Sign in to use this feature.

Years

Between: -

Subjects

remove_circle_outline
remove_circle_outline
remove_circle_outline
remove_circle_outline
remove_circle_outline
remove_circle_outline
remove_circle_outline
remove_circle_outline
remove_circle_outline

Journals

Article Types

Countries / Regions

Search Results (78)

Search Parameters:
Keywords = X-ray cross-correlation analysis

Order results
Result details
Results per page
Select all
Export citation of selected articles as:
16 pages, 298 KB  
Article
Assessment of Bone Mineral Density in Children with Developmental Dysplasia of the Hip Joint: Possible Risk Factors for Osteopenia and Osteoporosis
by Maha A. Al Slateen, Alaa Ibrahim, Turki Abualait, Ammar Alomran, Sarah Alshahwan, Mariam Alsomali and Mohammed S. Abdelsalam
Medicina 2025, 61(10), 1727; https://doi.org/10.3390/medicina61101727 - 23 Sep 2025
Viewed by 474
Abstract
Background and Objectives: Developmental dysplasia of the hip (DDH) in children can result in long-term skeletal complications, including a reduced bone mineral density (BMD) and an increased risk of osteoporosis. This study aimed to evaluate BMD in children with DDH and to identify [...] Read more.
Background and Objectives: Developmental dysplasia of the hip (DDH) in children can result in long-term skeletal complications, including a reduced bone mineral density (BMD) and an increased risk of osteoporosis. This study aimed to evaluate BMD in children with DDH and to identify clinical, functional, and nutritional factors associated with reduced BMD. Materials and Methods: A cross-sectional study was conducted on 25 children aged 5–10 years with confirmed DDH. Bone mineral density was measured at the total body, subtotal, and lumbar spine using dual-energy X-ray absorptiometry (DXA), and Z-scores were calculated. Functional assessments included isometric muscle strength, weight-bearing symmetry, and physical activity measured via accelerometry. Demographic data and daily calcium intake were recorded. Correlation and multiple linear regression analyses were performed to determine predictors of BMD. Results: Most participants exhibited normal growth and mobility, with mild asymmetries in limb strength and length. The mean total BMD was within normative ranges, whereas the lumbar spine Z-score (−1.41 ± 1.72) was mildly reduced. BMD positively correlated with age, anthropometric measures, weight-bearing capacity, and calcium intake, and negatively correlated with a family history of osteoporosis. Multiple regression analysis identified the muscle strength symmetry index as the strongest independent predictor of BMD across all sites (subtotal Z-score: β = 1.000, p < 0.001; total Z-score: β = 0.425, p = 0.023; lumbar Z-score: β = 0.499, p = 0.014). Physical activity levels showed no significant associations with BMD. Conclusions: Children with DDH generally demonstrate preserved overall BMD; however, mild lumbar spine deficits may occur. Muscle strength symmetry appears to be the most influential modifiable factor for optimizing bone health in this population, highlighting the importance of targeted physiotherapy interventions. Full article
13 pages, 685 KB  
Article
Bridging Muscle and Bone Health: Rectus Femoris Ultrasound Parameters Predict Osteoporosis and Identify Low Muscle Mass in Romanian Postmenopausal Women
by Miruna M. Soare, Andrea I. Gasparik, Horatiu V. Popoviciu and Ionela M. Pascanu
J. Clin. Med. 2025, 14(18), 6531; https://doi.org/10.3390/jcm14186531 - 17 Sep 2025
Viewed by 547
Abstract
Background/Objectives: Sarcopenia is characterized by a decline in muscle mass and function. Its association with osteoporosis—referred to as osteosarcopenia—is linked to increased risks of falls, fractures, frailty, and mortality. Therefore, there is a growing need for accurate and accessible tools to assess [...] Read more.
Background/Objectives: Sarcopenia is characterized by a decline in muscle mass and function. Its association with osteoporosis—referred to as osteosarcopenia—is linked to increased risks of falls, fractures, frailty, and mortality. Therefore, there is a growing need for accurate and accessible tools to assess muscle mass. Ultrasonography has emerged as a promising modality in recent years. The aim of our study was to compare rectus femoris ultrasound parameters in postmenopausal women with osteoporosis to healthy controls and to evaluate its diagnostic performance against a reference method. Materials and Methods: A cross-sectional prospective study was conducted including 88 postmenopausal women with a mean age of 65.7 ± 7.5 years. Functional status was evaluated using handgrip strength and gait speed. Rectus femoris ultrasonography was performed, measuring muscle thickness (MT), cross-sectional area (CSA), pennation angle (PA), and echo intensity (EI). Body composition was analyzed using bioelectrical impedance analysis, and appendicular skeletal muscle mass (ASM) was estimated using a validated predictive equation. All participants had undergone dual-energy X-ray absorptiometry within the previous year, and FRAX scores were calculated. Results: Women with osteoporosis had significantly lower muscle thickness compared to controls after adjusting for age and BMI. Rectus femoris MT and CSA were significantly correlated with predicted ASM (r = 0.428, p < 0.01; r = 0.462, p < 0.01). The area under the curve (AUC) for MT in identifying low muscle mass was 0.732 (95% CI 0.601 to 0.862, p = 0.001) at a cut-off value of 1.38 cm. CSA had an AUC of 0.789 (95% CI 0.678 to 0.901, p < 0.001) at a cut-off value of 4.48 cm2. CSA, MT, and PA were significant independent predictors of osteoporosis regardless of bone mineral density but not of FRAX parameters. Conclusions: Rectus femoris ultrasonography is a potentially reliable and rapid method for assessing muscle mass. Rectus femoris ultrasound parameters may serve as predictors of osteoporosis, independent of bone mineral density. Full article
Show Figures

