Sign in to use this feature.

Years

Between: -

Subjects

remove_circle_outline
remove_circle_outline
remove_circle_outline
remove_circle_outline
remove_circle_outline
remove_circle_outline
remove_circle_outline
remove_circle_outline

Journals

Article Types

Countries / Regions

Search Results (65)

Search Parameters:
Keywords = TM/TIRS

Order results
Result details
Results per page
Select all
Export citation of selected articles as:
7 pages, 2224 KB  
Proceeding Paper
Temporal Analysis of Groundwater Quality in the Harran Plain: Linking Land Use Change to Water Contamination (2005–2025)
by Benan Yazici Karabulut and Abdullah İzzeddin Karabulut
Environ. Earth Sci. Proc. 2025, 36(1), 4; https://doi.org/10.3390/eesp2025036004 - 18 Nov 2025
Viewed by 216
Abstract
This study evaluates groundwater quality dynamics in the Harran Plain (∼1500 km2), a key agricultural zone within Türkiye’s Southeastern Anatolia Project (GAP). Satellite images from Landsat 5 TM and Landsat 8 OLI/TIRS were used to assess land-use changes over the years [...] Read more.
This study evaluates groundwater quality dynamics in the Harran Plain (∼1500 km2), a key agricultural zone within Türkiye’s Southeastern Anatolia Project (GAP). Satellite images from Landsat 5 TM and Landsat 8 OLI/TIRS were used to assess land-use changes over the years 1990, 2000, 2010, and 2020, with the GIS employed for classification and analysis. In this study, groundwater samples collected from twenty different locations in 2005, 2015 and 2025 were analyzed. For each sample, pH, EC, and various ion concentrations (Na, K, Cl, SO4, NO3, Ca, Mg, HCO3) were measured. All analyses were performed using standard hydrogeochemical methods. Data from 20 wells (2005–2015) revealed significant reductions in EC (8235 to 2510 µS/cm) and NO3 (720 to 327 mg/L), due to drainage systems, improved irrigation, and fertilizer management. Nonetheless, localized pollution persisted. Land-use shifts toward high-value crops improved water efficiency, while urban and industrial expansion introduced new pressures. Results emphasize integrated water–land policies for sustainable groundwater management in arid agroecosystems. Full article
(This article belongs to the Proceedings of The 2nd International Electronic Conference on Land)
Show Figures

Figure 1

22 pages, 5697 KB  
Article
Analyzing Ecological Environmental Quality Trends in Dhaka Through Remote Sensing Based Ecological Index (RSEI)
by Md. Mahmudul Hasan, Md Tasim Ferdous, Md. Talha, Pratik Mojumder, Sujit Kumar Roy, Md. Nasim Fardous Zim, Most. Mitu Akter, N M Refat Nasher, Fahdah Falah Ben Hasher, Martin Boltižiar and Mohamed Zhran
Land 2025, 14(6), 1258; https://doi.org/10.3390/land14061258 - 11 Jun 2025
Cited by 2 | Viewed by 5376
Abstract
Assessing the ecological environmental quality (EEQ) is crucial for protecting the environment. Dhaka’s rapid, unplanned urbanization, driven by economic and social growth, poses significant eco-environmental challenges. Spatiotemporal ecological and environmental quality changes were assessed using remote sensing based ecological index (RSEI) maps derived [...] Read more.
Assessing the ecological environmental quality (EEQ) is crucial for protecting the environment. Dhaka’s rapid, unplanned urbanization, driven by economic and social growth, poses significant eco-environmental challenges. Spatiotemporal ecological and environmental quality changes were assessed using remote sensing based ecological index (RSEI) maps derived from Landsat images (1993, 2003, 2013, and 2023). RSEI was based on four indicators—greenness (NDVI), heat index (LST), dryness (NDBSI), and wetness (LSM). Landsat 5 TM and 8 OLI/TIRS images were processed on Google Earth Engine (GEE), with principal component analysis (PCA) applied to determine RSEI. The findings showed a decline in the overall RSEI (1993–2023), with low- and very low-quality areas increasing by about 39% and high- and very high-quality areas decreasing by 24% of the total area. NDBSI and LST were negatively correlated with RSEI, except in 1993, while NDVI and LSM were generally positive but negative in 1993. The global Moran’s I (0.88–0.93) indicated strong spatial correlation in the distribution of EEQ across Dhaka. LISA cluster maps showed high-high clusters in the northeast and east, while low-low clusters were concentrated in the northwest. This research examines the degradation of ecological conditions over time in Dhaka and provides valuable insights for policymakers to address environmental issues and improve future ecological management. Full article
(This article belongs to the Special Issue Integration of Remote Sensing and GIS for Land Use Change Assessment)
Show Figures

