Sign in to use this feature.

Years

Between: -

Subjects

remove_circle_outline
remove_circle_outline
remove_circle_outline
remove_circle_outline
remove_circle_outline

Journals

Article Types

Countries / Regions

Search Results (21)

Search Parameters:
Keywords = VNF placement

Order results
Result details
Results per page
Select all
Export citation of selected articles as:
27 pages, 7329 KB  
Article
Network Traffic Prediction for Multiple Providers in Digital Twin-Assisted NFV-Enabled Network
by Ying Hu, Ben Liu, Jianyong Li and Linlin Jia
Electronics 2025, 14(20), 4129; https://doi.org/10.3390/electronics14204129 - 21 Oct 2025
Abstract
This manuscript investigates the network traffic prediction problem, with the aim of predicting network traffic on a network function virtualization (NFV)-enabled and digital twin (DT)-assisted physical network for network service providers and network resource providers. It faces several key challenges like data privacy [...] Read more.
This manuscript investigates the network traffic prediction problem, with the aim of predicting network traffic on a network function virtualization (NFV)-enabled and digital twin (DT)-assisted physical network for network service providers and network resource providers. It faces several key challenges like data privacy and different variation patterns of network traffic for multiple service function chain (SFC) requests. In view of this, we address the network traffic prediction problem by jointly considering the above key challenges in this manuscript. Specifically, we formulate the virtual network function (VNF) migration and SFC placement problems as integer linear programming (ILP) that aim to maximize acceptance revenues, minimize network resource costs, minimize energy consumption, and minimize migration cost. Then, we define the Markov Decision Process (MDP) for the network traffic prediction problem, and propose a model and algorithm to solve the problem. The simulation results demonstrate that our algorithms outperform benchmark algorithms and achieve a better performance. Full article
16 pages, 1966 KB  
Article
DRL-Driven Intelligent SFC Deployment in MEC Workload for Dynamic IoT Networks
by Seyha Ros, Intae Ryoo and Seokhoon Kim
Sensors 2025, 25(14), 4257; https://doi.org/10.3390/s25144257 - 8 Jul 2025
Viewed by 615
Abstract
The rapid increase in the deployment of Internet of Things (IoT) sensor networks has led to an exponential growth in data generation and an unprecedented demand for efficient resource management infrastructure. Ensuring end-to-end communication across multiple heterogeneous network domains is crucial to maintaining [...] Read more.
The rapid increase in the deployment of Internet of Things (IoT) sensor networks has led to an exponential growth in data generation and an unprecedented demand for efficient resource management infrastructure. Ensuring end-to-end communication across multiple heterogeneous network domains is crucial to maintaining Quality of Service (QoS) requirements, such as low latency and high computational capacity, for IoT applications. However, limited computing resources at multi-access edge computing (MEC), coupled with increasing IoT network requests during task offloading, often lead to network congestion, service latency, and inefficient resource utilization, degrading overall system performance. This paper proposes an intelligent task offloading and resource orchestration framework to address these challenges, thereby optimizing energy consumption, computational cost, network congestion, and service latency in dynamic IoT-MEC environments. The framework introduces task offloading and a dynamic resource orchestration strategy, where task offloading to the MEC server ensures an efficient distribution of computation workloads. The dynamic resource orchestration process, Service Function Chaining (SFC) for Virtual Network Functions (VNFs) placement, and routing path determination optimize service execution across the network. To achieve adaptive and intelligent decision-making, the proposed approach leverages Deep Reinforcement Learning (DRL) to dynamically allocate resources and offload task execution, thereby improving overall system efficiency and addressing the optimal policy in edge computing. Deep Q-network (DQN), which is leveraged to learn an optimal network resource adjustment policy and task offloading, ensures flexible adaptation in SFC deployment evaluations. The simulation result demonstrates that the DRL-based scheme significantly outperforms the reference scheme in terms of cumulative reward, reduced service latency, lowered energy consumption, and improved delivery and throughput. Full article
Show Figures

