Sign in to use this feature.

Years

Between: -

Subjects

remove_circle_outline
remove_circle_outline
remove_circle_outline
remove_circle_outline
remove_circle_outline
remove_circle_outline
remove_circle_outline
remove_circle_outline
remove_circle_outline

Journals

Article Types

Countries / Regions

Search Results (52)

Search Parameters:
Keywords = acoustic measurement protocols

Order results
Result details
Results per page
Select all
Export citation of selected articles as:
26 pages, 7667 KB  
Article
GRU-Based Deep Multimodal Fusion of Speech and Head-IMU Signals in Mixed Reality for Parkinson’s Disease Detection
by Daria Hemmerling, Milosz Dudek, Justyna Krzywdziak, Magda Żbik, Wojciech Szecowka, Mateusz Daniol, Marek Wodzinski, Monika Rudzinska-Bar and Magdalena Wojcik-Pedziwiatr
Sensors 2026, 26(1), 269; https://doi.org/10.3390/s26010269 - 1 Jan 2026
Viewed by 398
Abstract
Parkinson’s disease (PD) alters both speech and movement, yet most automated assessments still treat these signals separately. We examined whether combining voice with head motion improves discrimination between patients and healthy controls (HC). Synchronous measurements of acoustic and inertial signals were collected using [...] Read more.
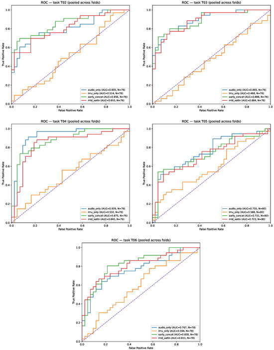
Parkinson’s disease (PD) alters both speech and movement, yet most automated assessments still treat these signals separately. We examined whether combining voice with head motion improves discrimination between patients and healthy controls (HC). Synchronous measurements of acoustic and inertial signals were collected using a HoloLens 2 headset. Data were obtained from 165 participants (72 PD/93 HC), following a standardized mixed-reality (MR) protocol. We benchmarked single-modality models against fusion strategies under 5-fold stratified cross-validation. Voice alone was robust (pooled AUC ≈ 0.865), while the inertial channel alone was near chance (AUC ≈ 0.497). Fusion provided a modest but repeatable improvement: gated early-fusion achieved the highest AUC (≈0.875), cross-attention fusion was comparable (≈0.873). Gains were task-dependent. While speech-dominated tasks were already well captured by audio, tasks that embed movement benefited from complementary inertial data. Proposed MR capture proved feasible within a single session and showed that motion acts as a conditional improvement factor rather than a sole predictor. The results outline a practical path to multimodal screening and monitoring for PD, preserving the reliability of acoustic biomarkers while integrating kinematic features when they matter. Full article
Show Figures

