Airborne Pollutants and Their Relation to Pulmonary Impairment and X-Ray Repair Cross-Complementing 1 Gene Variants in Aluminum Smelter Workers
Abstract
1. Introduction
2. Materials and Methods
2.1. Study Design
2.2. Description of Monitoring Sites
2.3. Aerobiological Monitoring
2.4. Subjects
- Exposed group: 110 workers from the production line (melting ovens, cold rolling mill, gravity die casting, evaporators, and painting areas).
- Non-exposed group: 58 administrative employees.
- Personal data: age, sex, socioeconomic background, and smoking history.
- Occupational and environmental history: duration of exposure (years), shift duration (hours/day), and type of exposure (current and past).
2.5. Measurement of Pulmonary Function
2.6. Biological Monitoring
- ⮚
- Estimation of Interleukin 6 (IL6), Macrophages-colony stimulating factor (GM-CSF), Eosinophil cationic protein (ECP), C-reactive protein (CRP), Matrix metalloproteinase-1 (MMP-1), and X-Ray Repair Cross Complementing 1 (XRCC1) protein levels in serum by sandwich enzyme-linked immunosorbent assay (ELISA) according to manufacturer’s instruction (SinoGeneClon Biotech Co., Ltd., Hangzhou, China).
- ⮚
- Genotyping of XRCC1 gene polymorphisms; Arg194Trp in exon 6 (rs1799782) and Arg399Gln in exon 10 (rs25487) using the polymerase chain reaction–restriction fragment-length polymorphism (PCR–RFLP) method as previously described by Xing et al. [28]. Genomic DNA was isolated from blood samples collected from workers using the QIAamp DNA Blood Mini kit following the manufacturer’s protocol and quantified using a spectrophotometer and stored at −20 °C.
2.7. Statistical Analysis
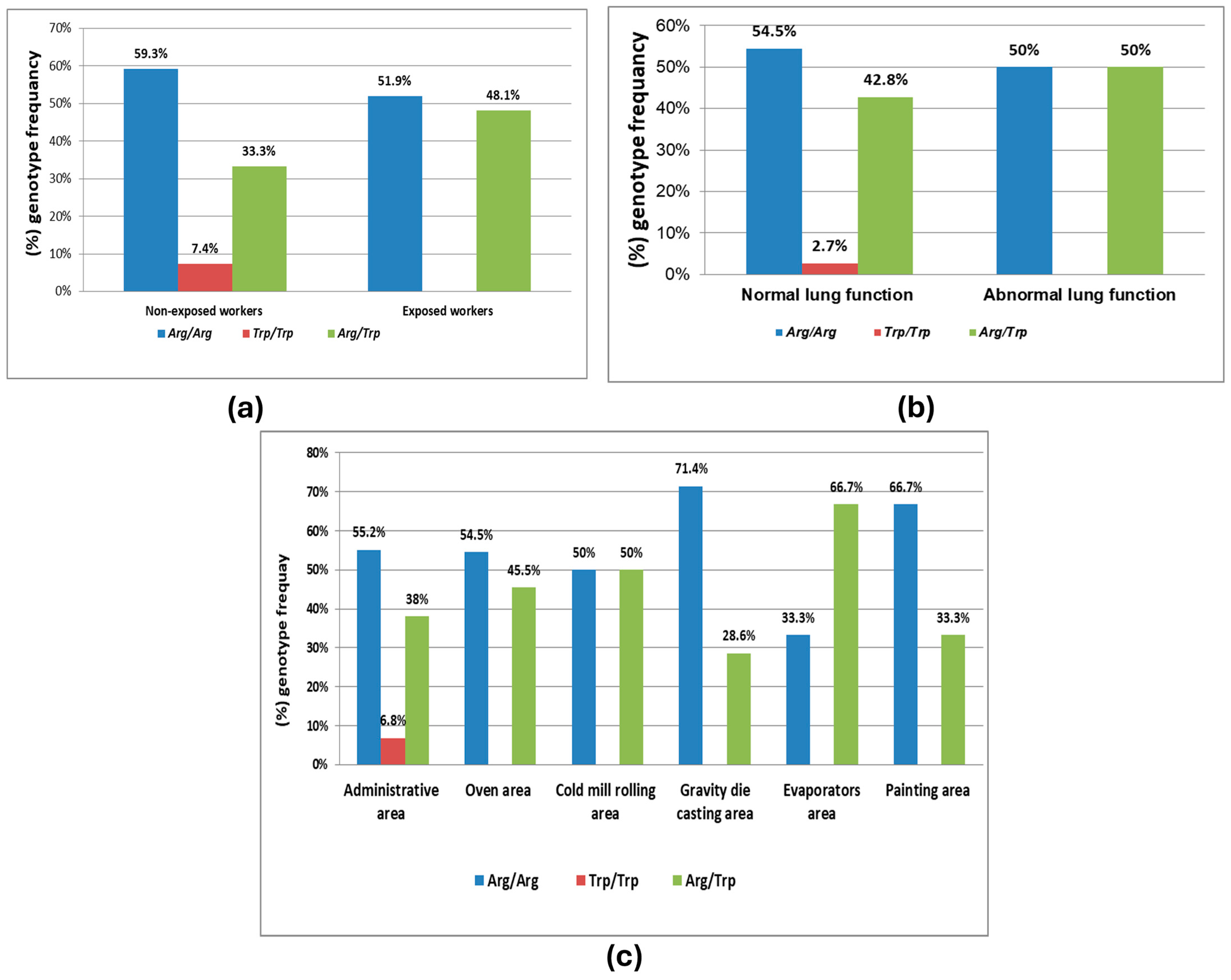
3. Results
Aerobiological Monitoring Results
4. Discussion
5. Conclusions
Author Contributions
Funding
Institutional Review Board Statement
Informed Consent Statement
Data Availability Statement
Acknowledgments
Conflicts of Interest
References
- Mahalingam, S.; Ramsundram, N.; Sathyamoorthy, G.L. Particulate matter and its health effects—A Review. IJRMETS 2020, 2. [Google Scholar]
- World Health Organization. Ambient (Outdoor) Air Pollution; World Health Organization: Geneva, Switzerland, 2021; Available online: https://www.who.int/news-room/fact-sheets/detail/ambient-(outdoor)-air-quality-and-health (accessed on 8 May 2025).
- Miller, F.J.; Asgharian, B.; Schroeter, J.D.; Price, O. Improvements and additions to the multiple path particle dosimetry model. J. Aerosol Sci. 2016, 99, 14–26. [Google Scholar] [CrossRef]
- Gross, A.; Tham, R.; Dharmage, S.C.; Röösli, M.; Frey, U.; Gorlanova, O. Exposure to long-term ambient air pollution and lung function in adults: A systematic review and meta-analysis. Eur. Respir. Rev. Off. J. Eur. Respir. Soc. 2025, 34, 240264. [Google Scholar] [CrossRef]
