Sign in to use this feature.

Years

Between: -

Subjects

remove_circle_outline
remove_circle_outline
remove_circle_outline
remove_circle_outline
remove_circle_outline
remove_circle_outline
remove_circle_outline
remove_circle_outline
remove_circle_outline

Journals

remove_circle_outline
remove_circle_outline
remove_circle_outline
remove_circle_outline
remove_circle_outline
remove_circle_outline
remove_circle_outline
remove_circle_outline
remove_circle_outline
remove_circle_outline
remove_circle_outline
remove_circle_outline

Article Types

Countries / Regions

remove_circle_outline
remove_circle_outline
remove_circle_outline
remove_circle_outline
remove_circle_outline

Search Results (581)

Search Parameters:
Keywords = Sse1

Order results
Result details
Results per page
Select all
Export citation of selected articles as:
32 pages, 2410 KB  
Article
Performance Enhancement of Quadrotor UAVs via Gray Wolf Optimized Algorithm for Sliding Mode Control
by Mustafa B. Nidham, Khalid Yahya, Mehdi Safaei, Nawal Rai and Saleh Al Dawsari
Algorithms 2026, 19(5), 331; https://doi.org/10.3390/a19050331 - 24 Apr 2026
Abstract
This article is an in-depth analysis of the performance and efficiency of various control systems used in quadrotor unmanned aerial vehicles (UAVs). The study is focused on the comparison of three main control approaches, including Sliding Mode Control (SMC), Fuzzy Logic Control (FLC), [...] Read more.
This article is an in-depth analysis of the performance and efficiency of various control systems used in quadrotor unmanned aerial vehicles (UAVs). The study is focused on the comparison of three main control approaches, including Sliding Mode Control (SMC), Fuzzy Logic Control (FLC), and an extended version of Sliding Mode Control with the use of the Gray Wolf Optimizer (SMC-GWO), as well as a supportive validation model the Genetic Algorithm (SMC-GA). Based on the Newton–Euler formulation, the mathematical model of a quadrotor has been developed to provide a true picture of the dynamic behavior of the quadrotor. The model was then implemented in MATLAB/Simulink 2025b to test the performance of the system in its nominal and perturbed conditions. The findings have shown that the hybrid SMC-GWO controller has significant improvement in response speed, accuracy, and stability compared to the other controllers. Precisely, the SMC-GWO demonstrated 78.46 percent decrease in rise time and 23.40 percent decrease in settling time compared to the traditional SMC, as well as a nearly negligible steady-state error (SSE = 0.0008) in the roll channel. The proposed controller in the pitch channel reduced the rise time by 93.65 percent and the settling time by 20.22 percent, with a much smoother and more stable tracking and an effectively negligible steady-state error (SSE = 0.0001). The hybrid controller in the yaw channel had a 77.94 percent better rise time and 23.16 percent better settling time, resulting in a steady-state error of 0.0022. In relation to altitude control, SMC -GWO decreased the rise time by 91.87 percent and settling time by 25.04 percent over classical SMC, yet the steady-state error was almost zero. Under constant, time-varying actuator disturbances, the SMC-GWO controller also demonstrated better system stabilization and trajectory-tracking behavior than both SMC and FLC, as well as slightly better behavior than SMC-GA in the presence of faults and disturbances. These results verify that a UAV control framework based on the combination of the Gray Wolf Optimizer and Sliding Mode Control is more resilient, quick, and significantly more precise. Full article
(This article belongs to the Special Issue Algorithmic Approaches to Control Theory and System Modeling)
21 pages, 696 KB  
Article
From Strengths to Flourishing: A Parallel Mediation Model of Strengths Self-Efficacy and Resilience Among Student Teachers
by Thet Thet Mar, Hijjatul Qamariah and Mária Hercz
Behav. Sci. 2026, 16(5), 628; https://doi.org/10.3390/bs16050628 - 23 Apr 2026
Abstract
A cross-sectional study was conducted with student teachers from four Education Degree Colleges located in Upper and Lower Myanmar. Drawing on the positive psychology framework, the predictive role of character strengths in flourishing was examined by integrating strengths self-efficacy (SSE) and resilience as [...] Read more.
