube length was approximately 25% longer when the chilled-water temperature was set at 12 °C. This could be explained by the higher amount of heat dissipated in the absorber and condenser. In the case of the double-effect absorption cycle, the length required for the underground tube was approximately 35% more than that required for the single-effect absorption cycle.
Author Contributions
Funding
Data Availability Statement
Conflicts of Interest
Nomenclature
| Cp | Specific heat | kJ/kg·K |
| D | Diameter/Depth | m |
| h | Specific enthalpy/Convective heat transfer coefficient, | kJ/kg—W/m²·K |
| L | Length | m |
| M | Molar mass | mol |
| ṁ | Mass flow rate | kg/s |
| P | Circumference | m |
| Heat duty | W | |
| S | Surface | m² |
| T | Temperature | °C |
| t | Time | s |
| w | Molar concentration | mol/l |
| W | Work | J |
| X | Concentration of LiBr | kgLiBr/kgsol |
| Greek letters | ||
| α | Diffusivity | m²/s |
| ρ | Density | kg/m3 |
| λ | Thermal conductivity | W/m·K |
| Subscripts | ||
| LiBr | Lithium Bromide | |
| H2O | Water | |
| COP | Coefficient of performance | |
| cw | Chilled-water | |
| e | Evaporator | |
| g | Generator/Ground | |
| i | Inlet | |
| o | Outlet |
References
- Ministère Algérien de l’Energie. Bilan Energétique National 2019. 2020. Available online: https://www.energy.gov.dz/ (accessed on 1 March 2022).
- Ketfi, O.; Merzouk, M.; Merzouk, N.K.; Bourouis, M. Feasibility study and performance evaluation of low-capacity water-LiBr absorption cooling systems functioning in different Algerian climate zones. Int. J. Refrig. 2017, 82, 36–50. [Google Scholar] [CrossRef]
- Agrouaz, Y.; Bouhal, T.; Allouhi, A.; Kousksou, T.; Jamil, A.; Zeraouli, Y. Energy and parametric analysis of solar absorption cooling systems in various Moroccan climates. Case Stud. Therm. Eng. 2017, 9, 28–39. [Google Scholar] [CrossRef]
- Merabti, L.; Merzouk, M.; Merzouk, N.K.; Taane, W. Performance study of solar driven solid desiccant cooling system under Algerian coastal climate. Int. J. Hydrog. Energy 2017, 42, 28997–29005. [Google Scholar] [CrossRef]
- Mortadi, M.; El Fadar, A. Performance, economic and environmental assessment of solar cooling systems under various climates. Energy Convers. Manag. 2022, 252, 114993. [Google Scholar] [CrossRef]
- Lu, D.; Liu, Z.; Bai, Y.; Cheng, R.; Gong, M. Study on the multi-energy complementary absorption system applied for combined cooling and heating in cold winter and hot summer areas. Appl. Energy 2022, 312, 118746. [Google Scholar] [CrossRef]
- Camara, S.; Sulin, A. Study of a double-acting solar collector for use in the absorption cooling system in hot regions. Therm. Sci. Eng. Prog. 2022, 31, 101286. [Google Scholar] [CrossRef]
- Kumar, G.; Ayou, D.; Narendran, C.; Saravanan, R.; Maiya, M.; Coronas, A. Renewable heat powered polygeneration system based on an advanced absorption cycle for rural communities. Energy 2023, 262, 125300. [Google Scholar] [CrossRef]
- Ghodbane, M.; Said, Z.; Ketfi, O.; Boumeddane, B.; Hoang, A.; Sheikholeslami, M.; El Haj Assad, M.; Ahmadi, M.H.; Nguyen, V.; Tran, V.D.; et al. Thermal performance assessment of an ejector air-conditioning system with parabolic trough collector using R718 as a refrigerant: A case study in Algerian desert region. Sustain. Energy Technol. Assess. 2022, 53, 102513. [Google Scholar] [CrossRef]
- Allouhi, A. Techno-economic and environmental accounting analyses of an innovative power-to-heat concept based on solar PV systems and a geothermal heat pump. Renew. Energy 2022, 191, 649–661. [Google Scholar] [CrossRef]
