Numerical Investigation of Vortex-Induced Enhancement in the Mixing Characteristics of Double-Spiral and Serpentine Microchannels
Abstract
1. Introduction
2. Numerical Method
2.1. Geometric Model
2.2. Governing Equation
2.3. Numerical Solution
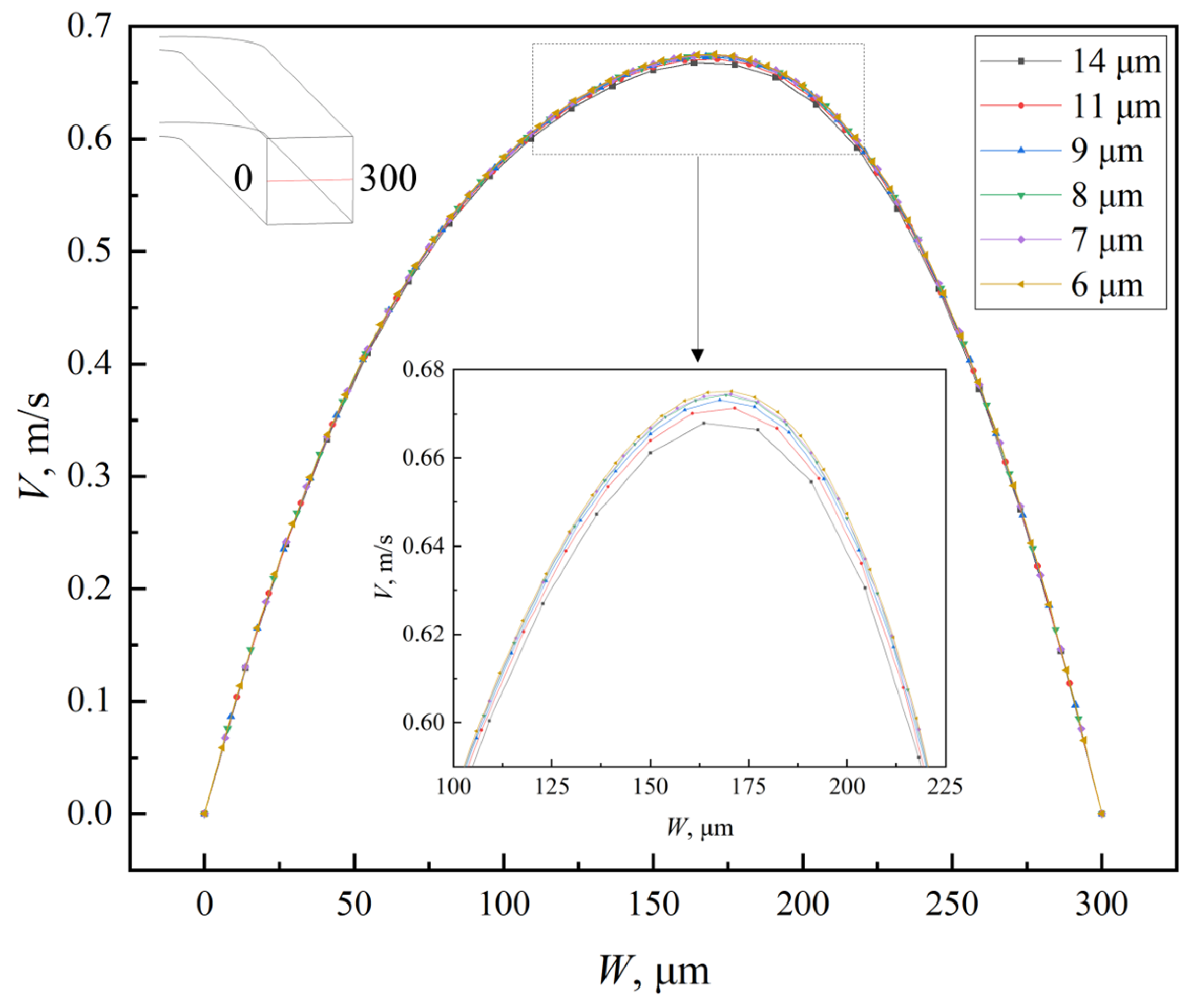
2.4. Grid Independence Verification and Validation of Numerical Simulation
3. Results and Discussion
3.1. Mixing Characteristics of Double-Spiral and Serpentine Microchannels
3.1.1. Concentration Distribution
3.1.2. Mixing Performance
3.1.3. Dean Vortex and Intensity
3.2. Enhancement of Mixing Performance of Serpentine Microchannel
3.2.1. The Effect of Grooves on Concentration Distribution
3.2.2. The Effect of Grooves on Mixing Performance
3.2.3. The Effect of Grooves on Mixing Cost
3.2.4. The Effect of Grooves on Swirling Strength
4. Conclusions
Author Contributions
Funding
Data Availability Statement
Conflicts of Interest
References
- Lee, C.; Wang, W.; Liu, C.; Fu, L. Passive mixers in microfluidic systems: A review. Chem. Eng. J. 2016, 288, 146–160. [Google Scholar] [CrossRef]
- Hessel, V.; Löwe, H.; Schönfeld, F. Micromixers—A review on passive and active mixing principles. Chem. Eng. Sci. 2005, 60, 2479–2501. [Google Scholar] [CrossRef]
- Li, Z.; Zhang, B.; Dang, D.; Yang, X.; Yang, W.; Liang, W. A review of microfluidic-based mixing methods. Sens. Actuators A Phys. 2022, 344, 113757. [Google Scholar] [CrossRef]
- Wang, X.; Liu, Z.; Wang, B.; Cai, Y.; Song, Q. An overview on state-of-art of micromixer designs, characteristics and applications. Anal. Chim. Acta 2023, 1279, 341685. [Google Scholar] [CrossRef] [PubMed]
- Bayareh, M.; Ashani, M.N.; Usefian, A. Active and passive micromixers: A comprehensive review. Chem. Eng. Process.-Process Intensif. 2020, 147, 107771. [Google Scholar] [CrossRef]
- Mondal, B.; Mehta, S.K.; Patowari, P.K.; Pati, S. Numerical study of mixing in wavy micromixers: Comparison between raccoon and serpentine mixer. Chem. Eng. Process.-Process Intensif. 2019, 136, 44–61. [Google Scholar] [CrossRef]
- Raza, W.; Islam, N.; Samad, A. Design and analysis of a novel Bi-layer curved serpentine chaotic micromixer for efficient mixing. Chem. Eng. Process.-Process Intensif. 2023, 183, 109246. [Google Scholar] [CrossRef]
- Mashaei, P.R.; Asiaei, S.; Hosseinalipour, S.M. Mixing efficiency enhancement by a modified curved micromixer: A numerical study. Chem. Eng. Process.-Process Intensif. 2020, 154, 108006. [Google Scholar] [CrossRef]
- Qamareen, A.; Ansari, M.A.; Alam, S.S. Mixing enhancement using the aiding and opposing flow effects in curved micro channel. Chem. Eng. Process.-Process Intensif. 2022, 176, 108945. [Google Scholar] [CrossRef]
- Yuan, S.; Liu, X.; Peng, T.; Deng, J. Micromixing of pressure driven flow and surface induced charge coupling in a serpentine microchannel: A numerical study. Colloids Surf. A Physicochem. Eng. Asp. 2025, 708, 135969. [Google Scholar] [CrossRef]
