Sign in to use this feature.

Years

Between: -

Subjects

remove_circle_outline
remove_circle_outline
remove_circle_outline
remove_circle_outline
remove_circle_outline
remove_circle_outline
remove_circle_outline
remove_circle_outline
remove_circle_outline

Journals

remove_circle_outline
remove_circle_outline
remove_circle_outline
remove_circle_outline
remove_circle_outline
remove_circle_outline
remove_circle_outline
remove_circle_outline
remove_circle_outline
remove_circle_outline
remove_circle_outline
remove_circle_outline
remove_circle_outline
remove_circle_outline
remove_circle_outline
remove_circle_outline
remove_circle_outline
remove_circle_outline
remove_circle_outline
remove_circle_outline
remove_circle_outline
remove_circle_outline
remove_circle_outline

Article Types

Countries / Regions

remove_circle_outline
remove_circle_outline
remove_circle_outline
remove_circle_outline
remove_circle_outline
remove_circle_outline
remove_circle_outline
remove_circle_outline
remove_circle_outline
remove_circle_outline

Search Results (1,356)

Search Parameters:
Keywords = T-ALL

Order results
Result details
Results per page
Select all
Export citation of selected articles as:
19 pages, 1597 KB  
Article
Resilience-Based Seismic Optimization of Buildings Using Tuned Mass Dampers
by Lixin Wang, Jianfu Lin, Sijian Lin, Zihan Zhou, You Dong, Jafar Jafari-Asl and Jiaxin Zhang
Buildings 2026, 16(7), 1360; https://doi.org/10.3390/buildings16071360 (registering DOI) - 29 Mar 2026
Abstract
A multi-objective tuning framework for optimizing Tuned Mass Damper (TMD) systems is presented. This framework optimizes the controlling parameters of TMDs while considering building resilience. The employed optimizer is the multi-objective HBA. Since TMDs are used in tall structures to mitigate seismic-induced structural [...] Read more.
A multi-objective tuning framework for optimizing Tuned Mass Damper (TMD) systems is presented. This framework optimizes the controlling parameters of TMDs while considering building resilience. The employed optimizer is the multi-objective HBA. Since TMDs are used in tall structures to mitigate seismic-induced structural responses, the proposed framework must be applicable to real-world scenarios; therefore, it determines both the placement and parameters of TMDs by accounting for the effects of various soil types and multiple earthquake records. Based on the obtained results, the optimal TMDs achieved an average roof-displacement reduction of 17% in soft soil, 7% in fixed-base conditions, and only 4% in dense soil, highlighting the decisive influence of soil–structure interaction on system efficiency. Moreover, there was considerable outcome variability across different earthquake records—ranging from 0.8% to 26% reduction—along with the observed negative effect (response amplification of up to 13.9% in certain fixed-base cases), which occurs when the TMD becomes detuned relative to the dominant frequency of the specific ground motion. This confirms the necessity for a robust design approach that simultaneously considers an ensemble of ground motions rather than optimizing for a single record. Full article
16 pages, 1545 KB  
Article
Controlling Performance and Parameters Investigation of the Improved Mega-Sub Controlled Structural System (MSCSS) for a Tall Building
by Mustapha Abdulhadi, Zhang Xun’an, Buqiao Fan, Sadi Ibrahim Haruna and Yasser E. Ibrahim
Buildings 2026, 16(7), 1349; https://doi.org/10.3390/buildings16071349 (registering DOI) - 28 Mar 2026
Abstract
The study presented a newly proposed mega-sub controlled structure system (MSCSS), connected to the design and building of high-rise structures, as enhanced durability and efficiency of mega-structural frames attracted the attention of researchers. In this article, a more reasonable and advanced mega-sub controlled [...] Read more.
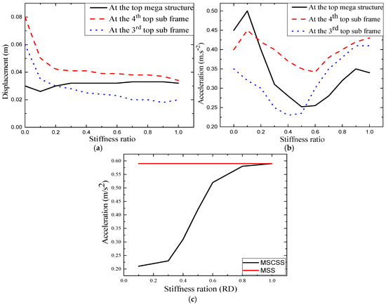
The study presented a newly proposed mega-sub controlled structure system (MSCSS), connected to the design and building of high-rise structures, as enhanced durability and efficiency of mega-structural frames attracted the attention of researchers. In this article, a more reasonable and advanced mega-sub controlled structure model is designed and investigated under wind load. The complex model analysis theory is used to generate the equations of motion, the response spectrum (RS) expression, and the mean square response (MSR). The dynamic features that influence the control response of MSCSS, such as relative stiffness ratio (RD) and relative mass ratio (MR) between the mega-frame and substructure, are defined and investigated. The result showed that the displacement effectiveness is highly effective at low stiffness ratios, with a sharp decrease in maximum displacement observed when RD is less than 0.17 (RD < 0.17). Optimal response control effectiveness was identified within the RD range of 0.17 to 0.6. Also, the result indicates better acceleration control effectiveness when RD is between 0.3 and 0.5; however, this control decreases significantly when RD > 0.6. Furthermore, the study reveals that increasing the relative mass ratio obviously improves both displacement and acceleration control effectiveness at fixed RD = 0.3. Full article
(This article belongs to the Section Building Structures)
Show Figures