- Paulin, L.; Hansel, N. Particulate air pollution and impaired lung function. F1000Research 2016, 5, 201. [Google Scholar] [CrossRef]
- Gutowski, T.G.; Sahni, S.; Allwood, J.M.; Ashby, M.F.; Worrell, E. The energy required to produce materials: Constraints on energy-intensity improvements, parameters of demand. Philos. Trans. R. Soc. A 2013, 371, 20120003. [Google Scholar] [CrossRef] [PubMed]
- Abdollahi, J.; Emrani, N.; Chahkandi, B.; Montazeri, A.; Gheibi, M. Environmental impact assessment of aluminium production using the life cycle assessment tool and multi-criteria analysis. Ann. Environ. Sci. Toxicol. 2021, 5, 59–66. [Google Scholar] [CrossRef]
- Donoghue, A.M.; Frisch, N.; Ison, M.; Walpole, G.; Capil, R.; Curl, C. Occupational asthma in the aluminium smelters of Australia and New Zealand: 1991–2006. Am. J. Ind. Med. 2011, 54, 224–231. [Google Scholar] [CrossRef]
- Berumen-Rodríguez, A.A.; de León-Martínez, L.D.; Zamora-Mendoza, B.N.; Orta-Arellanos, H.; Saldaña-Villanueva, K.; Barrera-López, V.; Gómez-Gómez, A.; Pérez-Vázquez, F.J.; Díaz-Barriga, F.; Flores-Ramírez, R. Evaluation of respiratory function and biomarkers of exposure to mixtures of pollutants in brick-kiln workers from a marginalized urban area in Mexico. Environ. Sci. Pollut. Res. 2021, 28, 67833–67842. [Google Scholar] [CrossRef] [PubMed]
- Moubarz, G.; Saad-Hussein, A.; Shahy, E.M.; Mahdy-Abdallah, H.; Mohammed, A.M.F.; Saleh, I.A.; Abo-Zeid, M.A.M.; Abo-Elfadl, M.T. Lung cancer risk in workers occupationally exposed to polycyclic aromatic hydrocarbons with emphasis on the role of DNA repair gene. Int. Arch. Occup. Environ. Health 2023, 96, 313–329. [Google Scholar] [CrossRef] [PubMed]
- Liu, S.K.; Cai, S.; Chen, Y.; Xiao, B.; Chen, P.; Xiang, X.D. The effect of pollutional haze on pulmonary function. J. Thorac. Dis. 2016, 8, E41–E56. [Google Scholar] [CrossRef]
- Voiriot, G.; Razazi, K.; Amsellem, V.; Tran Van Nhieu, J.; Abid, S.; Adnot, S.; Mekontso Dessap, A.; Maitre, B. Interleukin-6 displays lung anti-inflammatory properties and exerts protective hemodynamic effects in a double-hit murine acute lung injury. Respir. Res. 2017, 18, 64. [Google Scholar] [CrossRef]
- Kim, J.; Lee, J.; Lee, S. Fine particulate matter induces oxidative stress and interleukin-6 production through the NF-κB pathway in human airway epithelial cells. Environ. Pollut. 2023, 326, 121460. [Google Scholar] [CrossRef]
- Sproston, N.R.; Ashworth, J. Role of C-reactive protein at sites of inflammation and infection. Front. Immunol. 2018, 9, 754. [Google Scholar] [CrossRef] [PubMed]
- Vlahos, R.; Bozinovski, S.; Chan, S.P.; Ivanov, S.; Lindén, A.; Hamilton, J.A. Neutralizing granulocyte/macrophage colony-stimulating factor inhibits cigarette smoke-induced lung inflammation. Am. J. Respir. Crit. Care Med. 2010, 182, 34–40. [Google Scholar] [CrossRef] [PubMed]