- Beckers, K.; Rangel-Jurado, N.; Chandrasekar, H.; Hawkins, A.; Fulton, P.; Tester, J. Techno-Economic Performance of Closed-Loop Geothermal Systems for Heat Production and Electricity Generation. Geothermics 2022, 100, 102318. [Google Scholar] [CrossRef]
- Baba, A.; Sözbilir, H.; Sayık, T.; Arslan, S.; Uzelli, T.; Tonkul, S.; Demir, M. Hydrogeology and hydrogeochemistry of the geothermal systems and its direct use application: Balçova-Narlıdere geothermal system, Izmir, Turkey. Geothermics 2022, 104, 102461. [Google Scholar] [CrossRef]
- Haris, M.; Hou, M.; Feng, W.; Mehmood, F.; Saleem, A. A regenerative Enhanced Geothermal System for heat and electricity production as well as energy storage. Renew. Energy 2022, 197, 342–358. [Google Scholar] [CrossRef]
- Kabeyi, M.B.; Olanrewaju, O.A. Geothermal wellhead technology power plants in grid electricity generation: A review. Energy Strategy Rev. 2022, 39, 100735. [Google Scholar] [CrossRef]
- Deng, J.; Ma, M.; Wei, Q.; Liu, J.; Zhang, H.; Li, M. A specially-designed test platform and method to study the operation performance of medium-depth geothermal heat pump systems (MD-GHPs) in newly-constructed project. Energy Build. 2022, 272, 112369. [Google Scholar] [CrossRef]
- Zeng, C.; Yuan, Y.; Haghighat, F.; Panchabikesan, K.; Cao, X.; Yang, L.; Leng, Z. Thermo-economic analysis of geothermal heat pump system integrated with multi-modular water-phase change material tanks for underground space cooling applications. J. Energy Storage 2022, 45, 103726. [Google Scholar] [CrossRef]
- Cui, Y.; Zhu, J.; Twaha, S.; Chu, J.; Bai, H.; Huang, K.; Chen, X.; Zoras, S.; Soleimani, Z. Techno-economic assessment of the horizontal geothermal heat pump systems: A comprehensive review. Energy Convers. Manag. 2019, 191, 208–236. [Google Scholar] [CrossRef]
- Self, S.; Reddy, B.; Rosen, M. Geothermal heat pump systems: Status review and comparison with other heating options. Appl. Energy 2013, 101, 341–348. [Google Scholar] [CrossRef]
- Blázquez, C.S.; Nieto, I.M.; González, M.M.; García, P.C.; Martín, A.F.; González-Aguilera, D. Geophysical exploration for shallow geothermal applications: A case study in Artà, (Balearic Islands, Spain). Geothermics 2022, 105, 102517. [Google Scholar] [CrossRef]
- Lebbihiat, N.; Atia, A.; Arıcı, M.; Meneceur, N. Geothermal energy use in Algeria: A review on the current status compared to the worldwide, utilization opportunities and countermeasures. J. Clean. Prod. 2021, 302, 126950. [Google Scholar] [CrossRef]
- Benzaamaa, M.; Menhoudj, S.; Kontoleon, K.; Mokhtari, A.; Lekhal, M. Investigation of the thermal behavior of a combined geothermal system for cooling with regards to Algeria’s climate. Sustain. Cities Soc. 2018, 43, 121–133. [Google Scholar] [CrossRef]
- Hebbal, B.; Marif, Y.; Hamdani, M.; Belhadj, M.M.; Bouguettaia, H.; Bechki, D. The geothermal potential of underground buildings in hot climates: Case of Southern Algeria. Case Stud. Therm. Eng. 2021, 28, 101422. [Google Scholar] [CrossRef]
- Bassoud, A.; Khelafi, H.; Mokhtari, A.M.; Bada, A. Evaluation of summer thermal comfort in arid desert areas. Case study: Old adobe building in Adrar (South of Algeria). Build. Environ. 2021, 205, 108140. [Google Scholar] [CrossRef]
- Aryal, M.R.; Pun, S.; Yadav, A.; Basnet, B. Study, Design, and Analysis of Geothermal Cooling System and Its Possibilities in the Terai Region of Nepal. J. Inst. Eng. (India) Ser. C 2021, 102, 777–787. [Google Scholar] [CrossRef]
