Sign in to use this feature.

Years

Between: -

Subjects

remove_circle_outline
remove_circle_outline
remove_circle_outline
remove_circle_outline
remove_circle_outline

Journals

Article Types

Countries / Regions

Search Results (11)

Search Parameters:
Keywords = UMESHMOTION

Order results
Result details
Results per page
Select all
Export citation of selected articles as:
19 pages, 5211 KB  
Article
Predictions of Wear Performances of AlSi7Mg0.6 Cast Aluminum Alloy Under Different Displacement and Applied Load
by Guoqing Gu, Yun Ma, Fei Du and Aiguo Zhao
Materials 2026, 19(4), 752; https://doi.org/10.3390/ma19040752 - 14 Feb 2026
Viewed by 307
Abstract
AlSi7Mg0.6 aluminum alloy is widely adopted in many industrial fields due to its favorable mechanical properties and lightweight merits. In the catenary system of high-speed railways, AlSi7Mg0.6 aluminum alloy is adopted as the substrate of the positioning hook and positioning support, which exhibit [...] Read more.
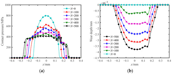
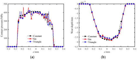
AlSi7Mg0.6 aluminum alloy is widely adopted in many industrial fields due to its favorable mechanical properties and lightweight merits. In the catenary system of high-speed railways, AlSi7Mg0.6 aluminum alloy is adopted as the substrate of the positioning hook and positioning support, which exhibit abnormal wear in some railways. Thus, it is very important to reveal the underlying wear characteristics and discover the key factors involved. In this study, the influences of displacement (0.5 mm, 1.5 mm, and 3.0 mm) and applied load (20 N, 50 N, 100 N, and 200 N) on the wear performance of AlSi7Mg0.6 aluminum alloy are investigated experimentally and numerically. Wear experiments are time-consuming and costly, but the finite element method (FEM) can effectively solve this problem. A UMESHMOTION user-defined subroutine integrated with an ABAQUS Arbitrary Lagrangian–Eulerian (ALE) adaptive mesh technique was developed to simulate the wear evolution process of the aluminum alloy under varying displacements and applied loads. The results indicate that the wear evolution process of AlSi7Mg0.6 aluminum alloy can be effectively simulated using the UMESHMOTION subroutine. The maximum wear depth (MWD) from the FEM deviates from the experimental results by no more than 10%, and the deviation is smaller than the experimental values. The largest deviation occurs when the displacement is 3.0 mm and the applied load is 100 N, where the discrepancy reaches 7.53%. The wear volume (WV) obtained from the FEM shows a deviation of less than 20% compared to experimental results. For the case with a displacement of 0.5 mm, the numerical results underestimate the wear volume, while for the case with displacements of 1.5 mm and 3.0 mm, the numerical results overestimate the wear volume. The largest deviation in this case occurs for the case with a displacement of 3.0 mm and applied loading of 100 N, with a discrepancy of 16.33%. Full article
Show Figures

