A Phase II Study of Toripalimab in Combination with Gemcitabine and 5-Fluorouracil as First-Line Therapy for Advanced or Metastatic Biliary Tract Carcinoma
Simple Summary
Abstract
1. Introduction
2. Materials and Methods
2.1. Study Design
2.2. Eligibility
2.3. Treatment and Endpoints
2.4. Statistical Analyses
3. Results
3.1. Patient Characteristics
3.2. Treatment and Efficacy
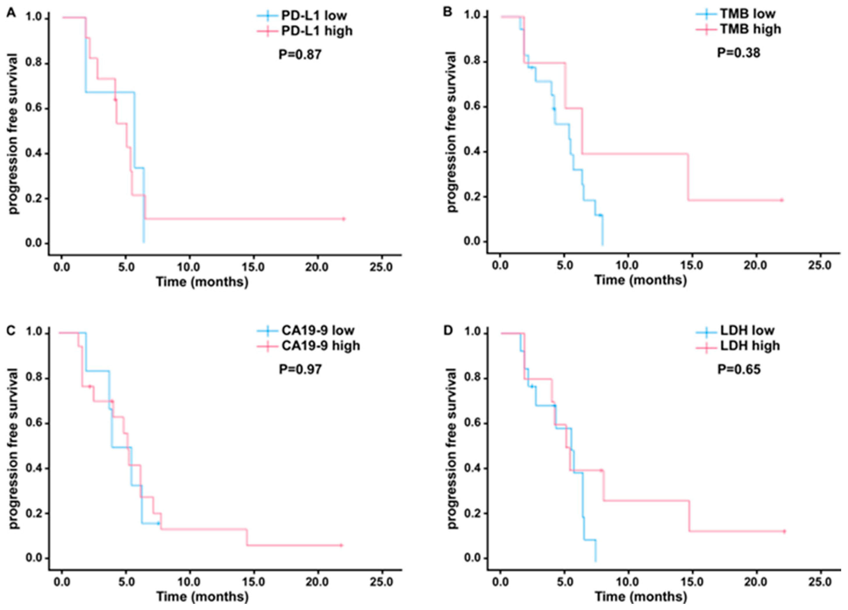
3.3. Mutational Profile of Tumors
3.4. Second-Line Treatment Regimens
3.5. Safety
4. Discussion
| Study (Lead Author et al., Year) | Clinical Trial No. | Study Design | Agents | Study Population (n) | Patients | Clinical Stage (%) | mPFS (Months) | mOS (Months) | DCR (%) |
|---|---|---|---|---|---|---|---|---|---|
| TOPAZ-1 (Oh et al., 2022; updated 2024) [35] | NCT03875235 | Phase 3, randomized, double-blind, placebo-controlled | Durvalumab + GemCis vs. Placebo + GemCis | 341 vs. 344 (total 685) | First-line unresectable/metastatic BTC | Locally advanced: 44%; Metastatic: 56% | 7.2 vs. 5.7 | 12.9 vs. 11.3 | 80.4 vs. 78.0 |
| KEYNOTE-966 (Kelley et al., 2023) [12] | NCT04003636 | Phase 3, randomized, double-blind, placebo-controlled | Pembrolizumab + GemCis vs. Placebo + GemCis | 533 vs. 536 (total 1069) | First-line unresectable/metastatic BTC | Locally advanced: 12%; Metastatic: 88% | 6.5 vs. 5.6 | 12.7 vs. 10.9 | 82.6 vs. 75.3 |
| Shi et al., 2023 [31] | NCT03951597 | Phase 2, single-arm, open-label | Toripalimab + lenvatinib + GEMOX | 30 | First-line advanced intrahepatic cholangiocarcinoma | Locally advanced: 0%; Metastatic: 100% | 10.0 | 22.5 | 93.3 |
| Shi et al., 2025 (AdvanTIG-105/ZSAB-TOP) [37] | NCT05023109 | Phase 2, open-label, multicentre | Tislelizumab + ociperlimab + GemCis | 41 | First-line unresectable advanced BTC | Locally advanced: ~15%; Metastatic: ~85% | 9.7 | 19.3 | 82.9 |
| Chen/Xie et al., 2020–2023 [28] | NCT03486678 | Phase 2, single-arm, open-label | Camrelizumab + GEMOX | 38–54 | First-line advanced BTC | Locally advanced: ~30%; Metastatic: ~70% | 7.0 | 14.9 | 86.8–91 |
| Li et al., 2022 [38] | NCT03796429 | Phase 2, single-arm, open-label | Toripalimab + gemcitabine + S-1 | 50 | First-line advanced BTC | Locally advanced: ~20%; Metastatic: ~80% | 7.0 | 15.0 | 87.8 |
| Ueno et al., 2019–2022 (NivoGem Japanese study) [25] | JapicCTI-153098 | Phase 1/2, single-arm | Nivolumab + GemCis | 30 | First-line unresectable/recurrent BTC | Locally advanced: ~25%; Metastatic/recurrent: ~75% | 5.2 | 15.4 | 90.0 |
| IMbrave151 (Macarulla et al., 2024) [39] | NCT04677504 | Phase 2, randomized, double-blind, placebo-controlled | Atezolizumab + bevacizumab + GemCis vs. Atezolizumab + placebo + GemCis | 79 vs. 83 | First-line advanced BTC | Locally advanced: 18%; Metastatic: 82% | 8.4 vs. 7.9 | 14.9 vs. 14.6 | ~85 vs. ~80 |
5. Conclusions