Figure 1

19 pages, 1240 KB  
Article
Multi-Variable Multi-Objective Optimization Analysis of Super-Tall Building Structures Based on a Genetic Algorithm
by Jun Han, Senshen Du, Di Zhang, Xin Chen, Liping Liu and Yingmin Li
Buildings 2026, 16(7), 1324; https://doi.org/10.3390/buildings16071324 - 26 Mar 2026
Viewed by 117
Abstract
Balancing structural safety and economic efficiency in super-tall building design remains a formidable challenge. To address this issue, this study proposes a genetic-algorithm-based multi-variable, multi-objective optimization method. The design variables include the member sizes and vertical layout positions of outrigger and belt trusses, [...] Read more.
Balancing structural safety and economic efficiency in super-tall building design remains a formidable challenge. To address this issue, this study proposes a genetic-algorithm-based multi-variable, multi-objective optimization method. The design variables include the member sizes and vertical layout positions of outrigger and belt trusses, as well as the cross-sectional dimensions of mega-columns. Total structural weight and maximum inter-story drift ratio are adopted as objective functions, while code-specified constraints, such as shear-weight ratio, stiffness-weight ratio, and axial compression ratio, are incorporated to formulate the fitness evaluation for optimization. Taking a 300 m baseline structure designed for 6-degree seismic intensity and equipped with two outrigger trusses and three belt trusses as an example, single-variable sensitivity analyses are first performed. The results show that optimizing any single parameter can yield certain local improvements, yet it cannot overcome the weight–deformation trade-off induced by strong variable coupling. By selecting representative feasible solutions from the multi-variable solution set that match the “optimal” values identified by single-variable optimization as benchmarks, the multi-variable optimum reduces the total structural weight by approximately 6.5–18.4% relative to these representative designs. Moreover, optimal layout strategies of outrigger and belt trusses are investigated for two typical building heights (200 m and 300 m) and two seismic intensity levels associated with design ground motions having a 10% exceedance probability in 50 years, namely 6-degree (0.05 g) and 8-degree (0.20 g). Finally, the proposed method is validated through a case study of a super-tall financial center in Chongqing, where the total structural weight is reduced by 12.3% after optimization while the inter-story drift ratio still satisfies relevant code requirements. The results demonstrate that the proposed framework can generate competitive feasible solutions and provide a systematic means to achieve a balanced trade-off between structural safety and economic efficiency for outrigger–belt-truss super-tall buildings. Full article
(This article belongs to the Section Building Structures)
Show Figures