Figure 1

25 pages, 20938 KB  
Article
Spatiotemporal Impact of Urbanization on Urban Heat Island Using Landsat Imagery in Oran, Algeria: 1984–2024
by Ibka Mohamed Soufiane, Rahal Driss Djaouad, Benharats Farah and Sifodil Djamel
Urban Sci. 2025, 9(4), 95; https://doi.org/10.3390/urbansci9040095 - 25 Mar 2025
Cited by 5 | Viewed by 4046
Abstract
Urbanization promotes urban infrastructure development and increases artificial impervious surfaces, leading to rising temperatures and urban climate alterations, contributing to the appearance and intensification of the Urban Heat Island (UHI). In this study, a 40-year time series of Landsat images of the city [...] Read more.
Urbanization promotes urban infrastructure development and increases artificial impervious surfaces, leading to rising temperatures and urban climate alterations, contributing to the appearance and intensification of the Urban Heat Island (UHI). In this study, a 40-year time series of Landsat images of the city of Oran was used to generate two biophysical indices. The Normalized Difference Built-up Index (NDBI) distinguished built-up areas from non-built-up areas, while a semi-automatic classification produced Land Use/Land Cover (LULC) maps, for a precise analysis of urban sprawl. The results revealed a significant expansion of urban areas, with an increase of 65.28 km2 between 1984 and 2024. The Normalized Difference Vegetation Index (NDVI) was used to estimate Land Surface Temperature (LST) by applying the “Mono Window” algorithm for Thematic Mapper (TM) images and the “Split Window” algorithm for Enhanced Thematic Mapper (ETM+) and Operational Land Imager–Thermal Infrared Sensor (OLI–TIRS) images. The surface temperature difference between urban and rural areas increased from 0.36 °C in 1984 to 4.5 °C in 2024, highlighting the intensification of the Surface UHI (SUHI) effect. LST maps also helped to identify the areas most vulnerable to UHI, as well as those where this effect is persistent, corresponding to the Permanent UHI (PUHI). Full article
Show Figures

Figure 1

25 pages, 7733 KB  
Article
The Role of Urban Landscape on Land Surface Temperature: The Case of Muratpaşa, Antalya
by Mehmet Tahsin Şahin, Halil Hadimli, Çağlar Çakır, Üzeyir Yasak and Furkan Genişyürek
Land 2025, 14(4), 663; https://doi.org/10.3390/land14040663 - 21 Mar 2025
Cited by 3 | Viewed by 2467
Abstract
The role of landscape configuration in urban heat island effects is crucial for sustainable urban planning. This study examines the impact of land-use changes on land surface temperature (LST) in the Muratpaşa District of Antalya from 1984 to 2024. Data from 1984, 1989, [...] Read more.
The role of landscape configuration in urban heat island effects is crucial for sustainable urban planning. This study examines the impact of land-use changes on land surface temperature (LST) in the Muratpaşa District of Antalya from 1984 to 2024. Data from 1984, 1989, 1994, 1999, 2004, 2009, 2014, 2019, and 2024 were analyzed at five-year intervals. Land-use maps and LST data were derived from the thermal infrared bands of Landsat-5 TM and Landsat-8 OLI-TIRS. LST values, categorized into seven groups, were calculated by converting radiance values into spectral radiation and Kelvin temperatures. Land-use classes, including green land, agricultural land, constructive land, water land, and bare land, were identified using interactive supervised classification. Landscape patterns were analyzed using ten indices within the framework of landscape ecology. ArcGIS 10.8.1 and Fragstats 4.2 software were used for analyses. Findings reveal a significant increase in surface temperatures over four decades, driven by urban expansion. Increased impervious surfaces created more high temperature zones, while reduced green spaces intensified the urban heat island effect. A strong correlation between LST and land-use patterns was identified, providing insights for urban heat management and climate change adaptation. Full article
(This article belongs to the Special Issue Urban Regeneration: Challenges and Opportunities for the Landscape)
Show Figures

