Sign in to use this feature.

Years

Between: -

Subjects

remove_circle_outline
remove_circle_outline
remove_circle_outline
remove_circle_outline
remove_circle_outline
remove_circle_outline
remove_circle_outline
remove_circle_outline
remove_circle_outline

Journals

remove_circle_outline
remove_circle_outline
remove_circle_outline
remove_circle_outline
remove_circle_outline
remove_circle_outline
remove_circle_outline
remove_circle_outline
remove_circle_outline
remove_circle_outline
remove_circle_outline
remove_circle_outline
remove_circle_outline
remove_circle_outline
remove_circle_outline
remove_circle_outline
remove_circle_outline
remove_circle_outline

Article Types

Countries / Regions

remove_circle_outline
remove_circle_outline
remove_circle_outline
remove_circle_outline
remove_circle_outline

Search Results (952)

Search Parameters:
Keywords = TSP-1

Order results
Result details
Results per page
Select all
Export citation of selected articles as:
28 pages, 3801 KB  
Article
From Delays to Opportunities: Data-Driven Strategies for Bus Priority at Signalized Intersections
by Fabio Borghetti, Alessandro Giani, Nicoletta Matera and Michela Longo
Sustainability 2026, 18(9), 4288; https://doi.org/10.3390/su18094288 (registering DOI) - 26 Apr 2026
Abstract
Never has the analysis of bus travel times been so essential to transit planning: travelers complain about a decline in service quality, urban congestion is on the rise, and public transport companies struggle with a structural driver shortage. This research paper aims to [...] Read more.
Never has the analysis of bus travel times been so essential to transit planning: travelers complain about a decline in service quality, urban congestion is on the rise, and public transport companies struggle with a structural driver shortage. This research paper aims to address the urgent need to explore new tools to increase commercial speed on transit lines while avoiding costly, potentially inefficient technological investments. A data-driven, cost-neutral, and replicable methodological framework is proposed to provide a first-order estimation of the potential benefits of Transit Signal Priority (TSP) at signalized intersections. The approach is based on Automatic Vehicle Monitoring (AVM) data analysis, which is underpinned by a lean network representation logic built from origin/destination pairs of stops located upstream and downstream of signalized intersections. Bus travel inter-times across network arcs are compared between peak and off-peak periods through a two-level analytical process that progressively refines the estimation of recoverable delay. The methodology is applied to the urban bus network of Pavia (Italy), operated by Autoguidovie S.p.A. (one of the most important Local Public Transport companies in Italy), with a specific focus on the high-frequency PV3 line. Results indicate a potential reduction of up to approximately 6 h and 45 min of operating time per day at the line level (−13.5% of total driving time), and up to 2 min per trip along a 2 km corridor (−6% along the single corridor selected). The procedure integrates both infrastructural and operational perspectives, supporting preliminary decision-making on TSP implementation using only data already collected by transit agencies. Full article
(This article belongs to the Special Issue Sustainable and Smart Transportation Systems)
29 pages, 2502 KB  
Article
An Enhanced KNN–ConvLSTM Framework for Short-Term Bus Travel Time Prediction on Signalized Urban Arterials
by Jili Zhang, Wei Quan, Chunjiang Liu, Yuchen Yan, Baicheng Jiang and Hua Wang
Appl. Sci. 2026, 16(9), 4090; https://doi.org/10.3390/app16094090 - 22 Apr 2026
Viewed by 98
Abstract
Reliable short-term prediction of bus travel time on signalized urban arterials is essential for improving service reliability and may provide a useful forecasting basis for prediction-informed transit signal priority (TSP) and arterial coordination applications. However, bus operations on urban arterials are highly variable [...] Read more.