Figure 1

17 pages, 737 KB  
Article
DRL-Based Fast Joint Mapping Approach for SFC Deployment
by You Wu, Hefei Hu and Ziyi Zhang
Electronics 2025, 14(12), 2408; https://doi.org/10.3390/electronics14122408 - 12 Jun 2025
Viewed by 445
Abstract
The rapid development of Network Function Virtualization (NFV) enables network operators to deliver customized end-to-end services through Service Function Chains (SFCs). However, existing two-stage deployment strategies fail to jointly optimize the placement of Virtual Network Functions (VNFs) and the routing of service traffic, [...] Read more.
The rapid development of Network Function Virtualization (NFV) enables network operators to deliver customized end-to-end services through Service Function Chains (SFCs). However, existing two-stage deployment strategies fail to jointly optimize the placement of Virtual Network Functions (VNFs) and the routing of service traffic, resulting in inefficient resource utilization and increased service latency. This study addresses the challenge of maximizing the acceptance rate of service requests under resource constraints and latency requirements. We propose DRL-FJM, a novel dynamic SFC joint mapping orchestration algorithm based on Deep Reinforcement Learning (DRL). By holistically evaluating network resource states, the algorithm jointly optimizes node and link mapping schemes to effectively tackle the dual challenges of resource limitations and latency constraints in long-term SFC orchestration scenarios. Simulation results demonstrate that compared with existing methods, DRL-FJM improves total traffic served by up to 42.6%, node resource utilization by 17.3%, and link resource utilization by 26.6%, while achieving nearly 100% SFC deployment success. Moreover, our analysis reveals that the proposed algorithm demonstrates strong adaptability and robustness under diverse network conditions. Full article
Show Figures

Figure 1

18 pages, 2319 KB  
Article
Handling Efficient VNF Placement with Graph-Based Reinforcement Learning for SFC Fault Tolerance
by Seyha Ros, Prohim Tam, Inseok Song, Seungwoo Kang and Seokhoon Kim
Electronics 2024, 13(13), 2552; https://doi.org/10.3390/electronics13132552 - 28 Jun 2024
Cited by 6 | Viewed by 2867
Abstract
Network functions virtualization (NFV) has become the platform for decomposing the sequence of virtual network functions (VNFs), which can be grouped as a forwarding graph of service function chaining (SFC) to serve multi-service slice requirements. NFV-enabled SFC consists of several challenges in reaching [...] Read more.
Network functions virtualization (NFV) has become the platform for decomposing the sequence of virtual network functions (VNFs), which can be grouped as a forwarding graph of service function chaining (SFC) to serve multi-service slice requirements. NFV-enabled SFC consists of several challenges in reaching the reliability and efficiency of key performance indicators (KPIs) in management and orchestration (MANO) decision-making control. The problem of SFC fault tolerance is one of the most critical challenges for provisioning service requests, and it needs resource availability. In this article, we proposed graph neural network (GNN)-based deep reinforcement learning (DRL) to enhance SFC fault tolerance (GRL-SFT), which targets the chain graph representation, long-term approximation, and self-organizing service orchestration for future massive Internet of Everything applications. We formulate the problem as the Markov decision process (MDP). DRL seeks to maximize the cumulative rewards by maximizing the service request acceptance ratios and minimizing the average completion delays. The proposed model solves the VNF management problem in a short time and configures the node allocation reliably for real-time restoration. Our simulation result demonstrates the effectiveness of the proposed scheme and indicates better performance in terms of total rewards, delays, acceptances, failures, and restoration ratios in different network topologies compared to reference schemes. Full article
(This article belongs to the Special Issue Recent Advances of Cloud, Edge, and Parallel Computing)
Show Figures