Figure 1

15 pages, 930 KB  
Article
Real-World Life Analysis of a Continuous Glucose Monitoring and Smart Insulin Pen System in Type 1 Diabetes: A Cohort Study
by Paola Pantanetti, Giovanni Cangelosi, Sara Morales Palomares, Gaetano Ferrara, Federico Biondini, Stefano Mancin, Gabriele Caggianelli, Mauro Parozzi, Marco Sguanci and Fabio Petrelli
Diabetology 2025, 6(1), 7; https://doi.org/10.3390/diabetology6010007 - 16 Jan 2025
Cited by 12 | Viewed by 4558
Abstract
Background: Diabetes affects over 460 million people worldwide and represents a growing public health challenge driven largely by dietary and lifestyle factors. While Type 2 diabetes (T2D) is more prevalent, Type 1 diabetes (T1D) presents unique therapeutic challenges, particularly in younger individuals. Advances [...] Read more.
Background: Diabetes affects over 460 million people worldwide and represents a growing public health challenge driven largely by dietary and lifestyle factors. While Type 2 diabetes (T2D) is more prevalent, Type 1 diabetes (T1D) presents unique therapeutic challenges, particularly in younger individuals. Advances in diabetes management, such as continuous glucose monitoring (CGM), insulin pumps (IP), and, more recently, smart multiple dose injection (MDI) pens, have significantly enhanced glycemic control and improved patients’ quality of life. Aim: This study aims to evaluate the baseline characteristics of patients switching from MDI therapy to the Medtronic Smart MDI system [composed of a smart insulin pen (InPenTM) and a connected CGM Medtronic SimpleraTM sensor] and to assess its impact on glycemic outcomes over different time periods (14, 30, and 90 days). Methods: A retrospective observational study was conducted among adults with T1D who initiated Medtronic Smart MDI therapy. Participants were enrolled voluntarily at the Diabetes and Nutrition Clinic in Ast Fermo, Marche Region, Italy. Glycemic parameters were monitored using CGM data and analyzed with descriptive statistics, including mean, standard deviation (SD), and interquartile range (IQR). Comparisons across time periods were performed using the Wilcoxon signed-rank test, with statistical significance set at p < 0.05. Results: This study included 21 participants with a mean age of 51.5 years, a mean BMI of 24.7, and a mean duration of T1D of 21.9 years. The transition from a traditional MDI system to the Smart MDI system resulted in significant improvements in key glycemic parameters: mean Sensor Glucose (SG) decreased from 171.0 mg/dL to 153.5 mg/dL (p = 0.035), Time In Range (TIR) increased from 58.0% to 64.4% (p = 0.005), and time above range (TAR; >180 mg/dL) decreased from 39.0% to 34.2% (p = 0.015). No significant differences were observed in the time below range (TBR). Conclusions: The transition to the Medtronic Smart MDI system significantly enhanced glycemic control by lowering mean glucose levels and increasing TIR. These findings highlight its efficacy in improving hyperglycemia management while maintaining a stable risk of hypoglycemia. Full article
Show Figures

Figure 1

24 pages, 40450 KB  
Article
Ecological Stress Modeling to Conserve Mangrove Ecosystem Along the Jazan Coast of Saudi Arabia
by Asma A. Al-Huqail, Zubairul Islam and Hanan F. Al-Harbi
Land 2025, 14(1), 70; https://doi.org/10.3390/land14010070 - 2 Jan 2025
Cited by 2 | Viewed by 2556
Abstract
Mangrove ecosystems are increasingly threatened by climate change and coastal development, making precise ecological stress modeling essential for informing conservation strategies. This study employs AI-based classification techniques to classify mangroves using Landsat 8-SR OLI/TIRS sensors (2023) along the Jazan Coast, identifying a total [...] Read more.
Mangrove ecosystems are increasingly threatened by climate change and coastal development, making precise ecological stress modeling essential for informing conservation strategies. This study employs AI-based classification techniques to classify mangroves using Landsat 8-SR OLI/TIRS sensors (2023) along the Jazan Coast, identifying a total mangrove area of 19.4 km2. The ensemble classifier achieved an F1 score of 95%, an overall accuracy of 93%, and a kappa coefficient of 0.86. Ecological stress was modeled via a generalized additive model (GAM) with key predictors, including trends in the NDVI, NDWIveg (vegetation water content), NDWIow (open water), and LST from 1991 to 2023, which were derived using surface reflectance (SR) products from Landsat 5 TM, Landsat 7 ETM+, and Landsat 8 OLI/TIRS sensors. The model exhibited strong performance, with an R2 of 0.89. Model diagnostics using linear regression (R2 = 0.86), a high F-statistic, minimal intercept, and 10-fold cross-validation confirmed the model’s robustness, with a consistent MSE (0.12) and cross-validated R2 of 0.86. Moran’s I analysis also indicated significant spatial clustering. Findings indicate that mangroves in non-ravine, mainland coastal areas experience more ecological stress from disruptions in freshwater and sediment supply due to recent developments. In contrast, island coastal areas exhibit low stress levels due to minimal human activity, except in dense canopy regions where significant stress, likely linked to climate change, was observed. These results underscore the need for further investigation into the drivers of this ecological pressure. Full article
Show Figures