Figure 1

14 pages, 849 KB  
Article
Morphometric Analysis of the Openings in the Posterior Cranial Fossa and Their Relationship with Sex
by Ahmet Depreli, Necati Emre Sahin, Sefa Sonmez, Merve Nur Ozgen Sonmez, Mensure Sahin, Berna Dogan, Sadik Bugrahan Simsek and Huseyin Ugur Bakan
Diagnostics 2025, 15(24), 3189; https://doi.org/10.3390/diagnostics15243189 - 13 Dec 2025
Viewed by 407
Abstract
Background/Objectives: The cranial base, especially the posterior cranial fossa, has openings with population-specific morphometry. This study aimed to assess the morphometric characteristics of the major posterior cranial fossa openings (foramen magnum, jugular foramen, internal acoustic opening) in the Turkish population and evaluate [...] Read more.
Background/Objectives: The cranial base, especially the posterior cranial fossa, has openings with population-specific morphometry. This study aimed to assess the morphometric characteristics of the major posterior cranial fossa openings (foramen magnum, jugular foramen, internal acoustic opening) in the Turkish population and evaluate their utility for sex estimation. It also aimed to provide population-specific reference values for forensic anthropology and cranial base surgery. Methods: This prospective study included 304 adult skulls (151 female, 153 male) obtained from forensic autopsy cases, all of which had preserved anatomical integrity. Structures in the posterior cranial fossa were exposed following a standardized dissection protocol. A total of 18 morphometric parameters were measured using a digital caliper. Inter-sex comparisons were performed, and the diagnostic performance of the parameters for sex differentiation was evaluated using receiver operating characteristic (ROC) curve analysis. Results: All morphometric parameters and inter-foraminal distances were significantly larger in male individuals compared to females (p < 0.001). Similarly, ellipticity indices were higher in males than in females (all p < 0.001). ROC analysis revealed that right internal acoustic opening transverse diameter (RIAO-T), left and right jugular foramen transverse diameters (RJF-T and LJF-T) parameters possess exceptionally high discriminatory power, yielding accuracies greater than 99%. Conclusions: Components of the posterior cranial fossa exhibit marked sexual dimorphism in the Turkish population. These morphometric data provide valuable anatomical references for forensic identification, aid in preserving neurovascular structures, and support safe surgical planning in cranial base procedures. Full article
(This article belongs to the Special Issue Advances in Anatomy—Third Edition)
Show Figures

Figure 1

10 pages, 213 KB  
Perspective
Implicit Measures of Risky Behaviors in Adolescence
by Silvia Cimino and Luca Cerniglia
Adolescents 2025, 5(4), 77; https://doi.org/10.3390/adolescents5040077 - 1 Dec 2025
Viewed by 392
Abstract
Background: Adolescence is marked by heightened reward sensitivity and incomplete maturation of cognitive control, creating conditions that favor engagement in risky behaviors. Traditional self-report methods often overlook the fast, automatic processes—such as attentional biases, approach–avoidance tendencies, and associative schemas—that shape adolescent decision-making [...] Read more.
Background: Adolescence is marked by heightened reward sensitivity and incomplete maturation of cognitive control, creating conditions that favor engagement in risky behaviors. Traditional self-report methods often overlook the fast, automatic processes—such as attentional biases, approach–avoidance tendencies, and associative schemas—that shape adolescent decision-making in real time. Aims: This Perspective aims to synthesize recent (2018–2025) advances in the study of implicit measures relevant to adolescent risk behaviors, evaluate their predictive value beyond explicit measures, and identify translational pathways for prevention and early intervention. Methods: A narrative synthesis was conducted, integrating evidence from eye-tracking, drift-diffusion modeling, approach–avoidance tasks, single-category implicit association tests, ecological momentary assessment (EMA), and passive digital phenotyping. Emphasis was placed on multi-method phenotyping pipelines and on studies validating these tools in adolescent populations. Results: Implicit indices demonstrated incremental predictive validity for risky behaviors such as substance use, hazardous driving, and problematic digital engagement, outperforming self-reports in detecting context-dependent and state-specific risk patterns. Integrative protocols combining laboratory-based measures with EMA and passive sensing captured the influence of peer presence, affective state, and opportunity structures on decision-making. Mobile-based interventions, including approach bias modification and attention bias training, proved feasible, scalable, and sensitive to change in implicit outcomes. Acoustic biomarkers further enhanced low-burden state monitoring. Conclusions: Implicit measures provide a mechanistic, intervention-sensitive complement to explicit screening, enabling targeted, context-aware prevention strategies in adolescents. Future priorities include multi-site validations, school-based implementation trials, and the use of implicit parameter change as a primary endpoint in prevention research. Full article
11 pages, 703 KB  
Article
Distinguishing Between Healthy and Unhealthy Newborns Based on Acoustic Features and Deep Learning Neural Networks Tuned by Bayesian Optimization and Random Search Algorithm
by Salim Lahmiri, Chakib Tadj and Christian Gargour
Entropy 2025, 27(11), 1109; https://doi.org/10.3390/e27111109 - 27 Oct 2025
Viewed by 451
Abstract
Voice analysis and classification for biomedical diagnosis purpose is receiving a growing attention to assist physicians in the decision-making process in clinical milieu. In this study, we develop and test deep feedforward neural networks (DFFNN) to distinguish between healthy and unhealthy newborns. The [...] Read more.
Voice analysis and classification for biomedical diagnosis purpose is receiving a growing attention to assist physicians in the decision-making process in clinical milieu. In this study, we develop and test deep feedforward neural networks (DFFNN) to distinguish between healthy and unhealthy newborns. The DFFNN are trained with acoustic features measured from newborn cries, including auditory-inspired amplitude modulation (AAM), Mel Frequency Cepstral Coefficients (MFCC), and prosody. The configuration of the DFFNN is optimized by using Bayesian optimization (BO) and random search (RS) algorithm. Under both optimization techniques, the experimental results show that the DFFNN yielded to the highest classification rate when trained with all acoustic features. Specifically, the DFFNN-BO and DFFNN-RS achieved 87.80% ± 0.23 and 86.12% ± 0.33 accuracy, respectively, under ten-fold cross-validation protocol. Both DFFNN-BO and DFFNN-RS outperformed existing approaches tested on the same database. Full article
(This article belongs to the Section Signal and Data Analysis)
Show Figures