Figure 1

23 pages, 888 KB  
Article
A Meta Reinforcement Learning Approach for SFC Placement in Dynamic IoT-MEC Networks
by Shuang Guo, Yarong Du and Liang Liu
Appl. Sci. 2023, 13(17), 9960; https://doi.org/10.3390/app13179960 - 3 Sep 2023
Cited by 5 | Viewed by 2491
Abstract
In order to achieve reliability, security, and scalability, the request flow in the Internet of Things (IoT) needs to pass through the service function chain (SFC), which is composed of series-ordered virtual network functions (VNFs), then reach the destination application in multiaccess edge [...] Read more.
In order to achieve reliability, security, and scalability, the request flow in the Internet of Things (IoT) needs to pass through the service function chain (SFC), which is composed of series-ordered virtual network functions (VNFs), then reach the destination application in multiaccess edge computing (MEC) for processing. Since there are usually multiple identical VNF instances in the network and the network environment of IoT changes dynamically, placing the SFC for the IoT request flow is a significant challenge. This paper decomposes the dynamic SFC placement problem of the IoT-MEC network into two subproblems: VNF placement and path determination of routing. We first formulate these two subproblems as Markov decision processes. We then propose a meta reinforcement learning and fuzzy logic-based dynamic SFC placement approach (MRLF-SFCP). The MRLF-SFCP contains an inner model that focuses on making SFC placement decisions and an outer model that focuses on learning the initial parameters considering the dynamic IoT-MEC environment. Specifically, the approach uses fuzzy logic to pre-evaluate the link status information of the network by jointly considering available bandwidth, delay, and packet loss rate, which is helpful for model training and convergence. In comparison to existing algorithms, simulation results demonstrate that the MRLF-SFCP algorithm exhibits superior performance in terms of traffic acceptance rate, throughput, and the average reward. Full article
(This article belongs to the Special Issue Advanced Artificial Intelligence Theories and Applications)
Show Figures

Figure 1

16 pages, 4186 KB  
Article
Deep Learning-Based Symptomizing Cyber Threats Using Adaptive 5G Shared Slice Security Approaches
by Abdul Majeed, Abdullah M. Alnajim, Athar Waseem, Aleem Khaliq, Aqdas Naveed, Shabana Habib, Muhammad Islam and Sheroz Khan
Future Internet 2023, 15(6), 193; https://doi.org/10.3390/fi15060193 - 26 May 2023
Cited by 10 | Viewed by 2893
Abstract
In fifth Generation (5G) networks, protection from internal attacks, external breaches, violation of confidentiality, and misuse of network vulnerabilities is a challenging task. Various approaches, especially deep-learning (DL) prototypes, have been adopted in order to counter such challenges. For 5G network defense, DL [...] Read more.
In fifth Generation (5G) networks, protection from internal attacks, external breaches, violation of confidentiality, and misuse of network vulnerabilities is a challenging task. Various approaches, especially deep-learning (DL) prototypes, have been adopted in order to counter such challenges. For 5G network defense, DL module are recommended here in order to symptomize suspicious NetFlow data. This module behaves as a virtual network function (VNF) and is placed along a 5G network. The DL module as a cyber threat-symptomizing (CTS) unit acts as a virtual security scanner along the 5G network data analytic function (NWDAF) to monitor the network data. When the data were found to be suspicious, causing network bottlenecks and let-downs of end-user services, they were labeled as “Anomalous”. For the best proactive and adaptive cyber defense system (PACDS), a logically organized modular approach has been followed to design the DL security module. In the application context, improvements have been made to input features dimension and computational complexity reduction with better response times and accuracy in outlier detection. Moreover, key performance indicators (KPIs) have been proposed for security module placement to secure interslice and intraslice communication channels from any internal or external attacks, also suggesting an adaptive defense mechanism and indicating its placement on a 5G network. Among the chosen DL models, the CNN model behaves as a stable model during behavior analysis in the results. The model classifies botnet-labeled data with 99.74% accuracy and higher precision. Full article
(This article belongs to the Special Issue 5G Security: Challenges, Opportunities, and the Road Ahead)
Show Figures

