Sign in to use this feature.

Years

Between: -

Subjects

remove_circle_outline
remove_circle_outline
remove_circle_outline
remove_circle_outline
remove_circle_outline
remove_circle_outline
remove_circle_outline

Journals

Article Types

Countries / Regions

Search Results (28)

Search Parameters:
Keywords = T-micromixer

Order results
Result details
Results per page
Select all
Export citation of selected articles as:
20 pages, 13471 KB  
Article
Numerical Investigation of Vortex-Induced Enhancement in the Mixing Characteristics of Double-Spiral and Serpentine Microchannels
by Litao Qin, Zhen Jiang, Dongjian Zhou, Jincai Yue and Huanong Cheng
Micromachines 2025, 16(9), 1016; https://doi.org/10.3390/mi16091016 - 31 Aug 2025
Viewed by 851
Abstract
To enhance passive mixing in microchannels, T-shaped double-spiral and serpentine microchannels with identical curvature radii were designed and numerically analyzed across a Reynolds number (Re) range of 1 to 300. The double-spiral microchannel exhibited superior mixing performance at Re ≤ 200, [...] Read more.
To enhance passive mixing in microchannels, T-shaped double-spiral and serpentine microchannels with identical curvature radii were designed and numerically analyzed across a Reynolds number (Re) range of 1 to 300. The double-spiral microchannel exhibited superior mixing performance at Re ≤ 200, which is primarily attributed to the efficient utilization of Dean vortices. In contrast, the serpentine microchannel showed better performance at Re ≥ 250, benefiting from the early formation of four-vortex structures induced by periodic curvature reversals. To further enhance the performance of the serpentine microchannel at low Re, groove structures with varying orientation angles were incorporated. The introduction of the groove structures generated lateral secondary flows that not only increased flow disturbances but also disrupted the symmetry of the Dean vortices. Among these configurations, Structure 2, with a 45° angle between the groove direction and centrifugal force, exhibited the most pronounced enhancement in vortex intensity, as the secondary flows induced by the grooves synergistically interacted with the Dean vortices. This configuration resulted in the highest mixing enhancement (>50%). This study provides valuable insights into geometry-driven mixing mechanisms and offers design guidelines for high-efficiency micromixers across a wide range of Re. Full article
(This article belongs to the Collection Micromixers: Analysis, Design and Fabrication)
Show Figures

Figure 1

14 pages, 6847 KB  
Article
Effects of Geometric Parameters on Mixing Efficiency and Optimization in Variable Cross Section Microchannels
by Lijun Yang, Yu Hang, Renjie Liu, Zongan Li and Ye Wu
Micromachines 2025, 16(9), 1001; https://doi.org/10.3390/mi16091001 - 29 Aug 2025
Viewed by 567
Abstract
Micromixers are important devices used in many fields for various applications which provide high mixing efficiencies and reduce the amount of reagents and samples. In addition, effective premixing of reactants is essential for obtaining high reaction rates. In order to further improve the [...] Read more.
Micromixers are important devices used in many fields for various applications which provide high mixing efficiencies and reduce the amount of reagents and samples. In addition, effective premixing of reactants is essential for obtaining high reaction rates. In order to further improve the mixing performance, three-dimensional numerical simulations and optimizations of the flow and mixing characteristics within a variable cross section T-shaped micromixer were carried out. The effects of the geometric parameters containing channel diameter, channel shape, channel contraction and expansion ratio, and number of expansion units on the mixing were investigated with the evaluation criteria of mixing index and performance index. The optimized geometric parameters of the channel were a diameter of 0.2 mm, the shape of Sem channel, an expansion ratio of 1:3, and a number of expansion units of 7, respectively. It can be showed that the mixing efficiency of the optimized micromixer was greatly improved, and the mixing index at different velocities could reach up to more than 0.98. Full article
(This article belongs to the Collection Micromixers: Analysis, Design and Fabrication)
Show Figures