- Abed, W.M.; Whalley, R.D.; Dennis, D.J.C.; Poole, R.J. Numerical and experimental investigation of heat transfer and fluid flow characteristics in a micro-scale serpentine channel. Int. J. Heat Mass. Tran. 2015, 88, 790–802. [Google Scholar] [CrossRef]
- Vinoth, R.; Sachuthananthan, B.; Vadivel, A.; Balakrishnan, S.; Raj, A.G.S. Heat transfer enhancement in oblique finned curved microchannel using hybrid nanofluid. Int. J. Therm. Sci. 2023, 183, 107848. [Google Scholar] [CrossRef]
- Zhang, X.; Zhang, Y.; Yang, C.; Liu, J.; Liu, B.; Zhou, Z. Study of flow and heat transfer performance of nanofluids in curved microchannels with different curvatures. Numer. Heat Transf. Part A Appl. 2025, 86, 4667–4688. [Google Scholar] [CrossRef]
- Vatankhah, P.; Shamloo, A. Parametric study on mixing process in an in-plane spiral micromixer utilizing chaotic advection. Anal. Chim. Acta 2018, 1022, 96–105. [Google Scholar] [CrossRef]
- Ngo, I.L.; Lai, T.K.; Choi, H.J.; Le, H.T.T.; Kim, G.M.; Dang, T.D. A study on mixing performance of dean flows through spiral micro-channel under various effects. Phys. Fluids 2020, 32, 022004. [Google Scholar] [CrossRef]
- Kommalapati, S.; Agrawal, A.; Duryodhan, V.S. Enhancing Miscible Fluid Mixing by Introducing Pseudo Turbulent Flow in Golden Ratio Spiral Microchannel. Ind. Eng. Chem. Res. 2020, 59, 3784–3793. [Google Scholar] [CrossRef]
- Shen, S.; Bai, H.; Wang, X.; Chan, H.; Niu, Y.; Li, W.; Tian, C.; Li, X. High-Throughput Blood Plasma Extraction in a Dimension-Confined Double-Spiral Channel. Anal. Chem. 2023, 95, 16649–16658. [Google Scholar] [CrossRef] [PubMed]
- Tripathi, E.; Patowari, P.K.; Pati, S. Comparative assessment of mixing characteristics and pressure drop in spiral and serpentine micromixers. Chem. Eng. Process.-Process Intensif. 2021, 162, 108335. [Google Scholar] [CrossRef]
- Wang, X.; Liu, Z.; Wang, B.; Cai, Y.; Wan, Y. Vortices degradation and periodical variation in spiral micromixers with various spiral structures. Int. J. Heat Mass. Tran. 2022, 183, 122168. [Google Scholar] [CrossRef]
- Wang, X.; Liu, Z.; Cai, Y.; Wang, B.; Luo, X. A cost-effective serpentine micromixer utilizing ellipse curve. Anal. Chim. Acta 2021, 1155, 338355. [Google Scholar] [CrossRef]
- Zhou, D.; Qin, L.; Yue, J.; Yang, A.; Jiang, Z.; Zheng, S. Numerical and experimental investigations of spiral and serpentine micromixers over a wide Reynolds number range. Int. J. Heat Mass. Tran. 2023, 212, 124273. [Google Scholar] [CrossRef]
- Yang, H.; Yao, G.; Wen, D. Efficient mixing enhancement by orthogonal injection of shear-thinning fluids in a micro serpentine channel at low Reynolds numbers. Chem. Eng. Sci. 2021, 235, 116368. [Google Scholar] [CrossRef]
