Sign in to use this feature.

Years

Between: -

Subjects

remove_circle_outline
remove_circle_outline
remove_circle_outline
remove_circle_outline
remove_circle_outline
remove_circle_outline
remove_circle_outline
remove_circle_outline
remove_circle_outline

Journals

remove_circle_outline
remove_circle_outline
remove_circle_outline
remove_circle_outline
remove_circle_outline
remove_circle_outline
remove_circle_outline
remove_circle_outline
remove_circle_outline
remove_circle_outline
remove_circle_outline

Article Types

Countries / Regions

remove_circle_outline
remove_circle_outline
remove_circle_outline
remove_circle_outline
remove_circle_outline

Search Results (604)

Search Parameters:
Keywords = TMB

Order results
Result details
Results per page
Select all
Export citation of selected articles as:
15 pages, 3005 KB  
Article
Nitrogen-Doped Biochar Derived from Starch for Enzyme-Free Colorimetric Detection of Uric Acid in Human Body Fluids
by Feihua Ye, Fan Chen, Yunhong Zhang, Yunwei Huang, Shasha Liu, Jiangfei Cao and Yanni Wu
Polymers 2026, 18(1), 146; https://doi.org/10.3390/polym18010146 - 5 Jan 2026
Viewed by 238
Abstract
Uric acid (UA), a key end-product of human purine metabolism, serves as an important biomarker linked to multiple disorders. This study developed a novel enzyme-free colorimetric sensing platform based on starch-derived nitrogen-doped biochar (NC) for the highly sensitive and selective detection of UA [...] Read more.
Uric acid (UA), a key end-product of human purine metabolism, serves as an important biomarker linked to multiple disorders. This study developed a novel enzyme-free colorimetric sensing platform based on starch-derived nitrogen-doped biochar (NC) for the highly sensitive and selective detection of UA in human body fluids. The NC material with a high specific surface area and abundant nitrogen active sites was prepared via a two-step strategy involving hydrothermal synthesis followed by high-temperature pyrolysis, using starch and urea as raw materials. Under mild conditions, the NC effectively catalyzes dissolved oxygen to produce reactive oxygen species (·O2 and 1O2), which oxidize 3,3′,5,5′-tetramethylbenzidine (TMB) to a blue-colored oxidation product (TMBox). The presence of UA reduces TMBox to colorless TMB, leading to a measurable decrease in absorbance at 652 nm and enabling quantitative UA detection. Key reaction conditions were systematically optimized. Material characterization and mechanistic investigations confirmed the catalytic performance of the NC. The method demonstrated a wide linear response from 10 to 500 μmol·L−1, with a detection limit of 4.87 μmol·L−1, and demonstrated outstanding selectivity, stability, and reproducibility. Practical application in human serum and urine samples yielded results consistent with clinical reference ranges, and spike-recovery rates ranged from 95.5% to 103.6%, indicating great potential for real-sample analysis. Full article
(This article belongs to the Section Biobased and Biodegradable Polymers)
Show Figures

Figure 1

15 pages, 4739 KB  
Article
Systematic Pan-Cancer Analysis Identifies PHF6 as an Immunological and Prognostic Biomarker
by Yi Tao, Mingming Hu, Zixin Guo, Qian Xu, Lu Niu, Yonghong Mao and Gang Yuan
Diagnostics 2026, 16(1), 110; https://doi.org/10.3390/diagnostics16010110 - 29 Dec 2025
Viewed by 210
Abstract
Background/Objectives: PHF6 is a chromatin-binding protein located in the nucleus, and it is involved in transcriptional regulation. However, limited research exists on the specific roles and mechanisms of PHF6 across various tumors. Methods: Based on The Cancer Genome Atlas (TCGA) database, [...] Read more.
Background/Objectives: PHF6 is a chromatin-binding protein located in the nucleus, and it is involved in transcriptional regulation. However, limited research exists on the specific roles and mechanisms of PHF6 across various tumors. Methods: Based on The Cancer Genome Atlas (TCGA) database, we analyzed PHF6 expression in pan-cancer. We first evaluated the relevance between PHF6 and prognosis; then, the relevance between PHF6 and immune cell infiltration in pan-cancer were analyzed. Subsequently, we explored the correlation between PHF6 and cancer heterogeneity, such as tumor mutation burden (TMB) and microsatellite instability (MSI), as well as cancer stemness. Finally, the role of PHF6 was validated in liver cancer and pancreatic cancer cell lines by cell proliferation assays. Results: PHF6 expression was higher in the vast majority of cancers than their normal counterparts. PHF6 was substantially correlated with prognosis and immune cell infiltration in various cancers. Moreover, PHF6 expression showed a strong correlation with cancer heterogeneity and stemness in certain cancer types. Additionally, the depletion of PHF6 inhibited cell proliferation in both liver and pancreatic cancer cells. Conclusions: PHF6 expression was closely associated with the occurrence and development of many types of cancer, and it might promote cancer progression by inhibiting the function of the immune microenvironment, while knockout of PHF6 significantly inhibited the tumor cells proliferation. Full article
(This article belongs to the Special Issue Predictive Biomarkers in Oncology)
Show Figures