Figure 1

18 pages, 3915 KB  
Article
Rapid Development of Clubroot-Resistant Germplasm in Chinese Cabbage
by Yufan Ran, Bo Shi, Ruiyu Han, Xiuxiu Xu, Yun Dai, Ying Zhang, Shaoxing Wang, Shifan Zhang, Fei Li, Guoliang Li, Rifei Sun, Shujiang Zhang and Hui Zhang
Horticulturae 2026, 12(3), 395; https://doi.org/10.3390/horticulturae12030395 - 23 Mar 2026
Viewed by 285
Abstract
Disease resistance breeding is an important direction for the genetic improvement of Chinese cabbage. The traditional elite variety ‘Yutian Baojian’ Chinese cabbage is highly regarded for its tall cylindrical head with a pointed tip, tightly twisted wrapper leaves, and sweet taste. However, long-term [...] Read more.
Disease resistance breeding is an important direction for the genetic improvement of Chinese cabbage. The traditional elite variety ‘Yutian Baojian’ Chinese cabbage is highly regarded for its tall cylindrical head with a pointed tip, tightly twisted wrapper leaves, and sweet taste. However, long-term cultivation has led to a significant decline in its resistance to clubroot caused by Plasmodiophora brassicae. To restore clubroot resistance while maintaining its desirable horticultural traits, this study used the clubroot-susceptible ‘Yutian Baojian’ as the recurrent parent and the resistant donor ‘Shaocai’, which carries the CRd resistance gene, to develop backcross populations. Using marker-assisted selection (MAS), plants were comprehensively screened based on foreground selection with markers tightly linked to the CRd gene, background selection with 73 genome-wide polymorphic markers, and phenotypic evaluation of horticultural traits, including plant height, plant spread, head shape, and soluble solids content. In the BC1 population, three individuals showing high genetic similarity were selected. From the BC2 population, four elite individuals were obtained, exhibiting 99.32% genetic similarity, stable clubroot resistance, and typical horticultural characteristics. Furthermore, three homozygous resistant inbred lines (BC2S2) with the ‘Yutian Baojian’ phenotype were developed. These results enrich the clubroot-resistant germplasm resources of Chinese cabbage and provide an effective MAS-based strategy for the precise improvement and germplasm innovation of local cultivars. Full article
(This article belongs to the Special Issue Genetic Breeding and Germplasm Resources of Fruit and Vegetable Crops)
Show Figures

Figure 1

27 pages, 4022 KB  
Article
Structural Dynamic Response Assessment of CLT Wall Structure Systems in Wind-Only and Sequential Seismic–Wind Scenarios
by Yunxiang Ma, Qingli Dai and Xiang Zhao
Buildings 2026, 16(6), 1213; https://doi.org/10.3390/buildings16061213 - 19 Mar 2026
Viewed by 179
Abstract
Because of concentrated connection damage, the impact of sequential hazards on CLT shear wall systems is much more severe than that on traditional concrete and steel structures considering ductile component behaviors. The present paper evaluated the dynamic response of CLT wall structures in [...] Read more.
Because of concentrated connection damage, the impact of sequential hazards on CLT shear wall systems is much more severe than that on traditional concrete and steel structures considering ductile component behaviors. The present paper evaluated the dynamic response of CLT wall structures in wind-only and sequential seismic–wind scenarios and compared the structural dynamic responses and damage levels of different CLT wall systems. The structural models were established separately based on an SOM benchmark structure, a SOFIE project three-story CLT shear wall structure, and a PT CLT wall platform structure from the NHERI Tall Wood project. The equivalent fluctuating wind load was calculated with the ASCE 7 average wind speed, the reference ESDU wind profile, calibrated wind pressure distribution, and simulated fluctuation from the NatHaz Online Wind Simulator. The sequential load was applied to the structural models in the order of seismic excitation, resting time, and then dynamic wind load. The dynamic responses of different CLT wall structures were compared among loading scenarios with increasing seismic and wind intensities. The wind-excited peak story displacement and acceleration for both CLT structures were significantly magnified in the sequential seismic–wind scenarios compared with the wind-only scenarios. The simulation results indicated that the sequential seismic–wind scenarios caused significant acceleration in damaged connections for the conventional CLT shear wall structure. The PT CLT wall structure had minor displacement and acceleration, which were linear to the wind loading factors. For the conventional CLT shear wall structure, the magnification of the acceleration was found to have a strong correlation with the natural frequencies of the damaged structure. This study demonstrated that the wind responses of the PT wall structures were in a safe range after the seismic event, and conventional CLT wall structures need to be re-evaluated under sequential scenarios for structural resilience assessment. Full article
(This article belongs to the Special Issue Seismic Performance and Durability of Engineering Structures)
Show Figures