Figure 1

15 pages, 5513 KB  
Article
Genesis Mechanism and Logging Evaluation Methods for Low-Resistivity Contrast Gas-Bearing Layers in Shallow Gas Reservoirs
by Ruijie Huang, Liang Xiao, Wei Zhang, Ruize Shi, Xiaopeng Liu and Ning Wu
Processes 2025, 13(9), 2695; https://doi.org/10.3390/pr13092695 - 24 Aug 2025
Viewed by 561
Abstract
Shallow gas reservoirs exhibit low formation pressure and gas injection levels, leading to low-resistivity contrast between gas-bearing reservoirs and fully water-saturated layers. Gas-bearing formation identification and water saturation estimation face great challenges. To improve the accuracy of shallow gas reservoir identification and logging [...] Read more.
Shallow gas reservoirs exhibit low formation pressure and gas injection levels, leading to low-resistivity contrast between gas-bearing reservoirs and fully water-saturated layers. Gas-bearing formation identification and water saturation estimation face great challenges. To improve the accuracy of shallow gas reservoir identification and logging evaluation, it is essential to analyze the genesis mechanisms underlying the low-resistivity contrast. This study used the HJ Formation, a typical shallow gas reservoir located in the BY Sag of the eastern South China Sea Basin as an example. Combining the results of nuclear magnetic resonance (NMR), full rock mineral analysis and X-ray diffraction of clay minerals in the laboratory, it was determined that the genesis mechanism for the low-resistivity contrast in the gas-bearing reservoir was due to the high irreducible water saturation (Swi) and the cation-induced supplementary conductivity. Afterwards, we integrated three methods, density–neutron correlation, calculation of the apparent formation water resistivity, and cross-plots of conventional and gas-logging curves, to identify shallow gas reservoirs. In addition, we also established a Waxman–Smits-based model to estimate water saturation. Compared with the typical Archie’s equation, the predicted water saturation curve using the Waxman–Smits-based model was more reasonable. The established methods and models can be used in target shallow gas reservoir evaluations, and it also has reference value for other types of oilfields with similar physical characteristics. Full article
Show Figures

Figure 1

37 pages, 22971 KB  
Article
Sedimentary Facies and Geochemical Signatures of the Khewra Sandstone: Reconstructing Cambrian Paleoclimates and Paleoweathering in the Salt Range, Pakistan
by Abdul Bari Qanit, Shahid Iqbal, Azharul Haq Kamran, Muhammad Idrees, Benjamin Sames and Michael Wagreich
Minerals 2025, 15(8), 789; https://doi.org/10.3390/min15080789 - 28 Jul 2025
Viewed by 2843
Abstract
Red sandstones of the Cambrian age are globally distributed and represent an important sedimentation phase during this critical time interval. Their sedimentology and geochemistry can provide key information about the sedimentation style, paleoclimatic conditions, and weathering trends during the Cambrian. In the Salt [...] Read more.
Red sandstones of the Cambrian age are globally distributed and represent an important sedimentation phase during this critical time interval. Their sedimentology and geochemistry can provide key information about the sedimentation style, paleoclimatic conditions, and weathering trends during the Cambrian. In the Salt Range of Pakistan, the Khewra Sandstone constitutes the Lower Cambrian strata and consists of red–maroon sandstones with minor siltstone and shale in the basal part. Cross-bedding, graded bedding, ripple marks, parallel laminations, load casts, ball and pillows, desiccation cracks, and bioturbation are the common sedimentary features of the formation. The sandstones are fine to medium to coarse-grained with subangular to subrounded morphology and display an overall coarsening upward trend. Petrographic analysis indicates that the sandstones are sub-arkose and sub-lithic arenites, and dolomite and calcite are common cementing materials. X-ray Diffraction (XRD) analysis indicates that the main minerals in the formation are quartz, feldspars, kaolinite, illite, mica, hematite, dolomite, and calcite. Geochemical analysis indicates that SiO2 is the major component at a range of 53.3 to 88% (averaging 70.4%), Al2O3 ranges from 3.1 to 19.2% (averaging 9.2%), CaO ranges from 0.4 to 25.3% (averaging 7.4%), K2O ranges from 1.2 to 7.4% (averaging 4.8%), MgO ranges from 0.2 to 7.4% (averaging 3.5%), and Na2O ranges from 0.1 to 0.9% (averaging 0.4%), respectively. The results of the combined proxies indicate that the sedimentation occurred in fluvial–deltaic settings under overall arid to semi-arid paleoclimatic conditions with poor to moderate chemical weathering. The Khewra Sandstone represents the red Cambrian sandstones on the NW Indian Plate margin of Gondwana and can be correlated with contemporaneous red sandstones in the USA, Europe, Africa, Iran, and Turkey (Türkiye). Full article
(This article belongs to the Section Mineral Geochemistry and Geochronology)
Show Figures