Reliable short-term prediction of bus travel time on signalized urban arterials is essential for improving service reliability and may provide a useful forecasting basis for prediction-informed transit signal priority (TSP) and arterial coordination applications. However, bus operations on urban arterials are highly variable due to stop dwell times, signal delays, and interactions with mixed traffic, leading to nonlinear and nonstationary travel time patterns with strong spatiotemporal dependence. This study proposes a hybrid KNN–ConvLSTM framework for short-term arterial bus travel time prediction using real-world field data. A K-nearest neighbors (KNNs) module is first employed to retrieve historical operation sequences that are most similar to the current corridor state, thereby reducing interference from mismatched traffic regimes and improving robustness. Smart-card (IC card) transaction data are incorporated as demand-related features to represent passenger activity and its impact on dwell time and travel time variability. The selected sequences are then organized into a corridor-ordered spatiotemporal representation and further refined by lightweight temporal enhancement operations, including relevance gating, multi-scale aggregation, adaptive feature fusion, and residual enhancement, before being fed into the convolutional long short-term memory (ConvLSTM) predictor. The proposed approach is evaluated using weekday service-hour data extracted from 30 days of real-world bus operation records collected from a typical urban arterial corridor in Changchun, China, and is compared with several benchmark models, including ARIMA, KNN, LSTM, CNN, ConvLSTM, Transformer, and DCRNN. The results indicate that the proposed KNN–ConvLSTM framework achieves an MAE of 40.1 s, an RMSE of 55.8 s, a SMAPE of 10.7%, and an R2 of 0.878, outperforming all benchmark models. Specifically, compared with the Transformer baseline, the proposed framework reduces MAE by 1.5%, RMSE by 5.1%, and SMAPE by 7.0%, while increasing R2 by 0.014. Compared with the DCRNN baseline, it reduces MAE by 10.7%, RMSE by 1.9%, and SMAPE by 2.7%, while increasing R2 by 0.008. These findings demonstrate that similarity-aware retrieval combined with spatiotemporal deep learning can substantially enhance short-term bus travel time prediction on signalized urban arterials. More accurate short-term forecasts may support prediction-informed transit signal priority and arterial coordination by providing more reliable downstream arrival-time estimates. However, the generalizability of the reported results is still constrained by the relatively short 30-day observation period and the single-corridor case setting, and the operational and environmental effects of downstream applications remain to be validated through dedicated closed-loop control evaluation in future work. Full article
(This article belongs to the Special Issue Smart Transportation Systems and Logistics Technology)
12 pages, 1706 KB  
Article
Transferrin Receptor Marks a Foxp3-Low Treg-like Inflammatory T Cell Subset Associated with Disease Severity in HAM/TSP
by Shinsuke Nakajima, Masaki Hino, Norihiro Takenouchi, Yoshihisa Yamano, Makoto Yamagishi, Tokifumi Odaka, Fhahira Rizkhika Admadiani, Cecile Faye, Kaoru Uchimaru, Jun-Ichi Fujisawa and Kazu Okuma
Pathogens 2026, 15(4), 450; https://doi.org/10.3390/pathogens15040450 - 21 Apr 2026
Viewed by 175
Abstract
Human T-cell leukemia virus type 1 (HTLV-1)-associated myelopathy/tropical spastic paraparesis (HAM/TSP) is a chronic inflammatory disease driven by HTLV-1-infected CD4+ T cells; however, the phenotypic and functional characteristics of disease-associated T-cell subsets remain incompletely understood. We analyzed samples using flow cytometry ( [...] Read more.
Human T-cell leukemia virus type 1 (HTLV-1)-associated myelopathy/tropical spastic paraparesis (HAM/TSP) is a chronic inflammatory disease driven by HTLV-1-infected CD4+ T cells; however, the phenotypic and functional characteristics of disease-associated T-cell subsets remain incompletely understood. We analyzed samples using flow cytometry (n = 3–5 per group) and RNA-seq (n = 13), focusing on CADM1highCD4+ T cells enriched for HTLV-1-infected cells to evaluate a transferrin receptor (TfR)-expressing subset. TfR+CADM1highCD4+ T cells were detected in both asymptomatic carriers and patients with HAM, but their frequency among CD4+ T cells was higher in HAM patients. These cells exhibited a Treg-like phenotype with higher Foxp3 and CTLA-4 expression than TfR cells and showed increased Ki-67 positivity, consistent with proliferation. Despite this phenotype, they produced interferon-γ, indicating inflammatory potential, while Foxp3 expression was lower in HAM patients than in asymptomatic carriers, suggesting a more inflammatory phenotype. Furthermore, TfR transcript levels (RNA-seq TPM) correlated with clinical indicators of disease activity, including neopterin and CXCL10 protein levels, and the Osame motor disability score. Collectively, these findings suggest that TfR identifies a proliferative, Foxp3-low, Treg-like inflammatory CD4+ T-cell subset that is associated with disease activity in HAM. Full article
(This article belongs to the Special Issue New Insights into HTLV-1-Related Inflammatory Diseases)
Show Figures