Figure 1

19 pages, 11861 KB  
Article
A Giant Halisaurine from the Late Maastrichtian of Morocco
by Nicholas R. Longrich and Nour-Eddine Jalil
Diversity 2026, 18(3), 159; https://doi.org/10.3390/d18030159 - 5 Mar 2026
Viewed by 2816
Abstract
The Late Cretaceous deposits of Morocco have yielded one of the richest and most diverse assemblages of marine reptiles in the world, with the mosasaurids representing the dominant group. Among the most common mosasaurs are members of the subfamily Halisaurinae. Halisaurines ranged in [...] Read more.
The Late Cretaceous deposits of Morocco have yielded one of the richest and most diverse assemblages of marine reptiles in the world, with the mosasaurids representing the dominant group. Among the most common mosasaurs are members of the subfamily Halisaurinae. Halisaurines ranged in size from the relatively small Halisaurus, which reached 4–5 m in length, to the larger Pluridens serpentis, which may have reached 7.5 m in length. Here we report a new, giant species of Pluridens, Pluridens imelaki. The new Pluridens is characterized by a slender, rectangular snout, a T-shaped premaxilla–maxilla junction, interlocking premaxilla–maxilla joint, a prominent dorsal ridge on the premaxilla, an exceptionally long and slender mandible, a tooth count of ~25 dentary teeth, straight, triangular tooth crowns that are strongly bent back just above the tooth–root junction, a low coronoid process and a tall and slender retroarticular process. The skull is 1.25 m long, suggesting a body length of ~9 m or more, comparable in size to large predators such as Thalassotitan. Differences between P. imaleki and P. serpentis in the jaw and tooth structure, eye size and innervation of the rostrum, as well as overall size, suggest they had different foraging strategies and occupied distinct ecological niches. Pluridens imelaki reveals that Halisaurinae were not only more species-rich than previously recognized, but also exhibited greater diversity in tooth morphology, jaw shape, and body size than previously thought. Rather than simply being outcompeted by Mosasaurinae, the Halisaurinae staged a minor adaptive radiation in the Late Cretaceous and were important members of the ecosystem in low latitudes. Pluridens imelaki appears to have been exceptionally rare in the phosphates, being documented by only a single specimen among the many hundreds of mosasaur remains recovered over many years. This underscores how the species richness of the phosphates and other diverse assemblages is driven by rare taxa that are only revealed through extensive sampling. Full article
Show Figures

Figure 1

25 pages, 7057 KB  
Article
Vertical Wind Speed Extrapolation and Power Estimation via a Hybrid Physics-Data-Driven Approach
by Zongxuan Wu, Borui Lv, Bingcun Chen, Genliang Wang, Yinzhu Wan, Boya Zhao and Minyi He
Energies 2026, 19(5), 1302; https://doi.org/10.3390/en19051302 - 5 Mar 2026
Viewed by 202
Abstract
The scale mismatch between wind turbine hub heights and conventional meteorological masts introduces uncertainties in wind resource assessment. Vertical wind speed extrapolation serves as a critical technique to bridge this spatial gap. Current extrapolation paradigms struggle with two fundamental limitations. Physical models fail [...] Read more.
The scale mismatch between wind turbine hub heights and conventional meteorological masts introduces uncertainties in wind resource assessment. Vertical wind speed extrapolation serves as a critical technique to bridge this spatial gap. Current extrapolation paradigms struggle with two fundamental limitations. Physical models fail to capture non-stationary atmospheric stability, whereas purely data-driven methods depend heavily on unavailable hub-height ground truth. To bridge this gap, this paper proposes a Physically Guided Neural Network framework. By integrating physical boundary-layer principles with an adaptive residual correction mechanism, the model introduces an inductive bias that maps near-surface observations to dynamic wind shear evolutions. The network employs a “Near-Surface Learning and Hub-Height” Transfer strategy. This approach optimizes the model exclusively on multi-level observations from 10 to 70 m to eliminate the dependency on high-altitude target labels. Validation on a 100 MW wind farm dataset, utilizing a 70 m proxy variable evaluation, demonstrates that this framework reduces the wind speed extrapolation root mean square error by 56.48% compared to traditional power law models. Furthermore, downstream theoretical power estimation errors are reduced by 10.72%, effectively mitigating power curve lag phenomena. This hybrid approach establishes a robust and low-cost paradigm for refined wind energy assessment in engineering scenarios lacking tall meteorological monitoring. Full article
Show Figures