Graphical abstract

19 pages, 2592 KB  
Article
Investigating the Variation and Periodicity of TXS 0506+056
by Xianglin Miao and Yunguo Jiang
Universe 2025, 11(7), 204; https://doi.org/10.3390/universe11070204 - 23 Jun 2025
Viewed by 587
Abstract
TXS 0506+056 is a blazar associated with neutrino events. The study on its variation mechanics and periodicity analysis is meaningful to understand other BL Lac objects. The local cross-correlation function (LCCF) analysis presents a 3σ correlation in both the γ-ray versus [...] Read more.
TXS 0506+056 is a blazar associated with neutrino events. The study on its variation mechanics and periodicity analysis is meaningful to understand other BL Lac objects. The local cross-correlation function (LCCF) analysis presents a 3σ correlation in both the γ-ray versus optical and optical versus radio light curves. The time lag analysis suggests that the optical and γ-ray band share the same emission region, located upstream of the radio band in the jet. We use both the weighted wavelet Z-transform and generalized Lomb–Scargle methods to analyze the periodicity. We find two plausible quasi-periodic oscillations (QPOs) at 50656+133 days and 1757+15 days for the light curve of the optical band. For the γ-ray band, we find that the spectrum varies with the softer when brighter (SWB) trend, which could be explained naturally if a stable very high energy component exists. For the optical band, TXS 0506+056 exhibits a harder when brighter (HWB) trend. We discover a trend transition from HWB to SWB in the X-ray band, which could be modeled by the shift in peak frequency assuming that the X-ray emission is composed of the synchrotron and the inverse Compton (IC) components. The flux correlations of γ-ray and optical bands behave anomalously during the period of neutrino events, indicating that there are possible other hadronic components associated with neutrino. Full article
(This article belongs to the Special Issue Blazar Bursts: Theory and Observation)
Show Figures

Figure 1

21 pages, 7182 KB  
Article
Nanovesicles and Human Skin Interaction: A Comparative Ex-Vivo Study
by Elisabetta Esposito, Valentyn Dzyhovski, Federico Santamaria, Catia Contado, Cinzia Brenna, Luca Maria Neri, Paola Secchiero, Francesco Spinozzi, Alessia Pepe, Michał Rawski, Maria Grazia Ortore, Paolo Mariani, Andrea Galvan, Laura Calderan and Manuela Malatesta
Nanomaterials 2025, 15(12), 937; https://doi.org/10.3390/nano15120937 - 16 Jun 2025
Viewed by 791
Abstract
The topical administration of drugs on the skin by nanovesicular systems can represent a tool to treat skin pathologies. The study of nanovesicle biodistribution after skin administration is crucial to understanding their transdermal potential. A formative study enabled us to investigate the influence [...] Read more.
The topical administration of drugs on the skin by nanovesicular systems can represent a tool to treat skin pathologies. The study of nanovesicle biodistribution after skin administration is crucial to understanding their transdermal potential. A formative study enabled us to investigate the influence of some methods in the production of nanovesicles based on phosphatidylcholine, differing in their ethanol amount. Particularly, both liposomes and ethosomes produced by different methods, i.e., microfluidics and solvent injection, were considered. The evaluation of size distribution, shape and internal morphology was performed using photon correlation spectroscopy, cryogenic electron microscopy, hyperspectral dark-field microscopy and small-angle X-ray scattering. Transmission electron microscopy was then used to observe and compare the transdermal passage of selected liposomes and ethosomes applied to human skin explants in a bioreactor. The mean diameters of nanovesicles prepared by the ethanol injection method were smaller with respect to those obtained by microfluidics, measuring roughly 140 and 230 nm, respectively. The uni- or multilamellar ultrastructure of the vesicles was influenced by the solvent injection procedure. Ultrastructural analysis of skin penetration revealed (i) the ability of intact vesicles to cross the different skin layers, with ethosomes produced by the water injection method showing greater transdermal potential and (ii) the role of ethanol as a penetration enhancer. Full article
(This article belongs to the Special Issue Green Nanoparticles for Topical Administration of Drugs)
Show Figures