A cross-sectional study was conducted with student teachers from four Education Degree Colleges located in Upper and Lower Myanmar. Drawing on the positive psychology framework, the predictive role of character strengths in flourishing was examined by integrating strengths self-efficacy (SSE) and resilience as parallel mediators. Participants (n = 1251, Mage = 20.84 years, SD = 1.28) were selected using stratified random sampling and completed four validated measures: VIA-72, SSE Scale, Connor–Davidson Resilience Scale 25, and Flourishing Scale. Correlational analyses revealed significant moderate positive associations between study variables. Using structural equation modeling, the results showed a direct predictive effect of character strengths on SSE, resilience, and flourishing. In addition, SSE and resilience partially mediated the relationship between character strengths and flourishing. Importantly, the indirect pathway through resilience was stronger than the SSE, indicating that the ability to adapt to challenges plays an essential role in linking character strengths with the flourishing of student teachers in the Myanmar Teacher Education setting, which practices a competency-based curriculum. Overall, supporting the strengths-based literature, the parallel mediational model of SSE and resilience contributes to a better understanding of how character strengths explain flourishing. The implications for Teacher Education and directions for future research are discussed. Full article
(This article belongs to the Special Issue Advances in Resilience Psychology)
21 pages, 3370 KB  
Article
An Innovative Semiparametric Density Model for the Statistical Characterization of Ground-Vehicle Radar Cross Sections
by Zengcan Liu, Shuhao Wen, Houjun Sun and Ming Deng
Sensors 2026, 26(9), 2572; https://doi.org/10.3390/s26092572 - 22 Apr 2026
Viewed by 101
Abstract
Accurately characterizing the statistical fluctuations of vehicle radar cross sections (RCSs) across polarization states and azimuthal sectors is essential for evaluating detection performance, conducting probabilistic simulations, and analyzing target features in millimeter-wave radar systems. Existing one-dimensional RCS statistical models, including Weibull, Chi-square, Lognormal, [...] Read more.
Accurately characterizing the statistical fluctuations of vehicle radar cross sections (RCSs) across polarization states and azimuthal sectors is essential for evaluating detection performance, conducting probabilistic simulations, and analyzing target features in millimeter-wave radar systems. Existing one-dimensional RCS statistical models, including Weibull, Chi-square, Lognormal, Rice, and Gaussian distributions, are often limited by their restricted functional expressiveness, making it difficult to simultaneously capture skewness, tail thickness, and azimuthal dependence under narrow angular-domain conditions. In addition, purely nonparametric approaches tend to produce spurious modes under finite-sample conditions and lack interpretable structural priors. To address these limitations, this paper proposes a Unimodal RCS Semiparametric Density Estimator (URCS-SDE) tailored for ground-vehicle targets. The proposed approach adopts kernel density estimation (KDE) as a data-driven baseline representation and incorporates physically plausible structural constraints through unimodal shape projection. Then a beta-type tail template is further introduced in the normalized amplitude domain to regulate boundary decay behavior. Finally, weighted least-squares calibration is performed on the histogram grid of the empirical probability density function (PDF), achieving a balanced trade-off between fitting accuracy and stability in both the peak and tail regions. Using multi-azimuth RCS measurements of two representative ground vehicles, the URCS-SDE is systematically compared with five classical parametric distributions and a representative regularized mixture density network (MDN) baseline. Performance is evaluated under both full-azimuth and directional-window conditions using the sum of squared errors (SSE), root mean squared error (RMSE), coefficient of determination (R-square) and held-out negative log-likelihood (NLL). The results show that the URCS-SDE consistently provides the most accurate and stable density estimates, especially in narrow angular windows. In addition, a threshold-based detection-support example derived from the fitted PDFs demonstrates that the advantage of the URCS-SDE transfers from density reconstruction to a directly engineering-relevant downstream quantity. Full article
(This article belongs to the Section Radar Sensors)
Show Figures