Figure 1

18 pages, 818 KB  
Article
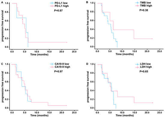
A Phase II Study of Toripalimab in Combination with Gemcitabine and 5-Fluorouracil as First-Line Therapy for Advanced or Metastatic Biliary Tract Carcinoma
by Fangyong Lei, Wenjing Deng, Ying Zhou, Lilan Fang, Xiuxin Lin, Lingyu Qin, Chunming Li, Jian Rao and Gengsheng Yu
Cancers 2026, 18(1), 88; https://doi.org/10.3390/cancers18010088 - 27 Dec 2025
Viewed by 178
Abstract
Background/Objectives: The anti-PD-L1 antibody has been applied for use in first-line advanced biliary duct cancer patients. However, clinical evidence of toripalimab in combination with biweekly 5-fluorouracil (5-FU) is limited and predictive biomarkers of treatment benefits remain unclear. Methods: This prospective study enrolled patients [...] Read more.
Background/Objectives: The anti-PD-L1 antibody has been applied for use in first-line advanced biliary duct cancer patients. However, clinical evidence of toripalimab in combination with biweekly 5-fluorouracil (5-FU) is limited and predictive biomarkers of treatment benefits remain unclear. Methods: This prospective study enrolled patients with unresectable or metastatic BTC who received toripalimab in combination with gemcitabine and biweekly 5-FU. The primary endpoints were progression-free survival (PFS) and objective response rate (ORR). Secondary endpoints included overall survival (OS) and safety. Exploratory analyses evaluated associations between programmed cell death-ligand 1 (PD-L1) expression or tumor mutational burden (TMB) and clinical outcomes. Results: A total of 30 patients were enrolled, with a median follow-up duration of 16.0 months. The ORR was 13.0%. The median PFS and OS were 5.3 months (95% CI: 3.59–7.01) and 11.7 months (95% CI: 6.07–17.33), respectively. Subgroup analyses revealed no significant association between PD-L1 status or TMB level and improved PFS. All patients experienced adverse events (AEs), while grade 3–4 AEs occurred in eight patients (26.7%), most commonly anemia (20.0%), leukocytopenia (13.3%), and nausea (6.6%). No grade 5 AEs were observed, and the safety profile was considered manageable. Conclusions: Toripalimab in combination with gemcitabine and 5-fluorouracil showed promising efficacy and was well-tolerated as a first-line therapy in advanced biliary duct cancer patients. Although PD-L1 expression and TMB did not predict treatment benefit, larger studies are needed to validate potential biomarkers and further optimize immunochemotherapy strategies for BTC. Full article
(This article belongs to the Special Issue Cancer Immunotherapy in Clinical and Translational Research)
Show Figures

Figure 1

21 pages, 2736 KB  
Article
Finding the True Responders: Stratifying dMMR/MSI-H Tumors for ICI Response
by Nari Kim, Seongwon Na, Jisung Jang, Mihyun Kim, Jun Hee Pyo and Kyung Won Kim
Cancers 2026, 18(1), 18; https://doi.org/10.3390/cancers18010018 - 19 Dec 2025
Viewed by 314
Abstract
Background/Objectives: Immune checkpoint inhibitors (ICIs) show durable efficacy in tumors with deficient mismatch repair (dMMR) or high microsatellite instability (MSI-H), yet clinical responses remain heterogeneous. This study aimed to define immune subgroups within dMMR/MSI-H tumors and develop a reproducible transcriptomic signature predictive [...] Read more.
Background/Objectives: Immune checkpoint inhibitors (ICIs) show durable efficacy in tumors with deficient mismatch repair (dMMR) or high microsatellite instability (MSI-H), yet clinical responses remain heterogeneous. This study aimed to define immune subgroups within dMMR/MSI-H tumors and develop a reproducible transcriptomic signature predictive of ICI response. Methods: Four MSI-H-enriched cancer types (UCEC, COAD, READ, STAD) from The Cancer Genome Atlas were analyzed. Tumors were stratified by immune cell infiltration (MCP-counter immune composite score) and T-cell-inflamed gene expression profiles (GEP score). Integrating these two axes defined four immune subgroups. Differential expression, random forest feature selection, and pathway enrichment were performed to identify immune programs. A 20-gene immune signature representing the most immune-active subgroup was developed and validated across TCGA, GEO (GSE39582), and IMvigor210 cohorts. Results: Among the four subgroups, the most immune-active group showed strong activation of interferon signaling, antigen presentation, and T-cell-mediated pathways. The 20-gene signature—including CD74, STAT1, TAP1, and HLA-class genes—achieved high reproducibility (mean AUC = 0.95 ± 0.02; accuracy ≈ 89%). In the IMvigor210 cohort, this signature identified tumors with higher PD-L1 blockade response (55.6% vs. 32.8%, p = 0.034) and improved survival trends in the TMB-high subset. Conclusions: The proposed 20-gene signature quantitatively captures immune heterogeneity in dMMR/MSI-H tumors and serves as a practical, interpretable biomarker to identify true ICI responders and guide precision immunotherapy. Full article
(This article belongs to the Section Cancer Immunology and Immunotherapy)
Show Figures

