Sign in to use this feature.

Years

Between: -

Subjects

remove_circle_outline
remove_circle_outline
remove_circle_outline
remove_circle_outline
remove_circle_outline
remove_circle_outline
remove_circle_outline
remove_circle_outline
remove_circle_outline

Journals

Article Types

Countries / Regions

remove_circle_outline
remove_circle_outline

Search Results (862)

Search Parameters:
Keywords = Weaned piglets

Order results
Result details
Results per page
Select all
Export citation of selected articles as:
15 pages, 293 KB  
Article
The Use of Precision Feeding During the Lactation of a Traditional Breed, Iberian Pig, Improves Maternal Nutritional Status and Offspring Performance
by María Aparicio-Arnay, Antonio Gonzalez-Bulnes, Natalia Yeste-Vizcaino, Carlos Piñeiro and Beatriz Isabel
Biology 2026, 15(1), 33; https://doi.org/10.3390/biology15010033 (registering DOI) - 25 Dec 2025
Abstract
The present study evaluated the impact of precision feeding using Electronic Sow Feeders (ESFs) during lactation on the nutritional status of Iberian sows and the performance of their offspring under intensive farming conditions. Fifty-three second-parity Iberian sows were assigned to three feeding systems: [...] Read more.
The present study evaluated the impact of precision feeding using Electronic Sow Feeders (ESFs) during lactation on the nutritional status of Iberian sows and the performance of their offspring under intensive farming conditions. Fifty-three second-parity Iberian sows were assigned to three feeding systems: ESFs (PF), feeding ball (FB), and conventional feeders (CON). Results showed that PF sows had a significantly lower feed disappearance, without affecting body weight and condition, when compared to FB and CON groups (p < 0.05). Although milk yield did not differ significantly among groups, PF piglets exhibited higher weaning weights and average daily weight gains (ADWG), particularly during the second half of lactation (p < 0.05 and p < 0.001, respectively). Metabolic profiling revealed an improved glucose and lipid homeostasis in PF sows, with lower Non-Esterified Fatty Acids (NEFAs) levels and more favorable cholesterol profiles (p < 0.05 for all). No remarkable differences were observed in welfare biomarkers (salivary cortisol and alpha-amylase) among treatments. These findings suggest that precision feeding enhances feed efficiency, stabilizes maternal metabolism, and improves piglet growth in traditional swine breeds (“fatty pigs”) like the Iberian pig, offering a sustainable strategy for intensifying production without compromising animal welfare. Full article
(This article belongs to the Special Issue Nutritional Physiology of Animals)
25 pages, 3318 KB  
Article
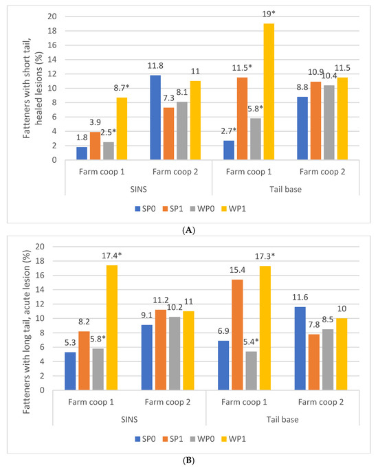
Longitudinal Study: Swine Inflammation and Necrosis Syndrome in Suckling and Weaned Piglets Is Associated with Tail Length and Integrity in Slaughter Pigs
by Karien Koenders-van Gog, Thomas Wijnands, Mirjam Lechner and Gerald Reiner
Animals 2026, 16(1), 56; https://doi.org/10.3390/ani16010056 - 24 Dec 2025
Abstract
Swine Inflammation and Necrosis Syndrome (SINS) is a highly prevalent, predominantly endogenous condition that compromises tissue integrity and animal welfare across different life stages in pigs. Increasing evidence suggests that early-life SINS lesions may predispose pigs to tail damage later in life; however, [...] Read more.
Swine Inflammation and Necrosis Syndrome (SINS) is a highly prevalent, predominantly endogenous condition that compromises tissue integrity and animal welfare across different life stages in pigs. Increasing evidence suggests that early-life SINS lesions may predispose pigs to tail damage later in life; however, longitudinal data remain scarce. This study investigated the association between SINS-related clinical signs in suckling piglets and weaners and subsequent tail integrity during fattening and at slaughter. In a longitudinal study, 352 piglets from two Italian farms producing Parma ham were followed from the suckling phase to slaughter. Although SINS signs were generally mild, pigs affected during the weaner phase showed a 3.5-fold increased risk of developing short tails during fattening. Furthermore, the probability of reduced tail length at slaughter increased from 33.5% to 65.8% in pigs with a history of SINS. Early-life SINS was significantly associated with impaired tail integrity both at the onset of fattening and at slaughter. These new findings highlight endogenous inflammation and necrosis in early life as important yet underrecognized welfare risk factors and suggest that SINS can be utilised as a point of care and early preventive strategies may substantially improve tail integrity and welfare outcomes at slaughter. Full article
(This article belongs to the Section Pigs)
Show Figures