Figure 1

21 pages, 8095 KB  
Article
Numerical Modeling of Vegetation Influence on Tsunami-Induced Scour Mechanisms
by Xiaosheng Ji, Jiufeng Ji, Ying-Tien Lin, Dongrui Han, Ningdong You, Yong Liu and Yingying Fan
J. Mar. Sci. Eng. 2026, 14(4), 401; https://doi.org/10.3390/jmse14040401 - 22 Feb 2026
Viewed by 284
Abstract
Tsunami-induced scour around coastal embankments and nearshore structures is a primary cause of structural instability and failure. However, the hydrodynamic mechanisms by which coastal vegetation mitigates this scour remain insufficiently understood. This study employs three-dimensional numerical simulations to investigate the influence of rigid [...] Read more.
Tsunami-induced scour around coastal embankments and nearshore structures is a primary cause of structural instability and failure. However, the hydrodynamic mechanisms by which coastal vegetation mitigates this scour remain insufficiently understood. This study employs three-dimensional numerical simulations to investigate the influence of rigid and flexible vegetation on overflow-induced scour downstream of embankments and local scour around structures under tsunami-like inundation. The simulations were conducted using Ansys Fluent 2021R2, utilizing the Volume of Fluid (VOF) method to capture the free surface and the RNG kε turbulence model within the Reynolds-averaged Navier–Stokes (RANS) framework. Computational geometries were reconstructed from laboratory experiments, and the model’s reliability was validated against measured water surface profiles. The results demonstrated that vegetation significantly alters flow dynamics, velocity distributions, vortex structures, and both the magnitude and patterns of bed shear stress within scour holes. Specifically, in overflow-induced scour, vegetation suppresses scour intensity by inducing backwater effects, enhancing momentum diffusion, attenuating flow impingement on the bed, and reducing peak bed shear stress. Conversely, for local scour around structures, vegetation increases upstream water depth while intensifying downstream wake vortices, leading to scour hole elongation—particularly under dense and tall vegetation. These findings offer novel insights into the hydrodynamics of vegetation-induced scour mitigation and provide guidelines for optimizing vegetation configurations to enhance the tsunami resilience of coastal infrastructure. Full article
(This article belongs to the Topic Advances in Environmental Hydraulics, 2nd Edition)
Show Figures

Figure 1

27 pages, 9097 KB  
Article
Polyimide Reinforced with Graphene/Metal Oxide Nanocomposites: Surface Degradation Study Under Atomic Oxygen
by Xianbang Zeng, Priyanka Prakash, Sahar Hosseini, Mahdiar Taheri, Joice Mathew, Eduardo Trifoni, Igor Levchenko, Janith Weerasinghe, Karthika Prasad and Katia Alexander
Polymers 2026, 18(4), 522; https://doi.org/10.3390/polym18040522 - 20 Feb 2026
Viewed by 704
Abstract
Atomic oxygen in low Earth orbit erodes polyimide, increasing surface roughness and degrading performance. The reactive species scission polymer chains and remove surface material, exposing fresh sites that accelerate further attack and disrupt thermal, electrical, and mechanical functions. In this paper, we evaluate [...] Read more.
Atomic oxygen in low Earth orbit erodes polyimide, increasing surface roughness and degrading performance. The reactive species scission polymer chains and remove surface material, exposing fresh sites that accelerate further attack and disrupt thermal, electrical, and mechanical functions. In this paper, we evaluate nanoscale reinforcements of polyimide with graphene and metal oxides under controlled atomic oxygen exposure equivalent to 145 days at a 550 km orbit. Graphene with a thickness of few nanometers and particle size less than 2 µm, and metal oxides zirconia, zinc oxide, and titania with particle size less than 100 nm were investigated. Hybrids containing graphene plus metal oxide at a 1:1 ratio and a total loading of 0.75 wt% increased roughness relative to neat polyimide, with graphene-zirconia showing a rise of +121 percent, graphene-zinc oxide +10 percent, and graphene–titania +20 percent. The behavior is consistent with agglomeration, incomplete dispersion, and interfacial mismatch that hinder uniform blocking of atomic oxygen and limit formation of protective oxygenated groups. In contrast, single-filler composites at 0.75 wt% reduced average roughness, with graphene lowering Sa by about 59 percent, zirconia by about 51%, titania by about 47%, and zinc oxide by about 47%. Varying graphene loading from 0.25 to 0.75 wt% diminished erosive features at the higher end, but atomic force microscopy revealed isolated tall peaks at 0.75 wt%, indicating localized restacking or agglomeration. Mechanical testing of graphene-reinforced coatings on fiberglass showed a similar trade-off, with tensile strength around 23 MPa and peak load greater than 50 N at 0.5 wt% compared to about 21 MPa and 40 N at 0.75 wt%, while strain at break remained comparable. These results define practical limits for nanoparticle reinforcement in polyimide, linking filler identity, loading, and dispersion quality to atomic oxygen response and sustained function in LEO. Full article
(This article belongs to the Special Issue Advances in Carbon/Polymer Composites: Preparation and Application)
Show Figures