Figure 1

14 pages, 8426 KB  
Article
Genetic Landscape of Solid Malignant Tumors in a Russian Cohort of Patients
by Iurii K. Slepov, Evgeniy D. Kopylov, Anton A. Turchin, Darya N. Khmelkova, Vladimir S. Kaimonov, Artur A. Isaev and Roman V. Deev
Diagnostics 2026, 16(1), 1; https://doi.org/10.3390/diagnostics16010001 - 19 Dec 2025
Viewed by 209
Abstract
Background/Objectives: Comprehensive genomic profiling (CGP) is a cornerstone of personalized oncology. However, large-scale, systematic data on the somatic mutation spectrum in Russian cancer patients are scarce. This study aimed to characterize the genomic landscape and assess the potential for matched therapy in [...] Read more.
Background/Objectives: Comprehensive genomic profiling (CGP) is a cornerstone of personalized oncology. However, large-scale, systematic data on the somatic mutation spectrum in Russian cancer patients are scarce. This study aimed to characterize the genomic landscape and assess the potential for matched therapy in a Russian cohort of patients with solid tumors. Methods: This retrospective study included 204 patients with various solid tumors. CGP was performed using the FoundationOne®CDx (FFPE tissue) and FoundationOne®Liquid CDx (cfDNA) platforms. The analysis assessed single-nucleotide variants, indels, copy number alterations, gene fusions, tumor mutational burden (TMB), microsatellite instability (MSI), and PD-L1 expression. Results: The most frequently mutated genes were TP53 (61.5%) and KRAS. The median TMB was 4.0 mut/Mb and was significantly lower in stage IV tumors. Significant co-occurrence was observed between KRAS and TP53 mutations, as well as between APC and KRAS mutations, which were particularly characteristic of colorectal cancer. KRAS mutations were associated with higher combined positive score (CPS) values in cases with lung cancer. Based on the CGP results, 44% of patients had findings that supported the use of an approved matched targeted therapy or immunotherapy for their tumor type. An additional 36% of patients had alterations indicating potential benefit from off-label targeted therapy. Conclusions: This study reveals the distinct genomic characteristics of solid tumors in a Russian cohort and confirms the high clinical utility of CGP for identifying actionable targets. Implementing CGP early in the diagnostic process is a necessary step towards realizing personalized treatment strategies for cancer patients. Full article
(This article belongs to the Section Pathology and Molecular Diagnostics)
Show Figures

Figure 1

16 pages, 677 KB  
Review
Can TP53, TMB and TME Expand the Immunotherapy Benefit in Metastatic Colorectal Cancer?
by Monia Specchia, Denise Drittone, Eva Mazzotti and Federica Mazzuca
Cancers 2025, 17(24), 3984; https://doi.org/10.3390/cancers17243984 - 13 Dec 2025
Viewed by 558
Abstract
Background: Metastatic colorectal cancer (mCRC) with TP53 gene mutations, which are commonly found in tumors that are microsatellite stable (MSS) and not prone to genetic errors seen in some cancers, is associated with aggressive cancer behavior and poor outcomes. While MSI-high (MSI-H, referring [...] Read more.
Background: Metastatic colorectal cancer (mCRC) with TP53 gene mutations, which are commonly found in tumors that are microsatellite stable (MSS) and not prone to genetic errors seen in some cancers, is associated with aggressive cancer behavior and poor outcomes. While MSI-high (MSI-H, referring to high levels of gene instability) disease benefits markedly from PD-1-based immunotherapy (drugs that inhibit the PD-1 protein on immune cells), TP53-mutated MSS tumors rarely receive immune checkpoint inhibitors (ICIs, drugs that help immune cells attack cancer) outside of trials and often only in later lines of therapy. Objective: We aimed to synthesize translational and clinical evidence regarding the effects of early rationale-driven immunotherapy combinations on survival outcomes, in TP53-mutated metastatic colorectal cancer, with a focus on practical clinical implications. Methods: This narrative review was conducted in accordance with SANRA criteria. Literature searches were performed in PubMed/MEDLINE, Scopus, and Web of Science (2010–2025). Relevant ESMO and NCCN guidelines and key references were also reviewed. Results: In KEYNOTE-177 study (MSI-H/dMMR), pembrolizumab improved PFS (HR 0.60) and showed durable OS with >5-year follow-up. CheckMate-142 reported sustained activity with nivolumab ± ipilimumab. Preclinical/early clinical data in MSS/TP53 suggest that ICIs may become effective when combined with priming (chemo/DDR) and vascular normalization (anti-VEGF), particularly in subsets with elevated TMB. The randomized ROME trial supports the clinical utility of genomically matched, NGS-guided strategies. Conclusions: A precision approach integrating TP53 status, TMB, and TME modulation could extend the immunotherapy benefit beyond MSI-H to TP53-mutated MSS mCRC; prospective first-line trials are warranted. Full article
(This article belongs to the Section Cancer Metastasis)
Show Figures