Figure 1

22 pages, 1405 KB  
Article
The Role of CP Level and Interaction with Antibiotics in the Post-Weaning Piglets’ Diet: Growth Performance, Body Composition, Nutrient Digestion, and Intestinal Health
by Rui Wang, Lei Hou, Qiwen Wu, Xiaolu Wen, Yunxia Xiong, Xuefen Yang, Kaiguo Gao, Zongyong Jiang, Shuting Cao and Li Wang
Animals 2026, 16(1), 24; https://doi.org/10.3390/ani16010024 - 21 Dec 2025
Viewed by 201
Abstract
The objective of this study is to evaluate the effects of crude protein (CP) levels and antibiotics in feed on the growth performance, body composition, nutrient digestion and absorption, gut health, and microbiota of weaned piglets. A total of 100 piglets (Duroc × [...] Read more.
The objective of this study is to evaluate the effects of crude protein (CP) levels and antibiotics in feed on the growth performance, body composition, nutrient digestion and absorption, gut health, and microbiota of weaned piglets. A total of 100 piglets (Duroc × Landrace × Yorkshire, weaned at day 21) with an initial weight of 6.39 ± 0.03 kg were randomly assigned to four treatments and fed with 18% CP antibiotic-free diets, 18% CP with antibiotics diets, 24% CP antibiotic-free diets, and 24% CP with antibiotics diets for 0–14 d (S1). Furthermore, the piglets were fed with an identical diet (19% CP and without antibiotics) starting day 15 until they reached 25 kg (S2). Results indicated that the average daily gain (ADG) and gain feed ratio (G:F) during the S1 phase as well as BW at day 14, were significantly decreased (p < 0.05) in the 18% CP group compared with the 24% CP group. Similarly, piglets in the 18% CP group showed a significantly decreased body protein content and body water, protein deposition rates at the S1 phase, and significantly improved the body lipid content and deposition rate but not (p > 0.05) at the S2 phase. The 18% CP group demonstrated significantly increased (p < 0.05) serum concentrations of Threonine, Valine, Isoleucine, and Lysine in weaned piglets during the S1 phase, while Glycine concentration significantly decreased, and no significant (p > 0.05) effects were observed in the S2 phase. Furthermore, dietary antibiotic supplementation had no effect on (p > 0.05) piglet growth performance, body composition, nutrient digestion, and metabolism throughout the entire trial period. In the absence of antibiotics, compared to the 24% CP diet group, the piglets fed with an 18% CP diet significantly increased the relative abundance of Lactobacillus in the colon of weaned piglets upon reaching 25 kg BW (p < 0.05). Compared to the diet without added antibiotics, the addition of antibiotics to the diet significantly decreased the relative abundance of Pseudoramibacter in the colon of weaned piglets on day 14. No significant (p > 0.05) difference was observed in intestinal morphology or gastrointestinal pH among the groups. In conclusion, lower dietary protein levels in the early post-weaning period reduced growth performance and promoted gut microbiota balance, and compensatory growth occurred after returning to higher protein levels two weeks after weaning. Full article
Show Figures

Figure 1

18 pages, 1523 KB  
Article
Factors Influencing Reproductive Performance in Austrian Sow Farms Challenged by Reproductive Disorders
by Gertrude Baumgartner, Alexander Grahofer, Andrea Buzanich-Ladinig and Christine Unterweger
Vet. Sci. 2026, 13(1), 3; https://doi.org/10.3390/vetsci13010003 - 19 Dec 2025
Viewed by 176
Abstract
Many piglet-producing farms are facing poor reproductive performance, yet their characteristics remain poorly understood. This study aimed to identify factors contributing to reproductive disorders based on information easily identifiable through an oral survey. Therefore, forty Austrian piglet producing farms (35–2000 sows) were surveyed [...] Read more.
Many piglet-producing farms are facing poor reproductive performance, yet their characteristics remain poorly understood. This study aimed to identify factors contributing to reproductive disorders based on information easily identifiable through an oral survey. Therefore, forty Austrian piglet producing farms (35–2000 sows) were surveyed using a questionnaire mainly addressing management, treatment and prophylaxis. Five key performance indicators (KPIs) were defined to assess farm productivity: farrowing rate, return-to-estrus rate, abortion rate, total piglets born per litter, and piglets weaned per litter. Farrowing rates were significantly higher in larger farms (r = 0.368; p = 0.019), PRRS-negative farms (r = 0.415; p = 0.008), and farms that did not clean the vulva before artificial insemination (r = 0.357; p = 0.024). Return-to-estrus rates were significantly higher in smaller farms (r = −0.431; p = 0.006), farms with more vaginal discharge after farrowing (r = 0.397; p = 0.011), those not using hormonal farrowing induction (r = 0.339; p = 0.033), and farms with older teaser boars (r = 0.385; p = 0.039). Larger farms had more piglets born per litter (r = 0.342; p = 0.031) and weaned more piglets (r = 0.391; p = 0.013). Weaned piglet numbers were also higher in farms with all-in/all-out implementation in farrowing pens (r = 0.353; p = 0.026), with restricted access of other animal species to the barn (r = 0.366; p = 0.028) and hormonal farrowing induction (r = 0.348; p = 0.028). Common well-established strategies for improving fertility performance like evaluation of body temperature after farrowing, antimicrobial, and hormonal treatments showed limited relevance. Further research is needed to confirm these findings and to identify additional factors influencing reproductive performance of sows. Full article
(This article belongs to the Special Issue Swine Management: Reproduction and Breeding)
Show Figures