Figure 1

18 pages, 3552 KB  
Article
Exceptional Specific Shielding Effectiveness of TOCNFs@MXene Hybrid Films via Densification Engineering
by Beibei Wang, Licheng Zhou, Sentao Wei, Jian Wang, Qun Wu, Chuan Cao and Kushairi Mohd Salleh
Polymers 2026, 18(8), 999; https://doi.org/10.3390/polym18080999 - 20 Apr 2026
Viewed by 425
Abstract
The rapid advancement of communication technologies exacerbates severe electromagnetic interference (EMI) pollution. Conventional flexible shielding materials rely heavily on non-degradable petroleum-based polymers, aggravating the electronic waste crisis. To address this dual challenge, sustainable biomass-derived TEMPO-oxidized cellulose nanofibrils (TOCNFs) emerge as ideal structural substrates. [...] Read more.
The rapid advancement of communication technologies exacerbates severe electromagnetic interference (EMI) pollution. Conventional flexible shielding materials rely heavily on non-degradable petroleum-based polymers, aggravating the electronic waste crisis. To address this dual challenge, sustainable biomass-derived TEMPO-oxidized cellulose nanofibrils (TOCNFs) emerge as ideal structural substrates. However, their intrinsic electrical insulation necessitates integrating conductive two-dimensional (2D) MXene, which suffers from severe self-restacking and brittleness. Herein, TOCNFs@MXene hybrid films are manufactured via vacuum filtration and hot-pressing densification. TOCNFs inhibit MXene self-restacking, constructing a highly ordered layered architecture via a dense hydrogen-bonded network. The optimized ultrathin film T5@M20 (~4.92 μm) exhibits an electrical conductivity of 1.09 × 106 ± 5.06 × 104 s m−1 and an X-band shielding effectiveness (SETotal) of 25.55 dB. Demonstrating an ultrahigh thickness-normalized specific shielding effectiveness (SSE/t) of 51,934.72 dB·cm2·g−1, this sustainable architecture shows exceptional potential for next-generation flexible electronics. Full article
(This article belongs to the Section Polymer Membranes and Films)
Show Figures

Graphical abstract

19 pages, 294 KB  
Review
Social and Solidarity Economy and Social Innovation in the Agri-Food Sector: A Conceptual Synthesis of Contributions to Sustainable Local and Rural Development
by Antonios Kostas, Vasileios Zoumpoulidis, Maria Fragkioudaki and Anastasios Karasavvoglou
Soc. Sci. 2026, 15(4), 248; https://doi.org/10.3390/socsci15040248 - 13 Apr 2026
Viewed by 339
Abstract
The dominant agri-food system’s well-documented failures—biodiversity loss, deepening rural inequalities, and the erosion of small-scale farming livelihoods—have elevated SSE initiatives and social innovation in the agri-food sector and bioeconomy from a niche policy concern to a structural priority. This paper examines how SSE [...] Read more.
The dominant agri-food system’s well-documented failures—biodiversity loss, deepening rural inequalities, and the erosion of small-scale farming livelihoods—have elevated SSE initiatives and social innovation in the agri-food sector and bioeconomy from a niche policy concern to a structural priority. This paper examines how SSE arrangements drive meaningful transformation in agri-food chains while advancing sustainable development at local and regional scales. Through a narrative review of interdisciplinary peer-reviewed literature and key institutional sources, the paper synthesizes evidence that SSE initiatives generate transformation through three interconnected mechanisms: (a) the reconfiguration of governance structures; (b) the deepening of producer–consumer relationships through spatial proximity and relational transparency; and (c) the more equitable redistribution of value across agri-food territories. These findings suggest that place-based SSE models occupy a central—rather than peripheral—role in sustainability transitions and local development. The paper presents a structured analytical framework linking SSE practices to agri-food chain transformation and develops nine concrete policy implications for scaling and sustaining SSE innovations through coordinated collaboration among public, private, and social economy stakeholders. The findings contribute to a sharper understanding of the conditions under which SSE-driven models can foster sustainable, socially inclusive, and community-oriented agri-food systems and of why the solidarity dimension, rather than organisational form alone, is the decisive criterion for identifying genuinely transformative initiatives. Full article
(This article belongs to the Special Issue Social Innovation: Local Solutions to Global Challenges)
11 pages, 715 KB  
Article
Network-Level Time-of-Day Boundary Optimization for Urban Signal Control Based on Traffic Detector Data
by Ji-yeong Seo and Seon-ha Lee
Appl. Sci. 2026, 16(8), 3658; https://doi.org/10.3390/app16083658 - 9 Apr 2026
Viewed by 404
Abstract
Although time-of-day (TOD) signal operation is widely adopted in urban signal control systems, its boundary settings are often determined empirically without systematic validation. This study presents a network-level, data-driven framework for optimizing TOD boundaries using citywide traffic detector data. One-year traffic volume data [...] Read more.
Although time-of-day (TOD) signal operation is widely adopted in urban signal control systems, its boundary settings are often determined empirically without systematic validation. This study presents a network-level, data-driven framework for optimizing TOD boundaries using citywide traffic detector data. One-year traffic volume data collected at 15-min intervals from vehicle detection systems in Daejeon, South Korea, were aggregated to construct a representative daily demand profile. K-means clustering was employed to identify homogeneous temporal traffic states, and candidate TOD boundaries were derived based on cluster transitions. To ensure operational feasibility, a minimum segment length constraint was incorporated. The optimal number of clusters was determined using the silhouette score, resulting in a three-period TOD structure. Compared with a conventional fixed TOD configuration, the proposed approach reduced intra-segment variability by 34.87% in terms of sum of squared errors (SSE) and significantly lowered root mean squared error (RMSE). The results demonstrate that clustering-based TOD boundary optimization enhances temporal homogeneity while maintaining practical applicability for network-level urban signal control. Full article
(This article belongs to the Section Transportation and Future Mobility)
Show Figures