Figure 1

15 pages, 1467 KB  
Article
Real-World Impact of Metformin on Outcomes in Patients with Deficient DNA Mismatch Repair and Microsatellite Instability (dMMR/MSI) Colorectal Cancer Treated with Immune Checkpoint Inhibitors
by Garima Gupta, Negar Sadeghipour, Fuat Bicer, Andrew Elliott, Andrew Hinton, Emil Lou, Ari M. Vanderwalde, Ahmet Anil Ozluk, Moh’d M. Khushman, Midhun Malla, Darryl Outlaw, Syed Qasim Hussaini, Bassel F. El-Rayes and Mehmet Akce
Cancers 2025, 17(24), 3944; https://doi.org/10.3390/cancers17243944 - 10 Dec 2025
Viewed by 557
Abstract
Background/Objectives: Colorectal cancer (CRC) is the second leading cause of cancer-related death in the US. The presence of deficient DNA mismatch repair and microsatellite instability (dMMR/MSI) in CRC is linked to responses to immune checkpoint inhibitors (ICIs). This study investigates the impact [...] Read more.
Background/Objectives: Colorectal cancer (CRC) is the second leading cause of cancer-related death in the US. The presence of deficient DNA mismatch repair and microsatellite instability (dMMR/MSI) in CRC is linked to responses to immune checkpoint inhibitors (ICIs). This study investigates the impact of metformin on the tumor microenvironment (TME) and clinical outcomes of patients with dMMR/MSI CRC treated with ICIs, aiming to better understand its potential role in enhancing ICI efficacy. Methods: Of 25,011 CRC patients in Caris database, 47 received both metformin and ICI therapy (Met-ICI group), and 475 patients received ICI therapy alone (ICI group). Samples underwent genomic or transcriptome sequencing at Caris Life Sciences. Immune cell fractions were estimated using quanTIseq. Univariate and multivariate survival analyses were conducted using the Cox proportional model. Results: The TME analysis of CRC patient samples revealed that TMB-High (≥10 mut/Mb) was more prevalent in the “ICI” group compared to the “Met-ICI” group (99.1% vs. 95.6%, p = 0.036). Mutation rates for most genes between the two groups were similar, but CIC gene mutations were more common in the “ICI” group than in the “Met-ICI” group (23.2% vs. 4.8%, p = 0.006). No significant differences were observed in the PD-L1 positivity rate or immune checkpoint gene expression (including IDO1, IFNG, TIM3, and CTLA4). M1 macrophages and neutrophils showed the highest infiltration among immune cells. However, the fractions of infiltrated immune cells were similar between the two cohorts. Univariate and multivariate analyses showed that there was no significant difference in patient survival between “ICI” and “Met-ICI” cohorts. Conclusions: In this retrospective analysis of real-world clinical outcomes, the concurrent use of metformin with ICIs in patients with dMMR/MSI CRC did not reveal an impact on clinical outcomes. Full article
Show Figures