Figure 1

10 pages, 227 KB  
Article
The Correlations of the Neutrophil-to-Lymphocyte Ratio and Platelet-to-Lymphocyte Ratio with Bone Mineral Density in Postmenopausal Women: A Cross-Sectional Study
by Pierpaolo Panebianco, Gianluca Testa, Giulia Barbagallo, Luciano Costarella, Alessia Caldaci, Sveva Condorelli, Marco Sapienza and Vito Pavone
Osteology 2025, 5(2), 14; https://doi.org/10.3390/osteology5020014 - 6 May 2025
Viewed by 863
Abstract
Background/Objectives: Osteoporosis is a skeletal disorder characterized by reduced bone mineral density (BMD) and increased fracture risk. Chronic inflammation is implicated in osteoporosis pathogenesis, with inflammatory mediators promoting bone resorption. The neutrophil-to-lymphocyte ratio (NLR) and platelet-to-lymphocyte ratio (PLR) are markers of systemic inflammation [...] Read more.
Background/Objectives: Osteoporosis is a skeletal disorder characterized by reduced bone mineral density (BMD) and increased fracture risk. Chronic inflammation is implicated in osteoporosis pathogenesis, with inflammatory mediators promoting bone resorption. The neutrophil-to-lymphocyte ratio (NLR) and platelet-to-lymphocyte ratio (PLR) are markers of systemic inflammation and have emerged as potential indicators of bone health. This study’s aim was to highlight the potential role of the NLR and PLR as markers of bone health in postmenopausal women affected by osteoporosis or osteopenia and to evaluate the possible influence of autoimmune disease in this context. Methods: This cross-sectional study included 124 postmenopausal women diagnosed with osteopenia or osteoporosis at the Orthopedic Unit of the Policlinico G. Rodolico in Catania, Italy. Demographic, clinical, laboratory, and diagnostic imaging data were collected. The NLR and PLR were calculated from complete blood counts, and BMD was measured using dual-energy X-ray absorptiometry (DEXA). Statistical analyses included correlations, group comparisons, and multiple and logistic regressions. Results: The NLR and PLR did not directly correlate with BMD or fracture incidence. However, the PLR weakly correlated with vitamin D levels. Notably, women without Hashimoto’s thyroiditis exhibited higher NLR values than those with the condition. Hypertensive women had a lower PLR than non-hypertensive women, while euthyroid women had a higher PLR than hyperthyroid or hypothyroid women. Multiple regression analysis revealed that age, BMI, CKD stage, vitamin D levels, NLR, PLR, diabetes, and autoimmune diseases significantly predicted BMD at the femur neck, with the PLR contributing significantly. Logistic regression confirmed these predictors for osteoporosis or osteopenia, with an increased PLR being associated with a higher likelihood of osteoporosis. Conclusions: While the NLR and PLR may not independently predict bone health, their inclusion in a multifactorial assessment considering age, BMI, vitamin D, and comorbidities could enhance osteoporosis management. Full article
15 pages, 10319 KB  
Article
Residual Stresses of Small-Bore Butt-Welded Piping Measured by Quantum Beam Hybrid Method
by Kenji Suzuki, Yasufumi Miura, Hidenori Toyokawa, Ayumi Shiro, Takahisa Shobu, Satoshi Morooka and Yuki Shibayama
Quantum Beam Sci. 2025, 9(2), 15; https://doi.org/10.3390/qubs9020015 - 2 May 2025
Viewed by 1372
Abstract
Cracks due to stress corrosion cracking in stainless steels are becoming a problem not only in boiling water reactors but also in pressurized water reactor nuclear plants. Stress improvement measures have been implemented mainly for large-bore welded piping, but in the case of [...] Read more.
Cracks due to stress corrosion cracking in stainless steels are becoming a problem not only in boiling water reactors but also in pressurized water reactor nuclear plants. Stress improvement measures have been implemented mainly for large-bore welded piping, but in the case of small-bore welded piping, post-welding stress improvement measures are often not possible due to dimensional restrictions, etc. Therefore, knowing the actual welding residual stresses of small-bore welded piping regardless of reactor type is essential for the safe and stable operation of nuclear power stations, but there are only a limited number of examples of measuring the residual stresses. In this study, austenitic stainless steel pipes with an outer diameter of 100 mm and a wall thickness of 11.1 mm were butt-welded. The residual stresses were measured by the strain scanning method using neutrons. Furthermore, to obtain detailed residual stresses near the penetration bead where the maximum stress is generated, the residual stresses near the inner surface of the weld were measured using the double-exposure method (DEM) with hard X-rays of synchrotron radiation. A method using a cross-correlation algorithm was proposed to determine the accurate diffraction angle from the complex diffraction patterns from the coarse grains, dendritic structures, and plastic zones. A quantum beam hybrid method (QBHM) was proposed that uses the circumferential residual stresses obtained by neutrons and the residual stresses obtained by the double-exposure method in a complementary use. The residual stress map of welded piping measured using the QBHM showed an area where the axial tensile residual stress exists from the neighborhood of the penetration bead toward the inside of the welded metal. This result could explain the occurrence of stress corrosion cracking in the butt-welded piping. A finite element analysis of the same butt-welded piping was performed and its results were compared. There is also a difference between the simulation results of residual stress using the finite element method and the measurement results using the QBHM. This difference is because the measured residual stress map also includes the effect of the stress of each crystal grain based on elastic anisotropy, that is, residual micro-stress. Full article
(This article belongs to the Section Engineering and Structural Materials)
Show Figures