Figure 1

20 pages, 594 KB  
Article
A Novel Strategy for VNF Placement in Edge Computing Environments
by Anselmo Luiz Éden Battisti, Evandro Luiz Cardoso Macedo, Marina Ivanov Pereira Josué, Hugo Barbalho, Flávia C. Delicato, Débora Christina Muchaluat-Saade, Paulo F. Pires, Douglas Paulo de Mattos and Ana Cristina Bernardo de Oliveira
Future Internet 2022, 14(12), 361; https://doi.org/10.3390/fi14120361 - 30 Nov 2022
Cited by 17 | Viewed by 3300
Abstract
Network function virtualization (NFV) is a novel technology that virtualizes computing, network, and storage resources to decouple the network functions from the underlying hardware, thus allowing the software implementation of such functions to run on commodity hardware. By doing this, NFV provides the [...] Read more.
Network function virtualization (NFV) is a novel technology that virtualizes computing, network, and storage resources to decouple the network functions from the underlying hardware, thus allowing the software implementation of such functions to run on commodity hardware. By doing this, NFV provides the necessary flexibility to enable agile, cost-effective, and on-demand service delivery models combined with automated management. Different management and orchestration challenges arise in such virtualized and distributed environments. A major challenge in the selection of the most suitable edge nodes is that of deploying virtual network functions (VNFs) to meet requests from multiple users. This article addresses the VNF placement problem by providing a novel integer linear programming (ILP) optimization model and a novel VNF placement algorithm. In our definition, the multi-objective optimization problem aims to (i) minimize the energy consumption in the edge nodes; (ii) minimize the total latency; and (iii) reducing the total cost of the infrastructure. Our new solution formulates the VNF placement problem by taking these three objectives into account simultaneously. In addition, the novel VNF placement algorithm leverages VNF sharing, which reuses VNF instances already placed to potentially reduce computational resource usage. Such a feature is still little explored in the community. Through simulation, numerical results show that our approach can perform better than other approaches found in the literature regarding resource consumption and the number of SFC requests met. Full article
(This article belongs to the Special Issue Distributed Systems for Emerging Computing: Platform and Application)
Show Figures