Figure 1

14 pages, 1745 KB  
Article
Investigation of Efficient Mixing Enhancement in a Droplet Micromixer with Short Mixing Length at Low Reynolds Number
by Yuanfang Qiu, Xueze Zhang, Mengzhen Hao, Xu Yin, Mengling Zhou, Shichao Ma, Yuanting Zhang, Naiqian Jiang, Li Xie, Xichen Yuan and Honglong Chang
Micromachines 2025, 16(6), 715; https://doi.org/10.3390/mi16060715 - 16 Jun 2025
Viewed by 880
Abstract
Rapid mixing is widely prevalent in the field of microfluidics, encompassing applications such as biomedical diagnostics, drug delivery, chemical synthesis, and enzyme reactions. Mixing efficiency profoundly impacts the overall performance of these devices. However, at the micro-scale, the flow typically presents as laminar [...] Read more.
Rapid mixing is widely prevalent in the field of microfluidics, encompassing applications such as biomedical diagnostics, drug delivery, chemical synthesis, and enzyme reactions. Mixing efficiency profoundly impacts the overall performance of these devices. However, at the micro-scale, the flow typically presents as laminar flow due to low Reynolds numbers, rendering rapid mixing challenging. Leveraging the vortices within a droplet of the Taylor flow and inducing chaotic convection within the droplet through serpentine channels can significantly enhance mixing efficiency. Based on this premise, we have developed a droplet micromixer that integrates the T-shaped channels required for generating Taylor flow and the serpentine channels required for inducing chaotic convection within the droplet. We determined the range of inlet liquid flow rate and gas pressure required to generate Taylor flow and conducted experimental investigations to examine the influence of the inlet conditions on droplet length, total flow rate, and mixing efficiency. Under conditions where channel dimensions and liquid flow rates are identical, Taylor flow achieves a nine-fold improvement in mixing efficiency compared to single-phase flow. At low Reynolds number (0.57 ≤ Re ≤ 1.05), the chip can achieve a 95% mixing efficiency within a 2 cm distance in just 0.5–0.8 s. The mixer proposed in this study offers the advantages of simplicity in manufacturing and ease of integration. It can be readily integrated into Lab-on-a-Chip devices to perform critical functions, including microfluidic switches, formation of nanocomposites, synthesis of oxides and adducts, velocity measurement, and supercritical fluid fractionation. Full article
(This article belongs to the Collection Micromixers: Analysis, Design and Fabrication)
Show Figures

Graphical abstract

18 pages, 4324 KB  
Article
Exploring the Bioenergy Potential of Microfluidics: The Case of a T-Micromixer with Helical Elements for Sustainable Energy Solutions
by Abdelkader Mahammedi, Naas Toufik Tayeb, Kouider Rahmani, Awf Al-Kassir and Eduardo Manuel Cuerda-Correa
Energies 2023, 16(20), 7123; https://doi.org/10.3390/en16207123 - 17 Oct 2023
Cited by 4 | Viewed by 1669
Abstract
This study explores the potential application of microfluidics in the field of bioenergy, with a particular focus on the energy potential of biogas derived from vine shoots, a locally abundant waste material. The enhanced mixing capability of a micromixer has been analyzed to [...] Read more.
This study explores the potential application of microfluidics in the field of bioenergy, with a particular focus on the energy potential of biogas derived from vine shoots, a locally abundant waste material. The enhanced mixing capability of a micromixer has been analyzed to make it suitable for microfluidic energy applications. Mixing index, pressure drop, and kinematic measurements within the T-micromixer with helical elements and their related mixing performances have been studied and validated using CFD for different values of Reynolds number (0.1–60) for laminar Newtonian miscible fluid. Geometrical characteristics were further examined to improve the mixing performance. Various values of twisted angles were evaluated and compared to choose the optimal angle. A new parameter, Q, was introduced to represent the ratio of vorticity square over the sum of vorticity square and deformation square intensities. Furthermore, the results of the numerical simulation were compared with the given data in the literature, showing a significant agreement, in addition to the fact that a high-quality mixture can be created with a geometry angle of 90°, and a mixing index above 0.99 can be obtained at low Reynolds numbers. The numerical investigation of the flow regimes of miscible fluid in the T-microkenics with the proposed angle can be utilized to develop the mixing performance of the micromixers in a wide variety of processes. Full article
(This article belongs to the Special Issue Research on Fluid Mechanics and Heat Transfer)
Show Figures