Figure 1

26 pages, 7934 KB  
Article
Study of Land Surface Changes in Highland Environments for the Sustainable Management of the Mountainous Region in Gilgit-Baltistan, Pakistan
by Amjad Ali Khan, Xian Xue, Hassam Hussain, Kiramat Hussain, Ali Muhammad, Muhammad Ahsan Mukhtar and Asim Qayyum Butt
Sustainability 2024, 16(23), 10311; https://doi.org/10.3390/su162310311 - 25 Nov 2024
Cited by 2 | Viewed by 4070
Abstract
Highland ecologies are the most susceptible to climate change, often experiencing intensified impacts. Due to climate change and human activities, there were dramatic changes in the alpine domain of the China–Pakistan Economic Corridor (CPEC), which is a vital project of the Belt and [...] Read more.
Highland ecologies are the most susceptible to climate change, often experiencing intensified impacts. Due to climate change and human activities, there were dramatic changes in the alpine domain of the China–Pakistan Economic Corridor (CPEC), which is a vital project of the Belt and Road Initiative (BRI). The CPEC is subjected to rapid infrastructure expansion, which may lead to potential land surface susceptibility. Hence, focusing on sustainable development goals, mainly SDG 9 (industry, innovation, and infrastructure) and SDG 13 (climate action), to evaluate the conservation and management practices for the sustainable and regenerative development of the mountainous region, this study aims to assess change detection and find climatic conditions using multispectral indices along the mountainous area of Gilgit and Hunza-Nagar, Pakistan. It has yielded practical and highly relevant implications. For sustainable and regenerative ecologies, this study utilized 30 × 30 m Landsat 5 (TM), Landsat 7 (ETM+), and Landsat-8/9 (OLI and TIRS), and meteorological data were employed to calculate the aridity index (AI). The results of the AI showed a non-significant decreasing trend (−0.0021/year, p > 0.05) in Gilgit and a significant decreasing trend (−0.0262/year, p < 0.05) in Hunza-Nagar. NDVI distribution shows a decreasing trend (−0.00469/year, p > 0.05), while NDWI has depicted a dynamic trend in water bodies. Similarly, NDBI demonstrated an increasing trend, with rates of 79.89%, 87.69%, and 83.85% from 2008 to 2023. The decreasing values of AI mean a drying trend and increasing drought risk, as the study area already has an arid and semi-arid climate. The combination of multispectral indices and the AI provides a comprehensive insight into how various factors affect the mountainous landscape and climatic conditions in the study area. This study has practical and highly relevant implications for policymakers and researchers interested in research related to land use and land cover change, environmental and infrastructure development in alpine regions. Full article
Show Figures

Figure 1

20 pages, 39129 KB  
Article
Cold and Wet Island Effect in Mountainous Areas: A Case Study of the Maxian Mountains, Northwest China
by Beibei He, Donghui Shangguan, Rongjun Wang, Changwei Xie, Da Li and Xiaoqiang Cheng
Forests 2024, 15(9), 1578; https://doi.org/10.3390/f15091578 - 9 Sep 2024
Cited by 1 | Viewed by 1778
Abstract
The Maxian Mountains, characterized by high altitudes and abundant vegetation, create a cooler and more humid environment compared to the surrounding areas, and are highly susceptible to climate change. In order to study the cold and wet island effects in the Maxian Mountains, [...] Read more.
The Maxian Mountains, characterized by high altitudes and abundant vegetation, create a cooler and more humid environment compared to the surrounding areas, and are highly susceptible to climate change. In order to study the cold and wet island effects in the Maxian Mountains, air temperature and relative humidity (RH) were analyzed using meteorological station data. Additionally, spatial variations were examined by retrieving Land Surface Temperature (LST) and the Temperature Vegetation Dryness Index (TVDI) from 2001 to 2021. The most pronounced cold island effect was observed in the mountainous area during summer, mainly in May and July. The most significant wet island effect was observed from March to May, with an average relative humidity difference of 24.72%. The cold island area index, as an indicator of the cold island effect, revealed an increasing trend in the summer cold island effect in recent years. The cooling intensity ranged from 5 to 10 °C, with variations observed between 500 and 1000 m. A 30% increase in wet island effects in summer was observed, with a humidification intensity within a range of 500 m. Geodetector analysis identified vegetation cover as the primary factor affecting the thermal environment in mountainous areas. The increase in vegetation in mountainous areas was identified as the main reason for enhancing the cold and wet island effects. The findings emphasize the role of vegetation in enhancing cold and wet island effects, which is crucial for understanding and preserving mountainous regions. Full article
(This article belongs to the Special Issue Application of Remote Sensing in Vegetation Dynamic and Ecology)
Show Figures