Figure 1

19 pages, 1310 KB  
Article
Security and Safety Education from the Polish Context to Reinforce Social Education at a Time of Global Uncertainty
by Małgorzata Gawlik-Kobylińska, José A. García-Berná, Dorota Domalewska, Andrzej Pieczywok, Peter Holowka and Juan Manuel Carrillo de Gea
Information 2026, 17(4), 358; https://doi.org/10.3390/info17040358 - 8 Apr 2026
Viewed by 395
Abstract
This study advances the conceptual and practical scope of social education by integrating Security and Safety Education (SSE) categories into its theoretical foundation. We demonstrate that SSE encompasses multidimensional areas highly relevant to social education and offer a structured competence model to guide [...] Read more.
This study advances the conceptual and practical scope of social education by integrating Security and Safety Education (SSE) categories into its theoretical foundation. We demonstrate that SSE encompasses multidimensional areas highly relevant to social education and offer a structured competence model to guide curriculum design. Using a mixed-methods approach, 2926 Web of Science publications were analysed through an NVivo Word Frequency Query to identify key domains associated with security and safety. The temporal scope of the corpus (2019–2021) provides a coherent analytical baseline, capturing intensified security and health-related discourse during the COVID-19 period while preceding geopolitical disruptions that could otherwise distort thematic patterns. The results show that security is associated with broad social and geopolitical issues, including food, political, economic, public, national, and international affairs, as well as health and information. In contrast, safety is mainly linked to transport-related concerns, although both domains converge in areas such as health, social, public, national, and information matters. These findings indicate that SSE encompasses multidimensional areas relevant to social education. To support curricular integration, we propose an eMEDIATOR-derived competence model that structures SSE content into measurable, outcomes-based components. Ultimately, this research provides actionable tools to elevate social education and promote active, informed citizenship in times of global uncertainty. Full article
Show Figures