Supplementary Materials
Author Contributions
Funding
Institutional Review Board Statement
Informed Consent Statement
Data Availability Statement
Acknowledgments
Conflicts of Interest
Abbreviations
| biliary tract carcinoma | BTC |
| tumor mutational burden | TMB |
| lactate dehydrogenase | LDH |
| progression-free survival | PFS |
| overall survival | OS |
| objective response rate | ORR |
| disease control rate | DCR |
| tumor proportion score | TPS |
| combined proportion score | CPS |
| microsatellite instability | MSI |
| Transarterial chemoembolization | TACE |
| Carbohydrate antigen199 | CA19-9 |
| carcinoembryonic antigen | CEA |
References
- Zhou, J.; Tan, G.; Zhang, L.; Xie, G.; Chen, W.; Zhang, X.; Liang, H. Epidemiology of biliary tract cancer in China: A narrative review. Chin. J. Cancer Res. 2024, 36, 474–488. [Google Scholar] [CrossRef] [PubMed]
- Banales, J.M.; Cardinale, V.; Carpino, G.; Marzioni, M.; Andersen, J.B.; Invernizzi, P.; Lind, G.E.; Folseraas, T.; Forbes, S.J.; Fouassier, L.; et al. Expert consensus document: Cholangiocarcinoma: Current knowledge and future perspectives consensus statement from the European Network for the Study of Cholangiocarcinoma (ENS-CCA). Nat. Rev. Gastroenterol. Hepatol. 2016, 13, 261–280. [Google Scholar] [CrossRef] [PubMed]
- Valle, J.; Wasan, H.; Palmer, D.H.; Cunningham, D.; Anthoney, A.; Maraveyas, A.; Madhusudan, S.; Iveson, T.; Hughes, S.; Pereira, S.P.; et al. Cisplatin plus gemcitabine versus gemcitabine for biliary tract cancer. N. Engl. J. Med. 2010, 362, 1273–1281. [Google Scholar] [CrossRef] [PubMed]
- Serrano, A.; Gerson, R. Chemotherapy with gemcitabine in advanced biliary tract carcinoma. Rev. Recent Clin. Trials 2008, 3, 70–78. [Google Scholar] [CrossRef]
- Hsu, C.; Shen, Y.C.; Yang, C.H.; Yeh, K.H.; Lu, Y.S.; Hsu, C.H.; Liu, H.T.; Li, C.C.; Chen, J.S.; Wu, C.Y.; et al. Weekly gemcitabine plus 24-h infusion of high-dose 5-fluorouracil/leucovorin for locally advanced or metastatic carcinoma of the biliary tract. Br. J. Cancer 2004, 90, 1715–1719. [Google Scholar] [CrossRef]
- Kitano, Y.; Yamashita, Y.-I.; Nakao, Y.; Itoyama, R.; Yusa, T.; Umezaki, N.; Tsukamoto, M.; Yamao, T.; Miyata, T.; Nakagawa, S.; et al. Clinical significance of PD-L1 expression in both cancer and stroma cells of cholangiocarcinoma patients. Ann. Surg. Oncol. 2020, 27, 599–607. [Google Scholar] [CrossRef]
- Sabbatino, F.; Villani, V.; Yearley, J.H.; Deshpande, V.; Cai, L.; Konstantinidis, I.T.; Moon, C.; Nota, S.; Wang, Y.; Al-Sukaini, A.; et al. PD-L1 and HLA class I antigen expression and clinical course of the disease in intrahepatic cholangiocarcinoma. Clin. Cancer Res. 2016, 22, 470–478. [Google Scholar] [CrossRef]