Figure 1

12 pages, 7742 KB  
Article
Topology-Optimized Micromixer Design with Enhanced Reverse Flow to Increase Mixing Efficiency
by Qiang Fu, Zenghao Liu, Shuaiqi Cao, Zhe Wang and Guojun Liu
Micromachines 2023, 14(8), 1599; https://doi.org/10.3390/mi14081599 - 14 Aug 2023
Cited by 6 | Viewed by 2368
Abstract
In this work, a serpentine mixing unit model based on topology optimization is proposed to enhance the reverse flow in both horizontal and vertical directions. The increase in reverse flow in both directions can enhance the chaotic advection phenomenon, leading to a rapid [...] Read more.
In this work, a serpentine mixing unit model based on topology optimization is proposed to enhance the reverse flow in both horizontal and vertical directions. The increase in reverse flow in both directions can enhance the chaotic advection phenomenon, leading to a rapid increase in the mixing index. The proposed mixing unit model is applied in a T-shaped micromixer to create a new micromixer design, named TOD. Numerical simulations of TOD are performed using Comsol Multiphysics software to analyze the characteristics of the liquid flow, mixing surface, and pressure drop. The simulation results confirm that TOD has an outstanding mixing performance. By widening the surface area of contact and enhancing the chaotic advection phenomenon, TOD shows an excellent mixing performance at both a high and low Reynolds number, making it a promising micromixer design. For Re > 5, the mixing indexes of TOD are all beyond 90%. Full article
(This article belongs to the Collection Micromixers: Analysis, Design and Fabrication)
Show Figures

Figure 1

11 pages, 2609 KB  
Article
Micromixing Intensification within a Combination of T-Type Micromixer and Micropacked Bed
by Zhou Lan and Yangcheng Lu
Micromachines 2023, 14(1), 45; https://doi.org/10.3390/mi14010045 - 24 Dec 2022
Cited by 3 | Viewed by 2367
Abstract
The combination of microstructural units is an effective strategy to improve the micromixing of liquid phase systems, especially viscous systems. However, how the microstructural combination influences micromixing is still not systematically investigated. In this work, the Villermaux/Dushman reaction is used to study the [...] Read more.
The combination of microstructural units is an effective strategy to improve the micromixing of liquid phase systems, especially viscous systems. However, how the microstructural combination influences micromixing is still not systematically investigated. In this work, the Villermaux/Dushman reaction is used to study the micromixing performance of the viscous system of the glycerol–water in the combination of a T-type micromixer and a micropacked bed. Micromixing performances under various structural parameters and fluid characteristics are determined and summarized, and the micromixing laws are revealed by dimensionless analysis considering the specific spatial characteristics and temporal sequence in the combined microstructures. It achieves good agreement with experimental results and enables guidance for the design and scaling-up of the combined T-type micromixer and micropacked bed towards micromixing intensification in viscous reaction systems. Full article
(This article belongs to the Special Issue Micromachines for Chemical Process Intensification, 2nd Edition)
Show Figures

Figure 1

14 pages, 2409 KB  
Article
The Effect of Non-Uniform Magnetic Field on the Efficiency of Mixing in Droplet-Based Microfluidics: A Numerical Investigation
by Masoud Rezaeian, Moein Nouri, Mojtaba Hassani-Gangaraj, Amir Shamloo and Rohollah Nasiri
Micromachines 2022, 13(10), 1661; https://doi.org/10.3390/mi13101661 - 2 Oct 2022
Cited by 13 | Viewed by 3107
Abstract
Achieving high efficiency and throughput in droplet-based mixing over a small characteristic length, such as microfluidic channels, is one of the crucial parameters in Lab-on-a-Chip (LOC) applications. One solution to achieve efficient mixing is to use active mixers in which an external power [...] Read more.
Achieving high efficiency and throughput in droplet-based mixing over a small characteristic length, such as microfluidic channels, is one of the crucial parameters in Lab-on-a-Chip (LOC) applications. One solution to achieve efficient mixing is to use active mixers in which an external power source is utilized to mix two fluids. One of these active methods is magnetic micromixers using ferrofluid. In this technique, magnetic nanoparticles are used to make one phase responsive to magnetic force, and then by applying a magnetic field, two fluid phases, one of which is magneto-responsive, will sufficiently mix. In this study, we investigated the effect of the magnetic field’s characteristics on the efficiency of the mixing process inside droplets. When different concentrations of ferrofluids are affected by a constant magnetic field, there is no significant change in mixing efficiency. As the magnetic field intensifies, the magnetic force makes the circulation flow inside the droplet asymmetric, leading to chaotic advection, which creates a flow that increases the mixing efficiency. The results show that the use of magnetic fields is an effective method to enhance the mixing efficiency within droplets, and the efficiency of mixing increases from 65.4 to 86.1% by increasing the magnetic field intensity from 0 to 90 mT. Besides that, the effect of ferrofluid’s concentration on the mixing efficiency is studied. It is shown that when the concentration of the ferrofluid changes from 0 to 0.6 mol/m3, the mixing efficiency increases considerably. It is also shown that by changing the intensity of the magnetic field, the mixing efficiency increases by about 11%. Full article
(This article belongs to the Special Issue Digital Microfluidics for Liquid Handling and Biochemical Analysis)
Show Figures