Figure 1

16 pages, 1545 KB  
Article
Acetate Metabolism in Thyroid Cancer Progression
by Enke Baldini, Silvia Cardarelli, Eleonora Lori, Poupak Fallahi, Camilla Virili, Marco Centanni, Vito D’Andrea, Alessandro Antonelli, Salvatore Sorrenti and Salvatore Ulisse
Int. J. Mol. Sci. 2026, 27(4), 2013; https://doi.org/10.3390/ijms27042013 - 20 Feb 2026
Viewed by 527
Abstract
In recent years, several studies have highlighted the ability of malignant cells to use acetate as an alternative energy and biosynthetic source to glucose. In this context, the present study aimed at characterizing the expression profile of genes involved in acetate metabolism in [...] Read more.
In recent years, several studies have highlighted the ability of malignant cells to use acetate as an alternative energy and biosynthetic source to glucose. In this context, the present study aimed at characterizing the expression profile of genes involved in acetate metabolism in thyroid carcinomas. To this end, we analyzed molecular and clinical data from 496 papillary thyroid cancers (PTCs) and 59 normal thyroid tissues from The Cancer Genome Atlas (TGCA). In addition, we examined 57 PTCs and matched normal tissues, and six anaplastic thyroid carcinomas (ATCs) collected in our institutions, using real time RT-PCR. The results show a downregulation of ACSS1, ACSS2, ACACB, PDHA1, SLC16A3 and SLC16A7 genes in PTCs compared with normal tissues, some of which were significantly lower in BRAF-mutated tumors, the more aggressive tall cell variant, and larger and/or metastatic PTCs. Overall, these findings point to a reduction in mitochondrial oxidative pathways that was more evident in advanced or aggressive disease forms. In ATCs, ACSS2 was the only upregulated gene, suggesting further tumor adaptation to the metabolic stress of rapidly growing cancers. In conclusion, our study demonstrates a dysregulated expression pattern of multiple genes involved in acetate metabolism, which could be exploited for the development of new therapeutic strategies. Full article
(This article belongs to the Special Issue Translational Oncology: From Molecular Basis to Therapy)
Show Figures

Figure 1

13 pages, 1012 KB  
Review
From Cell Lines to Avatars: Charting the Future of Preclinical Modeling in T-Cell Malignancies
by Pier Paolo Piccaluga, Luigi Cimmino, Valeriia Tsekhovska, Pietro Cimatti, Claudia Innocenti, Sabrina Seidenari, Giulia Calafato, Floriana J. Di Paola and Giovanni Tallini
Cells 2026, 15(4), 368; https://doi.org/10.3390/cells15040368 - 19 Feb 2026
Viewed by 525
Abstract
T-cell malignancies represent a complex spectrum of clinically and biologically heterogeneous diseases. Effective translational research and drug development are critically dependent on preclinical models that faithfully recapitulate this diversity. This review analyzes the current preclinical landscape, identifying a profound disparity between the clinical [...] Read more.
T-cell malignancies represent a complex spectrum of clinically and biologically heterogeneous diseases. Effective translational research and drug development are critically dependent on preclinical models that faithfully recapitulate this diversity. This review analyzes the current preclinical landscape, identifying a profound disparity between the clinical spectrum of T-cell neoplasms and the available in vitro tools. We demonstrate that the existing armamentarium of cell lines is heavily skewed, with an abundance of models for T-cell lymphoblastic leukemia/lymphoma (T-ALL), cutaneous T-cell lymphoma (CTCL), and anaplastic large cell lymphoma (ALCL). This skew is a direct result of a biological selection bias, as these entities are often driven by potent, TME-independent oncogenes (e.g., NOTCH1 mutations, NPM1-ALK fusions) conducive to immortalization. Conversely, the majority of peripheral T-cell lymphoma (PTCL) subtypes, which are frequently TME-dependent and clinically aggressive, remain “preclinical orphans” with few or no authenticated models. This “preclinical void” constitutes a major bottleneck, impeding mechanistic studies and therapeutic progress. We discuss the limitations of 2D cultures and highlight the necessity of adopting advanced platforms, such as patient-derived xenografts (PDX) and 3D organoid systems. These “avatar” models preserve vital tumor heterogeneity and microenvironmental context, offering superior predictive value. The systematic development and integration of these next-generation models are essential to bridge the translational gap and advance precision medicine for all patients with T-cell malignancies. Full article
(This article belongs to the Special Issue Hematopoietic Cell Lines as Models for Leukemia and Lymphoma)
Show Figures