Figure 1

26 pages, 748 KB  
Article
Diversity Management Techniques for the Upper-Bounded Hamiltonian p-Median Problem
by José Alejandro Cornejo-Acosta, Carlos Segura, Jesús García-Díaz and Julio César Pérez-Sansalvador
Math. Comput. Appl. 2026, 31(2), 64; https://doi.org/10.3390/mca31020064 - 18 Apr 2026
Viewed by 219
Abstract
The Hamiltonian p-median problem (HpMP) generalizes the classical traveling salesperson (TSP) and the Hamiltonian cycle problems. The HpMP aims to find a collection of p non-intersecting cycles that span all the vertices of a given edge-weighted graph [...] Read more.
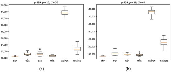
The Hamiltonian p-median problem (HpMP) generalizes the classical traveling salesperson (TSP) and the Hamiltonian cycle problems. The HpMP aims to find a collection of p non-intersecting cycles that span all the vertices of a given edge-weighted graph G=(V,E,w) while minimizing the sum of the costs of the cycles. This paper introduces a memetic algorithm (MA) with explicit diversity management for the upper-bounded HpMP (UB-HpMP), where upper-bounded means that each cycle in the solution cannot exceed a maximum number of vertices. This MA approaches the problem as a set-partitioning problem, where each cluster of the partition contains the vertices of each cycle. Moreover, it uses a novel crossover operator based on the Hungarian algorithm, exploits the Lin–Kernighan heuristic, a state-of-the-art algorithm for the TSP, and uses best-non-penalized (BNP) selection to explicitly manage the population’s diversity. The proposed MA is tested against state-of-the-art algorithms and classical techniques, including those with and without implicit diversity management, as well as an open-source heuristic solver. The computational experimentation results show that explicit diversity management has advantages over other techniques. Full article
(This article belongs to the Special Issue Numerical and Evolutionary Optimization 2025)
Show Figures

Figure 1

27 pages, 2909 KB  
Article
Integrated Spatial Planning as a Framework for Climate Adaptation in Coastal and Marine Systems
by Francisco Javier Córdoba-Donado, Vicente Negro-Valdecantos, Gregorio Gómez-Pina, Juan J. Muñoz-Pérez and Luis Juan Moreno-Blasco
J. Mar. Sci. Eng. 2026, 14(8), 732; https://doi.org/10.3390/jmse14080732 - 15 Apr 2026
Viewed by 340
Abstract
Coastal socio-ecological systems are increasingly exposed to the combined pressures of climate change, land-use intensification, hydrological alterations and expanding infrastructure networks. These pressures interact across the land–catchment–lagoon–sea continuum, generating complex feedbacks that challenge traditional planning instruments, which remain sectoral and fragmented. The Mar [...] Read more.
Coastal socio-ecological systems are increasingly exposed to the combined pressures of climate change, land-use intensification, hydrological alterations and expanding infrastructure networks. These pressures interact across the land–catchment–lagoon–sea continuum, generating complex feedbacks that challenge traditional planning instruments, which remain sectoral and fragmented. The Mar Menor (SE Spain), a semi-enclosed Mediterranean lagoon affected by intensive agriculture, urbanisation, hydrological modifications and recurrent extreme climatic events, exemplifies this systemic vulnerability. Existing planning frameworks—local urban plans, regional territorial plans, river basin management plans, maritime spatial plans and lagoon-specific strategies—operate independently, each addressing only a fragment of the system and none integrating climate change as a structuring axis. This article introduces Integrated Spatial Planning (ISP) as a novel territorial–climatic framework designed to overcome these limitations. ISP integrates climate forcing, land uses, catchment processes, lagoon dynamics, marine conditions, critical infrastructures, intermodal and energy corridors and multilevel governance into a single analytical structure. A central component of the methodology is a four-zone multilevel zoning system that connects municipal, regional, basin, marine and EEZ planning domains within a unified territorial–climatic logic. The ISP matrix is applied to the Mar Menor to produce the first holistic diagnosis of the system. Results reveal strong land–sea–catchment interactions, high climatic exposure, vulnerable infrastructures and structural governance fragmentation. The matrix exposes systemic incompatibilities and vulnerabilities that remain invisible in sectoral planning instruments. The discussion demonstrates how ISP clarifies the roles and responsibilities of each governance level, supports multilevel coherence and integrates critical infrastructures and intermodal corridors into climate-resilient planning. ISP reframes climate change as the organising principle of territorial planning and provides a replicable, scalable methodology for coastal socio-ecological systems facing accelerating climate pressures. The Mar Menor case illustrates the urgent need for integrated territorial–climatic governance and positions ISP as a scientifically robust and operationally viable pathway for long-term adaptation and resilience. Full article
(This article belongs to the Special Issue Marine Climate Models and Environmental Dynamics)
Show Figures