- Trulson, A.; Byström, J.; Engström, Å.; Larsson, R.; Venge, P. The functional heterogeneity of eosinophil cationic protein is determined by a gene polymorphism and post-translational modifications. Clin. Exp. Allergy 2007, 37, 208–218. [Google Scholar] [CrossRef]
- Bortkiewicz, A.; Gadzicka, E.; Stroszejn Mrowca, G.; Szyjkowska, A.; Szymczak, W.; Koszada Włodarczyk, W.; Szadkowska Stańczyk, I. Cardiovascular changes in workers exposed to fine particulate dust. Int. J. Occup. Med. Environ. Health 2014, 27, 78–92. [Google Scholar] [CrossRef]
- Hu, P.; Li, Z.; Hu, A.; Gong, Y.; Huang, X.; Zhong, M.; Li, X.; Zhong, C.; Liu, S.; Hong, J.; et al. Are workers also vulnerable to the impact of ambient air pollution? Insight from a large-scale ventilatory exam. Sci. Total Environ. 2024, 947, 174634. [Google Scholar] [CrossRef]
- Gawda, A.; Kozlowski, P.; Kowalski, M.L. Occupational exposure to airborne pollutants and respiratory health. Int. J. Occup. Med. Environ. Health 2019, 32, 133–147. [Google Scholar]
- Ghio, A.J.; Carraway, M.S.; Madden, M.C. Composition of air pollution particles and oxidative stress in cells, tissues, and living systems. J. Toxicol. Environ. Health Part B Crit. Rev. 2012, 15, 1–21. [Google Scholar] [CrossRef]
- Kubota, Y.; Nash, R.A.; Klungland, A.; Schär, P.; Barnes, D.E.; Lindahl, T. Reconstitution of DNA base excision-repair with purified human proteins: Interaction between DNA polymerase beta and the XRCC1 protein. EMBO J. 1996, 15, 6662–6670. [Google Scholar] [CrossRef]
- Thompson, L.H.; West, M.G. XRCC1 keeps DNA from getting stranded. Mutat Res. DNA Repair 2000, 459, 1–18. [Google Scholar] [CrossRef]
- Caldecott, K.W. XRCC1 and DNA strand break repair. DNA Repair 2003, 2, 955–969. [Google Scholar] [CrossRef]
- London, R.E. The structural basis of XRCC1-mediated DNA repair. DNA Repair 2015, 30, 90–103. [Google Scholar] [CrossRef]
- Mateuca, R.; Lombaert, N.; Aka, P.V.; Decordier, I.; Kirsch-Volders, M. Chromosomal changes: Induction, detection methods and applicability in human biomonitoring. Biochimie 2006, 88, 1515–1531. [Google Scholar] [CrossRef]
- Velmurugan, S.; Ganesan, K.; Rajendran, R.; Subbaraj, G.K. The X-ray repair cross-completing gene 1 (XRCC1) polymorphisms and lung cancer incidence—A confirmatory umbrella review of observational evidence. Eur. J. Clin. Exp. Med. 2025, 23, 245–256. [Google Scholar] [CrossRef]
- American Thoracic Society (ATS). Chronic obstructive pulmonary disease (COPD). Am. J. Respir. Crit. Care Med. 2019, 199, P1–P2. [Google Scholar] [CrossRef] [PubMed]
- Xing, D.; Qi, J.; Miao, X.; Lu, W.; Tan, W.; Lin, D. Polymorphisms of DNA repair genes XRCC1 and XPD and their associations with risk of esophageal squamous cell carcinoma in a Chinese population. Int. J. Cancer 2002, 100, 600–605. [Google Scholar] [CrossRef] [PubMed]
- Egyptian Environmental Law 4 1994. Available online: https://www.eeaa.gov.eg (accessed on 1 November 2024).