Figure 1

19 pages, 9446 KB  
Article
Optimization of 5G/6G Telecommunication Infrastructure through an NFV-Based Element Management System
by Arunkumar Arulappan, Gunasekaran Raja, Kalpdrum Passi and Aniket Mahanti
Symmetry 2022, 14(5), 978; https://doi.org/10.3390/sym14050978 - 10 May 2022
Cited by 6 | Viewed by 3455
Abstract
Network Function Virtualization (NFV) is an enabling technology that brings together automated network service management and corresponding virtualized network functions that use an NFV Infrastructure (NFVI) framework. The Virtual Network Function Manager (VNFM) placement in a large-scale distributed NFV deployment is therefore a [...] Read more.
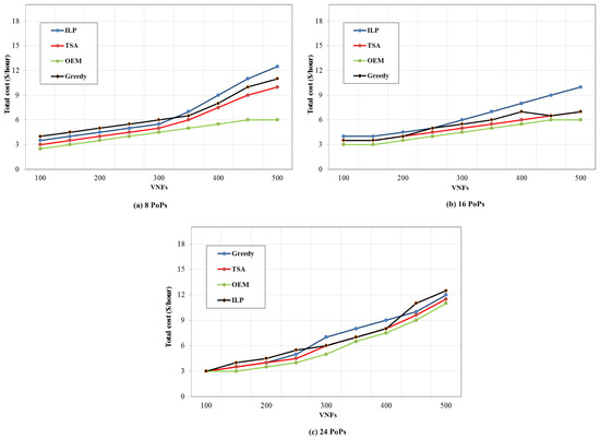
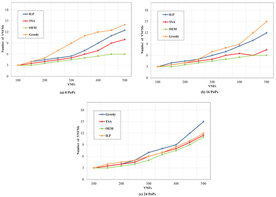
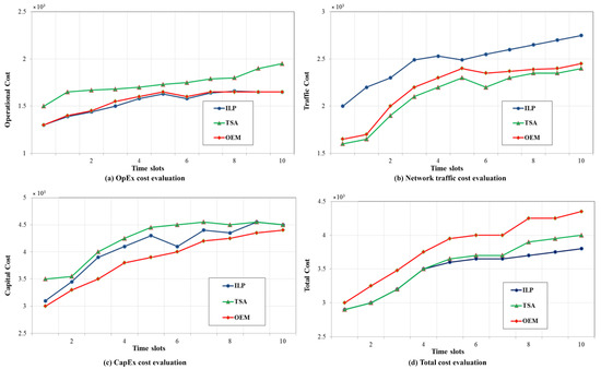
Network Function Virtualization (NFV) is an enabling technology that brings together automated network service management and corresponding virtualized network functions that use an NFV Infrastructure (NFVI) framework. The Virtual Network Function Manager (VNFM) placement in a large-scale distributed NFV deployment is therefore a challenging task due to the potential negative impact on performance and operating expense cost. The VNFM assigns Virtual Network Functions (VNFs) and operates efficiently based on network demands with resilient performance through efficient placement techniques. The degradation in performance and a tremendous increase in capital expenditure and operating expenses indicated this chaotic problem. This article proposed a method for VNFM placement using information on the resources of each nodes’ Element Manager (EM), which is an efficient method to assign VNFs to each node of element management systems. In addition, this paper proposed an Optimized Element Manager (OEM) method for looking at appropriate EMs for the placement of VNF through periodic information on available resources. It also overcomes challenges such as delays and variations in VNFs workload for edge computing and distributed cloud regions. The performance is measured based on computations performed on various optimization algorithms such as linear programming and tabu search algorithms. The advent of the new service provisioning model of BGP-EVPN for VXLAN is materialized by integrating VTS with OpenStack. The numerical analysis shows that the proposed OEM algorithm gives an optimal solution with an average gap of 8%. Full article
(This article belongs to the Section Computer)
Show Figures

Figure 1

16 pages, 398 KB  
Article
Optimizing Traffic Engineering for Resilient Services in NFV-Based Connected Autonomous Vehicles
by Tuan-Minh Pham and Thi-Minh Nguyen
Sensors 2021, 21(24), 8446; https://doi.org/10.3390/s21248446 - 17 Dec 2021
Cited by 1 | Viewed by 2965
Abstract
The massive amount of data generated daily by various sensors equipped with connected autonomous vehicles (CAVs) can lead to a significant performance issue of data processing and transfer. Network Function Virtualization (NFV) is a promising approach to improving the performance of a CAV [...] Read more.
The massive amount of data generated daily by various sensors equipped with connected autonomous vehicles (CAVs) can lead to a significant performance issue of data processing and transfer. Network Function Virtualization (NFV) is a promising approach to improving the performance of a CAV system. In an NFV framework, Virtual Network Function (VNF) instances can be placed in edge and cloud servers and connected together to enable a flexible CAV service with low latency. However, protecting a service function chain composed of several VNFs from a failure is challenging in an NFV-based CAV system (VCAV). We propose an integer linear programming (ILP) model and two approximation algorithms for resilient services to minimize the service disruption cost in a VCAV system when a failure occurs. The ILP model, referred to as TERO, allows us to obtain the optimal solution for traffic engineering, including the VNF placement and routing for resilient services with regard to dynamic routing. Our proposed algorithms based on heuristics (i.e., TERH) and reinforcement learning (i.e., TERA) provide an approximation solution for resilient services in a large-scale VCAV system. Evaluation results with real datasets and generated network topologies show that TERH and TERA can provide a solution close to the optimal result. It also suggests that TERA should be used in a highly dynamic VCAV system. Full article
(This article belongs to the Special Issue Automation and Learning in MEC and Cloud Systems)
Show Figures