Graphical abstract

46 pages, 587 KB  
Review
Blockchain Technologies for eIDAS Trust Service Providers: A Review of Architectures, Use Cases, and Emerging Trust Frameworks
by Andrei Brînzea, Emil Bureacă, Răzvan-Andrei Leancă, Ștefan Arseni and Florin Pop
Appl. Sci. 2026, 16(8), 3838; https://doi.org/10.3390/app16083838 - 15 Apr 2026
Viewed by 402
Abstract
This paper presents a comprehensive review of existing research on the integration of blockchain technologies with the trust service ecosystem governed by the Electronic Identification, Authentication and Trust Services (eIDAS) Regulation of the European Union (EU). While Public Key Infrastructure (PKI) and electronic [...] Read more.
This paper presents a comprehensive review of existing research on the integration of blockchain technologies with the trust service ecosystem governed by the Electronic Identification, Authentication and Trust Services (eIDAS) Regulation of the European Union (EU). While Public Key Infrastructure (PKI) and electronic signature (ES) systems deployed under eIDAS provide strong cryptographic guarantees, standardized protocols, and cross-border legal recognition, their operational model remains largely centralized, concentrating trust in supervised authorities and service providers. This centralization raises concerns related to transparency, auditability, and resilience that blockchain, with its decentralized consensus and immutable distributed ledgers, has been increasingly explored to address. This review covers the most relevant application domains in which blockchain has been proposed as a complementary layer for Trust Service Providers (TSPs): certificate lifecycle management, remote signature services, signature preservation, signature validation, timestamping, content provenance and authenticity, and the European digital identity (EUDI) Wallet ecosystem. For each domain, this paper analyzes how blockchain can strengthen auditability and distributed trust while preserving the interoperability, legal assurance, and standards compliance required by eIDAS and ETSI (European Telecommunications Standards Institute) frameworks. A quantitative comparison of latency, throughput, and operational costs between blockchain-augmented and traditional architectures is provided, together with a technology maturity classification for each application domain. Finally, the paper identifies current limitations, including scalability, regulatory alignment, privacy constraints, and the absence of production-scale pilot data, and outlines open research challenges for the adoption of blockchain in regulated digital trust services. Full article
(This article belongs to the Special Issue Novel Approaches for Cybersecurity and Cyber Defense)
Show Figures

Figure 1

17 pages, 4020 KB  
Article
Indoor Air Filtration System Performance: Evidence from a Two-Week Office Study Within the EDIAQI Project
by Nikolina Račić, Valentino Petrić, Gordana Pehnec, Ivana Jakovljević, Marija Jelena Lovrić Štefiček, Goran Gajski, Francesco Mureddu and Mario Lovrić
Atmosphere 2026, 17(4), 393; https://doi.org/10.3390/atmos17040393 - 14 Apr 2026
Viewed by 302
Abstract
This two-week pilot study within the Horizon Europe EDIAQI project evaluated the real-life performance of portable air filtration units in two office environments (a small office and a shared kitchen) under continuous device operation and daily filter replacement. Indoor particle concentrations were monitored [...] Read more.
This two-week pilot study within the Horizon Europe EDIAQI project evaluated the real-life performance of portable air filtration units in two office environments (a small office and a shared kitchen) under continuous device operation and daily filter replacement. Indoor particle concentrations were monitored continuously using low-cost sensors (LCS) from three providers and supported by gravimetric measurements, while daily activity logs documented occupancy patterns, printing, cooking, and other source events together with purifier ON/OFF status. Particulate matter (PM) mass concentrations showed no systematic improvement during purifier ON periods; instead, temporal variability was dominated by indoor activities and episodic emissions, with occasional short-term peaks around filter replacement suggestive of minor resuspension. Chemical analysis provided a clearer picture: polycyclic aromatic hydrocarbons (PAHs) responded differently across fractions and compositions. Across monitored locations, high-molecular-weight PAHs in the PM1 fraction decreased during purifier ON periods (approximately 30% lower on average), whereas low-molecular-weight PAHs measured in total suspended particles (TSP) were higher during ON periods, indicating that semi-volatile fractions and activity/ventilation dynamics can outweigh simple filtration effects. Overall, the findings highlight a gap between laboratory-derived filtration performance metrics and outcomes in occupied, mixed-source indoor environments and emphasise the importance of device sizing, placement, airflow mixing, and complementary source control and ventilation strategies when deploying filtration-based IAQ interventions. Full article
(This article belongs to the Special Issue Emerging Technologies for Observation of Air Pollution (2nd Edition))
Show Figures