Figure 1

22 pages, 6138 KB  
Article
Simulation Analysis of Non-Pneumatic Tire Wear Based on Temperature-Corrected Archard Model
by Haoze Ren, Haichao Zhou, Wei Zhang, Zhiwei Gao and Ting Xu
Machines 2026, 14(2), 168; https://doi.org/10.3390/machines14020168 - 2 Feb 2026
Viewed by 655
Abstract
Non-Pneumatic Tires (NPTs) have been recognized for their advantages, such as low rolling resistance, burst resistance, and lightweight design, which make them highly suitable for application in electric vehicles under complex conditions, including high-frequency starts and stops and high torque. However, the discontinuous [...] Read more.
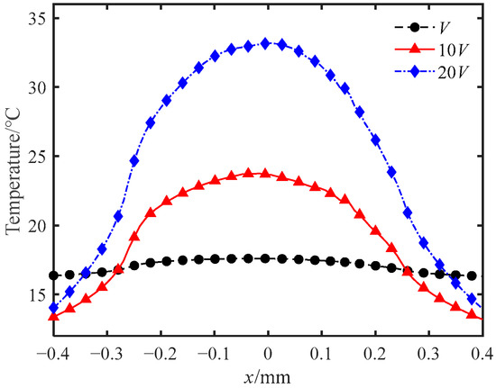
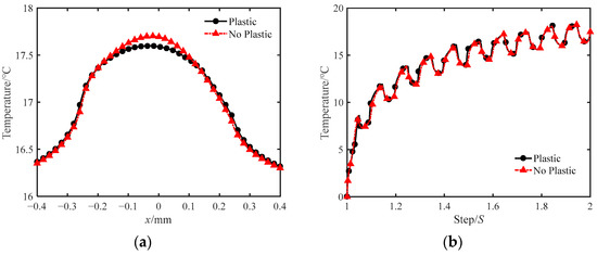
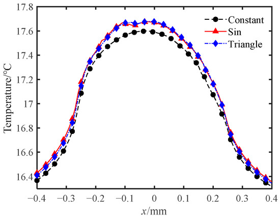
Non-Pneumatic Tires (NPTs) have been recognized for their advantages, such as low rolling resistance, burst resistance, and lightweight design, which make them highly suitable for application in electric vehicles under complex conditions, including high-frequency starts and stops and high torque. However, the discontinuous spoke support structure has resulted in a significantly higher ground contact pressure distribution compared to traditional pneumatic tires, leading to more severe wear, especially in the contact area where complex stress concentrations have occurred. Currently, the wear behavior mechanisms of NPTs have not been fully clarified, and wear simulation methods that take temperature effects into account are lacking. In this study, a temperature-modified Archard wear equation was integrated into the UMESHMOTION subroutine to achieve real-time updates of the tire surface geometry and simulate the evolution of wear. The modeling approach was validated through experimental testing. The simulation results showed that as the load increased from 100 N to 700 N, the peak ground contact pressure significantly increased, and the contact area gradually expanded, resulting in a notable increase in wear. Additionally, as the slip ratio increased from 2% to 5%, the contact stress and wear area were significantly amplified, leading to an increase in surface roughness and evident local damage. Comparative results indicated that the slip ratio had a more significant impact on wear volume than the load. The study has been conducted from a physical mechanism perspective to verify the dominant role of the slip ratio in the short-term rolling distance of tires, providing a theoretical basis for the structural optimization and wear-resistant design of non-pneumatic tires under complex operating conditions. Full article
(This article belongs to the Section Vehicle Engineering)
Show Figures

Figure 1

13 pages, 4047 KB  
Article
The Wear Behaviour of a New Eccentric Meshing Reducer with Small Teeth Difference
by Renqiang Yang, Zhengjun Guan, Dongdong Yang, Shuaidong Zou, Haifeng He and Guangjian Wang
Machines 2024, 12(9), 605; https://doi.org/10.3390/machines12090605 - 1 Sep 2024
Cited by 1 | Viewed by 1639
Abstract
Eccentric meshing reducers are widely used in agriculture, industrial robots, and other fields due to their ability to achieve a high reduction ratio within a compact volume. However, the contact wear problem seriously affects the service performance of the eccentric meshing reducer, thereby [...] Read more.
Eccentric meshing reducers are widely used in agriculture, industrial robots, and other fields due to their ability to achieve a high reduction ratio within a compact volume. However, the contact wear problem seriously affects the service performance of the eccentric meshing reducer, thereby limiting their range of applications. To effectively address this issue, this study involved a stress analysis of the contact pairs and a surface wear analysis of a new eccentric meshing reducer. The wear equation for the contact pairs was derived using Archard’s wear theory, incorporating geometric and material parameters from both the reducer gear contact pair and the spline contact pair. In parallel, a wear simulation was conducted by integrating the UMESHMOTION subprogram with ALE adaptive grids. Additionally, the effects of load amplitudes on contact pair stress and surface wear were systematically investigated. It is revealed that the contact pair stress of the reducer gear was higher than that of the spline contact pair. Furthermore, the internal spline exhibited the highest wear rate, followed by the output shaft gear, external spline, and input shaft gear, in that order. This work provides a comprehensive and in-depth understanding of the wear behaviors of general reducers with small teeth differences and offers valuable scientific references for design optimization, fault diagnosis, and maintenance strategy formulation. Full article
Show Figures