- Ivester, K.M.; Couëtil, L.L.; Moore, G.E.; Zimmerman, N.J.; Raskin, R.E. Environmental exposures and airway inflammation in young thoroughbred horses. J. Vet. Intern. Med. 2014, 28, 918–924. [Google Scholar] [CrossRef]
- Nkhama, E.; Ndhlovu, M.; Dvonch, J.T.; Lynam, M.; Mentz, G.; Siziya, S. Effects of airborne particulate matter on respiratory health in a community near a cement factory in Chilanga, Zambia: Results from a panel study. Int. J. Environ. Res. Public Health 2017, 14, 1351. [Google Scholar] [CrossRef]
- Worobiec, A.; Potgieter-Vermaak, S.S.; Berghmans, P.; Winkler, H.; Burger, R.; Van Grieken, R. Air particulate emissions in developing countries: A case study in South Africa. Anal. Lett. 2011, 44, 1907–1924. [Google Scholar] [CrossRef]
- Wichmann, J.; Voyi, K. Ambient air pollution exposure and respiratory, cardiovascular and cerebrovascular mortality in Cape Town, South Africa: 2001–2006. Int. J. Environ. Res. Public Health 2012, 9, 3978–4016. [Google Scholar] [CrossRef]
- Martin, S.C. Community health risk assessment of primary aluminum smelter emissions. J. Occup. Environ. Med. 2014, 56, S33–S39. [Google Scholar] [CrossRef] [PubMed]
- Neophytou, A.M.; Costello, S.; Picciotto, S. Accelerated lung function decline in an aluminum manufacturing industry cohort exposed to PM2.5: An application of the parametric g-formula. Occup. Environ. Med. 2019, 76, 888–894. [Google Scholar] [CrossRef]
- Bagula, H.; Toyib, O.; de Hoogh, K.; Saucy, A.; Parker, B.; Leaner, J.; Röösli, M.; Dalvie, A.M. Ambient air pollution and cardiorespiratory outcomes amongst adults residing in four informal settlements in the Western Province of South Africa. Int. J. Environ. Res. Public Health 2021, 18, 13306. [Google Scholar] [CrossRef]
- Robinson, N.E.; Berney, C.; Eberhart, S. Coughing, mucus accumulation, airway obstruction, and airway inflammation in control horses and horses affected with recurrent airway obstruction. Am. J. Vet. Res. 2003, 64, 550–557. [Google Scholar] [CrossRef]
- Gerber, V.; Lindberg, A.; Berney, C. Airway mucus in recurrent airway obstruction: Short-term response to environmental challenge. J. Vet. Intern. Med. 2004, 18, 92–97. [Google Scholar] [CrossRef]
- Falcon-Rodriguez, C.I.; Osornio-Vargas, A.R.; Sada-Ovalle, I.; Segura-Medina, P. Aeroparticles, composition, and lung diseases. Front. Immunol. 2016, 7, 3. [Google Scholar] [CrossRef] [PubMed]
- Sunarsih, E.; Suheryanto, S.; Rini, M.; Garmini, R. Risk model of air pollution exposure (NO2, SO2, TSP and dust) and smoking habits to the lung function of bus drivers in Palembang City. Kesmas Nat. Public Health J. 2014, 13, 204. [Google Scholar] [CrossRef]
- Platel, A.; Privat, K.; Talahari, S. Study of in vitro and in vivo genotoxic effects of air pollution fine and quasi-ultrafine particles on lung models. Sci. Total Environ. 2020, 711, 134666. [Google Scholar] [CrossRef] [PubMed]
- Santovito, A.; Gendusa, C.; Cervella, P.; Traversi, D. In vitro genomic damage induced by urban fine particulate matter on human lymphocytes. Sci. Rep. 2020, 10, 8853. [Google Scholar] [CrossRef]