- Gani, F.; Nagarajan, N.; Kim, Y.; Zhu, Q.; Luan, L.; Bhaijjee, F.; Anders, R.A.; Pawlik, T.M. Program death 1 immune checkpoint and tumor microenvironment: Implications for patients with intrahepatic cholangiocarcinoma. Ann. Surg. Oncol. 2016, 23, 2610–2617. [Google Scholar] [CrossRef]
- Nakamura, H.; Arai, Y.; Totoki, Y.; Shirota, T.; Elzawahry, A.; Kato, M.; Hama, N.; Hosoda, F.; Urushidate, T.; Ohashi, S.; et al. Genomic spectra of biliary tract cancer. Nat. Genet. 2015, 47, 1003–1010. [Google Scholar] [CrossRef]
- Bang, Y.-J.; Ueno, M.; Malka, D.; Chung, H.C.; Nagrial, A.; Kelley, R.K.; Piha-Paul, S.A.; Ros, W.; Italiano, A.; Nakagawa, K.; et al. Pembrolizumab (pembro) for advanced biliary adenocarcinoma: Results from the KEYNOTE-028 (KN028) and KEYNOTE-158 (KN158) basket studies. J. Clin. Oncol. 2019, 37, 4079. [Google Scholar] [CrossRef]
- Oh, D.-Y.; He, A.R.; Bouattour, M.; Okusaka, T.; Qin, S.; Chen, L.-T.; Kitano, M.; Lee, C.-K.; Kim, J.W.; Chen, M.-H.; et al. Durvalumab or placebo plus gemcitabine and cisplatin in participants with advanced biliary tract cancer (TOPAZ-1): Updated overall survival from a randomised phase 3 study. Lancet Gastroenterol. Hepatol. 2024, 9, 694–704. [Google Scholar] [CrossRef]
- Kelley, R.K.; Ueno, M.; Yoo, C.; Finn, R.S.; Furuse, J.; Ren, Z.; Yau, T.; Klümpen, H.-J.; Chan, S.L.; Ozaka, M.; et al. Pembrolizumab in combination with gemcitabine and cisplatin compared with gemcitabine and cisplatin alone for patients with advanced biliary tract cancer (KEYNOTE-966): A randomised, double-blind, placebo-controlled, phase 3 trial. Lancet 2023, 401, 1853–1865. [Google Scholar] [CrossRef] [PubMed]
- Wang, Z.; Ying, J.; Xu, J.; Yuan, P.; Duan, J.; Bai, H.; Guo, C.; Li, L.; Yang, Z.; Wan, R.; et al. Safety, antitumor activity, and pharmacokinetics of toripalimab, a programmed cell death 1 inhibitor, in patients with advanced non-small cell lung cancer: A phase 1 trial. JAMA Netw. Open 2020, 3, e2013770. [Google Scholar] [CrossRef] [PubMed]
- Merters, J.; Lamarca, A. Integrating cytotoxic, targeted and immune therapies for cholangiocarcinoma. J. Hepatol. 2023, 78, 652–657. [Google Scholar] [CrossRef] [PubMed]
- Kawamoto, T.; Ishige, K.; Thomas, M.; Yamashita-Kashima, Y.; Shu, S.; Ishikura, N.; Ariizumi, S.; Yamamoto, M.; Kurosaki, K.; Shoda, J. Overexpression and gene amplification of EGFR, HER2, and HER3 in biliary tract carcinomas, and the possibility for therapy with the HER2-targeting antibody pertuzumab. J. Gastroenterol. 2015, 50, 467–479. [Google Scholar] [CrossRef]
- Cannon, T.L.; Rothe, M.; Mangat, P.K.; Garrett-Mayer, E.; Chiu, V.K.; Hwang, J.; Vijayvergia, N.; Alese, O.B.; Dib, E.G.; Duvivier, H.L.; et al. Pertuzumab plus trastuzumab in patients with biliary tract cancer with ERBB2/3 alterations: Results from the targeted Agent and Profiling Utilization Registry study. J. Clin. Oncol. 2024, 42, 3228–3237. [Google Scholar] [CrossRef]