Figure 1

20 pages, 7999 KB  
Article
Construction and Application of a Coastline Ecological Index: A Case Study of Fujian Province, China
by Xiaoxiang Liu and Xiongzhi Xue
Sustainability 2024, 16(13), 5480; https://doi.org/10.3390/su16135480 - 27 Jun 2024
Cited by 3 | Viewed by 1740
Abstract
Coastlines are at the forefront of interactions between the ocean and land, and have important ecological significance. Remote sensing technology, with its advantages in obtaining large-scale and multiscale data, has become an important aid in constructing comprehensive ecological environment indicators. Based on the [...] Read more.
Coastlines are at the forefront of interactions between the ocean and land, and have important ecological significance. Remote sensing technology, with its advantages in obtaining large-scale and multiscale data, has become an important aid in constructing comprehensive ecological environment indicators. Based on the Landsat TM/ETM+/OLI/TIRS data sources and remote sensing technology, a comprehensive index to evaluate the ecological health of the coastline, the coastline ecological index (CEI), was proposed, and the mainland coastline ecology of Fujian Province from 1992 to 2022 was evaluated. Case studies show that the ecological health of Fujian Province’s coastline, as measured by CEI values, decreased from 98.1 in 1992 to 16.6 in 2007 and then gradually increased to 37.6 in 2022, demonstrating a trend of initial decline followed by a rise. During the study period, the total length of Fujian Province’s coastline decreased from 3373.1 km in 1992 to 2985.5 km in 2012 and then increased to 3123.4 km in 2022, accompanied by the transformation of a large number of natural coastlines into artificial coastlines. The study found that before 2007, China carried out unreasonable development of its coastline for economic development, which caused natural coastline damage and a decline in the CEI value. Since 2012, China has combined environmental protection with economic development. Policy adjustments have reduced coastline damage and increased restoration efforts, and the CEI value has risen. The CEI constructed in this study has good adaptability for application in Fujian Province, and changes in CEI values can better reflect changes in the ecological degree of the coastline in Fujian Province. Following a case study and detailed discussion, we believe that CEI has universal applicability for the comprehensive evaluation of coastline ecology. Full article
Show Figures