Figure 1

26 pages, 1640 KB  
Article
Integrated Optimization Framework for AS/RS: Coupling Storage Allocation, Collaborative Scheduling, and Path Planning via Hybrid Meta-Heuristics
by Dingnan Zhang, Boyang Liu, Enqi Yue and Dongsheng Wu
Appl. Sci. 2026, 16(8), 3757; https://doi.org/10.3390/app16083757 - 11 Apr 2026
Viewed by 338
Abstract
Automated Storage and Retrieval Systems (AS/RSs) are pivotal hubs in modern intelligent logistics, yet their operational efficiency is often constrained by the complex coupling of storage allocation, equipment scheduling, and path planning. This study proposes a systematic optimization framework to address these three [...] Read more.
Automated Storage and Retrieval Systems (AS/RSs) are pivotal hubs in modern intelligent logistics, yet their operational efficiency is often constrained by the complex coupling of storage allocation, equipment scheduling, and path planning. This study proposes a systematic optimization framework to address these three critical control challenges. First, a multi-objective mathematical model for storage location allocation is established, considering efficiency, stability, and correlation. To solve this high-dimensional discrete problem, a Tabu Variable Neighborhood Search (TVNS) algorithm is proposed, integrating short-term memory mechanisms with multi-structure exploration to prevent premature convergence. Second, regarding stacker crane and forklift collaborative scheduling, a Pheromone-guided Artificial Hummingbird Algorithm (PT-AHA) is introduced. By incorporating pheromone feedback into foraging behavior, the algorithm significantly enhances global search capability to minimize total task completion time. Third, stacker crane path planning is modeled as a constrained Traveling Salesman Problem (TSP) and solved using a hybrid Simulated Annealing-Whale Optimization Algorithm (SA-WOA). Quantitative simulation results demonstrate that the TVNS algorithm improves storage allocation fitness by 1.1% over standard Genetic Algorithms, while the PT-AHA reduces task completion time (Makespan) by 21.9% for small-scale batches and consistently outperforms ACO by up to 3.6% in large-scale operations. Validation through an Intelligent Warehouse Management System (WMS) confirms that the integrated framework maintains high industrial resilience by triggering fault alarms and initiating recovery within 3.2 s during simulated equipment failures, providing a robust solution for enterprise-level deployments. Full article
(This article belongs to the Section Applied Industrial Technologies)
Show Figures

Figure 1

29 pages, 5428 KB  
Article
Stability Study of Deep-Buried Tunnels Crossing Fractured Zones Based on the Mechanical Behavior of Surrounding Rock
by Rui Yang, Hanjun Luo, Weitao Sun, Jiang Xin, Hongping Lu and Tao Yang
Appl. Sci. 2026, 16(7), 3473; https://doi.org/10.3390/app16073473 - 2 Apr 2026
Viewed by 326
Abstract
To address the challenge of surrounding rock instability in deep-buried tunnels crossing fractured fault zones, this study focuses on the Xigu Tunnel of the Lanzhou–Hezuo Railway. A combination of laboratory triaxial tests, an optimized multi-source advanced geological prediction workflow, and a site-specific parameter-weakened [...] Read more.
To address the challenge of surrounding rock instability in deep-buried tunnels crossing fractured fault zones, this study focuses on the Xigu Tunnel of the Lanzhou–Hezuo Railway. A combination of laboratory triaxial tests, an optimized multi-source advanced geological prediction workflow, and a site-specific parameter-weakened Mohr–Coulomb numerical simulation is employed to systematically reveal the physical–mechanical properties, spatial distribution, and deformation response of fractured rock masses under excavation-induced disturbance. The triaxial test results show that the average peak strength of the surrounding rock reaches 149.04 MPa; however, significant variability is observed among samples, and the failure mode exhibits a typical brittle–shear composite feature. The measured cohesion and internal friction angle are 20.57 MPa and 49.91°, respectively, indicating high intrinsic strength of individual rock blocks. Nevertheless, due to the presence of densely developed joints and crushed structures, the overall mass is loose and highly sensitive to dynamic disturbances such as blasting and excavation, revealing a unique mechanical paradox of high-strength rock blocks with low overall rock mass stability in deep-buried fractured zones. Joint TSP (Tunnel Seismic Prediction Ahead) and ground-penetrating radar (GPR) prediction reveals decreased P-wave velocity, increased Poisson’s ratio, and intensive seismic reflection interfaces; a quantitative index system for identifying the boundaries of narrow deep-buried fractured zones is proposed based on these geophysical characteristics. Combined with geological face mapping, these results confirm the existence of a highly fractured zone approximately 130 m in width, characterized by well-developed joints, heterogeneous mechanical properties, and localized risks of blockfall and groundwater ingress. The developed numerical model, with parameters weakened based on triaxial test and geological prediction data, effectively reproduces the deformation law of the fractured zone, and the simulation results agree well with field monitoring data, with peak displacement concentrated at section DK4 + 595, thus accurately identifying the center of the fractured belt as a key engineering validation result of the integrated technical framework. During construction, based on the identified spatial characteristics of the fractured zone and the proposed targeted support insight, enhanced dynamic monitoring and targeted support measures at the fractured zone center are required to ensure structural safety and long-term stability of the tunnel. This study develops an integrated engineering-oriented technical framework for deep-buried tunnels crossing narrow fractured zones, and provides novel mechanical insights and quantitative identification indices for such complex geological engineering scenarios. Full article
Show Figures