- Persano, M.; Puzzoni, M.; Ziranu, P.; Pusceddu, V.; Lai, E.; Pretta, A.; Donisi, C.; Pinna, G.; Spanu, D.; Cimbro, E.; et al. Molecular-driven treatment for biliary tract cancer: The promising turning point. Expert Rev. Anticancer Ther. 2021, 21, 1253–1264. [Google Scholar] [CrossRef]
- Mensah, E.T.; Martin, J.; Topazian, M. Radiofrequency ablation for biliary malignancies. Curr. Opin. Gastroenterol. 2016, 32, 238–243. [Google Scholar] [CrossRef]
- Ning, Z.; Xie, L.; Yan, X.; Hua, Y.; Shi, W.; Lin, J.; Xu, L.; Meng, Z. Transarterial chemoembolization plus lenvatinib with or without a PD-1 inhibitor for advanced and metastatic intrahepatic cholangiocarcinoma: A retrospective real-world study. Br. J. Radiol. 2023, 96, 20230079. [Google Scholar] [CrossRef]
- Gkika, E.; Hawkins, M.A.; Grosu, A.-L.; Brunner, T.B. The evolving role of radiation therapy in the treatment of biliary tract cancer. Front. Oncol. 2020, 10, 604387. [Google Scholar] [CrossRef]
- Le, D.T.; Durham, J.N.; Smith, K.N.; Wang, H.; Bartlett, B.R.; Aulakh, L.K.; Lu, S.; Kemberling, H.; Wilt, C.; Luber, B.S.; et al. Mismatch repair deficiency predicts response of solid tumors to PD-1 blockade. Science 2017, 357, 409–413. [Google Scholar] [CrossRef]
- Lorenzi, M.; Amonkar, M.; Zhang, J.; Mehta, S.; Liaw, K.-L. Epidemiology of microsatellite instability high (MSI-H) and deficient mismatch repair (dMMR) in solid tumors: A structured literature review. J. Oncol. 2020, 2020, 1807929. [Google Scholar] [CrossRef]
- Zhang, R.; Li, Q.; Fu, J.; Jin, Z.; Su, J.; Zhang, J.; Chen, C.; Geng, Z.; Zhang, D. Comprehensive analysis of genomic mutation signature and tumor mutation burden for prognosis of intrahepatic cholangiocarcinoma. BMC Cancer 2021, 21, 112. [Google Scholar] [CrossRef] [PubMed]
- DanyiAo, M.S. Targeting DNA repair pathway in cancer: Mechanisms and clinical application. MedComm 2021, 2, 654–691. [Google Scholar] [CrossRef] [PubMed]
- Ueno, M.; Ikeda, M.; Morizane, C.; Kobayashi, S.; Ohno, I.; Kondo, S.; Okano, N.; Kimura, K.; Asada, S.; Namba, Y.; et al. Nivolumab alone or in combination with cisplatin plus gemcitabine in Japanese patients with unresectable or recurrent biliary tract cancer: A non-randomised, multicentre, open-label, phase 1 study. Lancet Gastroenterol. Hepatol. 2019, 4, 611–621. [Google Scholar] [CrossRef]
- Sun, D.; Ma, J.; Wang, J.; Han, C.; Qian, Y.; Chen, G.; Li, X.; Zhang, J.; Cui, P.; Du, W.; et al. Anti-PD-1 therapy combined with chemotherapy in patients with advanced biliary tract cancer. Cancer Immunol. Immunother. 2019, 68, 1527–1535. [Google Scholar] [CrossRef]
- Ueno, M.; Chung, H.C.; Nagrial, A.; Marabelle, A.; Kelley, R.K.; Xu, L.; Mahoney, J.; Pruitt, S.K.; Oh, D.Y. Pembrolizumab for advanced biliary adenocarcinoma: Results from the multicohort, phase II KEYNOTE-158 study. Ann. Oncol. 2018, 29, viii210. [Google Scholar] [CrossRef]