Figure 1

35 pages, 16735 KB  
Article
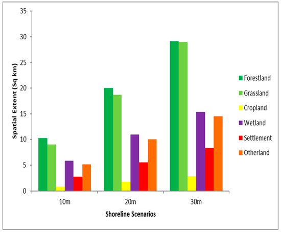
Scenario Analysis of Shorelines, Coastal Erosion, and Land Use/Land Cover Changes and Their Implication for Climate Migration in East and West Africa
by Oye Ideki and Osinachi Ajoku
J. Mar. Sci. Eng. 2024, 12(7), 1081; https://doi.org/10.3390/jmse12071081 - 26 Jun 2024
Viewed by 3370
Abstract
Climate change-induced sea level rise, shoreline changes, and coastal erosion are projected to drive massive population displacement and mobility in Africa. This study was conducted to examine the pattern of shoreline changes, coastal erosion, land use/land cover dynamics, projections, and their implications on [...] Read more.
Climate change-induced sea level rise, shoreline changes, and coastal erosion are projected to drive massive population displacement and mobility in Africa. This study was conducted to examine the pattern of shoreline changes, coastal erosion, land use/land cover dynamics, projections, and their implications on internal migration in Senegal, Kenya, and Tanzania, representing West and East Africa. The digitized shoreline was mapped into erosion, accretion, and trend analysis, which further explains the vulnerability and physical processes that could trigger human displacement within the context of environmental/climate migration. Analysis of land use and land cover dynamics was obtained from Landsat 5 TM of 1986, Landsat 7 ET of 2006, Landsat 8 OLI/TIRS of 2016, and Landsat 9 OLI/TIRS of 2022 and computed using ArcGIS 10.7 for land-use change and percentage change in square kilometers was conducted to examine land use/land cover dynamics and their contributions to the risk of coastal erosion in the study regions. The outcome of the shoreline analysis reveals that 972.03 sqkm of land has been lost to coastal erosion in Senegal from 1986 to 2022 with 2016–2022 described as the period with the highest in terms of land loss. In Kenya, −463.30 sqkm of land has also been lost to coastal erosion and agents of wave processes, with 1986–2006 recording the highest share of −87.74% loss of valuable land, while in Tanzania, −1033.35 sqkm of valuable land has been lost from 1986 to 2022 to coastal erosion, with 2006–2016 alone recording −10.4634% of land loss. The result of the land use/land cover percentage change analysis indicates a massive loss of vegetation cover with a significant increase in settlement representing urbanization. The scenario analysis of the shoreline at 10, 20, and 30 m indicates that 567 persons per sqkm at 10 m, 25,904.6 persons per sqkm at 20 m, and 25,904.5 persons per sqkm will be displaced in Senegal at 30 m. In Kenya, 57,746 persons per sqkm are projected to be displaced at 10 m while 1210.5 persons per sqkm will be displaced at 20 m and 7737.32 persons per sqkm will be displaced at 30 m. In Tanzania, the maximum population density projected to be displaced at 10, 20, and 30 m is 10,260.97 per sqkm. Structured questionnaires were administered to elicit responses from coastal dwellers on their perception of coastal erosion and climate migration as part of ground truthing and the result of the survey affirms that coastal erosion and its exposure are the major drivers of climate migration in the study area. Full article
(This article belongs to the Section Coastal Engineering)
Show Figures

Figure 1

22 pages, 2602 KB  
Article
Validating Landsat Analysis Ready Data for Nearshore Sea Surface Temperature Monitoring in the Northeast Pacific
by Alena Wachmann, Samuel Starko, Christopher J. Neufeld and Maycira Costa
Remote Sens. 2024, 16(5), 920; https://doi.org/10.3390/rs16050920 - 6 Mar 2024
Cited by 10 | Viewed by 2775
Abstract
In the face of global ocean warming, monitoring essential climate variables from space is necessary for understanding regional trends in ocean dynamics and their subsequent impacts on ecosystem health. Analysis Ready Data (ARD), being preprocessed satellite-derived products such as Sea Surface Temperature (SST), [...] Read more.
In the face of global ocean warming, monitoring essential climate variables from space is necessary for understanding regional trends in ocean dynamics and their subsequent impacts on ecosystem health. Analysis Ready Data (ARD), being preprocessed satellite-derived products such as Sea Surface Temperature (SST), allow for easy synoptic analysis of temperature conditions given the consideration of regional biases within a dynamic range. This is especially true for SST retrieval in thermally complex coastal zones. In this study, we assessed the accuracy of 30 m resolution Landsat ARD Surface Temperature products to measure nearshore SST, derived from Landsat 8 TIRS, Landsat 7 ETM+, and Landsat 5 TM thermal bands over a 37-year period (1984–2021). We used in situ lighthouse and buoy matchup data provided by Fisheries and Oceans Canada (DFO). Excellent agreement (R2 of 0.94) was found between Landsat and spring/summer in situ SST at the farshore buoy site (>10 km from the coast), with a Landsat mean bias (root mean square error) of 0.12 °C (0.95 °C) and a general pattern of SST underestimation by Landsat 5 of −0.28 °C (0.96 °C) and overestimation by Landsat 8 of 0.65 °C (0.98 °C). Spring/summer nearshore matchups revealed the best Landsat mean bias (root mean square error) of −0.57 °C (1.75 °C) at 90–180 m from the coast for ocean temperatures between 5 °C and 25 °C. Overall, the nearshore image sampling distance recommended in this manuscript seeks to capture true SST as close as possible to the coastal margin—and the critical habitats of interest—while minimizing the impacts of pixel mixing and adjacent land emissivity on satellite-derived SST. Full article
(This article belongs to the Special Issue Coastal and Littoral Observation Using Remote Sensing)
Show Figures

