Sign in to use this feature.

Years

Between: -

Subjects

remove_circle_outline
remove_circle_outline
remove_circle_outline
remove_circle_outline
remove_circle_outline

Journals

Article Types

Countries / Regions

Search Results (11)

Search Parameters:
Keywords = a-amylase

Order results
Result details
Results per page
Select all
Export citation of selected articles as:
19 pages, 335 KB  
Article
Interactive Effects of Dietary Starch Levels and Exogenous α-Amylase on Growth, Digestibility, and Metabolic Responses in Channa striata Juveniles
by Kaliyaperumal Sriranjani, Amit Ranjan, Albin Jemila Thangarani, Ambika Binesh, Mohamood Kavimugaraja, Subbiah Balasundari and Nathan Felix
Biology 2025, 14(9), 1237; https://doi.org/10.3390/biology14091237 - 10 Sep 2025
Viewed by 846
Abstract
A 70-day feeding trial was carried out to examine the effects of exogenous alpha amylase supplementation and different levels of starch on the growth performance, whole-body proximate composition, apparent nutrient digestibility, and digestive and metabolic enzyme activities of Channa striata juveniles. Nine semi-purified [...] Read more.
A 70-day feeding trial was carried out to examine the effects of exogenous alpha amylase supplementation and different levels of starch on the growth performance, whole-body proximate composition, apparent nutrient digestibility, and digestive and metabolic enzyme activities of Channa striata juveniles. Nine semi-purified iso-nitrogenous (42%) and iso-lipidic (7%) diets containing three different levels of starch (viz. 10%, 20% and 30%) and amylase (0%, 0.05%, 0.1%) were formulated as C10A0, C10A0.05, C10A0.1, C20A0, C20A0.05, C20A0.1, C30A0, C30A0.05, and C30A0.1 (C-starch, A-amylase). A total of 405 C. striata juveniles of average weight (14.31 ± 0.1 g) were randomly assigned to 27 150 L capacity FRP tanks with 15 fish per tank following a 3 × 3 factorial design in triplicate with proper aeration. Final weight, weight gain (WG%), specific growth rate (SGR), feed conversion ratio (FCR), and protein efficiency ratio (PER) were significantly influenced (p < 0.05) by dietary starch and amylase supplementation as well as their interaction. The nutrient digestibility results revealed that the apparent digestibility coefficient of dry matter, crude protein, crude lipids, and carbohydrates improved significantly (p < 0.05) with higher amylase levels. There was no significant variation (p > 0.05) in the whole-body proximate composition of fish fed with different levels of starch and exogenous amylase supplementation. Amylase activity increased with higher dietary amylase levels; however, there were no significant differences in protease and lipase enzyme activity. Fish in the A0.1 treatment group had significantly higher (p < 0.05) hexokinase activity, which was significantly affected by exogenous amylase levels. AST and ALT activities in the serum were decreased (p < 0.05) at 0.1% amylase inclusion in the diet. From the present study, it is concluded that supplementation with exogenous alpha amylase has the potential to enhance starch utilization in C. striata. In particular, 0.1% amylase with 20% starch can significantly improve growth and nutrient utilization in C. striata juveniles without adverse effects. Full article
13 pages, 1385 KB  
Article
Evaluation of Mediterranean Tree Leaves as Valuable Biomass of Digestive Enzymes and Bacterial Inhibitors in the Concept of Circular Bioeconomy
by Atalanti Christou, Konstantina Stavrou, Christodoulos Michael, George Botsaris and Vlasios Goulas
Biomass 2024, 4(2), 442-454; https://doi.org/10.3390/biomass4020022 - 10 May 2024
Cited by 2 | Viewed by 2192
Abstract
This study aspires to evaluate the antibacterial and inhibitory effects of carbohydrate digestive enzymes in tree leaves that are widely distributed in the Mediterranean region. Leaves were sequentially extracted with solvents of increasing polarity. The results demonstrated a wide range of phenolic (3.5–770.7 [...] Read more.
This study aspires to evaluate the antibacterial and inhibitory effects of carbohydrate digestive enzymes in tree leaves that are widely distributed in the Mediterranean region. Leaves were sequentially extracted with solvents of increasing polarity. The results demonstrated a wide range of phenolic (3.5–770.7 mg gallic acid equivalent g−1) and flavonoid (0.2–321.3 mg catechin equivalent g−1) contents in leaf extracts. The minimum inhibitory and bactericidal concentration of leaf extracts was determined for six bacteria using the broth microdilution method. The polar extracts of carob, lentisk, and white mulberry leaves exerted strong antibacterial potency against Gram-positive bacteria, while the susceptibility of Escherichia coli on relative apolar extracts of carob, fig, and olive leaves was also observed. In parallel, the inhibitory effects of leaf extracts on carbohydrate digestive enzymes were evaluated. A robust inhibition of α-glucosidase was found for carob and lentisk leaf extracts, followed by extracts produced by white mulberry and olive leaves. Carob and lentisk leaves also act as a-amylase inhibitors at high concentrations. Overall, this study provides valuable data for the nutraceutical value of the “forgotten” treasure of Mediterranean tree leaves and assesses these plants as potential sources of antibacterial and carbohydrate digestive enzyme inhibitory agents for drug discovery. Full article
Show Figures