- Zhang, Y.-Q.; Wang, K.; Feng, J.-K.; Yuan, L.-Y.; Liang, C.; Xiang, Y.-J.; Wang, X.; Mao, F.-F.; Cheng, S.-Q. Camrelizumab plus gemcitabine and oxaliplatin for the treatment of advanced intrahepatic cholangiocarcinoma: A bi-centric observational retrospective study. Front. Oncol. 2023, 13, 1101038. [Google Scholar] [CrossRef]
- Chen, X.; Wu, X.; Wu, H.; Gu, Y.; Shao, Y.; Shao, Q.; Zhu, F.; Li, X.; Qian, X.; Hu, J.; et al. Camrelizumab plus gemcitabine and oxaliplatin (GEMOX) in patients with advanced biliary tract cancer: A single-arm, open-label, phase II trial. J. Immunother. Cancer 2020, 8, e001240. [Google Scholar] [CrossRef]
- Kim, S.I.; Cassella, C.R.; Byrne, K.T. Tumor burden and immunotherapy: Impact on immune infiltration and therapeutic outcomes. Front. Immunol. 2020, 11, 629722. [Google Scholar] [CrossRef]
- Shi, G.-M.; Huang, X.-Y.; Wu, D.; Sun, H.-C.; Liang, F.; Ji, Y.; Chen, Y.; Yang, G.-H.; Lu, J.-C.; Meng, X.-L.; et al. Toripalimab combined with lenvatinib and GEMOX is a promising regimen as first-line treatment for advanced intrahepatic cholangiocarcinoma: A single-center, single-arm, phase 2 study. Signal Transduct. Target. Ther. 2023, 8, 106. [Google Scholar] [CrossRef]
- Hack, S.P.; Verret, W.; Mulla, S.; Liu, B.; Wang, Y.; Macarulla, T.; Ren, Z.; El-Khoueiry, A.B.; Zhu, A.X. IMbrave 151: A randomized phase II trial of atezolizumab combined with bevacizumab and chemotherapy in patients with advanced biliary tract cancer. Ther. Adv. Med. Oncol. 2021, 13, 17588359211036544. [Google Scholar] [CrossRef]
- Frega, G.; Cossio, F.P.; Banales, J.M.; Cardinale, V.; Macias, R.I.R.; Braconi, C.; Lamarca, A. Lacking immunotherapy biomarkers for biliary tract cancer: A comprehensive systematic literature review and meta-analysis. Cells 2023, 12, 2098. [Google Scholar] [CrossRef] [PubMed]
- Mocan, L.P.; Craciun, R.; Grapa, C.; Melincovici, C.S.; Rusu, I.; Al Hajjar, N.; Sparchez, Z.; Leucuta, D.; Ilies, M.; Sparchez, M.; et al. PD-L1 expression on immune cells, but not on tumor cells, is a favorable prognostic factor for patients with intrahepatic cholangiocarcinoma. Cancer Immunol. Immunother. 2023, 72, 1003–1014. [Google Scholar] [CrossRef] [PubMed]
- Oh, D.-Y.; Ruth He, A.; Qin, S.; Chen, L.-T.; Okusaka, T.; Vogel, A.; Kim, J.W.; Suksombooncharoen, T.; Ah Lee, M.; Kitano, M.; et al. Durvalumab plus gemcitabine and cisplatin in advanced biliary tract cancer. NEJM Evid. 2022, 1, EVIDoa2200015. [Google Scholar] [CrossRef] [PubMed]
- Chen, R.; Zheng, D.; Li, Q.; Xu, S.; Ye, C.; Jiang, Q.; Yan, F.; Jia, Y.; Zhang, X.; Ruan, J. Immunotherapy of cholangiocarcinoma: Therapeutic strategies and predictive biomarkers. Cancer Lett. 2022, 546, 215853. [Google Scholar] [CrossRef]