Figure 1

25 pages, 4011 KB  
Article
Reactive PLIF Method for Characterisation of Micromixing in Continuous High-Throughput Chemical Reactors
by João Peres Ribeiro, Margarida S. C. A. Brito, Ricardo Jorge Santos and Maria Isabel Nunes
Processes 2022, 10(10), 1916; https://doi.org/10.3390/pr10101916 - 22 Sep 2022
Cited by 4 | Viewed by 2482
Abstract
This work aimed to test and optimise reactive Planar Laser-Induced Fluorescence (PLIF) methods for the visualisation of the micromixing regions in chemical reactors using standard PLIF and Particle Image Velocimetry (PIV) equipment with the laser source 512 nm. Two methods were tested: (i) [...] Read more.
This work aimed to test and optimise reactive Planar Laser-Induced Fluorescence (PLIF) methods for the visualisation of the micromixing regions in chemical reactors using standard PLIF and Particle Image Velocimetry (PIV) equipment with the laser source 512 nm. Two methods were tested: (i) an acid–base reaction with fluorescein as the reaction-sensitive tracer and (ii) Fenton’s reaction, with Rhodamine B as the reaction tracer. Both test-reactions were studied in stopped-flow equipment to define suitable operational conditions, namely the chemical composition of the inflow streams, the concentration of reagents and fluorophore, and suitable excitation light wavelength. The visualisation of the micromixing regions was tested in a continuous flow reactor with a T-jet geometry. A laser light sheet emitted from an Nd:YAG laser illuminated the axial section of the demonstration reactor. The mixing dynamics and the reaction course were visualised with the acid–base reactive PLIF images. Fenton’s reactive PLIF method showed the overall distribution of mixing and reaction regions. The main contribution of this work is benchmarking two methods with costs that enable the visualisation of micromixing regions in continuous high-throughput reactors. Full article
(This article belongs to the Special Issue Recent Development of Mixing in Chemical Processes)
Show Figures

Figure 1

14 pages, 843 KB  
Article
Optimization of a Micromixer with Automatic Differentiation
by Julius Jeßberger, Jan E. Marquardt, Luca Heim, Jakob Mangold, Fedor Bukreev and Mathias J. Krause
Fluids 2022, 7(5), 144; https://doi.org/10.3390/fluids7050144 - 22 Apr 2022
Cited by 9 | Viewed by 3099
Abstract
As micromixers offer the cheap and simple mixing of fluids and suspensions, they have become a key device in microfluidics. Their mixing performance can be significantly increased by periodically varying the inlet pressure, which leads to a non-static flow and improved mixing process. [...] Read more.
As micromixers offer the cheap and simple mixing of fluids and suspensions, they have become a key device in microfluidics. Their mixing performance can be significantly increased by periodically varying the inlet pressure, which leads to a non-static flow and improved mixing process. In this work, a micromixer with a T-junction and a meandering channel is considered. A periodic pulse function for the inlet pressure is numerically optimized with regard to frequency, amplitude and shape. Thereunto, fluid flow and adsorptive concentration are simulated three-dimensionally with a lattice Boltzmann method (LBM) in OpenLB. Its implementation is then combined with forward automatic differentiation (AD), which allows for the generic application of fast gradient-based optimization schemes. The mixing quality is shown to be increased by 21.4% in comparison to the static, passive regime. Methodically, the results confirm the suitability of the combination of LBM and AD to solve process-scale optimization problems and the improved accuracy of AD over difference quotient approaches in this context. Full article
Show Figures