Figure 1

17 pages, 9396 KB  
Article
Finite Element Simulation of Dry Wear of Prosthesis Made of UHMWPE and 316LVM Stainless Steel
by Tomas de la Mora Ramírez, Elías Crispín López, Daniel Maldonado Onofre, Elvis Coutiño Moreno, Noé López Perrusquia, Marco A. Doñu Ruíz and Christhopher René Torres San Miguel
Coatings 2024, 14(7), 876; https://doi.org/10.3390/coatings14070876 - 12 Jul 2024
Cited by 3 | Viewed by 2456
Abstract
The study of wear is currently one of the most important aspects of applied mechanics. The damage caused by this phenomenon involves the total replacement of parts in devices ranging from industrial machinery to biomedical implants. The focus of these work is aimed [...] Read more.
The study of wear is currently one of the most important aspects of applied mechanics. The damage caused by this phenomenon involves the total replacement of parts in devices ranging from industrial machinery to biomedical implants. The focus of these work is aimed at the analysis and prediction of mechanical wear in prostheses manufactured using UHMWPE materials and 316 LVM stainless steel by means of the finite element method using Abaqus® software V. 2020. The wear mechanism between the surfaces of the UHMWPE material specimen and a 316 LVM stainless steel specimen was modeled using Archard’s wear theory to determine the parameters of damage, plastic deformation, and fatigue. The attrition process was discretized into several steps, including developing a program in Fortran code, and integrating a pre-established subroutine known as UMESHMOTION, followed by a Mesh update whenever contact nodes were deformed. For the simulation process, the variables of the thermal properties of conductivity, specific heat, and the parameters of the Johnson-Cook plastic model were taken into account. The simulation results were validated by laboratory tests. Full article
Show Figures

Graphical abstract

15 pages, 5526 KB  
Article
Frictional Study on 30CrNi2MoVA Steel Based on Experiments and Finite Element Simulation: Wear Prediction
by Ao Wei, Yiyi Li, Lianghai Feng, Yongjun Feng and Zhiwen Xie
Coatings 2024, 14(3), 265; https://doi.org/10.3390/coatings14030265 - 22 Feb 2024
Cited by 13 | Viewed by 2390
Abstract
30CrNi2MoVA steel demonstrates excellent performance, meeting the requirements of a crucial material for high-load structural parts. However, after experiencing high loads and thermal cycling, the material undergoes wear on its contact surfaces, resulting in a certain wear depth that determines its service life. [...] Read more.
30CrNi2MoVA steel demonstrates excellent performance, meeting the requirements of a crucial material for high-load structural parts. However, after experiencing high loads and thermal cycling, the material undergoes wear on its contact surfaces, resulting in a certain wear depth that determines its service life. Therefore, accurately predicting and evaluating the wear performance and wear depth of this material is of paramount importance. This study employs a combined approach of experimental and simulation methods. Initially, friction and wear tests were conducted to investigate the wear behavior of the 30CrNi2MoVA steel. The experimental results reveal a significant influence of thermal cycling temperature on the material’s wear resistance, with wear mechanisms primarily attributed to adhesive wear and abrasive wear. Subsequently, a ball-on-disc wear model was established. Based on experimental data, the modified Archard model was implemented as a user subroutine in finite element software (ABAQUS version 2020) to assess the material’s wear volume. The simulation results demonstrate a close agreement with the experimental wear depths. Furthermore, a fitting formula was developed to correlate the wear depth of the material with the number of wear cycles, enabling accurate wear depth prediction. This study provides theoretical support for enhancing the performance and extending the service life of 30CrNi2MoVA steel. Full article
(This article belongs to the Special Issue Tribological Properties and Wear Protection of Coatings and Alloys)
Show Figures

Figure 1

26 pages, 6357 KB  
Review
Application and Prospect of Wear Simulation Based on ABAQUS: A Review
by Liang Yan, Linyi Guan, Di Wang and Dingding Xiang
Lubricants 2024, 12(2), 57; https://doi.org/10.3390/lubricants12020057 - 16 Feb 2024
Cited by 24 | Viewed by 9982
Abstract
The finite element method(FEM) is a powerful tool for studying friction and wear. Compared to experimental methods, it has outstanding advantages, such as saving financial costs and time. In addition, it has been widely used in friction and wear research. This paper discusses [...] Read more.
The finite element method(FEM) is a powerful tool for studying friction and wear. Compared to experimental methods, it has outstanding advantages, such as saving financial costs and time. In addition, it has been widely used in friction and wear research. This paper discusses the application of the FEM in the study of friction and wear in terms of the finite element modeling methods, factors affecting wear behavior, wear theory, and the practical application of the method. Finally, the latest progress of finite element simulation wear research is summarized, and the future research direction is proposed. Full article
(This article belongs to the Special Issue Mechanical Tribology and Surface Technology)
Show Figures