Figure 1

33 pages, 1341 KB  
Review
A Comprehensive Review of Metaheuristics for the Modern Traveling Salesman Problem and Drone-Assisted Delivery
by Alessio Mezzina and Mario Pavone
Algorithms 2026, 19(4), 278; https://doi.org/10.3390/a19040278 - 2 Apr 2026
Viewed by 446
Abstract
The Traveling Salesman Problem (TSP) is a fundamental challenge in combinatorial optimization, with wide-ranging applications in logistics, manufacturing, and network design. In addition to the classical formulation, recent years have witnessed the emergence of complex variants, such as the TSP with Drones (TSP-D), [...] Read more.
The Traveling Salesman Problem (TSP) is a fundamental challenge in combinatorial optimization, with wide-ranging applications in logistics, manufacturing, and network design. In addition to the classical formulation, recent years have witnessed the emergence of complex variants, such as the TSP with Drones (TSP-D), TSP with Time Windows, and Prize-Collecting TSP, that incorporate novel constraints reflecting real-world requirements like last-mile delivery and multimodal logistics. This review presents a comprehensive survey of metaheuristic approaches for solving both the classical TSP and its emerging extensions, with particular emphasis on metaheuristic, hybrid methods, and machine learning-enhanced strategies. Recent algorithmic developments, benchmark datasets, and evaluation metrics are investigated, and critical challenges in addressing drone coordination, synchronization, and uncertainty are identified, as well. Bibliometric analysis is further provided to map research trends and the evolution of the field. By synthesizing foundational techniques and state-of-the-art innovations, this review outlines current progress and proposes future directions for metaheuristic optimization in increasingly dynamic and heterogeneous routing scenarios. Full article
Show Figures

Figure 1

26 pages, 5644 KB  
Article
Interpretable Performance Prediction for Wet Scrubbers Using Multi-Gene Genetic Programming: An Application-Oriented Study
by Linling Zhu, Ruhua Zhu, Jun Zhou, Huiqing Luo, Xiaochuan Li and Tao Wei
Mathematics 2026, 14(7), 1142; https://doi.org/10.3390/math14071142 - 29 Mar 2026
Viewed by 252
Abstract
The removal efficiency of wet scrubbers is governed by complex nonlinear interactions among operating parameters such as liquid level, airflow velocity, and dust concentration, making accurate real-time prediction challenging, which in turn leads to operational instability, increased energy consumption, and excessive emissions. To [...] Read more.
The removal efficiency of wet scrubbers is governed by complex nonlinear interactions among operating parameters such as liquid level, airflow velocity, and dust concentration, making accurate real-time prediction challenging, which in turn leads to operational instability, increased energy consumption, and excessive emissions. To address this bottleneck, we first introduce multi-gene genetic programming (MGGP) to develop interpretable models quantifying multi-parameter coupling and predicting removal efficiency for PM1, PM2.5, PM10, and TSP. Key input variables, including liquid level height, inlet airflow velocity, system pressure, and inlet dust concentration, were identified via correlation analysis. Explicit mathematical models were derived. Global sensitivity analysis using the elementary effect test (EET) identified inlet airflow velocity as most influential. Uncertainty quantification via quantile regression (QR) confirmed the model’s reliability with narrow prediction intervals and high coverage probabilities. MGGP offers a favorable balance of accuracy, generalization, and interpretability compared to extreme gradient boosting (XGBoost) and multiple nonlinear regression (MNR). Its explicit form quantifies parameter interactions, enabling efficient on-site monitoring with low computational cost. This study provides an interpretable prediction tool for intelligent wet scrubber operation, supporting cleaner production and refined control in complex industrial processes. Full article
Show Figures