Figure 1

16 pages, 1446 KB  
Systematic Review
Soft Palate and Pharyngeal Surgery for the Treatment of Snoring: A Systematic Review
by Giovanni Cammaroto, Giuseppe Caccamo, Tommaso Rodella, Diletta Angeletti, Francesca Boscolo Nata, Davide Topazio and Luca Cerritelli
J. Clin. Med. 2025, 14(14), 4964; https://doi.org/10.3390/jcm14144964 - 14 Jul 2025
Viewed by 3855
Abstract
Background: Snoring is a common symptom within the spectrum of sleep-disordered breathing, often occurring independently or in association with obstructive sleep apnea syndrome (OSAS). Despite its prevalence, treatment strategies remain variable and lack standardization, particularly regarding surgical interventions. This review aims to [...] Read more.
Background: Snoring is a common symptom within the spectrum of sleep-disordered breathing, often occurring independently or in association with obstructive sleep apnea syndrome (OSAS). Despite its prevalence, treatment strategies remain variable and lack standardization, particularly regarding surgical interventions. This review aims to evaluate and summarize the outcomes of soft palate and pharyngeal surgeries for adult snoring based on recent literature. Methods: A systematic review was conducted using the PubMed database, identifying studies published between 2014 and 2024 that involved adult patients undergoing upper airway surgery for snoring. Inclusion criteria required pre- and postoperative snoring assessment using the Visual Analog Scale (VAS). Studies were categorized by surgical technique (anterior vs. lateral/circumferential), anesthesia type, presence of tonsillectomy, BMI, OSAS severity (based on AHI), and use of Drug-Induced Sleep Endoscopy (DISE). Descriptive analysis was performed on the changes in VAS scores. Results: A total of 43 studies involving 2713 patients were included, with 18 eligible for quantitative analysis (716 patients). Across all patients, mean VAS scores improved from 7.29 to 3.50 (ΔVAS 3.79). Both anterior and lateral/circumferential techniques yielded significant symptom reduction (ΔVAS 4.12 and 3.68, respectively). General anesthesia showed slightly better outcomes than local anesthesia. Notably, tonsillectomy was associated with greater symptom improvement (ΔVAS 5.17 vs. 4.49). Patients with lower BMI and milder OSAS showed higher baseline VAS but similar improvements. Limited objective measures and heterogeneity in surgical protocols were key limitations. Conclusions: Surgical interventions for snoring provide subjective symptom relief regardless of surgical approach or OSAS severity. Tonsillectomy may enhance outcomes. Future efforts should prioritize standardized, objective outcome measures and personalized treatment planning, potentially incorporating DISE and wearable acoustic technologies. Full article
(This article belongs to the Section Otolaryngology)
Show Figures