Figure 1

22 pages, 8311 KB  
Article
Promoter Hypomethylation Unleashes HMGA1 to Orchestrate Immune Evasion and Therapy Resistance Across Cancers
by Iram Shahzadi, Taswar Ahsan, Shoaib Anwaar, Wajid Zaman and Houjun Xia
Biology 2025, 14(12), 1758; https://doi.org/10.3390/biology14121758 - 9 Dec 2025
Viewed by 502
Abstract
High mobility group A1 (HMGA1) is a chromatin-associated protein that regulates transcription and drives cancer progression. In this pan-cancer study, we analyzed multi-omics data to comprehensively characterize HMGA1’s expression patterns, prognostic significance, epigenetic regulation, and immunotherapy roles. We found that HMGA1 was markedly [...] Read more.
High mobility group A1 (HMGA1) is a chromatin-associated protein that regulates transcription and drives cancer progression. In this pan-cancer study, we analyzed multi-omics data to comprehensively characterize HMGA1’s expression patterns, prognostic significance, epigenetic regulation, and immunotherapy roles. We found that HMGA1 was markedly upregulated in most cancers, mainly driven by promoter hypomethylation and copy number alterations. Elevated HMGA1 expression was consistently associated with unfavorable patient survival, stemness features, and the activation of oncogenic signaling pathways. Crucially, HMGA1 expression correlated with an immune-excluded tumor microenvironment, characterized by suppressed stromal and immune scores. Even in tumors with immune infiltration, high HMGA1 predicted poor prognosis, likely mediated by enhanced regulatory T-cell (Treg) recruitment and impaired effector immune function. Moreover, HMGA1 levels were positively correlated with tumor mutational burden (TMB), and microsatellite instability (MSI), and immunotherapy-related checkpoints including PD-1, CTLA-4, and TIGIT. Drug sensitivity analysis further revealed that HMGA1 predicted resistance to AKT inhibitors, which was experimentally validated in breast cancer cells treated with Capivasertib. Collectively, our findings establish HMGA1 as a pivotal oncogenic regulator and a promising biomarker for prognosis and for guiding strategies in immunotherapy and overcoming targeted therapy resistance. Full article
Show Figures

Figure 1

18 pages, 1169 KB  
Article
The Role of Plasmacytoid Dendritic Cells in the Immune Contexture of TP53-Mutated High-Grade Serous Ovarian Cancer
by Katharina Steger, Heidelinde Fiegl, Katja Rungger, Katharina Leitner, Irina Tsibulak, Barin Feroz, Christoph Ebner, Christian Marth, Hubert Hackl and Alain Gustave Zeimet
Cancers 2025, 17(23), 3877; https://doi.org/10.3390/cancers17233877 - 3 Dec 2025
Viewed by 498
Abstract
Background/Objectives: This study aimed to characterize dendritic cell (DC) heterogeneity, immune associations, and prognostic relevance across three TP53-mutated tumor entities—high-grade serous ovarian cancer (HGSOC), triple-negative breast cancer, and endometrial cancer—focusing on plasmacytoid DCs (pDCs) in HGSOC. Methods: RNA-sequencing and clinical [...] Read more.
Background/Objectives: This study aimed to characterize dendritic cell (DC) heterogeneity, immune associations, and prognostic relevance across three TP53-mutated tumor entities—high-grade serous ovarian cancer (HGSOC), triple-negative breast cancer, and endometrial cancer—focusing on plasmacytoid DCs (pDCs) in HGSOC. Methods: RNA-sequencing and clinical data of 603 patients from The Cancer Genome Atlas were analyzed. DC subset abundance was assessed for cDC progenitor, conventional DC type 1 (cDC1), conventional DC type 2 (cDC2), plasmacytoid DC (pDC), and mature DC by marker gene signatures. Differences in DC scores across tumors were analyzed using Kruskal–Wallis. Survival analyses were performed using Kaplan–Meier and Cox regression. Spearman’s correlation was used to determine associations between parameters. Results: HGSOC showed the lowest pDC abundance, yet high pDC scores were independently associated with shorter PFS (HR = 1.55, 95% CI: 1.05–2.27; p = 0.027), representing the only DC-subset-related prognostic signal observed across tumor types. pDCs correlated positively with neutrophils and negatively with monocytes, and pDCs, cDC2s, and cDC progenitors correlated inversely with TMB. No consistent link was found between pDC and TP53 mutation classes. However, tumors harboring specific TP53 mutations within established hotspot regions exhibited significantly lower pDC levels (p = 0.015). Conclusions: Our findings reveal distinct DC infiltration patterns and highlight the immunological vulnerability of TP53-mutated HGSOC. pDCs appear to exert a tumor-promoting, immune-evasive role, suggesting that DC function depends on their programming and tumor context. Selective targeting of DC subsets may offer novel therapeutic opportunities in TP53-mutated, low-TMB cancers. Full article
(This article belongs to the Special Issue Cancer Immunotherapy as Part of Precision Clinical Medicine)
Show Figures