Figure 1

10 pages, 223 KB  
Article
Partial Replacement of Soybean Meal with Black Soldier Fly (Hermetia illucens) Larva Meal Maintains Stable Reproductive Performance and Health Status of Sows and Their Offsprings
by Vetriselvi Sampath, Kyejin Lee and In Ho Kim
Vet. Sci. 2026, 13(1), 2; https://doi.org/10.3390/vetsci13010002 - 19 Dec 2025
Viewed by 134
Abstract
The objective of this study was to evaluate the responses of the reproductive performance, milk composition, and blood profile of sows, as well as the performance of their offspring when their dietary soybean meal is partially replaced by black soldier fly Hermetia illucens [...] Read more.
The objective of this study was to evaluate the responses of the reproductive performance, milk composition, and blood profile of sows, as well as the performance of their offspring when their dietary soybean meal is partially replaced by black soldier fly Hermetia illucens larva meal (BSFLM). A total of 18 multiparous (Landrace × Yorkshire) Duroc mated sows were randomly allocated to one of three dietary treatments based on parity from gestation to lactation on day 21. Each treatment has six replications. The dietary treatments were as follows: CON, basal diet based on corn-soybean meal; BSFLM1, basal diet soybean meal partially replaced with BSFLM (0.5% of diet); BSFLM2, basal diet soybean meal partially replaced with BSFLM (1.0% of diet). Our results revealed that sows fed with 0.5% of BSFLM had significantly increased (p < 0.05) BW at the initial and weaning period. Also, the BSFLM2 group sows showed significantly increased (p < 0.05) backfat thickness at weaning. Compared to CON, piglets born from the BSFLM group sows showed a tendency (p > 0.1) of having increased BW (at initial and at weaning) and ADG. Furthermore, sows fed with 0.5% BSFLM showed a tendency (p > 0.1) of having increased protein and fat % in milk at week 1. The serum concentration of IGF-1 was significantly (p < 0.05) increased in the BSFLM1 group sows compared to the BSFLM 2 group sows initially and it was equalized at weaning. In summary, partial replacement of soybean meals with 0.5% and 1% BSFLM could be beneficial for improving the reproductive traits, milk composition, and health status of sows and their offsprings. Full article
(This article belongs to the Special Issue Swine Management: Reproduction and Breeding)
19 pages, 1566 KB  
Article
Effect of Bacillus Probiotics on Growth Performance, Diarrhea Incidence, Nutrient Digestibility, and Intestinal Health of Weaned Piglets
by Xinhong Wang, Siqi Liu, Zihan Zhu, Chunyan Guo, Yinghai Jin, Zhenlong Wu and Xianren Jiang
Animals 2025, 15(24), 3629; https://doi.org/10.3390/ani15243629 - 17 Dec 2025
Viewed by 222
Abstract
Weaned piglets have a fragile gastrointestinal tract and immature digestive function. Supplementation of Bacillus can enhance intestinal barrier function and improve nutrient digestion and absorption efficiency. It is an important nutritional regulation method to alleviate weaning stress, reduce the incidence of diarrhea and [...] Read more.
Weaned piglets have a fragile gastrointestinal tract and immature digestive function. Supplementation of Bacillus can enhance intestinal barrier function and improve nutrient digestion and absorption efficiency. It is an important nutritional regulation method to alleviate weaning stress, reduce the incidence of diarrhea and promote growth performance. This experiment was conducted to investigate the effects of Bacillus subtilis, Bacillus pumilus and their combination on growth performance, diarrhea incidence, nutrient apparent digestibility, intestinal morphology and barrier function of weaned piglets. A total of 128 weaned piglets weighing 6.68 kg (±0.35 kg) were selected, divided into 4 treatment groups, and fed with a basal diet (CTR), a Bacillus subtilis (BS1), a Bacillus pumilus (BS2) and a Bacillus subtilis + Bacillus pumilus (BS1 + BS2) for 42 days. Each group had 8 replicates with 4 piglets per replicate. One piglet was selected from each replicate and euthanized to collect intestinal samples. The results showed that compared with the CTR group, the BS1 + BS2 group significantly increased the average daily gain (ADG) of weaned piglets on days 0–14 (p < 0.05), and the BS2 group significantly increased the ADG on days 0–42 (p < 0.05). Compared with the CTR group, the BS1 + BS2 group significantly reduced the full-time diarrhea rate (p < 0.05), and weaned piglets of the BS2 group significantly reduced the incidence of diarrhea on days 0–14, 15–28, and 0–42 of the study, in comparison to the control (p < 0.05). Compared with the CTR group, the piglets in the BS1 + BS2 group significantly decreased the serum tumor necrosis factor-α (TNF-α) content on day 21 (p < 0.05), and the BS1, BS2, and BS1 + BS2 groups significantly decreased the serum TNF-α content on day 42 (p < 0.05). Compared with the CTR group, the BS1 + BS2 group significantly reduced the expression of Interleukin-8 (IL-8) mRNA in the ileum (p < 0.05). The BS1, BS2, and BS1 + BS2 groups significantly reduced the expression of TNF-α mRNA in the ileum, IL-8 mRNA in the jejunum, and TNF-α mRNA in the jejunum (p < 0.05). In addition, compared with the CTR group, the BS2 and BS1 + BS2 groups significantly increased Claudin-1 mRNA expression in the jejunum (p < 0.05). Compared with the CTR group, the BS1 and BS2 groups significantly increased Occludin mRNA expression in the jejunum (p < 0.05). In summary, dietary supplementation with Bacillus-based probiotics can significantly improve growth performance in weaned piglets, reduce diarrhea incidence, alleviate inflammation, and enhance intestinal barrier function. Full article
(This article belongs to the Special Issue Feed Additives in Animal Nutrition)
Show Figures