Figure 1

18 pages, 4792 KB  
Article
Analysis of the Effect of Wear on Tire Cornering Characteristics Based on Grounding Characteristics
by Shupei Zhang, Yue Liu, Haichao Zhou, Wei Zhang, Yixiang Chen and Hongcheng Zhu
World Electr. Veh. J. 2023, 14(7), 166; https://doi.org/10.3390/wevj14070166 - 24 Jun 2023
Cited by 18 | Viewed by 5562
Abstract
Electric vehicles can lead to accelerated tire wear, an inevitable phenomenon during tire usage that can affect the cornering characteristics determining handling stability. In order to simulate tire wear, a finite element model for tire wear was established using the UMESHMOTION subroutine and [...] Read more.
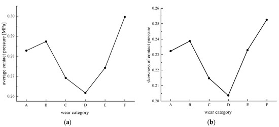
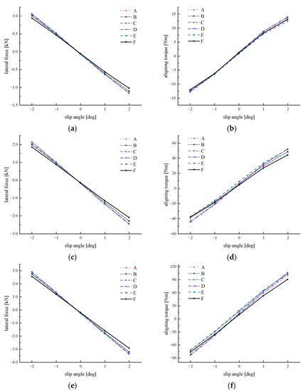
Electric vehicles can lead to accelerated tire wear, an inevitable phenomenon during tire usage that can affect the cornering characteristics determining handling stability. In order to simulate tire wear, a finite element model for tire wear was established using the UMESHMOTION subroutine and Arbitrary Lagrangian–Eulerian (ALE) adaptive meshing in ABAQUS, which is based on the Archard theory. The tire’s cornering characteristics were analyzed based on the obtained worn tire. The research results demonstrate that as the wear amount increases, the cornering stiffness and aligning stiffness of the tire also increase. When there are differences in wear on both tire shoulders with the same global wear, the change in cornering stiffness is not significant, while the aligning stiffness exhibits noticeable differences. To explain the above phenomenon, grounding characteristics were incorporated as mediator variables. The analysis results indicate that wear has an impact on the grounding characteristics. Additionally, statistically significant correlations exist between grounding parameters and cornering characteristics. In conclusion, wear affects the tire’s cornering characteristics by changing the grounding characteristics. Full article
Show Figures

Figure 1

21 pages, 9651 KB  
Article
Modelling Approaches of Wear-Based Surface Development and Their Experimental Validation
by Michael Maier, Michael Pusterhofer and Florian Grün
Lubricants 2022, 10(12), 335; https://doi.org/10.3390/lubricants10120335 - 26 Nov 2022
Cited by 5 | Viewed by 3306
Abstract
Surface topography has a significant influence on the friction behaviour in lubricated contacts. During running-in, the surface topography is continuously changed. The surface structure influences the contact stiffness (asperity contact pressure) as well as the microhydrodynamics (flow factors). In this study, different models [...] Read more.
Surface topography has a significant influence on the friction behaviour in lubricated contacts. During running-in, the surface topography is continuously changed. The surface structure influences the contact stiffness (asperity contact pressure) as well as the microhydrodynamics (flow factors). In this study, different models for wear simulation of real rough surfaces were created in Matlab© (MathWorks, Natick, MA) and Abaqus© (ABAQUS Inc., Palo Alto, CA, USA) using the Usersubroutine Umeshmotion. The arithmetic mean height Sa(wh), the maximum height Sz(wh), as well as the asperity contact pressure pasp(h,wh) as a function of the wear height (wh) are used to characterise the surface for the respective wear state. The surface characteristics obtained from the simulations are validated with parameters from experiments. The aim of this study was to create a simulation methodology for mapping surface development during the running-in process. The results show, that the qualitative course of the surface parameters can be reproduced with the applied simulation methodology. Compared to the experiments, the rough surfaces are flattened faster. By adapting the simulation results in postprocessing, good agreements with the experiments can be achieved. Full article
(This article belongs to the Special Issue Advances in Wear Predictive Models)
Show Figures

Figure 1

16 pages, 5244 KB  
Article
A Fully Coupled Tribocorrosion Simulation Method for Anchor Chain Considering Mechano-Electrochemical Interaction
by Huakun Wang, Tongmu Liu, Yao Zhang, Yesen Zhu, Fangzhou Liu and Tongyao Wang
Lubricants 2022, 10(12), 330; https://doi.org/10.3390/lubricants10120330 - 23 Nov 2022
Cited by 5 | Viewed by 2466
Abstract
This study aims at proposing a fully coupled numerical simulation method of tribocorrosion development on anchor chains during service life, where the mechano-electrochemical interaction is considered in a simplified way. The damage evolution can be realized by a user-defined UMESHMOTION FORTRAN subroutine, where [...] Read more.
This study aims at proposing a fully coupled numerical simulation method of tribocorrosion development on anchor chains during service life, where the mechano-electrochemical interaction is considered in a simplified way. The damage evolution can be realized by a user-defined UMESHMOTION FORTRAN subroutine, where both stress-accelerated corrosion and corrosion-accelerated wear can be considered. Based on this numerical method, the time-variant damage morphology of mooring chain can be obtained. Simulation results obtained by different damage evolution models are shown and compared, and some discussions on the simplified simulation method of reciprocating tribocorrosion are also presented. A systematic parametric study is carried out, and the key factors affecting the tribocorrosion of chain link are revealed. Finally, a modified design method is proposed, and it can be used for optimization of the design of marine anchor chains. Full article
Show Figures