Figure 1

10 pages, 3857 KB  
Article
Rotating Magnetic Field-Assisted Reactor Enhances Mechanisms of Phage Adsorption on Bacterial Cell Surface
by Bartłomiej Grygorcewicz, Rafał Rakoczy, Marta Roszak, Maciej Konopacki, Marian Kordas, Agnieszka Piegat, Natalia Serwin, Elżbieta Cecerska-Heryć, Miroslawa El Fray and Barbara Dołęgowska
Curr. Issues Mol. Biol. 2022, 44(3), 1316-1325; https://doi.org/10.3390/cimb44030088 - 17 Mar 2022
Cited by 12 | Viewed by 3660
Abstract
Growing interest in bacteriophage research and use, especially as an alternative treatment option for multidrug-resistant bacterial infection, requires rapid development of production methods and strengthening of bacteriophage activities. Bacteriophage adsorption to host cells initiates the process of infection. The rotating magnetic field (RMF) [...] Read more.
Growing interest in bacteriophage research and use, especially as an alternative treatment option for multidrug-resistant bacterial infection, requires rapid development of production methods and strengthening of bacteriophage activities. Bacteriophage adsorption to host cells initiates the process of infection. The rotating magnetic field (RMF) is a promising biotechnological method for process intensification, especially for the intensification of micromixing and mass transfer. This study evaluates the use of RMF to enhance the infection process by influencing bacteriophage adsorption rate. The RMF exposition decreased the t50 and t75 of bacteriophages T4 on Escherichia coli cells and vb_SauM_A phages on Staphylococcus aureus cells. The T4 phage adsorption rate increased from 3.13 × 10−9 mL × min−1 to 1.64 × 10−8 mL × min−1. The adsorption rate of vb_SauM_A phages exposed to RMF increased from 4.94 × 10−9 mL × min−1 to 7.34 × 10−9 mL × min−1. Additionally, the phage T4 zeta potential changed under RMF from −11.1 ± 0.49 mV to −7.66 ± 0.29 for unexposed and RMF-exposed bacteriophages, respectively. Full article
(This article belongs to the Collection Feature Papers in Current Issues in Molecular Biology)
Show Figures

Figure 1

17 pages, 10978 KB  
Article
The Influence of the Unit Junction on the Performance of a Repetitive Structure Micromixer
by He Zhang, Shuang Yang, Rongyan Chuai, Xin Li and Xinyu Mu
Micromachines 2022, 13(3), 384; https://doi.org/10.3390/mi13030384 - 27 Feb 2022
Cited by 4 | Viewed by 2261
Abstract
In order to investigate the influence of the unit junction on the micromixer performance, a repetitive structure micromixer with a total length of 12.3 mm was proposed. This micromixer consists of a T-shape inlet channel and six cubic mixing units, as well as [...] Read more.
In order to investigate the influence of the unit junction on the micromixer performance, a repetitive structure micromixer with a total length of 12.3 mm was proposed. This micromixer consists of a T-shape inlet channel and six cubic mixing units, as well as junctions between them. Numerical simulations show that, when the junctions are all located at the geometric center of the cubic mixing unit, the outlet mixing index is 72.12%. At the same flow velocity, the best mixing index achieved 97.15% and was increased by 34.68% when the junctions were located at different corners of the cubic mixing unit. The improvement in the mixing index illustrated that the non-equilibrium vortexes generated by changing the junction location to utilize the restricted diffusion by the mixing unit’s side wall could promote mixing. Visual tests of the micromixer chip prepared by 3D printing were consistent with the simulation results, also indicating that the junction location had a significant influence on the mixer’s performance. This article provides a new idea for optimizing the structural design and improving the performance of micromixers. Full article
(This article belongs to the Special Issue Fluid Dynamics and Heat Transport in Microchannels)
Show Figures