Figure 1

23 pages, 2134 KB  
Article
Effects of a Feed Sanitizer in Sow Diets on Sow and Piglet Performance
by Sara Williams, Francisco Domingues, Hayford Manu, Andres Gomez and Lee Johnston
Animals 2025, 15(24), 3618; https://doi.org/10.3390/ani15243618 - 16 Dec 2025
Viewed by 179
Abstract
This study evaluated effects of Termin-8®, a formaldehyde, propionic acid, and terpene-based feed sanitizer, on the performance, health, and gut microbiome of sows and nursing piglets. One hundred and seven mixed-parity sows were allocated to control diets (n = 53) [...] Read more.
This study evaluated effects of Termin-8®, a formaldehyde, propionic acid, and terpene-based feed sanitizer, on the performance, health, and gut microbiome of sows and nursing piglets. One hundred and seven mixed-parity sows were allocated to control diets (n = 53) or diets containing 0.55% sanitizer (n = 54) from day 80 of gestation until approximately day 19 postpartum. Performance metrics, scours, and fecal microbiome composition via 16S rRNA sequencing were assessed. Feed sanitizer supplementation had no significant effects on sow body weight, backfat depth, feed intake, wean-to-estrus interval, litter size or weight at weaning, or piglet diarrhea incidence. However, stillborn pig weight was significantly reduced in the sanitized group (p = 0.010). Gut microbiome changed drastically from gestation to weaning in both groups (R2 > 0.20, p < 0.001), but the taxa and functions that fluctuated largely differed in each group. At weaning, both groups exhibited significantly different microbiome compositions (R2 = 0.06, p < 0.001). Feed sanitizer in sows did not influence the piglet microbiome. Supplementing formaldehyde-based feed sanitizer to sow diets did not significantly impact overall performance or health but moderately influenced sow gut microbiome composition, warranting further investigation into its potential functional implications. Full article
(This article belongs to the Section Animal Nutrition)
Show Figures