Figure 1

14 pages, 2234 KB  
Article
Silver Nanowires with Efficient Peroxidase-Emulating Activity for Colorimetric Detection of Hydroquinone in Various Matrices
by Huda Salem AlSalem, Sara Naif Alharbi, Rabeea D. Abdel-Rahim, Adham M. Nagiub and Mohamed A. Abdel-Lateef
Chemosensors 2025, 13(12), 415; https://doi.org/10.3390/chemosensors13120415 - 1 Dec 2025
Viewed by 460
Abstract
Hydroquinone is a phenolic compound widely used in industry and cosmetics, yet its toxicity has raised global environmental and health concerns. It has been listed by both the US EPA and the European Union as a priority contaminant for monitoring in aquatic systems. [...] Read more.
Hydroquinone is a phenolic compound widely used in industry and cosmetics, yet its toxicity has raised global environmental and health concerns. It has been listed by both the US EPA and the European Union as a priority contaminant for monitoring in aquatic systems. In this proof-of-concept (PoC) study, silver nanowires (Ag-NWs) were synthesized via a modified one-pot polyol methodology and characterized by various techniques, including TEM, EDX, SEM, XRD, and UV–vis spectroscopy. The Ag-NWs exhibited peroxidase-like activity, catalyzing the oxidation of TMB/H2O2 to yield a blue product. This activity was effectively suppressed by hydroquinone, forming the basis of a simple colorimetric sensing approach. The PoC method showed linearity over 0.08–0.8 µg/mL with a LOD of 26 ng/mL. Furthermore, it was preliminarily applied to tap water, river water, and medicated cream samples, demonstrating acceptable recovery in preliminary applications. As a PoC, the study establishes the feasibility of the Ag-NWs–TMB–H2O2 system for hydroquinone detection, while recognizing that comprehensive reproducibility assessment and temporal stability evaluation are required in future work. Full article
(This article belongs to the Section Nanostructures for Chemical Sensing)
Show Figures

Figure 1

22 pages, 2302 KB  
Article
Multi-Omics Tumor Immunogenicity Score Predicts Immunotherapy Outcome and Survival
by Axel Gschwind, Nadja Ballin, Alexander Ott, Andrea Forschner, Amelie Knapp, Öznur Öner, Michael Bitzer, Ghazaleh Tabatabai, Andreas Hartkopf, Thorben Groß, Markus Reitmajer, Christopher Schroeder, Stephan Ossowski and Sorin Armeanu-Ebinger
Biology 2025, 14(12), 1698; https://doi.org/10.3390/biology14121698 - 28 Nov 2025
Viewed by 579
Abstract
Background: Tumor immunogenicity is a concept for modeling the susceptibility of tumors to immune checkpoint inhibitors (ICIs) and other immunotherapies. Single biomarkers, such as tumor mutation burden (TMB) or PDL1 expression, have been shown to correlate with ICI outcomes but are poor predictors [...] Read more.
Background: Tumor immunogenicity is a concept for modeling the susceptibility of tumors to immune checkpoint inhibitors (ICIs) and other immunotherapies. Single biomarkers, such as tumor mutation burden (TMB) or PDL1 expression, have been shown to correlate with ICI outcomes but are poor predictors of overall and progression-free survival (OS, PFS). Complex machine learning models that integrate multiple biomarkers have shown improved predictions but often lack clear a priori interpretability. In this study, we developed a coherent Multi-Omics Tumor Immunogenicity score (MOTIscore) that combines immunogenicity biomarkers derived from genomic and transcriptomic data and demonstrated its generalizability across multiple cancer types. Methods: Several immunogenicity biomarkers, including TMB, neoantigen burden, T-cell receptor repertoire, PDL1 expression, B2M expression, and variants in pathways of ICI response and resistance, were integrated using a weighted sum scoring scheme. The weights were determined using statistical tests in a large melanoma ICI cohort. We compared the MOTIscore with a machine learning (ML) model trained using the same biomarkers and evaluated the model using melanoma, gastric cancer, and pan-cancer datasets. Results: MOTIscore achieved results similar to those of the ML model in predicting ICI in melanoma and gastric cancer, with both outperforming TMB. Gastric cancer and melanoma patients with high MOTIscores had a significantly extended overall and progression-free survival. Gene set enrichment analysis revealed the enrichment of immune-related pathways in patients with high MOTIscores. Differential expression analysis between patients with high and low immunogenicity identified highly expressed C-X-C motif chemokine ligands as important characteristics associated with successful ICI therapy and significantly improved PFS. MOTIscores varied widely across cancers treated in the molecular tumor board at our hospital and showed distinct distributions between non-immunogenic and immunogenic cancer types. Conclusions: MOTIscore demonstrated improved ICI outcome predictions compared to single-omics biomarkers. Patients with higher tumor immunogenicity also show significantly improved OS and PFS in melanoma and gastric cancer. The results demonstrate the potential use of the MOTIscore to prioritize ICI in personalized cancer treatment. However, ICI outcomes and survival should be investigated in prospective studies, and additional cancer types and larger patient cohorts are needed. Full article
(This article belongs to the Special Issue Emerging Hallmarks in Cancer Immunology)
Show Figures