Figure 1

14 pages, 4778 KB  
Article
Rapid AC Electrokinetic Micromixer with Electrically Conductive Sidewalls
by Fang Yang, Wei Zhao, Cuifang Kuang and Guiren Wang
Micromachines 2022, 13(1), 34; https://doi.org/10.3390/mi13010034 - 27 Dec 2021
Cited by 7 | Viewed by 3086
Abstract
We report a quasi T-channel electrokinetics-based micromixer with electrically conductive sidewalls, where the electric field is in the transverse direction of the flow and parallel to the conductivity gradient at the interface between two fluids to be mixed. Mixing results are first compared [...] Read more.
We report a quasi T-channel electrokinetics-based micromixer with electrically conductive sidewalls, where the electric field is in the transverse direction of the flow and parallel to the conductivity gradient at the interface between two fluids to be mixed. Mixing results are first compared with another widely studied micromixer configuration, where electrodes are located at the inlet and outlet of the channel with electric field parallel to bulk flow direction but orthogonal to the conductivity gradient at the interface between the two fluids to be mixed. Faster mixing is achieved in the micromixer with conductive sidewalls. Effects of Re numbers, applied AC voltage and frequency, and conductivity ratio of the two fluids to be mixed on mixing results were investigated. The results reveal that the mixing length becomes shorter with low Re number and mixing with increased voltage and decreased frequency. Higher conductivity ratio leads to stronger mixing result. It was also found that, under low conductivity ratio, compared with the case where electrodes are located at the end of the channel, the conductive sidewalls can generate fast mixing at much lower voltage, higher frequency, and lower conductivity ratio. The study of this micromixer could broaden our understanding of electrokinetic phenomena and provide new tools for sample preparation in applications such as organ-on-a-chip where fast mixing is required. Full article
(This article belongs to the Special Issue Analysis, Design and Fabrication of Micromixers, Volume II)
Show Figures

Figure 1

30 pages, 6496 KB  
Article
Numerical Investigation of Mixing by Induced Electrokinetic Flow in T-Micromixer with Conductive Curved Arc Plate
by Vahabodin Goodarzi, Saeed Hayati Jafarbeygi, Ramezan Ali Taheri, Mikhail Sheremet and Mohammad Ghalambaz
Symmetry 2021, 13(6), 915; https://doi.org/10.3390/sym13060915 - 21 May 2021
Cited by 12 | Viewed by 2741
Abstract
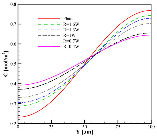
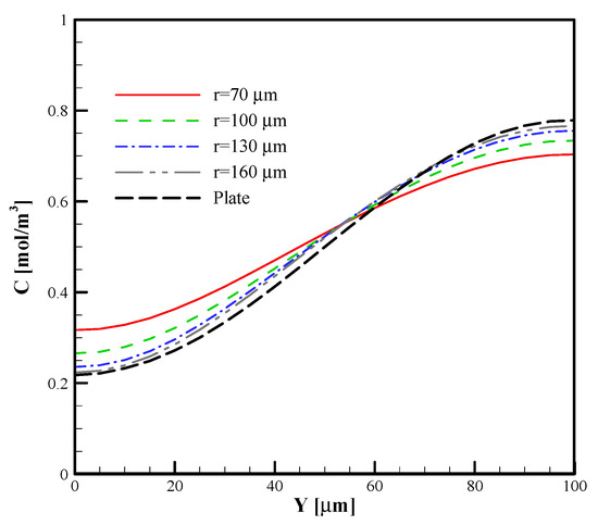
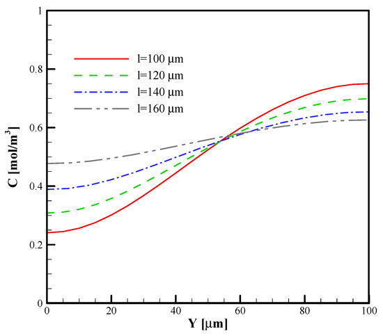
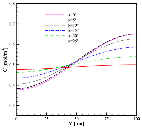
Mixing is essential in microdevices. Therefore, increasing the mixing efficiency has a significant influence on these devices. Using conductive obstacles with special geometry can improve the mixing quality of the micromixers. In this paper, a numerical study on the mixing caused by an [...] Read more.
Mixing is essential in microdevices. Therefore, increasing the mixing efficiency has a significant influence on these devices. Using conductive obstacles with special geometry can improve the mixing quality of the micromixers. In this paper, a numerical study on the mixing caused by an induced-charge electrokinetic micromixer was carried out using a conductive plate with a curved arc shape instead of a conductive flat plate or other non-conductive obstacles for Newtonian fluids. This study also explored the effect of the different radius curves, span length, the number of curved arc plates in the channel, the pattern of arrangement, concavity direction, and the orientation angle against the flow on the mixing. Furthermore, the efficiency of the T-micromixer against a flow with a low diffusion coefficient was investigated. It should be noted that the considered channel is symmetric regarding to the middle horizontal plane and an addition of flat plate reflects a formation of symmetric flow structures that do not allow to improve the mixture process. While an addition of non-symmetric curved arc plates al-lows to increase the mixing by creating vortices. These vortices were created owing to the non-uniform distribution of induced zeta potential on the curved arc plate. A rise in the span length of the curved arc plate when the radius was constant improved the mixing. When three arc plates in one concavity direction were used, the mixing efficiency was 91.86%, and with a change in the concavity direction, the mixing efficiency increased to 95.44%. With a change in the orientation angle from 0 to 25, the mixing efficiency increased by 19.2%. Full article
(This article belongs to the Section Physics)
Show Figures