Figure 1

23 pages, 1753 KB  
Article
Offline Joint Network and Computational Resource Allocation for Energy-Efficient 5G and beyond Networks
by Marios Gatzianas, Agapi Mesodiakaki, George Kalfas, Nikos Pleros, Francesca Moscatelli, Giada Landi, Nicola Ciulli and Leonardo Lossi
Appl. Sci. 2021, 11(22), 10547; https://doi.org/10.3390/app112210547 - 9 Nov 2021
Cited by 7 | Viewed by 2488
Abstract
In order to cope with the ever-increasing traffic demands and stringent latency constraints, next generation, i.e., sixth generation (6G) networks, are expected to leverage Network Function Virtualization (NFV) as an enabler for enhanced network flexibility. In such a setup, in addition to the [...] Read more.
In order to cope with the ever-increasing traffic demands and stringent latency constraints, next generation, i.e., sixth generation (6G) networks, are expected to leverage Network Function Virtualization (NFV) as an enabler for enhanced network flexibility. In such a setup, in addition to the traditional problems of user association and traffic routing, Virtual Network Function (VNF) placement needs to be jointly considered. To that end, in this paper, we focus on the joint network and computational resource allocation, targeting low network power consumption while satisfying the Service Function Chain (SFC), throughput, and delay requirements. Unlike the State-of-the-Art (SoA), we also take into account the Access Network (AN), while formulating the problem as a general Mixed Integer Linear Program (MILP). Due to the high complexity of the proposed optimal solution, we also propose a low-complexity energy-efficient resource allocation algorithm, which was shown to significantly outperform the SoA, by achieving up to 78% of the optimal energy efficiency with up to 742 times lower complexity. Finally, we describe an Orchestration Framework for the automated orchestration of vertical-driven services in Network Slices and describe how it encompasses the proposed algorithm towards optimized provisioning of heterogeneous computation and network resources across multiple network segments. Full article
(This article belongs to the Special Issue 5G and Beyond Fiber-Wireless Network Communications)
Show Figures

Figure 1

22 pages, 3576 KB  
Article
Efficient Placement of Service Function Chains in Cloud Computing Environments
by Marwa A. Abdelaal, Gamal A. Ebrahim and Wagdy R. Anis
Electronics 2021, 10(3), 323; https://doi.org/10.3390/electronics10030323 - 30 Jan 2021
Cited by 24 | Viewed by 4315
Abstract
The widespread adoption of network function virtualization (NFV) leads to providing network services through a chain of virtual network functions (VNFs). This architecture is called service function chain (SFC), which can be hosted on top of commodity servers and switches located at the [...] Read more.
The widespread adoption of network function virtualization (NFV) leads to providing network services through a chain of virtual network functions (VNFs). This architecture is called service function chain (SFC), which can be hosted on top of commodity servers and switches located at the cloud. Meanwhile, software-defined networking (SDN) can be utilized to manage VNFs to handle traffic flows through SFC. One of the most critical issues that needs to be addressed in NFV is VNF placement that optimizes physical link bandwidth consumption. Moreover, deploying SFCs enables service providers to consider different goals, such as minimizing the overall cost and service response time. In this paper, a novel approach for the VNF placement problem for SFCs, called virtual network functions and their replica placement (VNFRP), is introduced. It tries to achieve load balancing over the core links while considering multiple resource constraints. Hence, the VNF placement problem is first formulated as an integer linear programming (ILP) optimization problem, aiming to minimize link bandwidth consumption, energy consumption, and SFC placement cost. Then, a heuristic algorithm is proposed to find a near-optimal solution for this optimization problem. Simulation studies are conducted to evaluate the performance of the proposed approach. The simulation results show that VNFRP can significantly improve load balancing by 80% when the number of replicas is increased. Additionally, VNFRP provides more than a 54% reduction in network energy consumption. Furthermore, it can efficiently reduce the SFC placement cost by more than 67%. Moreover, with the advantages of a fast response time and rapid convergence, VNFRP can be considered as a scalable solution for large networking environments. Full article
(This article belongs to the Special Issue Cloud Computing and Applications)
Show Figures