- De Oliveira Alves, N.; Martins Pereira, G.; Di Domenico, M.; de Castro Vasconcellos, P.; Saldiva, P. Inflammatory response, oxidative stress and DNA damage caused by urban air pollution exposure increase in the lack of DNA repair XPC protein. Environ. Int. 2020, 145, 106150. [Google Scholar] [CrossRef]
- Campalans, A.; Marsin, S.; Nakabeppu, Y.; O’Connor, T.R.; Boiteux, S.; Radicella, J.P. XRCC1 interactions with multiple DNA glycosylases: A model for its recruitment to base excision repair. DNA Repair. 2005, 4, 826–835. [Google Scholar] [CrossRef] [PubMed]
- Moubarz, G.; Mohammed, A.M.F.; Saleh, I.A.; Shahy, E.M.; Helmy, M.A. Nephrotoxic effect of heavy metals and the role of DNA repair gene among secondary aluminum smelter workers. Environ. Sci. Pollut. Res. 2023, 30, 29814–29823. [Google Scholar] [CrossRef]
- Niu, B.Y.; Li, W.K.; Li, J.S.; Hong, Q.H.; Khodahemmati, S.; Gao, J.F.; Zhou, Z.X. Effects of DNA Damage and Oxidative Stress in Human Bronchial Epithelial Cells Exposed to PM2.5 from Beijing, China, in Winter. Int. J. Environ. Res. Public Health 2020, 17, 4874. [Google Scholar] [CrossRef]
- Zhang, J.; Zeng, X.T.; Lei, J.R. No association between XRCC1 gene Arg194Trp polymorphism and risk of lung cancer: Evidence based on an updated cumulative meta-analysis. Tumour Biol. 2014, 35, 5629–5635. [Google Scholar] [CrossRef]
- Huang, G.; Cai, S.; Wang, W. Association between XRCC1 and XRCC3 polymorphisms with lung cancer risk: A meta-analysis. PLoS ONE 2013, 8, e68457. [Google Scholar] [CrossRef] [PubMed]
- Zhou, L.; Xia, J.; Li, H. Association of XRCC1 variants with acute skin reaction after radiotherapy in breast cancer patients. Cancer Biother. Radiopharm. 2010, 25, 681–685. [Google Scholar] [PubMed]




| XRCC1 Gene | Primer Sequences | Annealing Temperature | Restriction Enzyme | Allele Size |
|---|---|---|---|---|
| Arg194Trp (rs1799782) | F: 5′- GCCAGGGCCCCTCCTTCAA-3′ R: 5′-TACCCTCAGACCCACGAGT-3′ | 57 | PvuII | 485, 396 bp |
| Arg399Gln (rs25487) | F: 5′-TTG TGC TTT CTC TGT GTC CA-3′ R: 5′-TCC TCC AGC CTT TTC TGA TA-3′ | 68 | MspI | 615, 374, 221 bp |
| Diagnosis of PFTs | Chi Square | p-Value | |||||
|---|---|---|---|---|---|---|---|
| Normal Lung Function (148) | Severe Obstruction (8) | Severe Restriction and Severe Obstruction (12) | |||||
| Departments | Administrative office area (58) | No | 58 | 0 | 0 | 23.07 * | 0.01 |
| % | 39.2% | 0.0% | 0.0% | ||||
| Oven area (66) | No | 52 | 6 | 8 | |||
| % | 35% | 75.0% | 66.7% | ||||
| Cold mill rolling area (6) | No | 2 | 0 | 4 | |||
| % | 1.4% | 0.0% | 33.3% | ||||
| Gravity die casting area (14) | No | 14 | 0 | 0 | |||
| % | 9.5% | 0.0% | 0.0% | ||||
| Evaporators area (18) | No | 16 | 2 | 0 | |||
| % | 10.8% | 25.0% | 0.0% | ||||
| Painting area (6) | No | 6 | 0 | 0 | |||
| % | 4.1% | 0.0% | 0.0% | ||||
| Exposure to air emissions | Non-exposed workers (58) | No | 58 | 0 | 0 | 9.17 * | 0.01 |
| % | 39.2% | 0% | 0% | ||||
| Exposed workers (110) | No | 90 | 8 | 12 | |||
| % | 60.8% | 100% | 100% | ||||