Figure 1

14 pages, 1533 KB  
Article
Identifying Key Predictors of Sarcopenic Obesity in Italian Severely Obese Older Adults: Deep Learning Approach
by Leticia Martins Cândido, Jun-Hyun Bae, Dae Young Kim, Munkh-Erdene Bayartai, Laura Abbruzzese, Paolo Fanari, Roberta De Micheli, Gabriella Tringali, Ana Lúcia Danielewicz and Alessandro Sartorio
J. Clin. Med. 2025, 14(9), 3069; https://doi.org/10.3390/jcm14093069 - 29 Apr 2025
Viewed by 785
Abstract
Background/Objectives: Sarcopenic obesity (SO), the coexistence of sarcopenia and obesity, poses serious health risks, such as increased mortality. Despite its clinical significance, key predictors of SO remain unclear, especially in severe obesity. This study aimed to identify independent predictors of SO in [...] Read more.
Background/Objectives: Sarcopenic obesity (SO), the coexistence of sarcopenia and obesity, poses serious health risks, such as increased mortality. Despite its clinical significance, key predictors of SO remain unclear, especially in severe obesity. This study aimed to identify independent predictors of SO in Italian older adults with obesity using a deep learning neural network. Methods: A cross-sectional study was conducted with hospitalized older adults diagnosed with severe obesity. SO was defined according to the 2022 ESPEN/EASO Statement Criteria, based on skeletal muscle function assessed by the five-repetition sit-to-stand test (5-SST) and body composition parameters evaluated using Dual X-ray Absorptiometry. A total of 42 independent variables were analyzed. Data normalization was performed using MinMaxScaler, and an optimal neural network architecture was selected via grid search with stratified 5-fold cross-validation. Model performance was assessed using accuracy, precision, recall, F1-score, AUC-ROC, and AUPRC metrics. Results: The correlation analysis revealed strong negative associations between SO and handgrip strength (HGS) (r = −0.785) and appendicular lean mass (ALM) (r = −0.745), as well as moderate correlations with 5-SST (r = 0.603), 30-second chair stand test (r = −0.474), 6-minute walking test (6m-WT) (r = 0.289), and waist circumference (WC) (r = 0.127). The deep learning model achieved an average classification accuracy of 72%, with a precision of 83% and an AUC of 0.9333. Conclusions: The main key predictors of SO were HGS, ALM, 5-SST, 30s-SST, 6m-WT, and WC in the early detection of this condition. The findings highlight deep learning’s potential to improve SO diagnosis, risk assessment, clinical decision-making, and prevention in severely obese older adults. Full article
(This article belongs to the Section Endocrinology & Metabolism)
Show Figures

