Sign in to use this feature.

Years

Between: -

Subjects

remove_circle_outline
remove_circle_outline
remove_circle_outline
remove_circle_outline
remove_circle_outline
remove_circle_outline
remove_circle_outline

Journals

Article Types

Countries / Regions

Search Results (15)

Search Parameters:
Keywords = a-posteriori

Order results
Result details
Results per page
Select all
Export citation of selected articles as:
8 pages, 1080 KB  
Proceeding Paper
Inverse Bayesian Methods for Groundwater Vulnerability Assessment
by Nasrin Taghavi, Robert K. Niven, Matthias Kramer and David J. Paull
Phys. Sci. Forum 2025, 12(1), 14; https://doi.org/10.3390/psf2025012014 - 5 Nov 2025
Viewed by 296
Abstract
Groundwater vulnerability assessment (GVA) is critical for understanding contaminant migration into groundwater systems, yet conventional methods often overlook its probabilistic nature. Bayesian inference offers a robust framework using Bayes’ rule to enhance decision-making through posterior probability calculations. This study introduces inverse Bayesian methods [...] Read more.
Groundwater vulnerability assessment (GVA) is critical for understanding contaminant migration into groundwater systems, yet conventional methods often overlook its probabilistic nature. Bayesian inference offers a robust framework using Bayes’ rule to enhance decision-making through posterior probability calculations. This study introduces inverse Bayesian methods for GVA using spatial-series data, focusing on nitrate concentrations in groundwater as an indicator of groundwater vulnerability in agricultural catchments. Using the joint maximum a-posteriori (JMAP) and variational Bayesian approximation (VBA) algorithms, the advantages of the Bayesian framework over traditional index-based methods are demonstrated for GVA of the Burdekin Basin, Queensland, Australia. This provides an evidence-based methodology for GVA which enables model ranking, parameter estimation, and uncertainty quantification. Full article
Show Figures

Figure 1

16 pages, 1606 KB  
Article
Spore-Forming Clostridia in Raw Cow Milk from Northern Italy: A Trend Analysis over the Past 20 Years
by Arianna Guaita, Lorenzo Gambi, Pierluigi Baresi, Franco Paterlini, Giuseppe Bolzoni, Giorgio Zanardi and Paolo Daminelli
Foods 2024, 13(22), 3638; https://doi.org/10.3390/foods13223638 - 14 Nov 2024
Cited by 1 | Viewed by 1791
Abstract
Clostridium species are known for their impact on animal and human health, but also for the spoilage of foodstuffs. Their spores contaminate milk and result in germination and gas production, the latter being particularly evident in the cheeses that suffer severe depreciation. To [...] Read more.
Clostridium species are known for their impact on animal and human health, but also for the spoilage of foodstuffs. Their spores contaminate milk and result in germination and gas production, the latter being particularly evident in the cheeses that suffer severe depreciation. To address this issue, the Primary Production Department of the IZSLER institute in Brescia, Italy conducts the Most Probable Number (MPN) method on bovine milk samples collected from Northern Italian dairies between 2004 and 2023. This approach leverages two semi-quantitative protocols, S2 and S3, to detect Clostridium species spore forms upon customer request. Here, we would like to present an a-posteriori analysis on the results of the S2 and S3 protocols. The goal of this study is to highlight the differences between these two methods and provide evidence of the actual decrease in Clostridium species in raw cow milk over a 20-year period. Our analysis shows that client demand for S2 has progressively decreased, while S3’s has remained constant, and both protocols reveal a significant reduction in positives; furthermore, S3’s greater sensitivity made it more responsive to environmental changes. This highlights the necessity of choosing the appropriate testing protocol that accounts for both regulatory standards and environmental factors. Overall, our findings underscore the importance of continued monitoring to manage Clostridium species contamination and ensure milk quality. Full article
(This article belongs to the Section Dairy)
Show Figures