- Shi, G.; Huang, X.; Ma, L.; Li, H.; Zhong, J.A.-O.; Wang, J.; Gao, Q.; Guo, X.; Qiu, S.; Sun, H.; et al. First-line tislelizumab and ociperlimab combined with gemcitabine and cisplatin in advanced biliary tract cancer (ZSAB-TOP): A multicenter, single-arm, phase 2 study. Signal Transduct. Target. Ther. 2025, 10, 260. [Google Scholar] [CrossRef]
- Li, W.; Wang, Y.; Yu, Y.; Li, Q.; Wang, Y.; Zhang, C.; Xu, X.; Guo, X.; Dong, Y.; Cui, Y.; et al. Toripalimab in advanced biliary tract cancer. Innovation 2022, 3, 100255. [Google Scholar] [CrossRef]
- Macarulla, T.A.-O.; Ren, Z.; Chon, H.A.-O.; Park, J.A.-O.; Kim, J.W.; Pressiani, T.A.-O.; Li, D.A.-O.; Zhukova, L.; Zhu, A.A.-O.; Chen, M.A.-O.; et al. Atezolizumab Plus Chemotherapy With or Without Bevacizumab in Advanced Biliary Tract Cancer: Clinical and Biomarker Data From the Randomized Phase II IMbrave151 Trial. J. Clin. Oncol. 2025, 43, 545–557. [Google Scholar] [CrossRef]
- Ahn, D.H.; Javle, M.; Ahn, C.W.; Jain, A.; Mikhail, S.; Noonan, A.M.; Wu, C.; Shroff, R.T.; Chen, J.L.; Bekaii-Saab, T. Next-generation sequencing survey of biliary tract cancer reveals the association between tumor somatic variants and chemotherapy resistance. Cancer 2016, 122, 3657–3666. [Google Scholar] [CrossRef]
- Jiang, M.; Jia, K.; Wang, L.; Li, W.; Chen, B.; Liu, Y.; Wang, H.; Zhao, S.; He, Y.; Zhou, C. Alterations of DNA damage response pathway: Biomarker and therapeutic strategy for cancer immunotherapy. Acta Pharm. Sin. B 2021, 11, 2983–2994. [Google Scholar] [CrossRef]
- Shi, C.; Qin, K.; Lin, A.; Jiang, A.; Cheng, Q.; Liu, Z.; Zhang, J.; Luo, P. The role of DNA damage repair (DDR) systemin response to immune checkpoint inhibitor (ICI) therapy. J. Exp. Clin. Cancer Res. 2022, 41, 268–294. [Google Scholar] [CrossRef]
- Abou-Alfa, G.K.; Sahai, V.; Hollebecque, A.; Vaccaro, G.; Melisi, D.; Al-Rajabi, R.; Paulson, A.S.; Borad, M.J.; Gallinson, D.; Murphy, A.G.; et al. Pemigatinib for previously treated, locally advanced or metastatic cholangiocarcinoma: A multicentre, open-label, phase 2 study. Lancet Oncol. 2020, 21, 671–684. [Google Scholar] [CrossRef]
- Javle, M.; Lowery, M.; Shroff, R.T.; Weiss, K.H.; Springfeld, C.; Borad, M.J.; Ramanathan, R.K.; Goyal, L.; Sadeghi, S.; Macarulla, T.; et al. Phase II study of BGJ398 in patients with FGFR-altered advanced cholangiocarcinoma. J. Clin. Oncol. 2018, 36, 276–282. [Google Scholar] [CrossRef]
- Soria, J.-C.; Strickler, J.H.; Govindan, R.; Chai, S.; Chan, N.; Quiroga-Garcia, V.; Bahleda, R.; Hierro, C.; Zhong, B.; Gonzalez, M.; et al. Safety and activity of the pan-fibroblast growth factor receptor (FGFR) inhibitor erdafitinib in phase 1 study patients (Pts) with molecularly selected advanced cholangiocarcinoma (CCA). J. Clin. Oncol. 2017, 35, 4074. [Google Scholar] [CrossRef]