- Kalantar, V.; Khayyaminejad, A. Numerical simulation of a combination of a new solar ventilator and geothermal heat exchanger for natural ventilation and space cooling. Int. J. Energy Environ. Eng. 2021, 13, 785–804. [Google Scholar] [CrossRef]
- Shah, M.; Kathiriya, H.; Kakadiya, M.; Boghara, V.; Sircar, A.; Thakore, S. Model design of condenser for solar assisted geothermal cooling system using software simulation. Model. Earth Syst. Environ. 2019, 5, 33–40. [Google Scholar] [CrossRef]
- Pàtek, J.; Klomfar, J. A computationally effective formulation of the thermodynamic properties of Libr-H2O solutions from 273 to 500K over full composition range. Int. J. Refrig. 2006, 29, 566–578. [Google Scholar] [CrossRef]
- Van Reenen, D. Modelling the Performance of Underground Heat Exchangers and Storage Systems. Master Thesis, Chalmers University of Technology, Göteborg, Sweden, 2011. [Google Scholar]
- Kusuda, T. The effect of ground cover on earth temperature. In Proceedings of the Conference on Alternatives in Energy Conservation: The Use of Earth-covered Buildings, Fort Worth, Texas, July 9–12; U.S. Government Publishing Office: Washington, DC, USA, 1975; pp. 279–303. [Google Scholar]
- Geothermal cooling, Caractéristiques thermiques des sols. Available online: https://energieplus-lesite.be/ (accessed on 1 December 2021).
- CNERIB, Ministère Algérien de l’Habitat. CNERIB Classification, Recommandations architecturales. Editions ENAG, Alger.; 2011. Available online: http://www.mhuv.gov.dz (accessed on 1 March 2022).
- Maryami, R.; Dehghan, A. An exergy based comparative study between LiBr/water absorption refrigeration systems from half effect to triple effect. Appl. Therm. Eng. 2017, 124, 103–123. [Google Scholar] [CrossRef]
- Rodríguez-Toscano, A.; Amaris, C.; Sagastume-Gutierrez, A.; Bourouis, M. Technical, environmental, and economic evaluation of a solar/gas driven absorption chiller for shopping malls in the Caribbean region of Colombia. Case Stud. Therm. Eng. 2022, 30, 101743. [Google Scholar] [CrossRef]
- Sharifi, S.; Heravi, F.N.; Shirmohammadi, R.; Ghasempour, R.; Petrakopoulou, F.; Romeo, L. Comprehensive thermodynamic and operational optimization of a solar-assisted LiBr/water absorption refrigeration system. Energy Rep. 2020, 6, 2309–2323. [Google Scholar] [CrossRef]
- Jain, V.; Singhal, A.; Sachdeva, G.; Kachhwaha, S. Advanced exergy analysis and risk estimation of novel NH3-H2O and H2O-LiBr integrated vapour absorption refrigeration system. Energy Convers. Manag. 2020, 224, 113348. [Google Scholar] [CrossRef]
- Hong, S.J.; Bae, K.J.; Nguyen, T.; Kim, H.G.; Kim, I.; Kim, N.Y.; Kwon, O.K.; Park, C.W. Development of thermally-driven hybrid Water-LiBr absorption system for simultaneously supplying steam and refrigeration effect. Appl. Therm. Eng. 2022, 201, 117792. [Google Scholar] [CrossRef]
- Alsagri, A.S.; Chiasson, A.; Shahzad, M.W. Geothermal Energy Technologies for Cooling and Refrigeration Systems: An Overview. Arab. J. Sci. Eng. 2021, 47, 7859–7889. [Google Scholar] [CrossRef]
- Ministère Algérien des Resources en Eau. Technical Report; Document Interne; ANRH: Alger, Algeria, 2014. [Google Scholar]
- Chabour, N.; Mebrouk, N.; Hassani, M.; Upton, K.; Dochartaigh, B.; Bellwood-Howard, I. Atlas de l’eau souterraine en Afrique: Hydrogéologie de l’Algérie. British Geological Survey. Available online: http://earthwise.bgs.ac.uk/index.php/Hydrogéologie_d’Algérie (accessed on 1 December 2021).