Figure 1

13 pages, 2916 KB  
Article
Synergistic Catalysis of Gold–Platinum Alloy Nanozymes: A Novel Colorimetric Sensor for ALP Detection in Complex Biological Matrices
by Baojie Du, Bingqing Zhang, Xiaofeng Ren, Jie Yang, Fan Yang, Chunyu Yan, Liping Li and Ruiping Zhang
Pharmaceuticals 2025, 18(12), 1795; https://doi.org/10.3390/ph18121795 - 25 Nov 2025
Viewed by 483
Abstract
Background/Objectives: Alkaline phosphatase (ALP) is a crucial enzyme in numerous pathological processes and a significant biomarker in clinical diagnostics. Conventional ALP detection methods are hampered by reliance on complex sample pretreatment, sophisticated instrumentation, time-consuming procedures, and high costs. This study aimed to [...] Read more.
Background/Objectives: Alkaline phosphatase (ALP) is a crucial enzyme in numerous pathological processes and a significant biomarker in clinical diagnostics. Conventional ALP detection methods are hampered by reliance on complex sample pretreatment, sophisticated instrumentation, time-consuming procedures, and high costs. This study aimed to develop a simple, rapid, and cost-effective colorimetric sensing method for ALP detection with enhanced resistance to matrix interference in biological samples. Methods: We designed a colorimetric assay based on bimetallic gold–platinum nanocatalysts (AuPt NPs) exhibiting peroxidase-like (POD-like) activity. The detection principle involves a dual-reaction cascade: (1) Alkaline phosphatase (ALP) catalyzes the conversion of trisodium L-ascorbic acid-2-phosphate (AA2P) into ascorbic acid (AA), and (2) the generated AA reduces oxidized 3,3′,5,5′-tetramethylbenzidine (oxTMB) produced by the catalytic activity of AuPt NPs. This method was evaluated for its detection performance in diluted human serum without complex sample pretreatment. Results: AuPt NPs exhibited resistance to biological matrix interference, enabling sensitive detection of ALP. The assay showed a linear ALP detection range of 0–90 mU·mL−1 (R2 = 0.994) and a limit of detection of 3.91 mU·mL−1. In spiked human serum, recoveries were 95.45–111.97%, with negligible interference from ions and biomolecules. Conclusions: We developed a simple, rapid, and reliable colorimetric sensor for ALP detection based on AuPt NPs. It overcomes limitations of conventional methods, holding great potential for clinical diagnostics and point-of-care applications. Full article
(This article belongs to the Section Pharmaceutical Technology)
Show Figures

Graphical abstract

16 pages, 1582 KB  
Article
Monitoring Inhibition of Hemoglobin Peroxidase Activity After Exposure to Cigarette Smoke Using an Electrochemical Biosensor
by Alfonso Sequeda-Juárez, Flor Cortés-Ortegón, Diego Ortega-Picazo, José Antonio García-García, Ana María Espinosa-García and Celia Sánchez-Pérez
Biosensors 2025, 15(12), 767; https://doi.org/10.3390/bios15120767 - 25 Nov 2025
Viewed by 440
Abstract
This work presents a catalysis-based electrochemical biosensor to evaluate the peroxidase-like activity of methemoglobin (Hb-PLA) after exposure to cigarette smoke (CS) at different time intervals. The system consists of a microelectrode array coupled with a PDMS chamber containing a methemoglobin solution (biorecognition element). [...] Read more.
This work presents a catalysis-based electrochemical biosensor to evaluate the peroxidase-like activity of methemoglobin (Hb-PLA) after exposure to cigarette smoke (CS) at different time intervals. The system consists of a microelectrode array coupled with a PDMS chamber containing a methemoglobin solution (biorecognition element). Hydrogen peroxide (H2O2) acts as the substrate, while 3,3′,5,5′-tetramethylbenzidine (TMB) functions as the chromogenic substrate for the Hb-PLA through its oxidation reaction. A spectrophotometric technique is used as a reference method to assess the catalytic activity of methemoglobin. Positive control samples exhibited higher absorbance, indicating strong catalytic activity, whereas CS-exposed samples showed a marked reduction, which was confirmed by the negative control. Cyclic voltammetry revealed significant alterations in the oxidation and reduction peaks of the CS-exposed samples. Therefore, chronoamperometry was employed to quantify the charge transfer as the electrochemical response associated with Hb-PLA, yielding a sensitivity of 0.86 ± 0.06 (%Hb-PLA/mC) and a limit of detection (LOD) of 0.23 (mC). The results demonstrate that cigarette smoke impairs the Hb-PLA in a time-dependent manner, with longer exposure reducing the activity by up to 25%. The proposed biosensor provides a rapid, sensitive, and straightforward strategy for detecting functional alterations in solutions of methemoglobin induced by environmental pollutants such as cigarette smoke. Full article
Show Figures