Figure 1

21 pages, 2170 KB  
Article
ITS Efficiency Analysis for Multi-Target Tracking in a Clutter Environment
by Zvonko Radosavljević, Dejan Ivković and Branko Kovačević
Remote Sens. 2024, 16(8), 1471; https://doi.org/10.3390/rs16081471 - 22 Apr 2024
Cited by 2 | Viewed by 1941
Abstract
The Integrated Track Splitting (ITS) is a multi-scan algorithm for target tracking in a cluttered environment. The ITS filter models each track as a set of mutually exclusive components, usually in the form of a Gaussian Mixture. The purpose of this research is [...] Read more.
The Integrated Track Splitting (ITS) is a multi-scan algorithm for target tracking in a cluttered environment. The ITS filter models each track as a set of mutually exclusive components, usually in the form of a Gaussian Mixture. The purpose of this research is to determine the limits of the ‘endurance’ of target tracking of the known ITS algorithm by analyzing the impact of target detection probability. The state estimate and the a-posteriori probability of component existence are computed recursively from the target existence probability, which may be used as a track quality measure for false track discrimination (FTD). The target existence probability is also calculated and used for track maintenance and track output. This article investigates the limits of the effectiveness of ITS multi-target tracking using the method of theoretical determination of the dependence of the measurements likelihood ratio on reliable detection and then practical experimental testing. Numerical simulations of the practical application of the proposed model were performed in various probabilities of target detection and dense clutter environments. Additionally, the effectiveness of the proposed algorithm in combination with filters for various types of maneuvers using Interacting Multiple Model ITS (IMMITS) algorithms was comparatively analyzed. The extensive numerical simulation (which assumes both straight and maneuvering targets) has shown which target tracking limits can be performed within different target detection probabilities and clutter densities. The simulations confirmed the derived theoretical limits of the tracking efficiency of the ITS algorithm up to a detection probability of 0.6, and compared to the IMMITS algorithm up to 0.4 in the case of target maneuvers and dense clutter environments. Full article
Show Figures

Figure 1

17 pages, 5043 KB  
Article
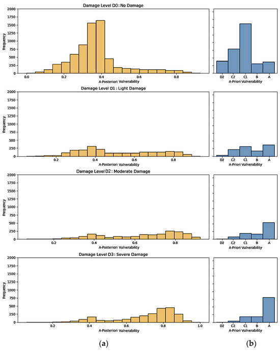
Seismic Vulnerability Assessment at an Urban Scale by Means of Machine Learning Techniques
by Guglielmo Ferranti, Annalisa Greco, Alessandro Pluchino, Andrea Rapisarda and Adriano Scibilia
Buildings 2024, 14(2), 309; https://doi.org/10.3390/buildings14020309 - 23 Jan 2024
Cited by 6 | Viewed by 3784
Abstract
Seismic vulnerability assessment in urban areas would, in principle, require the detailed modeling of every single building and the implementation of complex numerical calculations. This procedure is clearly difficult to apply at an urban scale where many buildings must be considered; therefore, it [...] Read more.
Seismic vulnerability assessment in urban areas would, in principle, require the detailed modeling of every single building and the implementation of complex numerical calculations. This procedure is clearly difficult to apply at an urban scale where many buildings must be considered; therefore, it is essential to have simplified, but at the same time reliable, approaches to vulnerability assessment. Among the proposed strategies, one of the most interesting concerns is the application of machine learning algorithms, which are able to classify buildings according to their vulnerability on the basis of training procedures applied to existing datasets. In this paper, machine learning algorithms were applied to a dataset which collects and catalogs the structural characteristics of a large number of buildings and reports the damage observed in L’Aquila territory during the intense seismic activity that occurred in 2009. A combination of a trained neural network and a random forest algorithm allows us to identify an opportune “a-posteriori” vulnerability score, deduced from the observed damage, which is compared to an “a-priori” vulnerability one, evaluated taking into account characteristic indexes for building’s typologies. By means of this comparison, an inverse approach to seismic vulnerability assessment, which can be extended to different urban centers, is proposed. Full article
(This article belongs to the Section Building Energy, Physics, Environment, and Systems)
Show Figures