Graphical abstract

20 pages, 2158 KB  
Article
Determination of Octanol–Water Partition Coefficients for Corticosteroids and Its Application in a Screening-Level In Silico Environmental Risk Prioritization for Aquaculture Systems
by Guofeng Cheng, Shimin Wu, Shikun Liu, Yu Liu, Zhaojun Gu, Jiahua Zhang and Yanan Liu
Water 2026, 18(7), 879; https://doi.org/10.3390/w18070879 - 7 Apr 2026
Viewed by 447
Abstract
The presence of corticosteroids (CSs) in aquaculture wastewater poses risks to ecological health and food safety, yet data on their lipophilicity (logKow) remain scarce. This study determined the logKow of CSs to perform a screening-level in silico environmental [...] Read more.
The presence of corticosteroids (CSs) in aquaculture wastewater poses risks to ecological health and food safety, yet data on their lipophilicity (logKow) remain scarce. This study determined the logKow of CSs to perform a screening-level in silico environmental risk prioritization. We evaluated nine computational programs (ACD/LogP, ALOGPS 2.1, CLOGP, JChem, KOWWIN, MiLogP, MolLogP, MOSES.logP, and XLOGP3) against experimental data for 50 steroid hormones. Results showed that XLOGP3 demonstrated the highest accuracy (Adjusted R2 = 0.9872; SSE = 0.1004), followed by MiLogP, ACD/LogP, and KOWWIN. Structure–lipophilicity analysis revealed that esterification and acetonide formation significantly increase logKow, while hydroxylation decreases it. Using the validated XLOGP3, we predicted logKow for 32 synthetic CSs and estimated their bioconcentration factor (BCF) and soil organic carbon–water partition coefficient (Koc). Because experimental logKow data for these 32 synthetic compounds are largely unavailable, these estimates should be interpreted as preliminary prioritization indicators rather than experimentally confirmed endpoints. Heavily modified CSs like Ciclesonide and Fluocortolone 21-hexanoate exhibited high logKow (>4.5), log BCF (>3.0), and logKoc (>4.0), indicating their high potential for bioaccumulation and persistent sediment adsorption. This study provides a prioritized list of high-risk CSs, serving as a preliminary tool to identify potential compounds of concern in aquaculture environments. Full article
Show Figures

Figure 1

30 pages, 4535 KB  
Article
Correction of the Size-of-Source Effect in Thermal Imaging and Application to Body Thermometry
by Erik Bryan Beall
Sensors 2026, 26(7), 2177; https://doi.org/10.3390/s26072177 - 31 Mar 2026
Viewed by 317
Abstract
Single-element bolometers have been widely used for medical thermometry to predict a core body temperature based on the measured surface temperature and a pre-determined clinical correlation. The size-of-source effect (SSE) in bolometers is recognized as an important source of error and has been [...] Read more.
Single-element bolometers have been widely used for medical thermometry to predict a core body temperature based on the measured surface temperature and a pre-determined clinical correlation. The size-of-source effect (SSE) in bolometers is recognized as an important source of error and has been extensively studied such that SSE can be controlled sufficiently to obtain the required accuracy. Thermal imaging cameras relying on much of the same principles have also been widely used for medical thermometry, but recent work has shown that SSE in thermal imaging differs from SSE in single-element bolometers. An unappreciated aspect of this artifact in thermal imaging has been its outsize impact on accuracy, producing more than a degree of inaccuracy in typical scenarios. However, because the artifact has so far avoided a satisfactory characterization, this impact has not been incorporated into the standards and expert recommendations for body thermometry with thermal imaging. In this work, we characterize SSE-like artifact as proportional to the difference between source and non-source temperatures as a function of source size, showing that the same percent deviation artifact is obtained at different source temperatures. We then derive an objective method to obtain convolution kernel parameters and apply these to several thermal imaging sensors and optics configurations. Finally, we show that these methods are sufficient to achieve the required accuracy for body thermometry with thermal imaging. Full article
(This article belongs to the Section Sensing and Imaging)
Show Figures