Figure 1

27 pages, 2952 KB  
Article
Designing a Thermoacoustic Cooler for Energy Applications: Experimental Insights
by Leszek Remiorz, Krzysztof Grzywnowicz, Eryk Remiorz and Wojciech Uchman
Energies 2025, 18(13), 3561; https://doi.org/10.3390/en18133561 - 6 Jul 2025
Cited by 2 | Viewed by 1179
Abstract
Thermoacoustic devices, such as refrigerators and heat pumps, present unique measurement challenges due to the simultaneous presence of rapidly fluctuating acoustic parameters and more stable thermal variables. Accurate and informative measurements during operation are crucial for developing effective control algorithms and optimizing performance [...] Read more.
Thermoacoustic devices, such as refrigerators and heat pumps, present unique measurement challenges due to the simultaneous presence of rapidly fluctuating acoustic parameters and more stable thermal variables. Accurate and informative measurements during operation are crucial for developing effective control algorithms and optimizing performance under specific conditions. However, issues like inappropriate sampling frequencies and excessive data storage can lead to unintended averaging, compromising measurement quality. This study introduces a comprehensive experimental procedure aimed at enhancing the reliability of measurements in thermoacoustic systems. The approach encompasses meticulous experimental design, identification of measurement uncertainties and influencing factors during standard operation, and a statistical uncertainty analysis. Experimental findings reveal a significant reduction in temperature measurement uncertainty with increased thermoacoustic channel length and highlight the substantial impact of device structural features on performance. These insights are instrumental for refining measurement protocols and advancing the development of efficient thermoacoustic technologies. Full article
(This article belongs to the Section J: Thermal Management)
Show Figures

Figure 1

12 pages, 991 KB  
Article
Seeing the Stricture Clearly: Independent Determinants of Sonourethrography Precision in Urethral Stricture Disease
by Kevin Miszewski, Jakub Krukowski, Laura Miszewska, Jakub Kulski, Roland Stec, Katarzyna Skrobisz and Marcin Matuszewski
J. Clin. Med. 2025, 14(13), 4453; https://doi.org/10.3390/jcm14134453 - 23 Jun 2025
Viewed by 1034
Abstract
Background: Urethral stricture disease involves fibrotic scarring that narrows the urethral lumen and can occur at any site. Sonourethrography (SUG) is increasingly used because it depicts both luminal anatomy and periurethral fibrosis, yet little is known about patient or lesion features that [...] Read more.
Background: Urethral stricture disease involves fibrotic scarring that narrows the urethral lumen and can occur at any site. Sonourethrography (SUG) is increasingly used because it depicts both luminal anatomy and periurethral fibrosis, yet little is known about patient or lesion features that influence its diagnostic performance. Methods: We conducted a prospective single-center study of 170 men who underwent SUG before anterior urethroplasty between May 2016 and May 2021. Anthropometric data, comorbidities, and detailed ultrasonographic measurements were recorded and compared with intra-operative findings, which served as the reference standard. Accuracy was analyzed with Wald chi-square testing and Spearman correlation. Results: SUG length estimates matched intra-operative measurements in 139/170 strictures (81.8%). Length accuracy was higher in patients ≥ 60 years (89.2% vs. 77.0%, p = 0.03) and in those with type 2 diabetes (92.3% vs. 80.9%, p = 0.02) in conditions associated with pronounced spongiofibrosis that enhances echo contrast. Among stricture-specific factors, proximal location (63.6% vs. 84.5%, p = 0.01) and complete luminal occlusion (68.8% vs. 84.8%, p = 0.02) reduced precision, largely because deeper anatomy and absent saline flow hinder acoustic delineation. The Chiou ultrasonographic grade was the strongest determinant of performance; higher grades yielded clearer margins and better length estimation (p < 0.001). Conclusions: SUG is a reliable bedside technique for assessing anterior urethral strictures, but its accuracy varies with age, diabetes status, stricture site, degree of occlusion, and fibrosis grade. Recognizing these determinants allows clinicians to judge when SUG alone is sufficient and when complementary imaging or heightened caution is warranted. The findings support tailored imaging protocols and underscore the need for multi-center studies that include operators with diverse experience to confirm generalisability. Full article
Show Figures