Figure 1

16 pages, 1310 KB  
Article
The Value of Simple Heuristics for Virtualized Network Function Placement
by Zahra Jahedi and Thomas Kunz
Future Internet 2020, 12(10), 161; https://doi.org/10.3390/fi12100161 - 25 Sep 2020
Cited by 1 | Viewed by 2592
Abstract
Network Function Virtualization (NFV) can lower the CAPEX and/or OPEX for service providers and allow for quick deployment of services. Along with the advantages come some challenges. The main challenge in the use of Virtualized Network Functions (VNF) is the VNFs’ placement in [...] Read more.
Network Function Virtualization (NFV) can lower the CAPEX and/or OPEX for service providers and allow for quick deployment of services. Along with the advantages come some challenges. The main challenge in the use of Virtualized Network Functions (VNF) is the VNFs’ placement in the network. There is a wide range of mathematical models proposed to place the Network Functions (NF) optimally. However, the critical problem of mathematical models is that they are NP-hard, and consequently not applicable to larger networks. In wireless networks, we are considering the scarcity of Bandwidth (BW) as another constraint that is due to the presence of interference. While there exist many efforts in designing a heuristic model that can provide solutions in a timely manner, the primary focus with such heuristics was almost always whether they provide results almost as good as optimal solution. Consequently, the heuristics themselves become quite non-trivial, and solving the placement problem for larger networks still takes a significant amount of time. In this paper, in contrast, we focus on designing a simple and scalable heuristic. We propose four heuristics, which are gradually becoming more complex. We compare their performance with each other, a related heuristic proposed in the literature, and a mathematical optimization model. Our results demonstrate that while more complex placement heuristics do not improve the performance of the algorithm in terms of the number of accepted placement requests, they take longer to solve and therefore are not applicable to larger networks.In contrast, a very simple heuristic can find near-optimal solutions much faster than the other more complicated heuristics while keeping the number of accepted requests close to the results achieved with an NP-hard optimization model. Full article
(This article belongs to the Special Issue Machine Learning Advances Applied to Wireless Multi-hop IoT Networks)
Show Figures

Figure 1

22 pages, 1132 KB  
Article
VNF Placement for Service Function Chains with Strong Low-Delay Restrictions in Edge Computing Networks
by Pilar Manzanares-Lopez, Juan Pedro Muñoz-Gea and Josemaria Malgosa-Sanahuja
Appl. Sci. 2020, 10(18), 6573; https://doi.org/10.3390/app10186573 - 20 Sep 2020
Cited by 5 | Viewed by 4688
Abstract
The edge computing paradigm, allowing the location of network services close to end users, defines new network scenarios. One of them considers the existence of micro data centers, with reduced resources but located closer to service requesters, to complement remote cloud data centers. [...] Read more.
The edge computing paradigm, allowing the location of network services close to end users, defines new network scenarios. One of them considers the existence of micro data centers, with reduced resources but located closer to service requesters, to complement remote cloud data centers. This hierarchical and geo-distributed architecture allows the definition of different time constraints that can be taken into account when mapping services into data centers. This feature is especially useful in the Virtual Network Function (VNF) placement problem, where the network functions composing a Service Function Chain (SFC) may require more or less strong delay restrictions. We propose the ModPG (Modified Priority-based Greedy) heuristic, a VNF placement solution that weighs the latency, bandwidth, and resource restrictions, but also the instantiation cost of VNFs. ModPG is an improved solution of a previous proposal (called PG). Although both heuristics share the same optimization target, that is the reduction of the total substrate resource cost, the ModPG heuristic identifies and solves a limitation of the PG solution: the mapping of sets of SFCs that include a significant proportion of SFC requests with strong low-delay restrictions. Unlike PG heuristic performance evaluation, where the amount of SFC requests with strong low-delay restrictions is not considered as a factor to be analyzed, in this work, both solutions are compared considering the presence of 1%, 15%, and 25% of this type of SFC request. Results show that the ModPG heuristic optimizes the target cost similarly to the original proposal, and at the same time, it offers a better performance when a significant number of low-delay demanding SFC requests are present. Full article
(This article belongs to the Special Issue Novel Algorithms and Protocols for Networks)
Show Figures