Figure 1

19 pages, 2342 KB  
Article
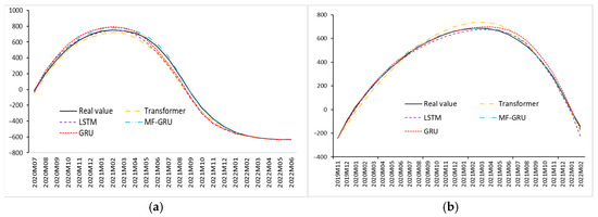
An Improved GRU Financial Time Series Prediction Model
by Yong Li
Fractal Fract. 2026, 10(4), 227; https://doi.org/10.3390/fractalfract10040227 - 28 Mar 2026
Viewed by 460
Abstract
Forecasting financial time series (FTS) is essential for analyzing and understanding the dynamics of financial markets. Traditional recurrent neural network (RNN) models often suffer from low prediction accuracy on non-stationary and abruptly changing data, as their gating mechanisms struggle to capture evolving trends [...] Read more.
Forecasting financial time series (FTS) is essential for analyzing and understanding the dynamics of financial markets. Traditional recurrent neural network (RNN) models often suffer from low prediction accuracy on non-stationary and abruptly changing data, as their gating mechanisms struggle to capture evolving trends in FTS. This paper introduces variational mode decomposition (VMD) and multifractal analysis to enhance the gating mechanism of the gated recurrent unit (GRU). By quantifying the changing characteristics of FTS, the proposed model dynamically adjusts the gating weights. In addition, a state fusion strategy is employed to improve the utilization efficiency of historical information. Experiments are conducted using daily data of the SSE 50, CSI 300, and CSI 1000 indices, spanning from 4 January 2002, to 26 December 2025. The results demonstrate that, compared to traditional models, the proposed model better captures the evolving characteristics of FTS and achieves higher prediction accuracy. Full article
(This article belongs to the Special Issue Multifractal Analysis and Complex Systems)
Show Figures

Figure 1

16 pages, 4826 KB  
Article
Tuning the Performance of Ge-Doped CZTSSe Solar Cells via Selenization
by Xiaogong Lv, Shumin Zhang, Yanchun Yang, Guonan Cui, Wenliang Fan and Xing Yue
Materials 2026, 19(7), 1337; https://doi.org/10.3390/ma19071337 - 27 Mar 2026
Viewed by 377
Abstract
Cu2ZnSn(S,Se)4 (CZTSSe) is a candidate thin-film photovoltaic material; however, its performance is restricted by innate defect-induced nonradiative recombination. Low-concentration Ge doping has been identified as an efficient way to mitigate these defects, but the selenization temperature remains an important process [...] Read more.
Cu2ZnSn(S,Se)4 (CZTSSe) is a candidate thin-film photovoltaic material; however, its performance is restricted by innate defect-induced nonradiative recombination. Low-concentration Ge doping has been identified as an efficient way to mitigate these defects, but the selenization temperature remains an important process parameter that governs the structure and optoelectronic characteristics of CZTSSe absorbers. In the present work, low-concentration Ge-doped Cu2ZnSn0.95Ge0.05S4 (CZTGS) precursor films were synthesized through a green, n-butylammonium butyrate-based solution approach. The effects of the selenization temperature (530–570 °C) on the microstructure, composition, and photovoltaic performance of Cu2ZnSn0.95Ge0.05(S,Se)4 (CZTGSSe) films and devices were comprehensively investigated. X-ray diffraction (XRD), scanning electron microscopy (SEM), X-ray photoelectron spectroscopy (XPS), energy-dispersive X-ray spectrometer (EDS), atomic force microscopy (AFM) were performed to comprehensively characterize the synthesized samples, and the results suggested that the selenization temperature dramatically altered the film grain growth, crystallinity, elemental retention and surface roughness. Specifically, the film that underwent selenization at 550 °C presented the best crystallinity, which was accompanied by large-scale even grains, efficient Ge4+ addition to the kesterite lattice and the lowest surface roughness. These better properties in terms of structure and composition resulted in the lowest carrier transport resistance (Rs = 8.6 Ω∙cm2), improved recombination resistance (Rj = 5.9 kΩ∙cm2), inhibited nonradiative recombination, and prolonged carrier lifetime (τEIS = 35.8 μs). Therefore, the resulting CZTGSSe thin-film solar cell had an 8.69% better power conversion efficiency (PCE), while its open-circuit voltage (VOC) was 0.42 V, the fill factor (FF) was 55.51%, and the short-circuit current density (JSC) was 37.71 mA·cm−2. Our results elucidate the mechanism by which the selenization temperature regulates low-concentration Ge-doped kesterite devices and provide more insights into the optimization of processes for cost-effective, high-performance, and green thin-film solar cells. Full article
(This article belongs to the Section Energy Materials)
Show Figures