Graphical abstract

31 pages, 13869 KB  
Article
Development and Validation in Porcine and Human Models of a Bioimpedance Spectroscopy System for the Objective Assessment of Kidney Graft Viability
by David Naranjo-Hernández, Javier Reina-Tosina, Laura M. Roa, Gerardo Barbarov-Rostán, Jorge Calvillo-Arbizu, Alejandro Talaminos-Barroso, Miguel Ángel Pérez-Valdivia and Rafael A. Medina-López
Sensors 2025, 25(9), 2871; https://doi.org/10.3390/s25092871 - 2 May 2025
Cited by 1 | Viewed by 890
Abstract
This work presents an innovative bioimpedance spectroscopy device, developed as a support tool for decision-making during the evaluation of kidney viability for renal transplantation. Given the increasing demand for organs and the need to optimize donation criteria, the precise and objective assessment of [...] Read more.
This work presents an innovative bioimpedance spectroscopy device, developed as a support tool for decision-making during the evaluation of kidney viability for renal transplantation. Given the increasing demand for organs and the need to optimize donation criteria, the precise and objective assessment of renal graft functionality has become crucial. The device, based on a modular design and adapted to the surgical environment, uses a novel Cole model with a frequency-dependent membrane capacitance, which improves measurement accuracy and repeatability compared to conventional models. Adapting the device for operating room usege involved overcoming significant challenges, such as the need for sterilization and a visual, tactile and acoustic user interface that facilitates device usability. Optimizing the sensing stage has minimized the influence of measurement artifacts, which is crucial for obtaining accurate and representative measurements of renal tissue bioelectrical properties. In addition, a rigorous electrode sterilization protocol was designed, ensuring asepsis during the procedure. The results of tests on porcine renal models demonstrated the device’s ability to monitor pathophysiological changes associated with renal ischemia, with a notable improvement against measurement repeatability. Full article
(This article belongs to the Special Issue Bioimpedance Measurements and Microelectrodes)
Show Figures

Figure 1

15 pages, 5765 KB  
Article
An Acoustic Underwater Glider for the Real-Time Transmission of Observation Data via an Underwater Acoustic Communication Modem
by Sichen Zou and Qindong Sun
Sensors 2025, 25(3), 849; https://doi.org/10.3390/s25030849 - 30 Jan 2025
Cited by 2 | Viewed by 2447
Abstract
This paper introduces the development of an acoustic underwater glider integrated with an underwater acoustic modem designed to enable the real-time transmission of ocean observation data. The glider features three sequentially connected, independent compartments and is capable of operating at depths exceeding 1000 [...] Read more.
This paper introduces the development of an acoustic underwater glider integrated with an underwater acoustic modem designed to enable the real-time transmission of ocean observation data. The glider features three sequentially connected, independent compartments and is capable of operating at depths exceeding 1000 m. To ensure stable communication, two acoustic transducers are mounted at the rear of the glider and optimized to maintain a consistent energy radiation angle despite variations in the glider’s attitude. The acoustic modem, housed within one of the compartments, operates with a standby power consumption as low as 5 mW, significantly enhancing the overall energy efficiency of the system. To address the glider’s motion dynamics and the unique characteristics of the underwater acoustic channel, a multi-carrier frequency shift keying-based underwater acoustic communication scheme combined with a Stop-and-Wait Automatic Repeat Request protocol was designed and implemented. The system’s performance and reliability were validated through sea trials conducted in the South China Sea. The results demonstrated that the glider achieved reliable underwater acoustic communication over distances of up to 5 km. This research highlights the potential of the acoustic underwater glider for applications such as underwater acoustic measurements and distributed networking collaboration. The system holds significant promise for advancing underwater acoustic communication and ocean observation technologies. Full article
(This article belongs to the Section Physical Sensors)
Show Figures