Figure 1

13 pages, 21447 KB  
Article
Production of Mature Recombinant Human Activin A in Transgenic Rice Cell Suspension Culture
by Van Giap Do and Moon-Sik Yang
Curr. Issues Mol. Biol. 2024, 46(2), 1164-1176; https://doi.org/10.3390/cimb46020074 - 30 Jan 2024
Cited by 3 | Viewed by 3126
Abstract
Activin A belongs to the transforming growth factor (TGF) family member, which exhibits a wide range of biological activities, including the regulation of cellular proliferation and differentiation and the promotion of neuronal survival. The isolation of AA from natural sources can only produce [...] Read more.
Activin A belongs to the transforming growth factor (TGF) family member, which exhibits a wide range of biological activities, including the regulation of cellular proliferation and differentiation and the promotion of neuronal survival. The isolation of AA from natural sources can only produce limited quantities of this bioactive protein. In this study, the whole gene of the precursor form of recombinant human activin A (rhAA) contains a signal peptide, and a pro-region and a mature region were cloned into an expression vector under the control of the rice α-amylase 3D (RAmy3D) promoter. To obtain the mature (active) form of rhAA, an enterokinase cleavage site was inserted between the pro-region and mature region of rhAA. The rice seed (Oryza sativa L. cv. Dongjin) was transformed with recombinant vectors by the Agrobacterium-mediated method, and the integration of the target gene into the plant genome was confirmed by genomic PCR. The transcript expression of rhAA in transgenic rice calli was confirmed by a Northern blot analysis of mRNA. The production of rhAA was verified by Western blot analysis and ELISA. The accumulation of secreted rhAA in the culture medium was purified by Ni2+—NTA. The mature form of AA was released from the precursor form of rhAA after proteolytically processing with enterokinase. Western blot shows that the mature AA was split into monomer and homodimer with molecular weights of 14 kDa and 28 kDa under reducing and non-reducing conditions, respectively. These results suggest that the mature form of rhAA could be produced and purified using transgenic rice cell suspension culture. Full article
(This article belongs to the Special Issue Molecular Research in Bioactivity of Natural Products)
Show Figures