Figure 1

14 pages, 3172 KB  
Article
Dietary Pineapple Pomace Complex Improves Growth Performance and Reduces Fecal Odor in Weaned Piglets by Modulating Fecal Microbiota, SCFAs, and Indoles
by Shengnan Yu, Jiahao Jin, Minglin Zheng, Fuquan Yin, Wenchao Liu, Zhihui Zhao, Liyuan Wang and Yuxia Chen
Animals 2025, 15(24), 3600; https://doi.org/10.3390/ani15243600 - 15 Dec 2025
Viewed by 187
Abstract
This study aimed to investigate the effects of pineapple pomace as a functional feed additive on growth performance, fecal microbiota composition, short-chain fatty acids (SCFAs), and odor substance emissions in weaned piglets. The experiment utilized 90 weaned three-way crossbred piglets (Duroc–Yorkshire–Guoshou Black Pig) [...] Read more.
This study aimed to investigate the effects of pineapple pomace as a functional feed additive on growth performance, fecal microbiota composition, short-chain fatty acids (SCFAs), and odor substance emissions in weaned piglets. The experiment utilized 90 weaned three-way crossbred piglets (Duroc–Yorkshire–Guoshou Black Pig) at 28 days of age, randomly divided into three groups of 10 pigs each: the control group (CON, basal diet), the fish meal group (FM, basal diet + 2% imported fish meal), and the pineapple pomace group (PPC, basal diet + 2% pineapple pomace compound). The results indicated the PPC group exhibited significantly higher average daily gain (ADG) (p < 0.05) and significantly lower feed conversion ratio (FCR) (p < 0.05) than the CON group. 16S rRNA sequencing analysis revealed that the PPC group significantly increased fecal microbiota species richness and diversity (p < 0.01) while enriching beneficial bacteria including Lactobacillus, Bifidobacterium, and butyrate-producing bacteria such as Blautia. Concurrently, acetic acid and butyric acid levels in feces were significantly elevated in the PPC group (p < 0.05), with butyric acid production markedly higher than in the FM group (p < 0.05). However, no significant differences were observed in the levels of branched-chain fatty acids (BCFAs), such as isobutyric acid and isovaleric acid (p < 0.05). Moreover, PPC supplementation led to a significant decrease in fecal levels of indole and 3-methylindole (skatole) (p < 0.05). In summary, dietary inclusion of 2% pineapple pomace improves growth performance and intestinal health in weaned piglets by modulating the fecal microbiota, promoting beneficial SCFA production, and inhibiting protein putrefaction. These findings support PPC as an effective and sustainable alternative to fish meal, contributing to the development of environmentally friendly feeding strategies in pig production. Full article
Show Figures

Figure 1

16 pages, 4211 KB  
Article
Bone Growth and Development in Different Breeds of Piglets at the Early Age Is Associated with Mineral Deposition
by Md. Abul Kalam Azad, Chenjian Li, Yating Cheng, Bo Song, Sujuan Ding, Zhenlei Zhou, Qian Zhu and Xiangfeng Kong
Animals 2025, 15(24), 3536; https://doi.org/10.3390/ani15243536 - 8 Dec 2025
Viewed by 807
Abstract
The growth and development of skeletal structures in young animals are important for their overall health and productivity. Deciphering variations in bone growth among pig breeds can optimize breeding strategies and improve animal welfare. This study explored differences in the bone growth and [...] Read more.
The growth and development of skeletal structures in young animals are important for their overall health and productivity. Deciphering variations in bone growth among pig breeds can optimize breeding strategies and improve animal welfare. This study explored differences in the bone growth and development of different pig breeds at the early growth stages. A total of 120 newborn piglets from Taoyuan black (TB), Xiangcun black (XB), and Duroc piglets, from 30 sows (litter sizes 9–11), were selected to assess their bone growth and development at four different ages (including at 1, 10, 21, and 24 days old). The results showed that the bone length and weight of femur, tibia, rib, and lumbar vertebrae among different pig breeds increased with age. Compared to Duroc piglets, XB and TB piglets exhibited a shorter bone length and lighter bone weight of those four bones at different ages (p < 0.05). XB piglets showed shorter bone length of femur, tibia, and lumbar vertebrae at weaning (21 days old), and a lighter bone weight and lower bone mineral content of those three bones at weaning and three days after weaning (24 days old) compared to TB piglets (p < 0.05). Bone breaking load increased with age, with Duroc piglets exhibiting higher bone breaking load at 10 days old (p < 0.05). Bone mineral density, ash content, and Ca and P deposition varied by breed and age, and TB piglets had a higher bone mineral density at 21 days old compared to XB piglets. In summary, Chinese native piglets have slower bone growth than Duroc piglets, but TB piglets exhibit higher mineral deposition compared to XB piglets. Full article
(This article belongs to the Special Issue Advances in Pig Reproductive Endocrinology)
Show Figures