Graphical abstract

32 pages, 9384 KB  
Article
Comparison of Structural Performance of a Multi-Story Reinforced Concrete Building and Its Equivalent Timber Building
by Alireza Bahrami, Dina Jaloul, Marco Rasho and Honghao Ren
Appl. Sci. 2026, 16(4), 2030; https://doi.org/10.3390/app16042030 - 18 Feb 2026
Viewed by 392
Abstract
An increased interest in decreasing the environmental impact of the construction sector and in vertical urbanization has renewed attention to timber as a primary structural material in multi-story buildings. This study investigated whether an existing 10-story reinforced concrete (RC) residential building can be [...] Read more.
An increased interest in decreasing the environmental impact of the construction sector and in vertical urbanization has renewed attention to timber as a primary structural material in multi-story buildings. This study investigated whether an existing 10-story reinforced concrete (RC) residential building can be redesigned as an equivalent mass-timber structure while satisfying the same structural performance requirements. It addressed the lack of like-for-like building-scale comparisons that redesigned an existing multi-story RC residential building into a functionally equivalent mass-timber scheme. A real RC building in Gävle, Sweden, was modeled, analyzed, and designed using StruSoft FEM-Design software in accordance with the Eurocodes and the Swedish National Annex, after which all main structural elements were systematically replaced with timber. Through iterative adjustments of member sizes, support conditions, and added reinforcing elements, both the RC and timber schemes were verified with respect to load-bearing capacity, serviceability, and global stability under identical load combinations. The RC and timber buildings reached maximum utilization ratios of 99% and 98%, respectively; displacements were higher in the timber building but remained within serviceability limits, and both systems were classified as globally stable. The timber alternative reduced the total structural weight to about 19% of the RC building and roughly halved the maximum vertical reaction forces, at the expense of additional beams, columns, and basement wall segments. Moreover, this article developed an equivalent-design methodology for material substitution, a bottom-up reinforcing elements logic that resolved serviceability and stability constraints in tall timber, and a performance trade-off map based on structural performance, offering guidance for future mass-timber design. Full article
Show Figures

Figure 1

14 pages, 1511 KB  
Case Report
Xp22.33 Duplication Encompassing PAR1 in a Male with Syndromic Neurodevelopmental Disorder and Tall Stature
by Dibyendu Dutta, Xi Luo and Ria Garg
Genes 2026, 17(2), 238; https://doi.org/10.3390/genes17020238 - 15 Feb 2026
Viewed by 853
Abstract
Background: Duplications involving Xp22.33, particularly within the pseudoautosomal region 1 (PAR1), are rare. While copy number variants (CNVs) involving SHOX, a dosage-sensitive gene in PAR1, are known to cause growth disorders, large duplications encompassing the entire PAR1 region and beyond show variable [...] Read more.
Background: Duplications involving Xp22.33, particularly within the pseudoautosomal region 1 (PAR1), are rare. While copy number variants (CNVs) involving SHOX, a dosage-sensitive gene in PAR1, are known to cause growth disorders, large duplications encompassing the entire PAR1 region and beyond show variable associations with skeletal and neurodevelopmental abnormalities. Duplication of the near-complete, isolated PAR1 with a comprehensive clinical description has not been reported. Case Presentation: We report a male patient with a 2.49 Mb duplication encompassing nearly the entire PAR1 region (chrX:200854–2692897, GRCh37). Clinical features included global developmental delay (GDD), autism spectrum disorder (ASD), recurrent seizures, hypotonia with joint hypermobility, dysmorphic features, and proportionate tall stature. The duplicated segment contains 30 genes, including 15 protein-coding genes that escape X-inactivation. Among these, SHOX, DHRSX, ASMT, and CSF2RA are notable candidates contributing to the observed phenotype. Conclusions: This report presents a detailed clinical characterization of a rare, near-complete, isolated PAR1 duplication in a male individual. The co-occurrence of tall stature, GDD, ASD, and seizures raises the possibility of a dosage-related phenotypic effect involving one or more genes within the duplicated interval. While causality cannot be definitively established, these observations contribute to the emerging understanding of the functional consequences of Xp22.33 duplications and suggest that increased copy number within this region may be associated with a clinically significant neurodevelopmental phenotype. Full article
(This article belongs to the Section Human Genomics and Genetic Diseases)
Show Figures