Figure 1

14 pages, 1309 KB  
Article
In Vitro Assessment of the Antidiabetic and Anti-Inflammatory Potential of Artemisia absinthium, Artemisia vulgaris and Trigonella foenum-graecum Extracts Processed Using Membrane Technologies
by Elena Neagu, Gabriela Paun, Camelia Albu, Oana Teodora Apreutesei and Gabriel Lucian Radu
Molecules 2023, 28(20), 7156; https://doi.org/10.3390/molecules28207156 - 18 Oct 2023
Cited by 8 | Viewed by 3471
Abstract
Recently, there has been increased interest in the discovery of new natural herbal remedies for treating diabetes and inflammatory diseases. In this context, this work analyzed the antidiabetic and anti-inflammatory potential of Artemisia absinthium, Artemisia vulgaris and Trigonella foenum-graecum herbs, which have [...] Read more.
Recently, there has been increased interest in the discovery of new natural herbal remedies for treating diabetes and inflammatory diseases. In this context, this work analyzed the antidiabetic and anti-inflammatory potential of Artemisia absinthium, Artemisia vulgaris and Trigonella foenum-graecum herbs, which have been studied less from this point of view. Therefore, extracts were prepared and processed using membrane technologies, micro- and ultrafiltration, to concentrate the biologically active principles. The polyphenol and flavone contents in the extracts were analyzed. The qualitative analysis of the polyphenolic compounds was performed via HPLC, identifying chlorogenic acid, rosmarinic acid and rutin in A. absinthium; chlorogenic acid, luteolin and rutin in A. vulgaris; and genistin in T. foenum-graecum. The antidiabetic activity of the extracts was analyzed by testing their ability to inhibit α-amylase and α-glucosidase, and the anti-inflammatory activity was analyzed by testing their ability to inhibit hyaluronidase and lipoxygenase. Thus, the concentrated extracts of T. foenum-graecum showed high inhibitory activity on a-amylase—IC50 = 3.22 ± 0.3 μg/mL—(compared with acarbose—IC50 = 3.5 ± 0.18 μg/mL) and high inhibitory activity on LOX—IC50 = 19.69 ± 0.52 μg/mL (compared with all standards used). The concentrated extract of A. vulgaris showed increased α-amylase inhibition activity—IC50 = 8.57 ± 2.31 μg/mL—compared to acarbose IC50 = 3.5 ± 0.18 μg/mL. The concentrated extract of A. absinthium showed pronounced LOX inhibition activity—IC50 = 19.71 ± 0.79 μg/mL—compared to ibuprofen—IC50 = 20.19 ± 1.25 μg/mL. Full article
Show Figures

Graphical abstract

21 pages, 2560 KB  
Article
Comparative Investigation of Chemical Constituents of Kernels, Leaves, Husk, and Bark of Juglans regia L., Using HPLC-DAD-ESI-MS/MS Analysis and Evaluation of Their Antioxidant, Antidiabetic, and Anti-Inflammatory Activities
by Ilhame Bourais, Salma Elmarrkechy, Douae Taha, Bouabid Badaoui, Yassine Mourabit, Najoua Salhi, Mohammed Merae Alshahrani, Ahmed Abdullah Al Awadh, Abdelhakim Bouyahya, Khang Wen Goh, Ching Siang Tan, Souad El Hajjaji, Nadia Dakka and Naima Iba
Molecules 2022, 27(24), 8989; https://doi.org/10.3390/molecules27248989 - 16 Dec 2022
Cited by 25 | Viewed by 4030
Abstract
Leaves, husk, kernels, and bark methanolic extracts of Juglans regia L. were tested for their in vitro antidiabetic, anti-inflammatory, and antioxidant activities. For these purposes, α-amylase and α-glucosidase were used as the main enzymes to evaluate antidiabetic activities. Moreover, lipoxidase and tyrosinase activities [...] Read more.
Leaves, husk, kernels, and bark methanolic extracts of Juglans regia L. were tested for their in vitro antidiabetic, anti-inflammatory, and antioxidant activities. For these purposes, α-amylase and α-glucosidase were used as the main enzymes to evaluate antidiabetic activities. Moreover, lipoxidase and tyrosinase activities were tested to estimate anti-inflammatory properties. Antioxidant properties of Juglans regia L., extracts were determined using three different assays. Leaves extract has an important radical scavenging activity and a-amylase inhibition. Similarly, husk extracts showed high total phenolic content (306.36 ± 4.74 mg gallic acid equivalent/g dry extract) with an important α-amylase inhibition (IC50 = 75.42 ± 0.99 µg/mL). Kernels exhibit significant tyrosinase (IC50 = 51.38 ± 0.81 µg/mL) correlated with antioxidant activities (p < 0.05). Husk and bark extracts also showed strong anti-lipoxidase activities with IC50 equal to 29.48 ± 0.28 and 28.58 ± 0.35 µg/mL, respectively. HPLC-DAD-ESI-MS/MS analysis highlights the phenolic profile of methanolic extracts of Juglans regia L. plant parts. The identified polyphenols were known for their antioxidant, antidiabetic (dicaffeoyl-quinic acid glycoside in kernels), and anti-inflammatory (3,4-dihydroxybenzoic acid in leaves) activities. Further investigations are needed to determine molecular mechanisms involved in these effects as well as to study the properties of the main identified compounds. Full article
Show Figures