Figure 1

10 pages, 391 KB  
Communication
Effects of Dietary Alpha-Ketoglutarate Supplementation on Diarrhea Incidence and Nutrient Digestibility in Weaned Piglets Fed Low-Protein Diets
by Weiyan Sun, Ruyi Han, Kaikun Huang, Wenning Chen, Zhiwen Bian, Luca Marchetti, Hongbo Xi, Valentino Bontempo and Xianren Jiang
Vet. Sci. 2025, 12(12), 1163; https://doi.org/10.3390/vetsci12121163 - 6 Dec 2025
Viewed by 244
Abstract
Alpha-ketoglutarate (AKG) supplementation has been explored as a nutritional strategy to mitigate the negative effects of protein restriction. This study aims to evaluate the effects of supplementing a low-protein diet with AKG on growth performance, diarrhea incidence, and fecal nutrient digestibility in weaned [...] Read more.
Alpha-ketoglutarate (AKG) supplementation has been explored as a nutritional strategy to mitigate the negative effects of protein restriction. This study aims to evaluate the effects of supplementing a low-protein diet with AKG on growth performance, diarrhea incidence, and fecal nutrient digestibility in weaned piglets. A total of 60 weaned piglets (initial body weight: 7.53 kg; age: 28 days old) were randomly distributed into three dietary treatments with five replicates per group, for a 42-day experimental period. The treatments consisted of a control diet (CT), a low-protein diet (LP), and a low-protein diet supplemented with 1000 g/t AKG (AKG). Fecal samples were collected on days 40–42 to determine the apparent digestibility of nutrients. The results showed that the feed conversion rate (FCR) in LP-group piglets were significantly higher than that of the CT group (p = 0.028), while the crude protein (CP) digestibility was significantly lower in the LP group compared with the CT group (p = 0.038). However, supplementing the low-protein diet with 1000 g/t AKG effectively mitigated these negative effects. Pigs in the AKG group had reduced incidence of diarrhea between days 1 and 14 compared to CT group (p = 0.041). These findings suggest that incorporating 1000 g/t AKG into low-protein diets may reduce post-weaning diarrhea and improve growth performance of piglets. Full article
Show Figures

Figure 1

15 pages, 683 KB  
Article
Influence of Nutritional Strategies on Performance, Gut Barrier Function and Microbiota Composition in Weaned Piglets
by Sara Isusi, Guillermo Usero-Alonso, Jose Alberto Murillo, Ana Belén Gonzalez-Guijarro, Antonio Muñoz and Guillermo Ramis
Animals 2025, 15(23), 3422; https://doi.org/10.3390/ani15233422 - 27 Nov 2025
Viewed by 462
Abstract
The restriction of antibiotics and therapeutic zinc oxide in piglet diets has increased challenges related to gut health and post-weaning performance. This study assessed the effects of a diet supplemented with organic acids and the probiotic Clostridium butyricum on intestinal integrity, fecal microbiota [...] Read more.
The restriction of antibiotics and therapeutic zinc oxide in piglet diets has increased challenges related to gut health and post-weaning performance. This study assessed the effects of a diet supplemented with organic acids and the probiotic Clostridium butyricum on intestinal integrity, fecal microbiota composition, and performance parameters in weaned piglets. Forty piglets were selected at weaning, and fecal samples were collected on day 0 and day 14 of supplementation. Gene expression of tight junction proteins (zonulin, occludin) and inflammatory markers (calprotectin, IFN-γ, TGF-β) was analyzed by PCR. Bacterial DNA quantification was used to evaluate microbiota changes. In addition, average daily gain (ADG), feed conversion ratio (FCR), and mortality were recorded across three feeding phases: CONTROL, TRANSITION, and 0M. No significant changes were found in tight junction protein expression post-weaning, but reductions in IFN-γ and TGF-β suggest improved immune modulation. Piglets in the TRANSITION and 0M groups showed higher ADG (CONTROL = 292.28 g/day; TRANSITION = 300.09 g/day; 0M = 307.45 g/day) and reduced mortality (CONTROL = 6.48%; TRANSITION = 5.10%; 0M = 5.08%) compared to CONTROL. These findings indicate that targeted dietary supplementation can support gut health and performance in weaned piglets, offering a promising alternative to medicated feed under current regulatory constraints. Further research is guaranteed to refine these strategies for broader application in sustainable pig production. Full article
(This article belongs to the Special Issue Advances in Pig Microbiome: Gut Influences and Beyond)
Show Figures