- Clark, J.; Kaufman, M.; Fodor, P. Mixing Enhancement in Serpentine Micromixers with a Non-Rectangular Cross-Section. Micromachines 2018, 9, 107. [Google Scholar] [CrossRef] [PubMed]
- Alam, A.; Afzal, A.; Kim, K. Mixing performance of a planar micromixer with circular obstructions in a curved microchannel. Chem. Eng. Res. Des. 2014, 92, 423–434. [Google Scholar] [CrossRef]
- Mirkarimi, S.; Hosseini, M.J.; Pahamli, Y. Numerical investigation of a curved micromixer using different arrangements of cylindrical obstacles. Alex. Eng. J. 2023, 79, 135–154. [Google Scholar] [CrossRef]
- Jiang, Y.; Zhang, B.; Tian, Y.; Zhang, Y.; Chen, Y. Analysis of different shapes of cross-sections and obstacles in variable-radius spiral micromixers on mixing efficiency. Chem. Eng. Process.-Process Intensif. 2022, 171, 108756. [Google Scholar] [CrossRef]
- Haghighatjoo, H.; Yadegari, M.; Bak Khoshnevis, A. Optimization of single-obstacle location and distance between square obstacles in a curved channel. Eur. Phys. J. Plus 2022, 137, 1042. [Google Scholar] [CrossRef]
- Pawar, S.A.; Chouksey, V.K. Numerical and experimental study of the baffle-based split and recombine chamber (B-SARC) micromixers. Chem. Prod. Process Mo. 2024, 19, 99–114. [Google Scholar] [CrossRef]
- Wang, L.; Ma, S.; Wang, X.; Bi, H.; Han, X. Mixing enhancement of a passive microfluidic mixer containing triangle baffles. Asia-Pac. J. Chem. Eng. 2014, 9, 877–885. [Google Scholar] [CrossRef]
- Tsai, R.T.; Wu, C.Y. An efficient micromixer based on multidirectional vortices due to baffles and channel curvature. Biomicrofluidics 2011, 5, 14103. [Google Scholar] [CrossRef]
- Wu, K.; Nappo, V.; Kuhn, S. Hydrodynamic Study of Single- and Two-Phase Flow in an Advanced-Flow Reactor. Ind. Eng. Chem. Res. 2015, 54, 7554–7564. [Google Scholar] [CrossRef]
- Pradeep, A.; Nair, B.G.; Suneesh, P.V.; Satheesh Babu, T.G. Enhancement in mixing efficiency by ridges in straight and meander microchannels. Chem. Eng. Process.-Process Intensif. 2021, 159, 108217. [Google Scholar] [CrossRef]
- Pirdavari, P.; Pourfattah, F.; Tran, H.; Wang, L.; He, Z.; Pack, M.Y. Experimental and numerical study on the performance index of mixing for low aspect ratio serpentine microchannels. Eng. Res. Express 2024, 6, 35009. [Google Scholar] [CrossRef]
- Alam, A.; Kim, K. Analysis of mixing in a curved microchannel with rectangular grooves. Chem. Eng. J. 2012, 181–182, 708–716. [Google Scholar] [CrossRef]
- Cook, K.J.; Hassan, I. Experimental and Numerical Evaluation of a Scaled-Up Micromixer with Groove Enhanced Division Elements. J. Fluids Eng. 2013, 135, 11201. [Google Scholar] [CrossRef]
- Rhoades, T.; Kothapalli, C.R.; Fodor, P.S. Mixing Optimization in Grooved Serpentine Microchannels. Micromachines 2020, 11, 61. [Google Scholar] [CrossRef] [PubMed]