Figure 1

18 pages, 1461 KB  
Article
VNF Chain Placement for Large Scale IoT of Intelligent Transportation
by Xing Wu, Jing Duan, Mingyu Zhong, Peng Li and Jianjia Wang
Sensors 2020, 20(14), 3819; https://doi.org/10.3390/s20143819 - 8 Jul 2020
Cited by 5 | Viewed by 4144
Abstract
With the advent of the Internet of things (IoT), intelligent transportation has evolved over time to improve traffic safety and efficiency as well as to reduce congestion and environmental pollution. However, there are some challenging issues to be addressed so that it can [...] Read more.
With the advent of the Internet of things (IoT), intelligent transportation has evolved over time to improve traffic safety and efficiency as well as to reduce congestion and environmental pollution. However, there are some challenging issues to be addressed so that it can be implemented to its full potential. The major challenge in intelligent transportation is that vehicles and pedestrians, as the main types of edge nodes in IoT infrastructure, are on the constant move. Hence, the topology of the large scale network is changing rapidly over time and the service chain may need reestablishment frequently. Existing Virtual Network Function (VNF) chain placement methods are mostly good at static network topology and any evolvement of the network requires global computation, which leads to the inefficiency in computing and the waste of resources. Mapping the network topology to a graph, we propose a novel VNF placement method called BVCP (Border VNF Chain Placement) to address this problem by elaborately dividing the graph into multiple subgraphs and fully exploiting border hypervisors. Experimental results show that BVCP outperforms the state-of-the-art method in VNF chain placement, which is highly efficient in large scale IoT of intelligent transportation. Full article
(This article belongs to the Special Issue Sensor and Communication Systems Enabling Autonomous Vehicles)
Show Figures

Figure 1

16 pages, 3567 KB  
Article
Empowering the Internet of Vehicles with Multi-RAT 5G Network Slicing
by Ramon Sanchez-Iborra, José Santa, Jorge Gallego-Madrid, Stefan Covaci and Antonio Skarmeta
Sensors 2019, 19(14), 3107; https://doi.org/10.3390/s19143107 - 13 Jul 2019
Cited by 26 | Viewed by 6163
Abstract
Internet of Vehicles (IoV) is a hot research niche exploiting the synergy between Cooperative Intelligent Transportation Systems (C-ITS) and the Internet of Things (IoT), which can greatly benefit of the upcoming development of 5G technologies. The variety of end-devices, applications, and Radio Access [...] Read more.
Internet of Vehicles (IoV) is a hot research niche exploiting the synergy between Cooperative Intelligent Transportation Systems (C-ITS) and the Internet of Things (IoT), which can greatly benefit of the upcoming development of 5G technologies. The variety of end-devices, applications, and Radio Access Technologies (RATs) in IoV calls for new networking schemes that assure the Quality of Service (QoS) demanded by the users. To this end, network slicing techniques enable traffic differentiation with the aim of ensuring flow isolation, resource assignment, and network scalability. This work fills the gap of 5G network slicing for IoV and validates it in a realistic vehicular scenario. It offers an accurate bandwidth control with a full flow-isolation, which is essential for vehicular critical systems. The development is based on a distributed Multi-Access Edge Computing (MEC) architecture, which provides flexibility for the dynamic placement of the Virtualized Network Functions (VNFs) in charge of managing network traffic. The solution is able to integrate heterogeneous radio technologies such as cellular networks and specific IoT communications with potential in the vehicular sector, creating isolated network slices without risking the Core Network (CN) scalability. The validation results demonstrate the framework capabilities of short and predictable slice-creation time, performance/QoS assurance and service scalability of up to one million connected devices. Full article
(This article belongs to the Special Issue Software Agents and Virtualization for Internet of Things)
Show Figures

Figure 1

Back to TopTop