Figure 1

21 pages, 2156 KB  
Article
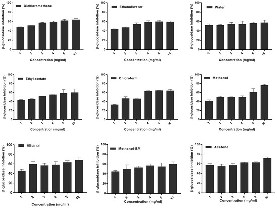
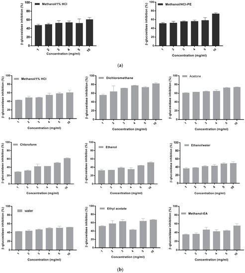
Exploring Antioxidant and Enzymes (A-Amylase and B-Glucosidase) Inhibitory Activity of Morinda lucida and Momordica charantia Leaves from Benin
by Michaelle Chokki, Mihaela Cudălbeanu, Cheikna Zongo, Durand Dah-Nouvlessounon, Ioana Otilia Ghinea, Bianca Furdui, Robert Raclea, Aly Savadogo, Lamine Baba-Moussa, Sorin Marius Avamescu, Rodica Mihaela Dinica and Farid Baba-Moussa
Foods 2020, 9(4), 434; https://doi.org/10.3390/foods9040434 - 4 Apr 2020
Cited by 59 | Viewed by 9650
Abstract
Background: Momordica charantia Linn. (Cucurbitaceae), the wild variety of bitter melon and Morinda lucida Benth (Rubiaceae) were commonly used as a popular folk medicine in Benin. This research focused to measure the antioxidant and enzyme inhibitory effects of M. [...] Read more.
Background: Momordica charantia Linn. (Cucurbitaceae), the wild variety of bitter melon and Morinda lucida Benth (Rubiaceae) were commonly used as a popular folk medicine in Benin. This research focused to measure the antioxidant and enzyme inhibitory effects of M. charantia and M. lucida leaves and their antidiabetic activity. Methods: Antioxidant activities were evaluated by micro-dilution technique using DPPH free radical scavenging activity and β-carotene-linoleate bleaching assay. The α-amylase inhibition assay was carried out utilizing the 3,5-dinitrosalicylic acid procedure, while β-glucosidase inhibition assay was demonstrated using as substrate p-nitrophenyl-β-D-glucopyranoside (PNPG). HPLC-DAD analysis was realized using a high-performance liquid chromatography systems with diode-array detector, L-3000. Results: Chlorogenic acid, epicatechin, daidzein, rutin, naringin, quercetin, naringenin and genistein were identified as polyphenol compounds in the both plants extract. Dichloromethane and ethyl acetate extracts showed a good α-amylase inhibitory activity (56.46 ± 1.96% and 58.76 ± 2.74% respectively). M. lucida methanolic extract has shown IC50 of 0.51 ± 0.01 mg/mL, which is the lowest for DPPH scavenging activity. M. lucida dichloromethane extract showed the highest inhibitory capacity of β-glucosidase activity (82.11. ± 2.15%). Conclusion: These results justify some traditional medicinal uses of both plants. The purified fractions could be used in future formulations, possibly incorporated in functional foods to combat certain diseases. Full article
(This article belongs to the Section Food Physics and (Bio)Chemistry)
Show Figures

Graphical abstract

9 pages, 605 KB  
Article
Tropical Plant Extracts as Potential Antihyperglycemic Agents
by Thamilvaani Manaharan, Uma Devi Palanisamy and Cheng Hwee Ming
Molecules 2012, 17(5), 5915-5923; https://doi.org/10.3390/molecules17055915 - 18 May 2012
Cited by 40 | Viewed by 7282
Abstract
Preliminary investigations on 14 plant extracts (obtained by ethanolic and aqueous extraction) identified those having high antioxidant and a significant total phenolic content. Antihyperglycemic, a-amylase and a-glucosidase inhibition activities were also observed. A correlation between the antihyperglycemic activity, total phenolic content and antioxidant [...] Read more.
Preliminary investigations on 14 plant extracts (obtained by ethanolic and aqueous extraction) identified those having high antioxidant and a significant total phenolic content. Antihyperglycemic, a-amylase and a-glucosidase inhibition activities were also observed. A correlation between the antihyperglycemic activity, total phenolic content and antioxidant (DPPH scavenging) activity was established. To further substantiate these findings, the possibility of tannins binding non-specifically to enzymes and thus contributing to the antihyperglycemic activity was also investigated. Our study clearly indicated that the antihyperglycemic activity observed in the plant extracts was indeed not due to non-specific tannin absorption. Full article
(This article belongs to the Section Natural Products Chemistry)
Show Figures