Figure 1

31 pages, 2803 KB  
Article
Improved Elk Herd Optimization via Best-Guided Differential Reproduction Learning for Precise PEM Fuel Cell Parameter Identification
by Sulaiman Z. Almutairi and Abdullah M. Shaheen
Mathematics 2026, 14(7), 1103; https://doi.org/10.3390/math14071103 - 25 Mar 2026
Viewed by 391
Abstract
Proton Exchange Membrane (PEM) fuel cells represent a promising clean energy technology due to their high efficiency, environmental sustainability, and wide applicability in transportation and stationary power systems. Accurate parameter extraction from PEM fuel cell models is critical for reliable performance prediction, control, [...] Read more.
Proton Exchange Membrane (PEM) fuel cells represent a promising clean energy technology due to their high efficiency, environmental sustainability, and wide applicability in transportation and stationary power systems. Accurate parameter extraction from PEM fuel cell models is critical for reliable performance prediction, control, and optimization. However, this task is challenging because of the nonlinear, multimodal, and highly coupled characteristics of fuel cell models. To address this challenge, this paper proposes an Enhanced Elk Herd Optimizer (EEHO), incorporating a novel best-bull–guided differential reproduction mechanism to improve search accuracy, convergence speed, and robustness. The proposed enhancement enables a portion of offspring solutions to be generated by perturbing the global best solution using scaled differences between randomly selected herd members. This mechanism strengthens exploitation around promising regions while maintaining population diversity and preventing premature convergence. The EEHO is applied to extract seven unknown parameters of PEM fuel cell models by minimizing the sum of squared errors between experimental and simulated voltage data. The effectiveness of the proposed method is validated using two commercial PEM fuel cell stacks, namely a 250 W stack and a BCS 500 W stack. Extensive comparative evaluations against the conventional Elk Herd Optimizer and several well-established methods demonstrate that the EEHO achieves superior performance in terms of accuracy, convergence speed, robustness, and statistical consistency. The proposed algorithm attains lower error values, faster convergence, and more stable performance across multiple independent runs. Furthermore, the extracted parameters produce highly accurate voltage and power characteristics, closely matching experimental observations. The results confirm that the proposed EEHO provides an efficient, reliable, and robust optimization framework for PEM fuel cell parameter extraction and offers strong potential for broader applications in energy system modeling, intelligent optimization, and renewable energy optimization problems. Quantitatively, the proposed EEHO achieved a significant reduction in the averages of the Sum of Squared Errors (SSE) of up to 24.96% and 23.29% compared with the conventional EHO for the 250 W stack and a BCS 500 W stack, respectively, demonstrating its superior accuracy in parameter estimation. To further validate the robustness and generalization capability of the proposed EEHO, two additional commercial PEM fuel cell datasets, of Ballard Mark V and Modular SR-12, are investigated and compared against several state-of-the-art optimization algorithms. The results, supported by Wilcoxon and Friedman statistical tests and boxplot analyses, confirm that EEHO consistently achieves superior accuracy, stability, and convergence reliability across different operating conditions. Full article
(This article belongs to the Section E: Applied Mathematics)
Show Figures

Figure 1

29 pages, 8910 KB  
Article
Field Evaluation of a Robotic Apple Harvester with Negative-Pressure Driven End-Effectors on a Simplified 4-DoF Manipulator
by Guangrui Hu, Jianguo Zhou, Shiwei Wen, Ning Chen, Chen Chen, Fangmin Cheng, Yu Chen and Jun Chen
Agriculture 2026, 16(7), 717; https://doi.org/10.3390/agriculture16070717 - 24 Mar 2026
Viewed by 448
Abstract
Apple picking is an inherently labor-intensive, time-consuming, and costly task, and robotic harvesting represents a potential alternative to address this challenge. This study presents the development and field evaluation of an integrated robotic system for apple harvesting, which combines machine vision, a dual [...] Read more.
Apple picking is an inherently labor-intensive, time-consuming, and costly task, and robotic harvesting represents a potential alternative to address this challenge. This study presents the development and field evaluation of an integrated robotic system for apple harvesting, which combines machine vision, a dual four-degree-of-freedom (DoF) manipulator, and a mobile platform. The harvesting mechanism employed a streamlined 4-DoF manipulator driven by closed-loop stepper motors, incorporating a differential gear mechanism to execute yaw and pitch motions. Trajectory planning utilized linear interpolation with a harmonic acceleration/deceleration profile to ensure smooth end-effector movement. Fruit detection and localization within the canopy were performed by a stereo vision system running a lightweight deep neural network, achieving a mean hand-eye calibration accuracy of 4.7 ± 2.7 mm. Three negative-pressure driven soft end-effector designs—a suction soft end-effector (SSE), a grasping soft end-effector (GSE), and a suction-grasping soft end-effector (SGSE)—were assessed for their harvesting performance. Field trials conducted in a commercial spindle orchard demonstrated that the GSE achieved the highest performance, with a harvesting success rate of 80.80% among reachable fruits, a full-process success rate (from detection to collection) of 61.59%, an overall fruit damage rate of 10.89%, and an average single-fruit cycle time of 5.27 s. In contrast, the SSE and SGSE showed lower success rates (49.21% and 64.71%, respectively). This work provides a practical robotic harvesting solution. It validates the feasibility of a zoned, multi-manipulator harvesting strategy and delivers comparative data to guide the development of more efficient and robust harvesting robots. Full article
(This article belongs to the Section Agricultural Technology)
Show Figures