Figure 1

18 pages, 3057 KB  
Article
Investigation of Acoustic Signals for Gait Analysis
by Jeffrey Buxton, Kelly J. Shields, Jesse T. Greyshock, Jared Ramsey, Christopher Adams and Geo. A. Richards
Biomechanics 2025, 5(1), 7; https://doi.org/10.3390/biomechanics5010007 - 23 Jan 2025
Cited by 1 | Viewed by 2491
Abstract
Background: Previous literature has demonstrated that footstep sounds can be related to the unique gait pattern of individuals. This paper investigates the potential of using footstep sounds as a diagnostic tool in gait analysis. Methods: Fifteen participants ran on a treadmill at [...] Read more.
Background: Previous literature has demonstrated that footstep sounds can be related to the unique gait pattern of individuals. This paper investigates the potential of using footstep sounds as a diagnostic tool in gait analysis. Methods: Fifteen participants ran on a treadmill at 2.7 m/s (6.0 MPH) while simultaneously recording plantar pressure and acoustic signals. Participants repeated the same recordings after completing an exhaustive fatigue protocol, thereby creating a modified gait pattern. Results: The modified gait was evident in the center-of-force trajectory, contact pressures, and acoustic signatures. Analysis of the peak contact pressure and acoustic amplitude showed a modest, statistically significant correlation (r = 0.42, p = 0.02). A method to measure the gait stance time from features in the acoustic signature was tested. Conclusions: The results show that acoustic signals can be used to characterize gait changes, but additional work is needed to link acoustic signal features to gait events like toe lift. Full article
(This article belongs to the Section Gait and Posture Biomechanics)
Show Figures

Figure 1

15 pages, 3599 KB  
Article
Exploring Agreement in Voice Acoustic Parameters: A Repeated Measures Case Study Across Varied Recording Instruments, Speech Samples, and Daily Timeframes
by Lady Catherine Cantor-Cutiva, Adrián Castillo-Allendes and Eric James Hunter
Acoustics 2025, 7(1), 6; https://doi.org/10.3390/acoustics7010006 - 22 Jan 2025
Cited by 3 | Viewed by 2763
Abstract
Aims: The aim was to assess the agreement between microphone-derived and neck accelerometer-derived voice acoustic parameters and their associations with recording moments and speech types. Methods: Using simultaneous recordings, a 7-week study on a single individual was conducted to reduce intersubject variability. Agreement [...] Read more.
Aims: The aim was to assess the agreement between microphone-derived and neck accelerometer-derived voice acoustic parameters and their associations with recording moments and speech types. Methods: Using simultaneous recordings, a 7-week study on a single individual was conducted to reduce intersubject variability. Agreement was assessed using Bland–Altman plots, and associations were examined with generalized estimating equations. Results: Bland–Altman plots showed no significant bias between microphone (MIC) and accelerometer (ACC) measurements for alpha ratio, CPP, PPE, SPL SD, fundamental frequency (fo) mean, and SD. Speech type and measurement timing were significantly associated with alpha ratio, while the instrument was not. Microphone measurements resulted in slightly lower CPP compared to the accelerometer, while reading samples yielded higher CPP compared to vowel productions. PPE, SPL SD, and fo mean showed significant associations with speech type, based on univariate analysis. Microphone measurements yielded a statistically smaller fo SD compared to the accelerometer, while reading productions had a larger fo SD than vowel productions. Conclusions: Fundamental frequency, alpha ratio, PPE, and SPL SD values were robust, regardless of the instrument used, suggesting the potential use of accelerometers in less-controlled environments. These findings are crucial for enhancing confidence in voice metrics and exploring efficient clinical assessment protocols. Full article
Show Figures