Figure 1

8 pages, 741 KB  
Case Report
Immediate Quantitative Sensory Testing of the Fascial Counterstrain Method: A Case Study
by Brian Tuckey, Jay Shah and John Srbely
Lymphatics 2026, 4(2), 17; https://doi.org/10.3390/lymphatics4020017 - 26 Mar 2026
Viewed by 665
Abstract
Quantitative sensory testing (QST), including temporal summation of pain (TSP) and pressure pain threshold (PPT) assessments, was conducted to evaluate the diagnostic validity and immediate therapeutic efficacy of the manual therapy technique Fascial Counterstrain (FCS). A single patient with persistent lower back and [...] Read more.
Quantitative sensory testing (QST), including temporal summation of pain (TSP) and pressure pain threshold (PPT) assessments, was conducted to evaluate the diagnostic validity and immediate therapeutic efficacy of the manual therapy technique Fascial Counterstrain (FCS). A single patient with persistent lower back and referred leg pain was evaluated and treated by a certified FCS practitioner. A clinical diagnosis of left S1–S2 radiculitis (FCS criteria) was established and corroborated by elevated pre-treatment TSP and reduced PPT measures in the affected dermatomes, indicating nerve root irritation and central sensitization. Immediate post-treatment TSP and PPT assessments demonstrated near-complete normalization of wind-up in the involved S1 and S2 dermatomes, along with a substantial improvement in three-trial-average PPT measurements of the S1–S2 musculature from 2.4 kg/cm2 to 6.1 kg/cm2. This case report provides preliminary evidence supporting the diagnostic process and immediate post-treatment efficacy of FCS in patients with lower back pain and central sensitization. Full article
Show Figures

Figure 1

25 pages, 886 KB  
Article
Trajectory and Power Control for Sustainable UAV-Assisted NOMA-Enabled Backscattering IoT
by Tianyi Zhang, Mengqin Gu, Deepak Mishra, Jinhong Yuan and Aruna Seneviratne
Drones 2026, 10(4), 238; https://doi.org/10.3390/drones10040238 - 26 Mar 2026
Viewed by 320
Abstract
As mobile networks increasingly support sustainable and green Internet of Things (IoT) applications, energy-efficient solutions that address coverage constraints have become paramount. Although backscatter communication (BackCom) offers a low-power option for IoT devices, particularly battery-less IoT nodes, it can suffer from limited coverage. [...] Read more.
As mobile networks increasingly support sustainable and green Internet of Things (IoT) applications, energy-efficient solutions that address coverage constraints have become paramount. Although backscatter communication (BackCom) offers a low-power option for IoT devices, particularly battery-less IoT nodes, it can suffer from limited coverage. To overcome this, we exploit aerial platforms (UAVs) integrated with non-orthogonal multiple access (NOMA) to enhance both coverage and spectral efficiency. In this paper, we propose a UAV-supported NOMA-enabled BackCom system to serve massive backscatter node (BN) networks. We aim to maximize system throughput by jointly optimizing the power allocation and reflection coefficients of the BNs, along with the trajectory and data collection locations of the UAV. We derive closed-form solutions for the reflection coefficients and the optimal collection locations of the UAV and achieve global optimality in power allocation by utilizing the Karush–Kuhn–Tucker (KKT) optimality conditions in conjunction with the golden-section search (GSS). In addition, we formulate the UAV trajectory optimization problem as a Traveling Salesman Problem (TSP) and propose an efficient low-complexity genetic algorithm (GA)-based solution. The numerical results demonstrate that the proposed scheme outperforms the benchmark schemes in terms of sum-throughput rate and achieves an overall performance enhancement of 8.983 dB, underscoring the potential of our approach for large-scale battery-less IoT deployments. Full article
(This article belongs to the Special Issue IoT-Enabled UAV Networks for Secure Communication)
Show Figures