Figure 1

21 pages, 1328 KB  
Systematic Review
Whole Dietary Patterns, Cognitive Decline and Cognitive Disorders: A Systematic Review of Prospective and Intervention Studies
by Rebecca F. Townsend, Danielle Logan, Roisin F. O’Neill, Federica Prinelli, Jayne V. Woodside and Claire T. McEvoy
Nutrients 2023, 15(2), 333; https://doi.org/10.3390/nu15020333 - 9 Jan 2023
Cited by 30 | Viewed by 9159
Abstract
Dementia prevalence is a global public health concern. Adherence towards a healthy dietary pattern (DP) may reduce the risk of cognitive decline and dementia. This narrative systematic review aimed to synthesise prospective and intervention study data to evaluate the impact of a-posteriori [...] Read more.
Dementia prevalence is a global public health concern. Adherence towards a healthy dietary pattern (DP) may reduce the risk of cognitive decline and dementia. This narrative systematic review aimed to synthesise prospective and intervention study data to evaluate the impact of a-posteriori and a-priori derived DPs on cognitive ageing, from cognitive decline to incident dementia. Ninety-three studies were included: 83 prospective studies and 10 randomised controlled trials (RCT). Most prospective studies (77%) examined a-priori DPs, with the Mediterranean diet examined most frequently. A total of 52% of prospective and 50% of RCTs reported a protective relationship between ‘healthy’ DPs and global cognitive decline. Overall, 59% of prospective studies reported positive associations between healthy DPs and risk of cognitive disorder. Incident cognitive disorder was examined by only one intervention study (subgroup analysis) which reported a beneficial effect of a low-fat diet on risk of probable dementia in women. Unhealthy DPs were examined less frequently (n = 17; 21%), with 41% of these studies reporting associations between adherence and poorer cognitive outcomes. Overall, there were mixed results for healthy and unhealthy DPs on cognition, likely due to between-study heterogeneity. Standardisation of diet exposure and cognitive outcome measurement would help to reduce this. Future research would benefit from investigating effects of culturally appropriate DPs on individual cognitive domains and incident cognitive disorders in diverse and high-risk populations. Full article
(This article belongs to the Special Issue Nutrition and Aging - Featured Perspectives on Health and Metabolism)
Show Figures

Figure 1

16 pages, 4223 KB  
Article
A Statistical Approach for A-Posteriori Deployment of Microclimate Sensors in Museums: A Case Study
by Francesca Frasca, Elena Verticchio, Paloma Merello, Manuel Zarzo, Andreas Grinde, Eugenio Fazio, Fernando-Juan García-Diego and Anna Maria Siani
Sensors 2022, 22(12), 4547; https://doi.org/10.3390/s22124547 - 16 Jun 2022
Cited by 7 | Viewed by 2634
Abstract
The deployment of sensors is the first issue encountered when microclimate monitoring is planned in spaces devoted to the conservation of artworks. Sometimes, the first decision regarding the position of sensors may not be suitable for characterising the microclimate close to climate-sensitive artworks [...] Read more.
The deployment of sensors is the first issue encountered when microclimate monitoring is planned in spaces devoted to the conservation of artworks. Sometimes, the first decision regarding the position of sensors may not be suitable for characterising the microclimate close to climate-sensitive artworks or should be revised in light of new circumstances. This paper fits into this context by proposing a rational approach for a posteriori deployment of microclimate sensors in museums where long-term temperature and relative humidity observations were available (here, the Rosenborg Castle, Copenhagen, Denmark). Different statistical tools such as box-and-whisker plots, principal component analysis (PCA) and cluster analysis (CA) were used to identify microclimate patterns, i.e., similarities of indoor air conditions among rooms. Box-and-whisker plots allowed us to clearly identify one microclimate pattern in two adjoining rooms located in the basement. Multivariate methods (PCA and CA) enabled us to identify further microclimate patterns by grouping not only adjoining rooms but also rooms located on different floors. Based on these outcomes, new configurations about the deployment of sensors were proposed aimed at avoiding redundant sensors and collecting microclimate observations in other sensitive locations of this museum. Full article
(This article belongs to the Special Issue Sensors for Cultural Heritage Monitoring 2022-2023)
Show Figures