| Non-Exposed Workers (58) | Exposed Workers (110) | Independent t-Test | ||||
|---|---|---|---|---|---|---|
| Mean | ±SD | Mean | ±SD | t-Test | p-Value | |
| FEV1% of predicted | 104.7 | 15.8 | 93.1 | 14.8 | 3.341 | 0.001 |
| FVC% of predicted | 89.3 | 14.2 | 83.4 | 12.1 | 1.99 | 0.04 |
| FEV1/FVC% | 93.8 | 5.4 | 92.1 | 9.3 | 0.945 | 0.347 |
| PEF% of predicted | 75.3 | 23.4 | 68.4 | 22.5 | 1.33 | 0.187 |
| MEF25%of Predicted | 168.6 | 55.3 | 149.8 | 51.5 | 1.55 | 0.125 |
| Non-Exposed Workers (58) | Exposed Workers (110) | Independent t-Test | ||||
|---|---|---|---|---|---|---|
| Mean | SD | Mean | SD | t-Test | p-Value | |
| XRCC1 protein ng/L | 1284.2 | 138.9 | 1941.6 | 241.4 | 2.360 | 0.02 |
| IL6 ng/L | 11.4 | 0.8 | 10.1 | 0.6 | 1.238 | 0.219 |
| GM/CSF ng/L | 120.5 | 5.9 | 129.0 | 10.9 | −0.687 | 0.494 |
| ECP ng/L | 17.9 | 1.7 | 22.8 | 3.0 | −1.129 | 0.262 |
| CRP ng/mL | 8639.9 | 455.2 | 8896.2 | 347.9 | −0.440 | 0.661 |
| MMP1 ng/L | 11.8 | 1.1 | 13.9 | 1.1 | −1.175 | 0.244 |
| FEV1% of Predicted | FVC% of Predicted | FEV1/FVC% | PEF% of Predicted | MEF25%of Predicted | ||
|---|---|---|---|---|---|---|
| Duration of exposure | Pearson Correlation | −0.1 | 0.1 | −0.5 ** | −0.2 | −0.2 |
| Sig. (2-tailed) | 0.546 | 0.550 | 0.0001 | 0.152 | 0.115 | |
Disclaimer/Publisher’s Note: The statements, opinions and data contained in all publications are solely those of the individual author(s) and contributor(s) and not of MDPI and/or the editor(s). MDPI and/or the editor(s) disclaim responsibility for any injury to people or property resulting from any ideas, methods, instructions or products referred to in the content. |
© 2026 by the authors. Licensee MDPI, Basel, Switzerland. This article is an open access article distributed under the terms and conditions of the Creative Commons Attribution (CC BY) license.
Share and Cite
Moubarz, G.; Mohammed, A.M.F.; Saleh, I.A.; Saad-Hussein, A.; Mahdy-Abdallah, H. Airborne Pollutants and Their Relation to Pulmonary Impairment and X-Ray Repair Cross-Complementing 1 Gene Variants in Aluminum Smelter Workers. Aerobiology 2026, 4, 7. https://doi.org/10.3390/aerobiology4020007
Moubarz G, Mohammed AMF, Saleh IA, Saad-Hussein A, Mahdy-Abdallah H. Airborne Pollutants and Their Relation to Pulmonary Impairment and X-Ray Repair Cross-Complementing 1 Gene Variants in Aluminum Smelter Workers. Aerobiology. 2026; 4(2):7. https://doi.org/10.3390/aerobiology4020007
Chicago/Turabian StyleMoubarz, Gehan, Atef M. F. Mohammed, Inas A. Saleh, Amal Saad-Hussein, and Heba Mahdy-Abdallah. 2026. "Airborne Pollutants and Their Relation to Pulmonary Impairment and X-Ray Repair Cross-Complementing 1 Gene Variants in Aluminum Smelter Workers" Aerobiology 4, no. 2: 7. https://doi.org/10.3390/aerobiology4020007
APA StyleMoubarz, G., Mohammed, A. M. F., Saleh, I. A., Saad-Hussein, A., & Mahdy-Abdallah, H. (2026). Airborne Pollutants and Their Relation to Pulmonary Impairment and X-Ray Repair Cross-Complementing 1 Gene Variants in Aluminum Smelter Workers. Aerobiology, 4(2), 7. https://doi.org/10.3390/aerobiology4020007