- Zhang, N.; Yu, B.R.; Wang, Y.X.; Zhao, Y.M.; Zhou, J.M.; Wang, M.; Wang, L.R.; Lin, Z.H.; Zhang, T.; Wang, L. Clinical outcomes of hepatic arterial infusion chemotherapy combined with tyrosine kinase inhibitors and anti-PD-1 immunotherapy for unresectable intrahepatic cholangiocarcinoma. J. Dig. Dis. 2022, 23, 535–545. [Google Scholar] [CrossRef]
- Zhang, W.; Shi, J.; Wang, Y.; Zhou, H.; Zhang, Z.; Han, Z.; Li, G.; Yang, B.; Cao, G.; Ke, Y.; et al. Next-generation sequencing-guided molecular-targeted therapy and immunotherapy for biliary tract cancers. Cancer Immunol. Immunother. 2021, 70, 1001–1014. [Google Scholar] [CrossRef]




| Characteristics | n (%) |
|---|---|
| Sex | |
| Male | 17 (56.6%) |
| Female | 13 (43.3%) |
| Age | |
| <60 | 10 (33.3%) |
| ≥60 | 20 (66.7%) |
| ECOG performance status | |
| 0~1 | 20 (66.7%) |
| 2 | 10 (33.3%) |
| Primary tumor location | |
| Intrahepatic | 22 (73.3%) |
| Extrahepatic | 5 (16.7%) |
| Gallbladder | 3 (10.0%) |
| PD-L1 expression (CPS) | |
| <1% | 4 (13.3%) |
| >1% | 15 (50.0%) |
| unknown | 11 (36.7%) |
| Clinical stage | |
| II-IIIB | 4 (13.3%) |
| IV | 26 (86.7%) |
| Site of metastasis | |
| Lymph nodes | 21 (70.0%) |
| Liver | 1 (3.30%) |
| Lung | 9 (30.0%) |
| Bone | 3 (10.0%) |
| Others | 3 (10.0%) |
| HBsAg | |
| Negative | 18 (60.0%) |
| Positive | 12 (40.0%) |
| LDH (U/L) | |
| <250 | 19 (63.3%) |
| >250 | 11 (36.7%) |
| CA 199 (U/mL) | |
| <37 | 8 (26.7%) |
| >37 | 22 (73.3%) |
| (n/%) | |
|---|---|
| Complete response | 0 (0%) |
| Partial response | 3 (13.0%) |
| Stable disease | 16 (69.6%) |
| Progressive disease | 4 (17.4%) |
| No measurable disease | 7 |
| Variable | HR (Exp(B)) | 95% CI | p-Value |
|---|---|---|---|
| Age | 2.605 | 0.975–6.961 | 0.056 |
| Gender | 0.972 | 0.372–2.535 | 0.953 |
| ECOG PS | 3.067 | 1.134–8.295 | 0.027 |
| TMB | 0.429 | 0.121–1.527 | 0.191 |
| PD-L1 CPS | 1.039 | 0.267–4.046 | 0.956 |
| LDH | 0.547 | 0.198–1.513 | 0.245 |
| CEA | 2.326 | 0.883–6.132 | 0.088 |
| CA19-9 | 0.913 | 0.321–2.601 | 0.865 |
| HBsAg | 1.279 | 0.498–3.285 | 0.609 |
| Variable | PD-L1 Present (n = 19) | PD-L1 Missing (n = 11) | p-Value |
|---|---|---|---|
| Age, median (y) | 64 | 61 | 0.31 |
| Sex (male) | 11 | 6 | 1.00 |
| Stage IV (%) | 79% | 82% | 0.84 |
| HBsAg positive | 9 | 3 | 0.44 |
| ECOG, median | 1 | 1 | 0.31 |
| CA19-9, median (U/mL) | 13.96 | 2.51 | 0.41 |
| CEA, median (ng/mL) | 3.11 | 1.79 | 0.85 |
| LDH, median (U/L) | 210 | 220 | 0.76 |
| TMB, median (Muts/Mb) | 4.6 | 4.6 | 0.73 |
| Endpoint | PD-L1 Testing Availability | n | Events | Censored | Median (95% CI), m | 6 m Survival % | 12 m Survival % | Log-Rank p-Value |
|---|---|---|---|---|---|---|---|---|
| PFS | Present | 14 | 12 | 2 | 5.0 (3.2–11.8) | 8.0 | 8.0 | 0.42 |
| PFS | Missing | 9 | 7 | 2 | 7.3 (2.9–11.8) | 52.0 | 22.0 | |
| OS | Present | 14 | 9 | 6 | 11.7 (4.1–19.3) | 61.0 | 42.0 | 0.75 |