Figure 1

18 pages, 861 KB  
Article
A Collision Avoidance MAC Protocol with Power Control for Adaptive Clustering Underwater Sensor Networks
by Libin Xue, Hong Lei and Rongxin Zhu
J. Mar. Sci. Eng. 2025, 13(1), 76; https://doi.org/10.3390/jmse13010076 - 4 Jan 2025
Cited by 2 | Viewed by 1546
Abstract
Underwater sensor networks (UWSNs) play a vital role in marine exploration and environmental monitoring. However, due to the characteristics of underwater acoustic channels such as high delay, low bandwidth, and energy limitation, the design of an underwater media access control (MAC) protocol has [...] Read more.
Underwater sensor networks (UWSNs) play a vital role in marine exploration and environmental monitoring. However, due to the characteristics of underwater acoustic channels such as high delay, low bandwidth, and energy limitation, the design of an underwater media access control (MAC) protocol has brought great challenges, and existing MAC protocol designs rarely consider the influence of channel interference factors in networking. Therefore, this paper proposes a collision avoidance MAC protocol for clustering underwater sensor networks. The protocol first classifies users by combining the channel characteristics of underwater nodes and the distance measurement between nodes. Then, based on the clustering network, according to the channel correlation distance measurement between nodes and the communication range of the cluster head (CH), the transmit power in clusters is controlled to reduce the lifetime of the network based on the cumulative reduction in node power consumption. Finally, the cluster structure in each cluster is used to schedule the transmission of member nodes in the cluster, and at the same time, the energy consumption of nodes is reduced while multi-node collision-free transmission is realized. The simulation results show that the throughput of the proposed adaptive power control clustering MAC protocol (APCC-MAC) is 26.5% and 19.5% higher than that of packet-level slot scheduling (PLSS) algorithm and Cluster-Based Spatial–Temporal Scheduling (CSS) algorithm, respectively, providing better communication performance and stability for clustered underwater acoustic networks. Full article
(This article belongs to the Special Issue Intelligent Approaches to Marine Engineering Research)
Show Figures

Figure 1

12 pages, 8949 KB  
Review
Advancements in Elastography for Evaluating Fibrosis in Renal Transplants: Current Perspectives
by Giulio Distefano, Salvatore Granata, Walter Morale and Antonio Granata
Biomedicines 2024, 12(12), 2671; https://doi.org/10.3390/biomedicines12122671 - 23 Nov 2024
Cited by 3 | Viewed by 1692
Abstract
Renal fibrosis is a leading cause of chronic allograft nephropathy. While renal biopsy remains the gold standard for diagnosing fibrosis, it is an invasive procedure with potential for severe complications. Elastography, an emerging ultrasound imaging technique, appears to be a valuable tool for [...] Read more.
Renal fibrosis is a leading cause of chronic allograft nephropathy. While renal biopsy remains the gold standard for diagnosing fibrosis, it is an invasive procedure with potential for severe complications. Elastography, an emerging ultrasound imaging technique, appears to be a valuable tool for quantifying tissue stiffness, which correlates with fibrosis. Indeed, numerous studies have demonstrated a strong correlation between increased tissue stiffness, measured by elastography, and the degree of fibrosis detected in biopsy. Over the past few years, various elastography techniques have been evaluated, including strain elastography, shear wave elastography, and acoustic radiation force impulse. However, challenges such as operator dependence, tissue heterogeneity, and the lack of standardized protocols persist. Despite these limitations, elastography presents itself as a valuable tool for the non-invasive monitoring of renal transplant function and could facilitate the early detection of fibrosis, allowing for timely interventions. Future research should focus on standardizing acquisition protocols, establishing robust reference values, and exploring the clinical utility of elastography in guiding therapeutic decisions. The aim of this review is to explore the current state of elastography in the assessment of fibrosis in renal transplantation. Full article
(This article belongs to the Special Issue Applications of Imaging Technology in Human Diseases)
Show Figures