Figure 1

25 pages, 6020 KB  
Article
Preparation of a Novel Perilla Essential Oil/Grape Seed Extract–Chitosan/Gelatin Composite Edible Gel Film and Its Application in the Preservation of Grass Carp
by Shan Xue, Rui Xu and Jia Liu
Gels 2025, 11(5), 321; https://doi.org/10.3390/gels11050321 - 25 Apr 2025
Cited by 4 | Viewed by 1081
Abstract
In this study, a new edible gel of Perilla essential oil (PE)/grape seed extract (GSE)–chitosan/gelatin was prepared, and it was applied to the preservation of silver carp. By establishing a fuzzy mathematical model, using a single-factor experiment and Box–Behnken response surface optimization combined [...] Read more.
In this study, a new edible gel of Perilla essential oil (PE)/grape seed extract (GSE)–chitosan/gelatin was prepared, and it was applied to the preservation of silver carp. By establishing a fuzzy mathematical model, using a single-factor experiment and Box–Behnken response surface optimization combined with matlab analysis, the optimum preparation conditions of composite gel films were determined: the addition of PE (p < 0.01) was 6.91 μL/mL, the addition of GSE (p < 0.05) was 0.45 mg/mL, and the addition of gelatin (p > 0.05) was 1.63%. Under these conditions, the composite gel films exhibited an excellent water vapor barrier and mechanical properties. Using Fourier-transform infrared spectroscopy (FTIR) analysis, it was found that the addition of PE enhanced or weakened the absorption peaks, indicating the molecular interaction between PE and the substrate. Scanning electron microscopy (SEM) observed that the surfaces of the composite gel films with added PE were smooth, but there were a few pores in the cross-section. X-ray diffraction (XRD) analysis showed that PE had good compatibility with other components. The fresh-keeping experiment showed that the composite gel films could significantly prolong the fresh-keeping period of grass carp. After 10 days of storage at 4 °C, compared with the blank group (without plastic wrap) and the control group (with composite gel film, no PE added), the experimental group (with composite gel films, PE added) showed better fresh-keeping effect in terms of sensory score, moisture content, pH value, TBARS value, and TVB-N value (p < 0.05). Correlation analysis further confirmed the positive effects of composite gel films on water content, pH value, TVB-N, and other quality indexes of silver carp, indicating that the composite gel films will have broad application prospects in the food preservation field. This study provides an innovative basis and theoretical basis for the development and application of natural polysaccharide/protein composite edible film, which is helpful to promote the development of green food-packaging materials. Full article
(This article belongs to the Special Issue Advancements in Food Gelation: Exploring Mechanisms and Applications)
Show Figures

Figure 1

17 pages, 5590 KB  
Article
A Critical Comparison Among High-Resolution Methods for Spatially Resolved Nano-Scale Residual Stress Analysis in Nanostructured Coatings
by Saqib Rashid, Edoardo Rossi, Spyros Diplas, Patricia Almeida Carvalho, Damian Pucicki, Rafal Kuna and Marco Sebastiani
Int. J. Mol. Sci. 2025, 26(7), 3296; https://doi.org/10.3390/ijms26073296 - 2 Apr 2025
Cited by 3 | Viewed by 1114
Abstract
Residual stresses in multilayer thin coatings represent a complex multiscale phenomenon arising from the intricate interplay of multiple factors, including the number and thickness of layers, material properties of the layers and substrate, coefficient of thermal expansion (CTE) mismatch, deposition technique and growth [...] Read more.
Residual stresses in multilayer thin coatings represent a complex multiscale phenomenon arising from the intricate interplay of multiple factors, including the number and thickness of layers, material properties of the layers and substrate, coefficient of thermal expansion (CTE) mismatch, deposition technique and growth mechanism, as well as process parameters and environmental conditions. A multiscale approach to residual stress measurement is essential for a comprehensive understanding of stress distribution in such systems. To investigate this, two AlGaN/GaN multilayer coatings with distinct layer architectures were deposited on sapphire substrates using metalorganic vapor phase epitaxy (MOVPE). High-resolution X-ray diffraction (HRXRD) was employed to confirm their epitaxial growth and structural characteristics. Focused ion beam (FIB) cross-sectioning and transmission electron microscopy (TEM) lamella preparation were performed to analyze the coating structure and determine layer thickness. Residual stresses within the multilayer coatings were evaluated using two complementary techniques: High-Resolution Scanning Transmission Electron Microscopy—Graphical Phase Analysis (HRSTEM-GPA) and Focused Ion Beam—Digital Image Correlation (FIB-DIC). HRSTEM-GPA enables atomic-resolution strain mapping, making it particularly suited for investigating interface-related stresses, while FIB-DIC facilitates microscale stress evaluation. The residual strain values obtained using the FIB-DIC and HRSTEM-GPA methods were −3.2 × 10⁻3 and −4.55 × 10⁻3, respectively. This study confirms that residual stress measurements at different spatial resolutions are both reliable and comparable at the required coating depths and locations, provided that a critical assessment of the characteristic scale of each method is performed. Full article
(This article belongs to the Special Issue Nanomaterials in Novel Thin Films and Coatings)
Show Figures