Figure 1

12 pages, 1588 KB  
Article
Early-Life Socialization Enhances Social Competence and Alters Affiliative Preference in Piglets
by Lu Luo, Zhengyu Li, J. Elizabeth Bolhuis, Yuyan Wang, Dongsheng Wu, Yansen Li and Chunmei Li
Animals 2025, 15(23), 3395; https://doi.org/10.3390/ani15233395 - 24 Nov 2025
Viewed by 368
Abstract
Early-life socialization (comingling with other litters before weaning) may affect social behaviors in pigs, but whether the impacts are sex-dependent is unknown. We assessed the effects of early-life socialization on interactions and behavioral responses of female and male pigs in a controlled test [...] Read more.
Early-life socialization (comingling with other litters before weaning) may affect social behaviors in pigs, but whether the impacts are sex-dependent is unknown. We assessed the effects of early-life socialization on interactions and behavioral responses of female and male pigs in a controlled test setting. Piglets (N = 12 litters) were either comingled from 14 days of age till weaning (Socialized, SOC) or not (Control, CON). Pigs (n= 96) were weaned at 28 days of age and regrouped in mixed-sex groups of eight. At 40 days of age, pigs were individually placed in an arena with one pen mate and one unfamiliar pig of the same sex kept behind fences. Behaviors (exploring the environment, exploring the fences, social contact, aggression, etc.) were observed for 8 min. Generalized linear mixed models with treatment and sex as fixed and pen as random effects were used. Overall, males spent more time exploring the fences of conspecifics than females. Although aggression was displayed by only a small minority of pigs overall, it was more frequently directed towards unfamiliar pigs. Despite this low prevalence, SOC pigs (10.4%) were significantly less likely to show aggression towards strangers than CON pigs (27.7%) (p = 0.0217), with this effect observed irrespective of sex. Critically, a time-dependent treatment-by-sex interaction emerged for the time spent exploring the pen mate’s fence. While the interaction was only a trend over the full 8 min (p = 0.0889), it became statistically significant during the latter 4 min of the test (p = 0.049). This interaction was observed, with SOC-males spending more time on this behavior than SOC-females and all CON pigs, potentially indicating a time-specific and possible shift in social preference. General exploratory and locomotor behaviors (including walking, standing, and general exploration of the environment) were not or only minimally influenced by treatment or sex. In conclusion, early socialization has a significant impact on reducing aggression towards unfamiliar conspecifics. However, the effects on social preference and interactions appear sex-dependent, possibly indicating an enhanced preference for familiar pen mates in males under specific testing conditions. Full article
(This article belongs to the Section Pigs)
Show Figures

Figure 1

12 pages, 788 KB  
Article
Occurrence and Multi-Locus Genotyping of Giardia duodenalis in Bamaxiang Pigs in Bama Yao Autonomous County of Guangxi Province, China
by Qiaoyu Li, Wenjing Zeng, Sifan Wang, Xuanru Mu, Hui Xu, Yange Lin, Mingxin Lv, Yilong Li, Xingang Yu and Yang Hong
Vet. Sci. 2025, 12(12), 1114; https://doi.org/10.3390/vetsci12121114 - 22 Nov 2025
Viewed by 304
Abstract
Background: Giardia duodenalis is one of the most prevalent protozoan pathogens, commonly infecting a wide range of hosts including humans, livestock, companion animals, and wildlife globally. The Bamaxiang pig (Sus scrofa domesticus), a native livestock variety from China’s Guangxi region, holds [...] Read more.
Background: Giardia duodenalis is one of the most prevalent protozoan pathogens, commonly infecting a wide range of hosts including humans, livestock, companion animals, and wildlife globally. The Bamaxiang pig (Sus scrofa domesticus), a native livestock variety from China’s Guangxi region, holds significant importance in Bama Yao Autonomous County. This breed not only supports regional meat production systems but also fulfills dual roles as human companions and valuable subjects for biomedical investigations. The aim of present study was to investigate the prevalence of G. duodenalis and assess its genetic characteristics. A total of 311 fresh fecal samples were collected from three farms in Bama Yao Autonomous County. The presence and genetic diversity of G. duodenalis were determined by nested PCR and sequence analysis of the glutamate dehydrogenase (gdh), β-giardin (bg) and triose phosphate isomerase (tpi) genes. Results: The total occurrence rate of G. duodenalis in Bamaxiang Pigs was 17.36% (54/311). Among different age groups, suckling piglets exhibited the highest infection rate at 24.29% (17/70). The infection rates in the sows, fattening pigs, and weaned piglets were 20.88% (19/91), 14.10% (11/78), and 9.72% (7/72), respectively (p < 0.05). Phylogenetic analysis of sequences from three genetic loci identified two G.duodenalis genetic assemblages, namely assemblages A and E. Among them, assemblage A (n = 31) was the predominant genotype across the three farms, followed by the assemblage E (n = 21) and mixed assemblage A/E (n = 2) infections. Conclusions: This study represents the first report demonstrating that G. duodenalis infection is prevalent in Bamaxiang pigs, with variable positivity rates across different growth stages. The zoonotic assemblage A was the predominant assemblage, suggesting a potential risk of transmission to humans through close contact with this specific pig breed. The results provide basic data for controlling infections in Bamaxiang pigs. Full article
(This article belongs to the Special Issue Detection of Parasitic Diseases in Livestock)
Show Figures