Figure 1

16 pages, 1345 KB  
Article
Airborne Pollutants and Their Relation to Pulmonary Impairment and X-Ray Repair Cross-Complementing 1 Gene Variants in Aluminum Smelter Workers
by Gehan Moubarz, Atef M. F. Mohammed, Inas A. Saleh, Amal Saad-Hussein and Heba Mahdy-Abdallah
Aerobiology 2026, 4(2), 7; https://doi.org/10.3390/aerobiology4020007 - 25 Mar 2026
Viewed by 249
Abstract
This study estimates the association between respiratory outcomes among employees of a secondary aluminum plant and airborne pollutants. Additionally, it looks into the relationship between pulmonary dysfunction in workers and X-Ray repair cross-complementing one (XRCC1) gene polymorphisms. 110 exposed workers and 58 non-exposed [...] Read more.
This study estimates the association between respiratory outcomes among employees of a secondary aluminum plant and airborne pollutants. Additionally, it looks into the relationship between pulmonary dysfunction in workers and X-Ray repair cross-complementing one (XRCC1) gene polymorphisms. 110 exposed workers and 58 non-exposed workers were enrolled in the study. Measurements were conducted on sulfur dioxide (SO2), nitrogen dioxide (NO2), and particulate particles. Pulmonary function was tested. Eosinophil cationic protein (ECP), C-reactive protein (CRP), matrix metalloproteinase-1 (MMP-1), interleukin 6 (IL6), granulocyte-macrophage colony-stimulating factor (GM-CSF), XRCC1 protein, and genotyping of XRCC1 gene polymorphisms were examined. The annual average concentrations of particulate matter (PM2.5, PM10), total suspended particulates (TSP), SO2, and NO2 were lower than the permissible limit. The areas around ovens, evaporators, and cold rolling mills exhibited the highest amounts. The majority of employees in these departments had impaired lung function. Prolonged exposure was associated with a significant decrease in forced expiratory volume in 1 s (FEV1%) and forced vital capacity (FVC%) among the exposed group (p = 0.001 & 0.04, respectively). Serum XRCC1 levels were significantly higher among exposed workers (p = 0.02). Inflammatory biomarkers showed no statistically significant differences between groups. Aluminum workers are at risk of developing respiratory disorders. The level of serum XRCC1 may serve as a potential biomarker for detecting susceptible workers. Full article
Show Figures

Figure 1

21 pages, 8535 KB  
Article
Seasonal Variability in the Particulate Matter Removal Efficiency of Different Urban Plant Communities: A Case Study
by Yan Gui and Likai Lin
Atmosphere 2026, 17(4), 334; https://doi.org/10.3390/atmos17040334 - 25 Mar 2026
Viewed by 344
Abstract
Driven by rapid global urbanization and expanding urban footprints, air pollution, particularly from industrial emissions and vehicular exhaust, has intensified, with rising concentrations of inhalable particulate matter (PM) posing direct threats to public health. To address this challenge, we conducted field measurements of [...] Read more.
Driven by rapid global urbanization and expanding urban footprints, air pollution, particularly from industrial emissions and vehicular exhaust, has intensified, with rising concentrations of inhalable particulate matter (PM) posing direct threats to public health. To address this challenge, we conducted field measurements of ambient PM concentrations across diverse urban plant communities and quantitatively compared their capacity to mitigate four key size-fractionated pollutants: total suspended particles (TSPs), PM10, PM2.5, and PM1. Our objective was to identify the most effective plant community type for PM abatement in urban settings. Results demonstrate that: (1) evergreen broad-leaved forests exhibit the highest overall PM removal efficiency among all studied communities; (2) removal efficacy declines markedly with decreasing particle size, indicating limited capacity to capture ultrafine particles (e.g., PM1); and (3) seasonal performance peaks in summer, especially for deciduous broad-leaved forests attributable to maximal leaf area index, enhanced stomatal activity, and favorable meteorological conditions. By rigorously evaluating species composition, canopy structure, and seasonal dynamics, this study provides empirically grounded guidance for evidence-based urban greening strategies aimed at optimizing airborne particulate mitigation worldwide. Full article
(This article belongs to the Section Air Pollution Control)
Show Figures

Figure 1

Back to TopTop