Graphical abstract

17 pages, 2610 KB  
Article
Cross-Regional Elemental Comparison of Mussels Using Total Reflection X-Ray Fluorescence (TXRF)
by Nina-Nicoleta Lazăr, Ira-Adeline Simionov, Mădălina Călmuc, Valentina-Andreea Călmuc, Cătălina Iticescu, Puiu-Lucian Georgescu, Mihaela Timofti and Silvia Drăgan
Molecules 2025, 30(2), 283; https://doi.org/10.3390/molecules30020283 - 13 Jan 2025
Cited by 2 | Viewed by 1123
Abstract
This study evaluates the effectiveness of Total Reflection X-ray Fluorescence for multi-element analysis in mussels, focusing on sensitivity, precision, and detection limits. Additionally, it offers a cross-regional comparison of elemental composition in mussels from aquaculture farms in Italy, Spain, and Chile. TXRF, using [...] Read more.
This study evaluates the effectiveness of Total Reflection X-ray Fluorescence for multi-element analysis in mussels, focusing on sensitivity, precision, and detection limits. Additionally, it offers a cross-regional comparison of elemental composition in mussels from aquaculture farms in Italy, Spain, and Chile. TXRF, using suspensions of mussel samples, proved effective in detecting minor and trace elements, with recovery rates over 80% for Fe, Cu, Zn, As, and Sr. The research offers a chemical element comparison of Mytilus galloprovincialis and Mytilus chilensis mussels, revealing significant variation based on geographic origin. Correlation matrices demonstrated variable associations between elements, indicating that regional environmental conditions influence bioaccumulation. These findings deepen our understanding of how mussels accumulate elements in different environments. However, further research is needed to develop comprehensive elemental databases and to account for seasonal and temporal variations in mussels’ elemental composition. This study may bring insight for food safety and public health monitoring. Full article
Show Figures

Graphical abstract

20 pages, 2297 KB  
Article
Chest X-ray Findings and Prognostic Factors in Survival Analysis in Peritoneal Dialysis and Hemodialysis Patients: A Retrospective Cross-Sectional Study
by Nilgun Tan Tabakoglu and Osman Nuri Hatipoglu
Medicina 2024, 60(8), 1331; https://doi.org/10.3390/medicina60081331 - 16 Aug 2024
Viewed by 2307
Abstract
Background and Objectives: This study aims to analyze survival in peritoneal and hemodialysis patients using chest radiography and biochemical parameters, determine common dialysis etiologies and causes of death, reveal prognostic factors, and contribute to clinical practice. Materials and Methods: A retrospective [...] Read more.
Background and Objectives: This study aims to analyze survival in peritoneal and hemodialysis patients using chest radiography and biochemical parameters, determine common dialysis etiologies and causes of death, reveal prognostic factors, and contribute to clinical practice. Materials and Methods: A retrospective cross-sectional study was conducted with data from 33 peritoneal dialysis and 37 hemodialysis patients collected between October 2018 and February 2020. Survival and mortality were retrospectively tracked over 70 months (October 2018–June 2024). Chest X-ray measurements (cardiothoracic index, pulmonary vascular pedicle width, right pulmonary artery diameter, diaphragmatic height) and biochemical parameters (urea, albumin, creatinine, parathormone, ferritin, hemoglobin, arterial blood gas, potassium) were analyzed for their impact on survival. Statistical analyses included descriptive statistics, chi-square test, Fisher’s exact test, Bayesian analysis, McNemar test, Kaplan–Meier survival analysis, Cox regression, Bayesian correlation test, linear regression analysis (scatter plot), and ROC analysis. SPSS 20.0 was used for data analysis, with p < 0.05 considered statistically significant. Results: Hypertension, type 2 diabetes, and urogenital disorders were the main dialysis etiologies. Peritonitis (38.5%) and cardiovascular diseases (47.4%) were the leading causes of death in peritoneal and hemodialysis patients, respectively. Significant chest X-ray differences included pulmonary vascular pedicle width and pulmonary artery diameter in hemodialysis and diaphragm height in peritoneal dialysis. Kaplan–Meier showed no survival difference between methods. Cox regression identified age, intact parathormone levels, iPTH/PVPW ratio, and clinical status as survival and mortality factors. The iPTH/PVPW ratio cut-off for mortality prediction was ≤6.8. Conclusions: Age, intact parathormone levels, pulmonary vascular pedicle width, and clinical status significantly impact survival in dialysis patients. Management of hypertension and diabetes, management and follow-up of urogenital disorders, infection control, patient education, and regular cardiovascular check-ups may improve survival rates. Additionally, the iPTH/PVPW ratio can predict mortality risk. Full article
(This article belongs to the Section Urology & Nephrology)
Show Figures