Figure 1

14 pages, 4309 KB  
Article
Effect of Thermal Energy and Ultrasonication on Mixing Efficiency in Passive Micromixers
by Fahizan Mahmud, Khairul Fikri Tamrin, Shahrol Mohamaddan and Nobuo Watanabe
Processes 2021, 9(5), 891; https://doi.org/10.3390/pr9050891 - 18 May 2021
Cited by 19 | Viewed by 3531
Abstract
Micromixing is a key process in microfluidics technology. However, rapid and efficient fluid mixing is difficult to achieve inside the microchannels due to unfavourable laminar flow. Active micromixers employing ultrasound and thermal energy are effective in enhancing the micromixing process; however, integration of [...] Read more.
Micromixing is a key process in microfluidics technology. However, rapid and efficient fluid mixing is difficult to achieve inside the microchannels due to unfavourable laminar flow. Active micromixers employing ultrasound and thermal energy are effective in enhancing the micromixing process; however, integration of these energy sources within the devices is a non-trivial task. In this study, ultrasound and thermal energy have been extraneously applied at the upstream of the micromixer to significantly reduce fabrication complexity. A novel Dean micromixer was laser-fabricated to passively increase mixing performance and compared with T- and Y-micromixers at Reynolds numbers between 5 to 100. The micromixers had a relatively higher mixing index at lower Reynolds number, attributed to higher residence time. Dean micromixer exhibits higher mixing performance (about 27% better) than T- and Y-micromixers for 40 ≤ Re ≤ 100. Influence of ultrasound and heat on mixing is more significant at 5 ≤ Re ≤ 20 due to the prolonged mechanical effects. It can be observed that mixing index increases by about 6% to 10% once the temperature of the sonicated fluids increases from 30 °C to 60 °C. The proposed method is potentially useful as direct contact of the inductive energy sources may cause unwanted substrate damage and structural deformation especially for applications in biological analysis and chemical synthesis. Full article
Show Figures

Figure 1

15 pages, 4161 KB  
Article
Study on the Technology of Monodisperse Droplets by a High-Throughput and Instant-Mixing Droplet Microfluidic System
by Rui Xu, Shijiao Zhao, Lei Nie, Changsheng Deng, Shaochang Hao, Xingyu Zhao, Jianjun Li, Bing Liu and Jingtao Ma
Materials 2021, 14(5), 1263; https://doi.org/10.3390/ma14051263 - 7 Mar 2021
Cited by 6 | Viewed by 2736
Abstract
In this study, we report a novel high-throughput and instant-mixing droplet microfluidic system that can prepare uniformly mixed monodisperse droplets at a flow rate of mL/min designed for rapid mixing between multiple solutions and the preparation of micro-/nanoparticles. The system is composed of [...] Read more.
In this study, we report a novel high-throughput and instant-mixing droplet microfluidic system that can prepare uniformly mixed monodisperse droplets at a flow rate of mL/min designed for rapid mixing between multiple solutions and the preparation of micro-/nanoparticles. The system is composed of a magneton micromixer and a T-junction microfluidic device. The magneton micromixer rapidly mixes multiple solutions uniformly through the rotation of the magneton, and the mixed solution is sheared into monodisperse droplets by the silicone oil in the T-junction microfluidic device. The optimal conditions of the preparation of monodisperse droplets for the system have been found and factors affecting droplet size are analyzed for correlation; for example, the structure of the T-junction microfluidic device, the rotation speed of the magneton, etc. At the same time, through the uniformity of the color of the mixed solution, the mixing performance of the system is quantitatively evaluated. Compared with mainstream micromixers on the market, the system has the best mixing performance. Finally, we used the system to simulate the internal gelation broth preparation of zirconium broth and uranium broth. The results show that the system is expected to realize the preparation of ceramic microspheres at room temperature without cooling by the internal gelation process. Full article
Show Figures

Figure 1

Back to TopTop