Figure 1

10 pages, 1770 KB  
Article
Prediction of Protein Sites and Physicochemical Properties Related to Functional Specificity
by Florencio Pazos
Bioengineering 2021, 8(12), 201; https://doi.org/10.3390/bioengineering8120201 - 3 Dec 2021
Cited by 4 | Viewed by 3190
Abstract
Specificity Determining Positions (SDPs) are protein sites responsible for functional specificity within a family of homologous proteins. These positions are extracted from a family’s multiple sequence alignment and complement the fully conserved positions as predictors of functional sites. SDP analysis is now routinely [...] Read more.
Specificity Determining Positions (SDPs) are protein sites responsible for functional specificity within a family of homologous proteins. These positions are extracted from a family’s multiple sequence alignment and complement the fully conserved positions as predictors of functional sites. SDP analysis is now routinely used for locating these specificity-related sites in families of proteins of biomedical or biotechnological interest with the aim of mutating them to switch specificities or design new ones. There are many different approaches for detecting these positions in multiple sequence alignments. Nevertheless, existing methods report the potential SDP positions but they do not provide any clue on the physicochemical basis behind the functional specificity, which has to be inferred a-posteriori by manually inspecting these positions in the alignment. In this work, a new methodology is presented that, concomitantly with the detection of the SDPs, automatically provides information on the amino-acid physicochemical properties more related to the change in specificity. This new method is applied to two different multiple sequence alignments of homologous of the well-studied RasH protein representing different cases of functional specificity and the results discussed in detail. Full article
Show Figures

Figure 1

31 pages, 1228 KB  
Article
Spatial Warped Gaussian Processes: Estimation and Efficient Field Reconstruction
by Gareth W. Peters, Ido Nevat, Sai Ganesh Nagarajan and Tomoko Matsui
Entropy 2021, 23(10), 1323; https://doi.org/10.3390/e23101323 - 11 Oct 2021
Cited by 3 | Viewed by 2813
Abstract
A class of models for non-Gaussian spatial random fields is explored for spatial field reconstruction in environmental and sensor network monitoring. The family of models explored utilises a class of transformation functions known as Tukey g-and-h transformations to create a family of warped [...] Read more.
A class of models for non-Gaussian spatial random fields is explored for spatial field reconstruction in environmental and sensor network monitoring. The family of models explored utilises a class of transformation functions known as Tukey g-and-h transformations to create a family of warped spatial Gaussian process models which can support various desirable features such as flexible marginal distributions, which can be skewed, leptokurtic and/or heavy-tailed. The resulting model is widely applicable in a range of spatial field reconstruction applications. To utilise the model in applications in practice, it is important to carefully characterise the statistical properties of the Tukey g-and-h random fields. In this work, we study both the properties of the resulting warped Gaussian processes as well as using the characterising statistical properties of the warped processes to obtain flexible spatial field reconstructions. In this regard we derive five different estimators for various important quantities often considered in spatial field reconstruction problems. These include the multi-point Minimum Mean Squared Error (MMSE) estimators, the multi-point Maximum A-Posteriori (MAP) estimators, an efficient class of multi-point linear estimators based on the Spatial-Best Linear Unbiased (S-BLUE) estimators, and two multi-point threshold exceedance based estimators, namely the Spatial Regional and Level Exceedance estimators. Simulation results and real data examples show the benefits of using the Tukey g-and-h transformation as opposed to standard Gaussian spatial random fields in a real data application for environmental monitoring. Full article
(This article belongs to the Special Issue Spatial–Temporal Data Analysis and Its Applications)
Show Figures

Figure 1

15 pages, 455 KB  
Article
Poor Dietary Quality and Patterns Are Associated with Higher Perceived Stress among Women of Reproductive Age in the UK
by Karim Khaled, Vanora Hundley and Fotini Tsofliou
Nutrients 2021, 13(8), 2588; https://doi.org/10.3390/nu13082588 - 28 Jul 2021
Cited by 13 | Viewed by 4594
Abstract
The aim of this study was to investigate the association between stress and diet quality/patterns among women of reproductive age in UK. In total, 244 reproductive aged women participated in an online survey consisting of the European Prospective into Cancer and Nutrition food [...] Read more.
The aim of this study was to investigate the association between stress and diet quality/patterns among women of reproductive age in UK. In total, 244 reproductive aged women participated in an online survey consisting of the European Prospective into Cancer and Nutrition food frequency questionnaire in addition to stress, depression, physical-activity, adiposity, and socioeconomic questions. An a-priori diet quality index was derived by assessing the adherence to Alternate Mediterranean Diet (aMD). A-posteriori dietary-patterns (DPs) were explored through factor analysis. Regression models were used to assess the predictors of the DPs. Participants mainly had medium (n = 113) aMD adherence. Higher stress levels were reported by participants with low aMD adherence. Participants with high aMD adherence were of normal BMI. Factor analysis revealed three DPs: fats and oils, sugars, snacks, alcoholic-beverages, red/processed meat, and cereals (DP-1), fish and seafood, eggs, milk and milk-products (DP-2), and fruits, vegetables, nuts and seeds (DP-3). Regression models showed that DP-1 was positively associated with stress (p = 0.005) and negatively with age (p = 0.004) and smoking (p = 0.005). DP-2 was negatively associated with maternal educational-level (p = 0.01) while DP-3 was negatively associated with stress (p < 0.001), BMI (p = 0.001), and white ethnicity (p = 0.01). Stress was negatively associated with healthy diet quality/patterns among reproductive aged women. Full article
Show Figures