Figure 1

10 pages, 452 KB  
Article
Use of Advanced Hybrid Closed-Loop System during Pregnancy: Strengths and Limitations of Achieving a Tight Glycemic Control
by Parthena Giannoulaki, Evangelia Kotzakioulafi, Alexandros Nakas, Zisis Kontoninas, Polykarpos Evripidou and Triantafyllos Didangelos
J. Clin. Med. 2024, 13(5), 1441; https://doi.org/10.3390/jcm13051441 - 1 Mar 2024
Cited by 5 | Viewed by 2670
Abstract
Background: Pregnant women with type 1 diabetes mellitus (T1DM) face an elevated risk of complications for both themselves and their newborns. Experts recommend strict glycemic control. The advanced hybrid closed-loop (AHCL) system, though not officially approved for pregnant T1DM patients, is promising [...] Read more.
Background: Pregnant women with type 1 diabetes mellitus (T1DM) face an elevated risk of complications for both themselves and their newborns. Experts recommend strict glycemic control. The advanced hybrid closed-loop (AHCL) system, though not officially approved for pregnant T1DM patients, is promising for optimal glycemic control. Methods: We collected CGM metrics, HbA1c levels, insulin pump settings, and doses from a 33-year-old pregnant woman with 23-year history of T1DM from the 6th week of gestation to birth. She was initially on continuous insulin pump therapy with CGM and switched to the AHCL system (MiniMedTM 780G, Medtronic, Northridge, CA, USA) between weeks 13 and 14. Results: The AHCL system improved glycemic control from weeks 14 to 26, achieving international guidelines with TIR = 72%, TAR = 24%, TBR = 4%. At week 30, TIR was 66%, TAR 31%. By altering diet and adding ‘fake carbohydrates’, she maintained TIR ≥ 70%, TBR ≤ 4%, TAR ≤ 26% from week 34 to birth. A healthy 4 kg, 53 cm baby boy was born at week 38. Conclusions: The use of the AHCL system holds significant promise for improving glycemic control in pregnancy. Optimal glycemic control with MiniMedTM 780G in pregnancy requires accurate carbohydrate counting, specific timing of insulin doses in relation to meal consumption and dietary choices that reduce the glycemic load of meals continue to be crucial factors in achieving optimal glycemic control during pregnancy using the MiniMedTM 780G system. Further research and clinical studies are needed to explore the full potential of these advanced systems in managing T1DM during pregnancy and optimizing maternal and neonatal outcomes. Full article
Show Figures

Figure 1

16 pages, 8348 KB  
Article
Trends in Concentration and Flux of Total Suspended Matter in the Irrawaddy River
by Zhuoqi Zheng, Difeng Wang, Dongyang Fu, Fang Gong, Jingjing Huang, Xianqiang He and Qing Zhang
Remote Sens. 2024, 16(5), 753; https://doi.org/10.3390/rs16050753 - 21 Feb 2024
Cited by 1 | Viewed by 2356
Abstract
Large rivers without hydrological data from remote sensing observations have recently become a hot research topic. The Irrawaddy River is among the major tropical rivers worldwide; however, published hydrological data on this river have rarely been obtained in recent years. In this paper, [...] Read more.
Large rivers without hydrological data from remote sensing observations have recently become a hot research topic. The Irrawaddy River is among the major tropical rivers worldwide; however, published hydrological data on this river have rarely been obtained in recent years. In this paper, based on the existing measured the total suspended matter flux (FTSM) and discharge data for the Irrawaddy River, an inversion model of the total suspended matter concentration (CTSM) is constructed for the Irrawaddy River, and the CTSM and FTSM from 1990 to 2020 are estimated using the L1 products of Landsat-8 OLI/TIRS and Landsat-5 TM. The results show that over the last 30 years, the FTSM of the Irrawaddy River decreased at a rate of 3.9 Mt/yr, which is significant at the 99% confidence interval. An increase in the vegetation density of the Irrawaddy Delta has increased the land conservation capacity of the region and reduced the inflow of land-based total suspended matter (TSM). The FTSM of the Irrawaddy River was estimated by fusing satellite data and data measured at hydrological stations. The research method employed in this paper provides a new supplement to the existing hydrological data for large rivers. Full article
(This article belongs to the Topic Advances in Hydrogeological Research)
Show Figures