Figure 1

12 pages, 248 KB  
Article
Osteoporosis as the Female-Specific Risk Factor for Dynapenia in Elderly Patients with Type 2 Diabetes
by Chieh-Hua Lu, Sheng-Chiang Su and Feng-Chih Kuo
J. Clin. Med. 2024, 13(16), 4590; https://doi.org/10.3390/jcm13164590 - 6 Aug 2024
Viewed by 1379
Abstract
Aims: Dynapenia is a noteworthy health issue contributing to increased risk of falling, but its co-occurrence with osteoporosis in elderly individuals with type 2 diabetes mellitus (T2DM) has not been well explored. Therefore, this study aimed to establish the association between osteoporosis and [...] Read more.
Aims: Dynapenia is a noteworthy health issue contributing to increased risk of falling, but its co-occurrence with osteoporosis in elderly individuals with type 2 diabetes mellitus (T2DM) has not been well explored. Therefore, this study aimed to establish the association between osteoporosis and dynapenia, focusing on T2DM females due to their high prevalence of osteoporosis and fragility. Methods: We conducted a cross-sectional study to recruit a total of 103 T2DM patients (43 males and 60 females), aged between 50 and 80 years with median 68.0 years. Dual-energy X-ray absorptiometry (DXA) and dominant hand grip strength measurements were performed to define body composition, osteoporosis, and dynapenia in a sex-specific manner. Results: Higher prevalence of dynapenia and dyna-osteoporosis was observed in female T2DM patients with a significantly positive correlation between osteoporosis and dynapenia even after adjustment of body mass index (BMI). By performing a multivariate logistic regression analysis, both BMI and osteoporosis were identified as risk predictors for the development of dynapenia in female T2DM patients with odds ratios (95% CIs) of 1.234 (1.029–1.480) and 4.883 (1.352–17.630), respectively. Conclusions: Our results point out there is high, female-specific co-occurrence of osteoporosis and dynapenia in T2DM patients. Moreover, having osteoporosis and increased BMI might boost the risk of dynapenia in elderly females with T2DM. Full article
15 pages, 669 KB  
Article
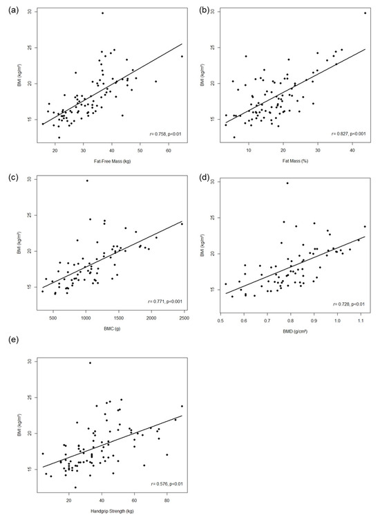
Relationship between Body Mass Index and Health-Related Physical Fitness Components in HIV-Diagnosed Children and Adolescents
by João Antônio Chula de Castro, Luiz Rodrigo Augustemak de Lima and Diego Augusto Santos Silva
Children 2024, 11(8), 938; https://doi.org/10.3390/children11080938 - 2 Aug 2024
Cited by 2 | Viewed by 1659
Abstract
Background/Objectives: There is a need to monitor physical fitness in HIV-diagnosed children and adolescents, and body mass index (BMI) could be an option for this due to its usability for assessing nutritional status and fat mass. The present study aimed to explore the [...] Read more.
Background/Objectives: There is a need to monitor physical fitness in HIV-diagnosed children and adolescents, and body mass index (BMI) could be an option for this due to its usability for assessing nutritional status and fat mass. The present study aimed to explore the relationship between BMI and physical fitness in HIV-diagnosed children and adolescents. Methods: A cross-sectional study was conducted with 86 HIV-diagnosed children and adolescents aged 5–15, with participants from two research protocols (Study I, n = 65; Study II, n = 21). Physical fitness was assessed through body composition (anthropometric measurements and dual energy X-ray absorptiometry), cardiorespiratory fitness (peak oxygen consumption [VO2peak]), muscle strength/endurance (handgrip strength, standing broad jump, and abdominal and modified push-up endurance), and flexibility (sit-to reach test). The relationship between BMI and physical fitness components was analyzed through correlation and simple and multiple linear regression analysis. Results: Eutrophic participants (mean age 11.44 ± 2.20) presented a normal fat mass percentage and overweight participants (mean age 11.50 ± 2.54) presented adequate handgrip strength. The adjusted models could explain 71% of fat-free mass, 57% of fat mass percentage, 70% of bone mineral content, 72% of bone mineral density, and 52% of handgrip strength. Conclusions: Increases in BMI were associated with increases in fat-free mass, fat mass percentage, bone mineral content, bone mineral density, and handgrip strength. BMI was capable of distinguishing those presenting a normal fat mass percentage and those presenting adequate handgrip strength. Full article
Show Figures

Figure 1

Back to TopTop