Figure 1

17 pages, 527 KB  
Article
A Priori and a Posteriori Dietary Patterns in Women of Childbearing Age in the UK
by Karim Khaled, Vanora Hundley, Orouba Almilaji, Mareike Koeppen and Fotini Tsofliou
Nutrients 2020, 12(10), 2921; https://doi.org/10.3390/nu12102921 - 24 Sep 2020
Cited by 14 | Viewed by 5306
Abstract
Poor diet quality is a major cause of maternal obesity. We aimed to investigate a priori and a-posteriori derived dietary patterns in childbearing-aged women in UK. An online survey assessed food intake, physical activity (PA), anthropometry and socio-demographics. An a priori defined diet [...] Read more.
Poor diet quality is a major cause of maternal obesity. We aimed to investigate a priori and a-posteriori derived dietary patterns in childbearing-aged women in UK. An online survey assessed food intake, physical activity (PA), anthropometry and socio-demographics. An a priori defined diet quality was determined via Mediterranean diet (MD) adherence score and Exploratory Factor Analysis (EFA) derived dietary patterns (DPs). Multiple linear regression explored associations between DPs with anthropometric measures, PA and socio-demographics. Participants (n = 123) had low-to-medium MD adherence (average MD-score: 4.0 (2.0)). Age was positively associated with higher MD adherence (X2 (2) = 13.14, p = 0.01). EFA revealed three DPs: ‘fruits, nuts, vegetables and legumes’ (“Vegetarian-style” DP); ‘sweets, cereals, dairy products and potatoes’ (“Dairy, sweets and starchy foods” DP); and ‘eggs, seafood and meats’ (“Protein-rich” DP). “Vegetarian-style” DP was positively associated with higher maternal educational level (p < 0.01) and PA (p = 0.01), but negatively with white ethnicity (p < 0.01). “Dairy, sweets and starchy foods” DP was positively associated with white ethnicity (p = 0.03) and negatively with age (p = 0.03). “Protein-rich” DP was positively associated with age (p < 0.001) and negatively with PA (p = 0.01). A poor diet quality was found among childbearing-aged women; notably in the younger age category, those of white ethnicity, that were more physically inactive and with a lower socioeconomic background. Full article
(This article belongs to the Special Issue Contemporary Issues in Nutrition Research)
Show Figures

Figure 1

15 pages, 5446 KB  
Article
Tri-Criterion Model for Constructing Low-Carbon Mutual Fund Portfolios: A Preference-Based Multi-Objective Genetic Algorithm Approach
by Adolfo Hilario-Caballero, Ana Garcia-Bernabeu, Jose Vicente Salcedo and Marisa Vercher
Int. J. Environ. Res. Public Health 2020, 17(17), 6324; https://doi.org/10.3390/ijerph17176324 - 31 Aug 2020
Cited by 19 | Viewed by 4260
Abstract
Sustainable finance, which integrates environmental, social and governance criteria on financial decisions rests on the fact that money should be used for good purposes. Thus, the financial sector is also expected to play a more important role to decarbonise the global economy. To [...] Read more.
Sustainable finance, which integrates environmental, social and governance criteria on financial decisions rests on the fact that money should be used for good purposes. Thus, the financial sector is also expected to play a more important role to decarbonise the global economy. To align financial flows with a pathway towards a low-carbon economy, investors should be able to integrate into their financial decisions additional criteria beyond return and risk to manage climate risk. We propose a tri-criterion portfolio selection model to extend the classical Markowitz’s mean-variance approach to include investor’s preferences on the portfolio carbon risk exposure as an additional criterion. To approximate the 3D Pareto front we apply an efficient multi-objective genetic algorithm called ev-MOGA which is based on the concept of ε-dominance. Furthermore, we introduce a-posteriori approach to incorporate the investor’s preferences into the solution process regarding their climate-change related preferences measured by the carbon risk exposure and their loss-adverse attitude. We test the performance of the proposed algorithm in a cross-section of European socially responsible investments open-end funds to assess the extent to which climate-related risk could be embedded in the portfolio according to the investor’s preferences. Full article
Show Figures