- Zhang, B.; Wu, W.; Zhao, Q.; Yan, S. Geometric optimization of double layered microchannel with grooves array for enabling nanoparticle manipulation. Phys. Fluids 2023, 35, 62009. [Google Scholar] [CrossRef]
- Tripathi, E.; Patowari, P.K.; Pati, S. Enhanced mixing characteristics in a spiral micromixer with grooves having variable configurations: A computational analysis. Proc. Inst. Mech. Eng. Part E J. Process Mech. Eng. 2025. [Google Scholar] [CrossRef]
- Aksoy, F.; Yesiloz, G. Enhanced Microfluidics Mixing Performance in a Grooved Serpentine Microchannel at Different Flow Rates. Celal Bayar Üniversitesi Bilim. Derg. 2023, 19, 253–260. [Google Scholar] [CrossRef]
- Hadj Rahmoun, O.E.K.; Tayebi, N.; Saighi, M. Optimization of slanted grooved micromixer with a serpentine channel at a lower Reynolds number. Int. J. Chem. React. Eng. 2021, 19, 1363–1373. [Google Scholar] [CrossRef]
- Javaid, M.; Cheema, T.; Park, C. Analysis of Passive Mixing in a Serpentine Microchannel with Sinusoidal Side Walls. Micromachines 2018, 9, 8. [Google Scholar] [CrossRef]
- Holz, M.; Heil, S.R.; Sacco, A. Temperature-dependent self-diffusion coefficients of water and six selected molecular liquids for calibration in accurate 1H NMR PFG measurements. Phys. Chem. Chem. Phys. 2000, 2, 4740–4742. [Google Scholar] [CrossRef]
- Danckwerts, P.V. The definition and measurement of some characteristics of mixtures. Appl. Sci. Res. Sect. A 1952, 3, 279–296. [Google Scholar] [CrossRef]
- Hoffmann, M.; Schlüter, M.; Räbiger, N. Experimental investigation of liquid–liquid mixing in T-shaped micro-mixers using μ-LIF and μ-PIV. Chem. Eng. Sci. 2006, 61, 2968–2976. [Google Scholar] [CrossRef]
- Dreher, S.; Kockmann, N.; Woias, P. Characterization of Laminar Transient Flow Regimes and Mixing in T-shaped Micromixers. Heat Transf. Eng. 2009, 30, 91–100. [Google Scholar] [CrossRef]
- Han, L.; Yue, J.; Qin, L.; Qu, Y.; Zhou, D.; Li, Y. Study on mass transfer in large-aspect-ratio micromixer with continuous dual splitting and recombination, and inclined ridges. Int. J. Heat Mass. Tran. 2025, 241, 126706. [Google Scholar] [CrossRef]
- Zhou, J.; Adrian, R.J.; Balachandar, S.; Kendall, T.M. Mechanisms for generating coherent packets of hairpin vortices in channel flow. J. Fluid. Mech. 1999, 387, 353–396. [Google Scholar] [CrossRef]
- Adrian, R.J.; Christensen, K.T.; Liu, Z.C. Analysis and interpretation of instantaneous turbulent velocity fields. Exp. Fluids 2000, 29, 275–290. [Google Scholar] [CrossRef]
- Chung, C.K.; Shih, T.R. A rhombic micromixer with asymmetrical flow for enhancing mixing. J. Micromech. Microeng. 2007, 17, 2495–2504. [Google Scholar] [CrossRef]
- Yuan, S.; Peng, T.; Liu, X. Effect of complex vortices generated by asymmetrically distributed induced charges on fluid flow and mass transfer in pressure driven micromixers. Chaos Solitons Fractals 2025, 196, 116373. [Google Scholar] [CrossRef]


