Figure 1

20 pages, 1558 KB  
Review
Swine-Derived Probiotics and Their Metabolites as an Alternative to Veterinary Antibiotics
by Mengshi Zhao, Bihong Chen, Song Peng, Guiheng Mei, Meiqin Li, Fengqiang Lin, Tiecheng Sun and Zhaolong Li
Vet. Sci. 2025, 12(11), 1100; https://doi.org/10.3390/vetsci12111100 - 18 Nov 2025
Viewed by 782
Abstract
The intensive development of livestock and poultry farming has heavily relied on antibiotics, leading to widespread antimicrobial resistance and posing serious threats to food safety and public health. As the industry transitions towards reduced antibiotic use and sustainable animal production, probiotics and their [...] Read more.
The intensive development of livestock and poultry farming has heavily relied on antibiotics, leading to widespread antimicrobial resistance and posing serious threats to food safety and public health. As the industry transitions towards reduced antibiotic use and sustainable animal production, probiotics and their metabolites have garnered attention as functional alternatives. Probiotics are typically administered in the form of microecological preparations by mixing them into feed or water, offering advantages in cost-effectiveness and ease of use, with demonstrated efficacy in promoting animal health. Swine-derived probiotics, in particular, demonstrate host-specific advantages due to their natural adaptation to the porcine gastrointestinal environment, which improves intestinal colonization, pathogen inhibition, and immune modulation. Their metabolites, including short-chain fatty acids, bacteriocins, and exopolysaccharides, further contribute to these benefits through antimicrobial, anti-inflammatory, and barrier-strengthening effects. Recent studies have demonstrated improvements in average daily gain (18–22%) and feed conversion ratio (12–15%), along with a reduction in diarrhea incidence (up to 40–45%) in weaned piglets supplemented with certain probiotic consortia. It should be noted, however, that part of the supporting evidence is derived from in vitro or non-porcine models, and practical outcomes in swine may vary depending on husbandry conditions, probiotic strain, and husbandry conditions. This review systematically summarizes the isolation and identification of swine-derived probiotics, the active components and functions of their metabolites, and the mechanisms of action and application effects of these metabolites as antibiotic-alternative feed additives. It primarily focuses on innovative research advances in probiotic metabolites for enhancing antibacterial activity and improving pig growth performance. Furthermore, the review discusses the prospects for commercial applications and future research directions, aiming to provide theoretical foundations and technical references for green and healthy farming practices. Full article
Show Figures

Figure 1

20 pages, 2441 KB  
Article
Dietary Supplementation with Yak Stomach Lysozyme Improves Intestinal Health and Nutrient Metabolism in Weaned Piglets Challenged with Enterotoxigenic Escherichia coli (ETEC)
by Zaiwen Li, Lian Hu, Mengjuan Jiang, Di Zhao, Lu Yang, Yili Liu, Biao Li and Mingfeng Jiang
Animals 2025, 15(22), 3287; https://doi.org/10.3390/ani15223287 - 13 Nov 2025
Viewed by 402
Abstract
Post-weaning diarrhea caused by Enterotoxigenic Escherichia coli (ETEC) is a major disease in piglets and leads to substantial economic losses in the swine industry. Compared to conventional lysozyme, yak stomach lysozyme (YSL) demonstrates distinctive resistance to pepsin, trypsin, high temperature, and acidic conditions. [...] Read more.
Post-weaning diarrhea caused by Enterotoxigenic Escherichia coli (ETEC) is a major disease in piglets and leads to substantial economic losses in the swine industry. Compared to conventional lysozyme, yak stomach lysozyme (YSL) demonstrates distinctive resistance to pepsin, trypsin, high temperature, and acidic conditions. This study investigated the effects of dietary YSL supplementation on intestinal health in weaned piglets challenged with ETEC, utilizing metabolomics and proteomics. A total of 18 weaned piglets were randomly divided into three groups: control (C), diarrhea (D), and YSL treatment (YLT). Groups C and D were fed a basal diet, while the YLT group received the basal diet supplemented with YSL at a dosage of 100,000 U/kg following ETEC challenge. Following an acclimation period, piglets in groups D and YLT were orally challenged with ETEC, while group C received the same volume of sterile LB broth. The feeding trial lasted for 21 days before sample collection. The results demonstrated that dietary supplementation with YSL significantly reduced the diarrhea rate (p < 0.05). Compared with the D group, the YLT group exhibited significantly increased serum albumin levels (p < 0.05), along with a tendency toward greater villus height (p = 0.085) and higher serum glucose levels (p = 0.052), indicating an improvement in nutritional and metabolic status Metabolomic analysis identified 260 differentially abundant metabolites between the YLT and D groups (81 upregulated, 179 downregulated), which were predominantly enriched in pathways related to amino acid biosynthesis and metabolism, purine metabolism, and nucleic acid metabolism. Proteomic profiling revealed 571 differentially expressed proteins (237 upregulated, 334 downregulated). Upregulated proteins were mainly involved in arginine biosynthesis and base excision repair, while downregulated proteins were associated with the PPAR signaling pathway and Salmonella infection. In summary, dietary YSL supplementation alters the metabolic and proteomic profiles in the intestines of diarrheic piglets, potentially improving gut barrier function and nutrient utilization. This study offers novel insights into the potential of YSL as a promising feed additive for prevention of post-weaning diarrhea in pigs. Full article
(This article belongs to the Section Animal Nutrition)
Show Figures

Figure 1

Back to TopTop