Figure 1

19 pages, 404 KB  
Article
Generalized-Fractional Tikhonov-Type Method for the Cauchy Problem of Elliptic Equation
by Hongwu Zhang and Xiaoju Zhang
Mathematics 2020, 8(1), 48; https://doi.org/10.3390/math8010048 - 1 Jan 2020
Viewed by 2363
Abstract
This article researches an ill-posed Cauchy problem of the elliptic-type equation. By placing the a-priori restriction on the exact solution we establish conditional stability. Then, based on the generalized Tikhonov and fractional Tikhonov methods, we construct a generalized-fractional Tikhonov-type regularized solution to recover [...] Read more.
This article researches an ill-posed Cauchy problem of the elliptic-type equation. By placing the a-priori restriction on the exact solution we establish conditional stability. Then, based on the generalized Tikhonov and fractional Tikhonov methods, we construct a generalized-fractional Tikhonov-type regularized solution to recover the stability of the considered problem, and some sharp-type estimates of convergence for the regularized method are derived under the a-priori and a-posteriori selection rules for the regularized parameter. Finally, we verify that the proposed method is efficient and acceptable by making the corresponding numerical experiments. Full article
(This article belongs to the Special Issue Numerical Analysis: Inverse Problems – Theory and Applications)
Show Figures

Figure 1

19 pages, 2832 KB  
Article
Spatial Prior Fuzziness Pool-Based Interactive Classification of Hyperspectral Images
by Muhammad Ahmad, Asad Khan, Adil Mehmood Khan, Manuel Mazzara, Salvatore Distefano, Ahmed Sohaib and Omar Nibouche
Remote Sens. 2019, 11(9), 1136; https://doi.org/10.3390/rs11091136 - 13 May 2019
Cited by 73 | Viewed by 6225
Abstract
Acquisition of labeled data for supervised Hyperspectral Image (HSI) classification is expensive in terms of both time and costs. Moreover, manual selection and labeling are often subjective and tend to induce redundancy into the classifier. Active learning (AL) can be a suitable approach [...] Read more.
Acquisition of labeled data for supervised Hyperspectral Image (HSI) classification is expensive in terms of both time and costs. Moreover, manual selection and labeling are often subjective and tend to induce redundancy into the classifier. Active learning (AL) can be a suitable approach for HSI classification as it integrates data acquisition to the classifier design by ranking the unlabeled data to provide advice for the next query that has the highest training utility. However, multiclass AL techniques tend to include redundant samples into the classifier to some extent. This paper addresses such a problem by introducing an AL pipeline which preserves the most representative and spatially heterogeneous samples. The adopted strategy for sample selection utilizes fuzziness to assess the mapping between actual output and the approximated a-posteriori probabilities, computed by a marginal probability distribution based on discriminative random fields. The samples selected in each iteration are then provided to the spectral angle mapper-based objective function to reduce the inter-class redundancy. Experiments on five HSI benchmark datasets confirmed that the proposed Fuzziness and Spectral Angle Mapper (FSAM)-AL pipeline presents competitive results compared to the state-of-the-art sample selection techniques, leading to lower computational requirements. Full article
(This article belongs to the Special Issue Image Optimization in Remote Sensing)
Show Figures