Figure 1

20 pages, 4524 KB  
Article
Changes in Qinghai Lake Area and Their Interactions with Climatic Factors
by Xiaolu Ling, Zeyu Tang, Jian Gao, Chenggang Li and Wenhao Liu
Remote Sens. 2024, 16(1), 129; https://doi.org/10.3390/rs16010129 - 28 Dec 2023
Cited by 10 | Viewed by 2465
Abstract
Lakes play a crucial role in the global water cycle and significantly contribute to enhancing regional ecological environments and simulating economic growth. In this study, based on the data from the Landsat TM 4-5, Landsat 7 ETM SLC-off, and Landsat 8-9 OLI/TIRS C2 [...] Read more.
Lakes play a crucial role in the global water cycle and significantly contribute to enhancing regional ecological environments and simulating economic growth. In this study, based on the data from the Landsat TM 4-5, Landsat 7 ETM SLC-off, and Landsat 8-9 OLI/TIRS C2 L2 satellites, the surface area of Qinghai Lake is obtained by using the Normalized Difference Water Index (NDWI) method. Additionally, leveraging the European Centre for Medium-Range Weather Forecasts (ECMWF) fifth-generation land surface reanalysis dataset (ERA5-Land), we analyzed the interplay between lake area and related climate factors by using the Noise Assisted–Multivariate Empirical Mode Decomposition (NA-MEMD) and wavelet coherence analysis method. The surface area of Qinghai Lake showed an overall expansion trend from 1986 to 2022, with an expansion rate of 2.89 km2/a. Precipitation, temperature, and evapotranspiration (ET) also showed an increasing trend, with the largest increasing trend in autumn, summer, and summer, respectively. The area of Qinghai Lake did not demonstrate distinct periodic patterns from 1986 to 2022, in contrast to the marked 8–16 month oscillations observed in precipitation, temperature, and ET. In the phase of lake area expansion between 2008 and 2016, changes in the lake’s surface area were observed to trail behind variations in precipitation and temperature by approximately three months. Furthermore, the shift in ET was found to lag behind alterations in the lake area, displaying a delay of 3–6 months. Full article
Show Figures

Figure 1

10 pages, 487 KB  
Article
Pediatric Type 1 Diabetes: Is Age at Onset a Determining Factor in Advanced Hybrid Closed-Loop Insulin Therapy?
by Alfonso Lendínez-Jurado, Juan Pedro López-Siguero, Ana Gómez-Perea, Ana B. Ariza-Jiménez, Icía Becerra-Paz, Leopoldo Tapia-Ceballos, Carmen Cruces-Ponce, José Manuel Jiménez-Hinojosa, Sonsoles Morcillo and Isabel Leiva-Gea
J. Clin. Med. 2023, 12(21), 6951; https://doi.org/10.3390/jcm12216951 - 6 Nov 2023
Cited by 1 | Viewed by 1788
Abstract
Background: The integration of continuous glucose monitoring systems with insulin infusion pumps has shown improved glycemic control, with improvements in hyperglycemia, hypoglycemia, Hb1Ac, and greater autonomy in daily life. These have been most studied in adults and there are currently not many articles [...] Read more.
Background: The integration of continuous glucose monitoring systems with insulin infusion pumps has shown improved glycemic control, with improvements in hyperglycemia, hypoglycemia, Hb1Ac, and greater autonomy in daily life. These have been most studied in adults and there are currently not many articles published in the pediatric population that establish their correlation with age of debut. Methods: Prospective, single-study. A total of 28 patients (mean age 12 ± 2.43 years, 57% male, duration of diabetes 7.84 ± 2.46 years) were included and divided into two groups according to age at T1D onset (≤4 years and >4 years). Follow-up for 3 months, with glucometric variables extracted at different cut-off points after the start of the closed-loop (baseline, 1 month, 3 months). Results: Significant improvement was evidenced at 1 month and 3 months after closed-loop system implantation, with better glycemic control in the older age group at baseline at TIR (74.06% ± 6.37% vs. 80.33% ± 7.49% at 1 month, p < 0.003; 71.87% ± 6.58% vs. 78.75% ± 5.94% at 3 months, p < 0.009), TAR1 (18.25% ± 4.54% vs. 14.33% ± 5.74% at 1 month, p < 0.006; 19.87% ± 5.15% vs. 14.67% ± 4. 36% at 3 months, p < 0.009) and TAR2 (4.75% ± 2.67% vs. 2.75% ± 1.96% at 1 month, p = 0.0307; 5.40% ± 2.85% vs. 3% ± 2.45% at 3 months, p < 0.027). Conclusions: the use of automated systems such as the MiniMedTM780G system brings glucometric results closer to those recommended by consensus, especially in age at T1D onset >4 years. However, the management in pediatrics continues to be a challenge even after the implementation of these systems, especially in terms of hyperglycemia and glycemic variability. Full article
(This article belongs to the Special Issue Endocrine Disorders in Children)
Show Figures

Graphical abstract

Back to TopTop