Figure 1

14 pages, 1422 KB  
Article
Efficacy of First-Line Nivolumab Plus Chemotherapy in Advanced Gastric Cancer Stratified by PD-L1 Expression: A Real-World Comparison
by Dae-Ho Choi, Ji Eun Shin, Eunbyeol Lee, Seung Tae Kim and Sung Hee Lim
Cancers 2025, 17(22), 3716; https://doi.org/10.3390/cancers17223716 - 20 Nov 2025
Viewed by 1276
Abstract
Background: Nivolumab plus chemotherapy has shown significant benefits in advanced gastric cancer (AGC) patients with PD-L1 combined positive score (CPS) 5 or higher. However, real-world data on its efficacy across different PD-L1 expression levels are limited. Methods: We conducted a retrospective analysis of [...] Read more.
Background: Nivolumab plus chemotherapy has shown significant benefits in advanced gastric cancer (AGC) patients with PD-L1 combined positive score (CPS) 5 or higher. However, real-world data on its efficacy across different PD-L1 expression levels are limited. Methods: We conducted a retrospective analysis of 143 AGC patients treated with first-line nivolumab plus chemotherapy. Patients were stratified by PD-L1 CPS. Progression-free survival (PFS), overall survival (OS), and clinical factors affecting outcomes were evaluated. Results: Among 143 patients, 87 (60.8%) were classified as PD-L1 CPS < 5 and 56 (39.2%) as CPS ≥ 5. The PD-L1 ≥ 5 group had a higher proportion of dMMR and TMB-high. Notably, patients in the PD-L1 < 5 group also derived a PFS benefit from chemotherapy plus nivolumab, achieving a median PFS of 6.8 months, although outcomes were further enhanced in the PD-L1 ≥ 5 group with statistical significance (10.0 months; HR 0.56, p = 0.004). Although the PD-L1 ≥ 5 group showed a higher median OS compared with the PD-L1 < 5 group (26.2 vs. 18.8 months), the difference was not statistically significant (p = 0.234). Exploratory analyses demonstrated a stepwise trend toward improved survival with increasing PD-L1 cutoffs, with the most pronounced benefit observed in the PD-L1 ≥ 25 subgroup (PFS HR 0.28, p = 0.012; OS HR 0.21, p = 0.031). Conclusions: This real-world study suggests that nivolumab plus chemotherapy may benefit AGC patients across various PD-L1 expression levels, with trends favoring higher expression. These findings warrant further investigation in larger real-world studies to optimize patient selection and treatment strategies. Full article
(This article belongs to the Section Cancer Therapy)
Show Figures

Figure 1

15 pages, 2574 KB  
Article
Sustainable Conversion of Coffee Ground Waste into Carbon Dots for Sensing Food Antioxidants
by Nan Jiang, Yuanjing Tao, Ruihong Wang, Xiaoran Zhao, Jingxuan Ren, Chenyang Jiang, Zihao Xu, Xuming Zhuang and Chao Shi
Foods 2025, 14(22), 3922; https://doi.org/10.3390/foods14223922 - 17 Nov 2025
Viewed by 605
Abstract
The total antioxidant capacity (TAC) of food products is a key parameter for assessing food quality and safety. In this work, iron-doped carbon dots (Fe-CDs) were successfully prepared using waste coffee grounds as a precursor with a satisfactory fluorescence quantum yield of 9.6%. [...] Read more.
The total antioxidant capacity (TAC) of food products is a key parameter for assessing food quality and safety. In this work, iron-doped carbon dots (Fe-CDs) were successfully prepared using waste coffee grounds as a precursor with a satisfactory fluorescence quantum yield of 9.6%. The Fe-CDs exhibited exceptional peroxidase-like activity, which can oxidize colorless 3,3′,5,5′-tetramethylbenzidine (TMB) to form blue oxTMB. Concurrently, oxTMB induced an inner filter effect, quenching the fluorescence of Fe-CDs. After being added to antioxidants such as glutathione, ascorbic acid, and L-cysteine, the generated reactive oxygen species (ROS) are consumed, thereby preventing the oxidation of TMB. The color of the mixed solution changed from dark to light blue, accompanied by the fluorescence recovery of Fe-CDs. Nevertheless, these three antioxidants possessed remarkable differences in ROS elimination capability, which resulted in different signal responses in absorption and fluorescence, and were successfully used for constructing the colorimetric/fluorescent dual-channel sensor array. Furthermore, the sensor array signals were processed using principal component analysis to achieve simultaneous detection of glutathione, ascorbic acid, and L-cysteine, and were able to effectively discriminate between mixtures and individual antioxidants. The constructed sensor array was successfully applied for the TAC detection in various foods (including vegetables, fruit, and beverages) and for the precise differentiation of antioxidants in milk samples. Overall, the prepared sensor array exhibited outstanding potential in detecting food quality. Full article
(This article belongs to the Special Issue Development and Application of Biosensors in the Food Field)
Show Figures

Graphical abstract

Back to TopTop