| Geometric Parameters | Value | Unit |
|---|---|---|
| Inlet 1 width (W1) | 150 | μm |
| Inlet 2 width (W2) | 150 | μm |
| Outlet and channel width (W) | 300 | μm |
| Length of inlet channel (L0) | 3.3 | mm |
| Length of Inlet 1 and Inlet 2 channel (L1) | 1.5 | mm |
| Length of straight channel (L2) | 1.0 | mm |
| Length of outlet channel (L3) | 2.0 | mm |
| Length of mixing channel | 15.996 | mm |
| Radius of big semicircle (R1) | 1.5 | mm |
| Radius of small semicircle (R2) | 0.5 | mm |
| Cell Size μm | Number of Grids | Re = 1 | Re = 10 | Re = 100 | Re = 300 | ||||
|---|---|---|---|---|---|---|---|---|---|
| α | Error | α | Error | α | Error | α | Error | ||
| 14 | 572,418 | 0.7911 | −0.03% | 0.2328 | 8.31% | 0.5600 | 48.59% | 0.9555 | 7.54% |
| 11 | 1,208,844 | 0.7912 | −0.02% | 0.2241 | 4.29% | 0.4766 | 26.47% | 0.9387 | 5.65% |
| 9 | 2,193,510 | 0.7912 | −0.01% | 0.2197 | 2.21% | 0.4267 | 13.23% | 0.9255 | 4.16% |
| 8 | 3,246,606 | 0.7913 | −0.01% | 0.2179 | 1.36% | 0.4206 | 11.60% | 0.9151 | 2.99% |
| 7 | 4,732,408 | 0.7913 | 0.00% | 0.2160 | 0.51% | 0.3802 | 0.88% | 0.9015 | 1.47% |
| 6 | 7,459,000 | 0.7913 | — | 0.2149 | — | 0.3769 | — | 0.8885 | — |
Disclaimer/Publisher’s Note: The statements, opinions and data contained in all publications are solely those of the individual author(s) and contributor(s) and not of MDPI and/or the editor(s). MDPI and/or the editor(s) disclaim responsibility for any injury to people or property resulting from any ideas, methods, instructions or products referred to in the content. |
© 2025 by the authors. Licensee MDPI, Basel, Switzerland. This article is an open access article distributed under the terms and conditions of the Creative Commons Attribution (CC BY) license (https://creativecommons.org/licenses/by/4.0/).
Share and Cite
Qin, L.; Jiang, Z.; Zhou, D.; Yue, J.; Cheng, H. Numerical Investigation of Vortex-Induced Enhancement in the Mixing Characteristics of Double-Spiral and Serpentine Microchannels. Micromachines 2025, 16, 1016. https://doi.org/10.3390/mi16091016
Qin L, Jiang Z, Zhou D, Yue J, Cheng H. Numerical Investigation of Vortex-Induced Enhancement in the Mixing Characteristics of Double-Spiral and Serpentine Microchannels. Micromachines. 2025; 16(9):1016. https://doi.org/10.3390/mi16091016
Chicago/Turabian StyleQin, Litao, Zhen Jiang, Dongjian Zhou, Jincai Yue, and Huanong Cheng. 2025. "Numerical Investigation of Vortex-Induced Enhancement in the Mixing Characteristics of Double-Spiral and Serpentine Microchannels" Micromachines 16, no. 9: 1016. https://doi.org/10.3390/mi16091016
APA StyleQin, L., Jiang, Z., Zhou, D., Yue, J., & Cheng, H. (2025). Numerical Investigation of Vortex-Induced Enhancement in the Mixing Characteristics of Double-Spiral and Serpentine Microchannels. Micromachines, 16(9), 1016. https://doi.org/10.3390/mi16091016