Figure 1

18 pages, 1861 KB  
Article
Preliminary Design and Parametric Study of Prestressed Stayed Beam–Columns with a Core of Spun Concrete
by Saulius Indriūnas, Romualdas Kliukas and Algirdas Juozapaitis
Buildings 2026, 16(4), 793; https://doi.org/10.3390/buildings16040793 - 14 Feb 2026
Viewed by 363
Abstract
Recently, due to the expansion of telecommunication and power networks, as well as other structures, the demand for designing efficient and durable tall supporting columns has increased. Efficient steel columns are well known, including prestressed stayed beam–column systems. However, because of their relatively [...] Read more.
Recently, due to the expansion of telecommunication and power networks, as well as other structures, the demand for designing efficient and durable tall supporting columns has increased. Efficient steel columns are well known, including prestressed stayed beam–column systems. However, because of their relatively high cost, designers often turn to reinforced concrete structures, which are not only relatively cheaper but also sufficiently strong and resistant to aggressive external influences. Nevertheless, the large self-weight of reinforced concrete structures and considerable material consumption encourage the search for new efficient solutions. One such solution is the use of spun reinforced concrete structures. Compared to conventional reinforced concrete structures, these solutions not only reduce material consumption but also increase durability. This study examines an innovative prestressed stayed beam–column structure consisting of a spun reinforced concrete core and supporting prestressed steel tension ties. The behavior of such a composite structure is analyzed, and calculations of internal forces and displacements are presented. The rational parameters of the composing elements of this new prestressed stayed beam–column structure are discussed, and their influence on the stress–strain state of the structure is evaluated. Expressions are provided for calculating the rational bending moments of the spun reinforced concrete core. The obtained solutions make it possible to select rational cross-sections of the core and ties, as well as the required prestressing of the tension ties, without iterative calculations. Full article
Show Figures

Figure 1

19 pages, 407 KB  
Article
A Decision Matrix–Guided Framework for Screening Plant Species for Sustainable Phytoremediation of Road Salt–Contaminated Roadside Soils
by Leif van Lierop, Yuanhang Zhan and Bo Hu
Sustainability 2026, 18(4), 1986; https://doi.org/10.3390/su18041986 - 14 Feb 2026
Viewed by 371
Abstract
The widespread application of road deicing salts in northern regions has led to elevated salinity in roadside soils and adjacent watersheds. Phytoremediation offers a cost-effective and sustainable approach for mitigating salt contamination, but its success depends on utilizing plant species that can both [...] Read more.
The widespread application of road deicing salts in northern regions has led to elevated salinity in roadside soils and adjacent watersheds. Phytoremediation offers a cost-effective and sustainable approach for mitigating salt contamination, but its success depends on utilizing plant species that can both tolerate and remove salt under roadside conditions. To systematically identify high-potential candidates from the large inventory of salt-tolerant plants in North America, we developed a quantitative decision matrix incorporating criteria related to ecological safety, establishment potential on disturbed soils, aboveground biomass production, biomass use-value, and salt uptake capacity. Thirteen of the highest-ranked species were subsequently evaluated for sodium (Na+) and chloride (Cl) uptake in a controlled greenhouse study under saline and non-saline conditions. The greatest total salt uptake was observed in common sunflower (Helianthus annuus) (35.6 mg Na+ and 100.2 mg Cl plant−1) and pitseed goosefoot (Chenopodium berlandieri) (18.6 mg Na+ and 76.0 mg Cl plant−1), while perennial species including tall fescue turfgrass (Lolium arundinaceum), showy goldenrod (Solidago speciosa), and weeping alkaligrass (Puccinellia distans) also demonstrated substantial uptake combined with greater long-term suitability for roadside management. Overall, this study presents a quantitative framework for phytoremediation species selection and provides experimental evidence supporting both annual and perennial species for mitigating deicing salt contamination through environmentally sustainable, low-input roadside management strategies. Full article
Show Figures

Figure 1

Back to TopTop