Figure 1

12 pages, 325 KB  
Article
Distribution and Molecular Characterization of β-Glucans from Hull-Less Barley Bran, Shorts and Flour
by Xueling Zheng, Limin Li and Qi Wang
Int. J. Mol. Sci. 2011, 12(3), 1563-1574; https://doi.org/10.3390/ijms12031563 - 28 Feb 2011
Cited by 51 | Viewed by 8103
Abstract
Six hull-less barley cultivars widely grown in China were roller-milled to produce bran, shorts and flour fractions. The distribution and molecular characteristics of β-glucans from the three roller-milled fractions were investigated. The β-glucan contents in the six hull-less barley cultivars varied from 4.96% [...] Read more.
Six hull-less barley cultivars widely grown in China were roller-milled to produce bran, shorts and flour fractions. The distribution and molecular characteristics of β-glucans from the three roller-milled fractions were investigated. The β-glucan contents in the six hull-less barley cultivars varied from 4.96% to 7.62%. For all the six cultivars, the shorts fraction contained the highest concentration of β-glucan (8.12–13.01%), followed by bran (6.15–7.58%) and flour (2.48–2.95%). Crude β-glucans were prepared from the three roller-milled fractions using aqueous sodium carbonate (pH 10). These preparations contained 45.38–71.41% β-glucan, 10.81–17.26% arabinoxylan, 2.6–9.6% protein, 2.7–9.0% starch, and 5.23–9.68% ash. Purification using a-amylase and β-xylanase in combination with pH adjustment and dialysis produced high purity β-glucan preparations (91–95%). The molecular weight (Mw) of β-glucan preparations from roller-milled fractions ranged from 117,600 to 852,400 g/mol. β-Glucan from flour had higher Mw than those from shorts and bran within the same cultivar, and β-glucan preparations from bran had the lowest Mw. Full article
(This article belongs to the Section Biochemistry)
Show Figures

12 pages, 173 KB  
Article
In Vitro and in Vivo Anti-Hyperglycemic Effects of Omija (Schizandra chinensis) Fruit
by Sung-Hoon Jo, Kyoung-Soo Ha, Kyoung-Sik Moon, Ok-Hwan Lee, Hae-Dong Jang and Young-In Kwon
Int. J. Mol. Sci. 2011, 12(2), 1359-1370; https://doi.org/10.3390/ijms12021359 - 23 Feb 2011
Cited by 51 | Viewed by 11099
Abstract
The entrocytes of the small intestine can only absorb monosaccharides such as glucose and fructose from our diet. The intestinal absorption of dietary carbohydrates such as maltose and sucrose is carried out by a group of a-glucosidases. Inhibition of these enzymes can significantly [...] Read more.
The entrocytes of the small intestine can only absorb monosaccharides such as glucose and fructose from our diet. The intestinal absorption of dietary carbohydrates such as maltose and sucrose is carried out by a group of a-glucosidases. Inhibition of these enzymes can significantly decrease the postprandial increase of blood glucose level after a mixed carbohydrate diet. Therefore, the inhibitory activity of Omija (Schizandra chinensis) extract against rat intestinal a-glucosidase and porcine pancreatic a-amylase were investigated in vitro and in vivo. The in vitro inhibitory activities of water extract of Omija pulp/skin (OPE) on a-glucosidase and a-amylase were potent when compared to Omija seeds extract (OSE). The postprandial blood glucose lowering effect of Omija extracts was compared to a known type 2 diabetes drug (Acarbose), a strong a-glucosidase inhibitor in the Sprague-Dawley (SD) rat model. In rats fed on sucrose, OPE significantly reduced the blood glucose increase after sucrose loading. Furthermore, the oxygen radical absorbance capacity (ORAC) of OSE and OPE was evaluated. OPE had higher peroxyl radical absorbing activity than OSE. These results suggest that Omija, which has high ORAC value with a-glucosidase inhibitory activity and blood glucose lowering effect, could be physiologically useful for treatment of diabetes, although clinical trials are needed. Full article
(This article belongs to the Special Issue Advances in Nutraceutical Research)
Show Figures