Figure 1

42 pages, 16829 KB  
Article
A Relaxation Filtering Approach for Two-Dimensional Rayleigh–Taylor Instability-Induced Flows
by Sk. Mashfiqur Rahman and Omer San
Fluids 2019, 4(2), 78; https://doi.org/10.3390/fluids4020078 - 21 Apr 2019
Cited by 10 | Viewed by 8062
Abstract
In this paper, we investigate the performance of a relaxation filtering approach for the Euler turbulence using a central seven-point stencil reconstruction scheme. High-resolution numerical experiments are performed for both multi-mode and single-mode inviscid Rayleigh–Taylor instability (RTI) problems in two-dimensional canonical settings. In [...] Read more.
In this paper, we investigate the performance of a relaxation filtering approach for the Euler turbulence using a central seven-point stencil reconstruction scheme. High-resolution numerical experiments are performed for both multi-mode and single-mode inviscid Rayleigh–Taylor instability (RTI) problems in two-dimensional canonical settings. In our numerical assessments, we focus on the computational performance considering both time evolution of the flow field and its spectral resolution up to three decades of inertial range. Our assessments also include an implicit large eddy simulation (ILES) approach that is based on a fifth-order weighted essential non-oscillatory (WENO) with built-in numerical dissipation due to its upwind-based reconstruction architecture. We show that the relaxation filtering approach equipped with a central seven-point stencil, sixth-order accurate discrete filter yields accurate results efficiently, since there is no additional cost associated with the computation of the smoothness indicators and interface Riemann solvers. Our a-posteriori spectral analysis also demonstrates that its resolution capacity is sufficiently high to capture the details of the flow behavior induced by the instability. Furthermore, its resolution capability can be effectively controlled by the filter shape and strength. Full article
(This article belongs to the Special Issue Multiscale Turbulent Transport)
Show Figures

Figure 1

19 pages, 7265 KB  
Article
Bias Impact Analysis and Calibration of UAV-Based Mobile LiDAR System with Spinning Multi-Beam Laser Scanner
by Radhika Ravi, Tamer Shamseldin, Magdy Elbahnasawy, Yun-Jou Lin and Ayman Habib
Appl. Sci. 2018, 8(2), 297; https://doi.org/10.3390/app8020297 - 18 Feb 2018
Cited by 29 | Viewed by 7965
Abstract
Light Detection and Ranging (LiDAR) is a technology that uses laser beams to measure ranges and generates precise 3D information about the scanned area. It is rapidly gaining popularity due to its contribution to a variety of applications such as Digital Building Model [...] Read more.
Light Detection and Ranging (LiDAR) is a technology that uses laser beams to measure ranges and generates precise 3D information about the scanned area. It is rapidly gaining popularity due to its contribution to a variety of applications such as Digital Building Model (DBM) generation, telecommunications, infrastructure monitoring, transportation corridor asset management and crash/accident scene reconstruction. To derive point clouds with high positional accuracy, estimation of mounting parameters relating the laser scanners to the onboard Global Navigation Satellite System/Inertial Navigation System (GNSS/INS) unit, i.e., the lever-arm and boresight angles, is the foremost and necessary step. This paper proposes a LiDAR system calibration strategy for a Unmanned Aerial Vehicle (UAV)-based mobile mapping system that can directly estimate the mounting parameters for spinning multi-beam laser scanners through an outdoor calibration procedure. This approach is based on the use of conjugate planar/linear features in overlapping point clouds derived from different flight lines. Designing an optimal configuration for calibration is the first and foremost step in order to ensure the most accurate estimates of mounting parameters. This is achieved by conducting a rigorous theoretical analysis of the potential impact of bias in mounting parameters of a LiDAR unit on the resultant point cloud. The dependency of the impact on the orientation of target primitives and relative flight line configuration would help in deducing the configuration that would maximize as well as decouple the impact of bias in each mounting parameter so as to ensure their accurate estimation. Finally, the proposed analysis and calibration strategy are validated by calibrating a UAV-based LiDAR system using two different datasets—one acquired with flight lines at a single flying height and the other with flight lines at two different flying heights. The calibration performance is evaluated by analyzing correlation between the estimated system parameters, the a-posteriori variance factor of the Least Squares Adjustment (LSA) procedure and the quality of fit of the adjusted point cloud to planar/linear features before and after the calibration process. Full article
(This article belongs to the Special Issue Laser Scanning)
Show Figures

Graphical abstract

Back to TopTop