Figure 1

16 pages, 3266 KB  
Article
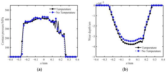
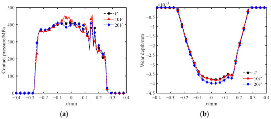
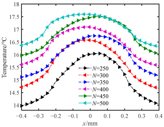
Simulation Study of Thermal–Mechanical Coupling Fretting Wear of Ti-6Al-4V Alloy
by Ling Li, Wang Zhang, Ganghua Li, Jingjing Wang, Lixia Li and Miaoxia Xie
Appl. Sci. 2022, 12(15), 7400; https://doi.org/10.3390/app12157400 - 23 Jul 2022
Cited by 11 | Viewed by 2686
Abstract
Fretting wear phenomenon has a non-negligible impact on the reliability of the contact parts of mechanical power systems. The impact of temperature increases in actual working conditions is taken into consideration in order to increase the accuracy of fretting wear prediction. Temperature-dependent wear [...] Read more.
Fretting wear phenomenon has a non-negligible impact on the reliability of the contact parts of mechanical power systems. The impact of temperature increases in actual working conditions is taken into consideration in order to increase the accuracy of fretting wear prediction. Temperature-dependent wear coefficients were added to the energy dissipation wear model, and the UMESHMOTION subroutine was created. A temperature-displacement-coupled finite element model of fretting wear is established based on a cylinder/plane fretting test of Ti-6Al-4V alloy materials. The model takes into account the interaction between temperature, stress, and wear. The effects of the plastic deformation of materials, temperature, number of cycles, fretting velocity, and variable normal load on wear and temperature rise are explored. The results show that the wear amount is small when the temperature rises, and the plastic deformation of materials is not considered. The wear profile is no longer a smooth Hertzian shape when the plastic deformation of materials is considered. The amount of wear increases with the fretting speed and the number of cycles. Meanwhile, the temperature of the contact area and the surface near the contact area increases with the increase in fretting speed. Peak temperature rise of the contact surface increases with the number of cycles, and its horizontal position moves with the cylinder specimen. Furthermore, the wear profile is less smooth under the variable normal load, but the two variable normal loads in the same phase have similar wear profiles and temperature rise distributions. The theoretical resources provided by the research work can be used to design control strategies and optimize mechanical power systems. Full article
(This article belongs to the Section Applied Thermal Engineering)
Show Figures

Figure 1

16 pages, 13493 KB  
Article
Simulation and Experimental Study on Wear of U-Shaped Rings of Power Connection Fittings under Strong Wind Environment
by Songchen Wang, Xianchen Yang, Xinmei Li, Cheng Chai, Gen Wang and Xiaohui Wang
Materials 2021, 14(4), 735; https://doi.org/10.3390/ma14040735 - 4 Feb 2021
Cited by 15 | Viewed by 2448
Abstract
The objective of this study was to investigate the wear characteristics of the U-shaped rings of power connection fittings, and to construct a wear failure prediction model of U-shaped rings in strong wind environments. First, the wear evolution and failure mechanism of U-shaped [...] Read more.
The objective of this study was to investigate the wear characteristics of the U-shaped rings of power connection fittings, and to construct a wear failure prediction model of U-shaped rings in strong wind environments. First, the wear evolution and failure mechanism of U-shaped rings with different wear loads were studied by using a swinging wear tester. Then, based on the Archard wear model, the U-shaped ring wear was dynamically simulated in ABAQUS, via the Umeshmotion subroutine. The results indicated that the wear load has an important effect on the wear of the U-shaped ring. As the wear load increases, the surface hardness decreases, while plastic deformation layers increase. Furthermore, the wear mechanism transforms from adhesive wear, slight abrasive wear, and slight oxidation wear, to serious adhesive wear, abrasive wear, and oxidation wear with the increase of wear load. As plastic flow progresses, the dislocation density in ferrite increases, leading to dislocation plugs and cementite fractures. The simulation results of wear depth were in good agreement with the test value of, with an error of 1.56%. Full article
(This article belongs to the Special Issue Damage Mechanisms and Failure Analysis in Materials)
Show Figures

Figure 1

Back to TopTop