Figure 1

41 pages, 2056 KB  
Systematic Review
Exploring Soundscape Assessment Methods in Office Environments: A Systematic Review
by Zulfi Rachman, Francesco Aletta and Jian Kang
Buildings 2024, 14(11), 3408; https://doi.org/10.3390/buildings14113408 - 26 Oct 2024
Cited by 7 | Viewed by 6185
Abstract
The application of the soundscape approach is becoming increasingly prevalent in the evaluation of indoor acoustic environments, including office environments. However, the formalisation and standardisation of soundscape assessment methods for offices remain in the early stages, highlighting the need for further development. This [...] Read more.
The application of the soundscape approach is becoming increasingly prevalent in the evaluation of indoor acoustic environments, including office environments. However, the formalisation and standardisation of soundscape assessment methods for offices remain in the early stages, highlighting the need for further development. This systematic review explores the methods and factors involved in soundscape assessments within office environments, which are intended to contribute to creating or improving comprehensive and widely accepted protocols. This review includes 41 studies, revealing that questionnaires (n = 36) are the most commonly used subjective tools, occasionally supplemented by interviews (n = 1). Some studies employ a combination of questionnaire and interview (n = 2), questionnaire and discussion (n = 1), or all three methods—questionnaire, interview, and discussion (n = 1). Meanwhile, direct acoustic measurements (n = 28) and cognitive tasks (n = 14) are often employed for objective evaluations. Additionally, the review categorises factors involved in objective and subjective soundscape assessments into acoustic and non-acoustic elements. It also identifies tools frequently used to assess the correlation between soundscapes and physical and psychological well-being. Collectively, this review underscores the critical factors for comprehensive soundscape assessments in office environments. Full article
(This article belongs to the Special Issue Advanced Research on Improvement of the Indoor Acoustic Environment)
Show Figures

Figure 1

22 pages, 3309 KB  
Article
Cross-Layer Routing Protocol Based on Channel Quality for Underwater Acoustic Communication Networks
by Jinghua He, Jie Tian, Zhanqing Pu, Wei Wang and Haining Huang
Appl. Sci. 2024, 14(21), 9778; https://doi.org/10.3390/app14219778 - 25 Oct 2024
Cited by 1 | Viewed by 1726
Abstract
Due to the physical characteristics of acoustic channels, the performance of underwater acoustic communication networks (UACNs) is more susceptible to the impacts of multipath and Doppler effects. Channel quality can serve as a measure of the reliability of underwater communication links. A cross-layer [...] Read more.
Due to the physical characteristics of acoustic channels, the performance of underwater acoustic communication networks (UACNs) is more susceptible to the impacts of multipath and Doppler effects. Channel quality can serve as a measure of the reliability of underwater communication links. A cross-layer routing protocol based on channel quality (CLCQ) is proposed to improve the overall network performance and resource utilization. First, the BELLHOP ray model is used to calculate the channel impulse response combined with the winter sound speed profile data of a specific sea area. Then, the channel impulse response is integrated into the communication system to evaluate the channel quality between nodes based on the bit error rate (BER). Finally, during the selection of the next hop node, a reinforcement learning algorithm is employed to facilitate cross-layer interaction within the protocol stack. The optimal relay node is determined by the channel quality index (BER) from the physical layer, the buffer state from the data link layer, and the node residual energy. To enhance the algorithm’s convergence speed, a forwarding candidate set selection method is proposed which takes into account node depth, residual energy, and buffer state. Simulation results show that the packet delivery rate (PDR) of the CLCQ is significantly higher than that of Q-Learning-Based Energy-Efficient and Lifetime-Extended Adaptive Routing (QELAR) and Geographic and Opportunistic Routing (GEDAR). Full article
(This article belongs to the Special Issue Recent Advances in Underwater Acoustic Signal Processing)
Show Figures

Figure 1

Back to TopTop