- Benhammou, M.; Draoui, B. Modélisation de la température en profondeur du sol pour la région d’Adrar-Effet de la nature du sol. Revue des Energies Renouvelables—CDER. J. Renew. Energ. 2011, 14, 219–228. [Google Scholar]
- Xiaoyong, C. BCT16 Commissioning Instruction and Explanation Notes; Broad, Co.: Changsha, China, 2004. [Google Scholar]
- Yazaki Corporation. WFC-SC5 chiller, specifications. 2008. Available online: www.yazakienergy.com (accessed on 1 March 2022).



















| Climate Zone | Maximum Reference Temperature [°C] |
|---|---|
| Zone A | 32.5 |
| Zone B | 33.5 |
| Sub zones B1–2 | 36.5 |
| Zone C | 35 |
| Zone D | 38 |
| Zone E | 42 |
| Sub zone E1 | 36.5 |
| Zone F | 39.5 |
| Climate Zone | Maximum Reference Temperature [°C] | GPS Coordinates Of Drilling Site | Soil Temperature (in Summer) at 2 m Depth [°C] |
|---|---|---|---|
| Zone D (In Amenas) | 38 | N: 28°2.684′ E: 9°33.671′ | 28.26 |
| Zone E (Boukais/Bechar) | 42 | N: 31°53′45.7″ E: 2°32′49.3″ | 22.05 |
| Zone F (Ouled Hamza/Bechar) | 39.5 | N: 29°7′48.2″ E: 1°58′59.9″ | 27.79 |
Disclaimer/Publisher’s Note: The statements, opinions and data contained in all publications are solely those of the individual author(s) and contributor(s) and not of MDPI and/or the editor(s). MDPI and/or the editor(s) disclaim responsibility for any injury to people or property resulting from any ideas, methods, instructions or products referred to in the content. |
© 2023 by the authors. Licensee MDPI, Basel, Switzerland. This article is an open access article distributed under the terms and conditions of the Creative Commons Attribution (CC BY) license (https://creativecommons.org/licenses/by/4.0/).
Share and Cite
Ketfi, O.; Abdi, H.; Lounici, B.; Bourouis, M. Performance Analysis of Low-Capacity Water–LiBr Absorption–Cooling Systems Using Geothermal Heat-Sinks in Hot Climates. Energies 2023, 16, 809. https://doi.org/10.3390/en16020809
Ketfi O, Abdi H, Lounici B, Bourouis M. Performance Analysis of Low-Capacity Water–LiBr Absorption–Cooling Systems Using Geothermal Heat-Sinks in Hot Climates. Energies. 2023; 16(2):809. https://doi.org/10.3390/en16020809
Chicago/Turabian StyleKetfi, Omar, Hamid Abdi, Billel Lounici, and Mahmoud Bourouis. 2023. "Performance Analysis of Low-Capacity Water–LiBr Absorption–Cooling Systems Using Geothermal Heat-Sinks in Hot Climates" Energies 16, no. 2: 809. https://doi.org/10.3390/en16020809
APA StyleKetfi, O., Abdi, H., Lounici, B., & Bourouis, M. (2023). Performance Analysis of Low-Capacity Water–LiBr Absorption–Cooling Systems Using Geothermal Heat-Sinks in Hot Climates. Energies, 16(2), 809. https://doi.org/10.3390/en16020809