| OS | Missing | 9 | 4 | 5 | 11.7 (3.6–19.8) | 61.0 | 37.0 |
| Grades 1~2 n (%) | Grades ≥ 3 n (%) | |
|---|---|---|
| Overall | 30 | 8 |
| Leukocytopenia | 17 (56.6) | 4 (13.3) |
| Anemia | 17 (56.6) | 6 (20.0) |
| Platelet count decreased | 13 (43.3) | 3 (10) |
| Nausea | 27 (89.9) | 2 (6.6) |
| Vomiting | 19 (63.3) | 2 (6.6) |
| Constipation | 14 (46.6) | 0 (0) |
| Diarrhea | 3 (10) | 1 (3.3) |
| Febrile | 8 (26.6) | 3 (10) |
| Rash | 7 (23.3) | 1 (3.3) |
| Hypothyroidism | 3 (10) | 0 (0) |
| Hyperthyroidism | 1 (3.3) | 0 |
| Fatigue | 26 (86.7) | 1 (3.3) |
| Alanine aminotransferase increased | 5 (16.7) | 0 (0) |
| Aspartate aminotransferase increased | 7 (23.3) | 1 (3.3) |
| Blood bilirubin increased | 3 (10) | 1 (3.3) |
| Sepsis | 0 (0) | 2 (6.6) |
| Upper gastrointestinal hemorrhage | 1 (3.3) | 1 (3.3) |
| Intracranial bleed | 0 (0) | 1(3.3) |
| Adrenocortical insufficiency | 2(6.6) | 1(3.3) |
| Pneumonitis | 1(3.3) | 0 (0) |
Disclaimer/Publisher’s Note: The statements, opinions and data contained in all publications are solely those of the individual author(s) and contributor(s) and not of MDPI and/or the editor(s). MDPI and/or the editor(s) disclaim responsibility for any injury to people or property resulting from any ideas, methods, instructions or products referred to in the content. |
© 2025 by the authors. Licensee MDPI, Basel, Switzerland. This article is an open access article distributed under the terms and conditions of the Creative Commons Attribution (CC BY) license.
Share and Cite
Lei, F.; Deng, W.; Zhou, Y.; Fang, L.; Lin, X.; Qin, L.; Li, C.; Rao, J.; Yu, G. A Phase II Study of Toripalimab in Combination with Gemcitabine and 5-Fluorouracil as First-Line Therapy for Advanced or Metastatic Biliary Tract Carcinoma. Cancers 2026, 18, 88. https://doi.org/10.3390/cancers18010088
Lei F, Deng W, Zhou Y, Fang L, Lin X, Qin L, Li C, Rao J, Yu G. A Phase II Study of Toripalimab in Combination with Gemcitabine and 5-Fluorouracil as First-Line Therapy for Advanced or Metastatic Biliary Tract Carcinoma. Cancers. 2026; 18(1):88. https://doi.org/10.3390/cancers18010088
Chicago/Turabian StyleLei, Fangyong, Wenjing Deng, Ying Zhou, Lilan Fang, Xiuxin Lin, Lingyu Qin, Chunming Li, Jian Rao, and Gengsheng Yu. 2026. "A Phase II Study of Toripalimab in Combination with Gemcitabine and 5-Fluorouracil as First-Line Therapy for Advanced or Metastatic Biliary Tract Carcinoma" Cancers 18, no. 1: 88. https://doi.org/10.3390/cancers18010088
APA StyleLei, F., Deng, W., Zhou, Y., Fang, L., Lin, X., Qin, L., Li, C., Rao, J., & Yu, G. (2026). A Phase II Study of Toripalimab in Combination with Gemcitabine and 5-Fluorouracil as First-Line Therapy for Advanced or Metastatic Biliary Tract Carcinoma. Cancers, 18(1), 88. https://doi.org/10.3390/cancers18010088