10 pages, 174 KB  
Article
Inhibitory Activities of Cyanidin and Its Glycosides and Synergistic Effect with Acarbose against Intestinal α-Glucosidase and Pancreatic α-Amylase
by Sarinya Akkarachiyasit, Piyawan Charoenlertkul, Sirintorn Yibchok-anun and Sirichai Adisakwattana
Int. J. Mol. Sci. 2010, 11(9), 3387-3396; https://doi.org/10.3390/ijms11093387 - 20 Sep 2010
Cited by 231 | Viewed by 16682
Abstract
Cyanidin and its glycosides are naturally dietary pigments which have been indicated as promising candidates to have potential benefits to humans, especially in the prevention and treatment of diabetes mellitus. We investigated the structure activity relationships of cyanidin and its glycosides to inhibit [...] Read more.
Cyanidin and its glycosides are naturally dietary pigments which have been indicated as promising candidates to have potential benefits to humans, especially in the prevention and treatment of diabetes mellitus. We investigated the structure activity relationships of cyanidin and its glycosides to inhibit intestinal a-glucosidases and pancreatic a-amylase in vitro. The results found that cyanidin and its glycosides are more specific inhibitors of intestinal sucrase than intestinal maltase. Cyanidin-3-galactoside and cyanidin-3-glucoside were the most potent inhibitors against intestinal sucrase and pancreatic a-amylase with IC50 values of 0.50 ± 0.05 and 0.30 ± 0.01 mM, respectively. Our findings indicate that the structural difference between glucose and galactose at the 3-O-position of cyanidin was an important factor for modulating the inhibition of intestinal sucrase and pancreatic a-amylase. The combination of cyandin-3-glucoside, cyanidin-3-galactoside or cyanidin-3,5-diglucosides with a low concentration of acarbose showed synergistic inhibition on intestinal maltase and sucrase. The synergistic inhibition was also found for a combination of cyanidin or cyanidin-3-glucoside with a low concentration of acarbose. The findings could provide a new insight into a use for the naturally occurring intestinal a-glucosidase and pancreatic a-amylase inhibitors for the prevention and treatment of diabetes and its complications. Full article
(This article belongs to the Section Biochemistry)
Show Figures

13 pages, 247 KB  
Article
High Molecular Weight Glucan of the Culinary Medicinal Mushroom Agaricus bisporus is an α-Glucan that Forms Complexes with Low Molecular Weight Galactan
by Fhernanda R. Smiderle, Guilherme L. Sassaki, Jeroen van Arkel, Marcello Iacomini, Harry J. Wichers and Leo J.L.D. Van Griensven
Molecules 2010, 15(8), 5818-5830; https://doi.org/10.3390/molecules15085818 - 25 Aug 2010
Cited by 38 | Viewed by 15014
Abstract
An a-glucan was isolated from the culinary medicinal mushroom A. bisporus by hot water extraction, ethanol precipitation and DEAE-cellulose chromatography. The resulting material showed a single HMW peak excluded from a Sephadex G50 column that could completely be degraded by α-amylase treatment. After [...] Read more.
An a-glucan was isolated from the culinary medicinal mushroom A. bisporus by hot water extraction, ethanol precipitation and DEAE-cellulose chromatography. The resulting material showed a single HMW peak excluded from a Sephadex G50 column that could completely be degraded by α-amylase treatment. After heating in 1% SDS a small additional peak of low MW eluted from the G50 column. The monosaccharide composition of the main peak was evaluated by HPLC, and was found to consist of a majority of glucose (97.6%), and a minor proportion of galactose (2.4%). Methylation analysis and degradation by a-amylase indicated the presence of an a-glucan with a main chain consisting of (1®4)-linked units, substituted at O-6 by α-D-glucopyranose single-units in the relation 1:8. Mono- (13C-, 1H-NMR) and bidimensional [1H (obs.),13C-HSQC] spectroscopy analysis confirmed the a-configuration of the Glcp residues by low frequency resonances of C-1 at d 100.6, 100.2, and 98.8 ppm and H-1 high field ones at d 5.06, 5.11, and 4.74 ppm. The DEPT-13C-NMR allowed assigning the non-substituted and O-substituted –CH2 signals at d 60.3/60.8 and 66.2 ppm, respectively. Other assignments were attributed to C-2, C-3, C-4, C-5 and C-6 of the non-reducing ends at d 71.8; 72.8; 70.0; 71.3 and 60.3/60.8 ppm, respectively. The minor proportion of galactose that was demonstrated was probably derived from a complex between the a-glucan and a low molecular weight galactan. Full article
Show Figures

Figure 1

Back to TopTop