Graphical abstract

31 pages, 4919 KB  
Article
Comparison of Resting-State EEG and Synchronization Between Young Adults with Down Syndrome and Controls in Bipolar Montage
by Jesús Pastor, Lorena Vega-Zelaya and Diego Real de Asúa
Brain Sci. 2026, 16(3), 328; https://doi.org/10.3390/brainsci16030328 - 19 Mar 2026
Viewed by 379
Abstract
The qEEG findings of subjects with Down syndrome (DS) have not been described in the context of bipolar montage. Resting-state EEG (rsEEG) with a bipolar montage was performed in 22 young adults (26.0 ± 1.2 years) with DS but without psychiatric or neurological [...] Read more.
The qEEG findings of subjects with Down syndrome (DS) have not been described in the context of bipolar montage. Resting-state EEG (rsEEG) with a bipolar montage was performed in 22 young adults (26.0 ± 1.2 years) with DS but without psychiatric or neurological pathology and matched control subjects of the same sex and age, and the results were conventionally and numerically analyzed. Channels were grouped into frontal, parieto-occipital, and temporal lobes. For every channel, the power spectrum was calculated and used to compute the area for the delta, theta, alpha and beta bands and was log-transformed. Shannon’s spectral entropy (SSE) and coherence by bands were computed. Finally, we also calculated the peak frequency distribution of the alpha band. qEEG revealed alterations in the rsEEG that were not detected visually. Subjects with DS showed a significant generalized increase in the power of the delta and theta bands, along with a decrease in the power of the alpha band in the posterior half of the scalp. This alpha activity also exhibited features corresponding to older euploid subjects, showing interhemispheric asynchrony in one-third of the individuals. The beta band power was significantly increased in the frontal lobes and adjacent regions, such as the parietal and mid-temporal regions. Individuals with DS showed a generalized decrease in parieto-occipital synchronization associated with intelligence quotient. Left temporal synchronization was also lower. The synchronization of specific channel pairs was greater in subjects with DS in the frontal lobe and much lower in the occipital and temporal regions. These results indicate that alterations in band structure and synchronization in subjects with DS are highly specific and can aid in the clinical evaluation of these individuals. Full article
(This article belongs to the Section Neurotechnology and Neuroimaging)
Show Figures

Figure 1

18 pages, 2508 KB  
Article
Giant Tunneling Electroresistance and Anisotropic Photoresponse in Sliding Ferroelectric Homojunctions Based on Bilayer Janus MoSSe
by Huxiao Yang and Yuehua Xu
Nanomaterials 2026, 16(6), 370; https://doi.org/10.3390/nano16060370 - 18 Mar 2026
Viewed by 365
Abstract
Interlayer-sliding ferroelectricity in van der Waals bilayers enables ultralow-power switching, but practical devices are often limited by contact/interface scattering and weak coupling between polarization and transport. We propose homophase lateral architectures based on bilayer Janus MoSSe: a 1T/2H/1T ferroelectric tunnel homojunction and an [...] Read more.
Interlayer-sliding ferroelectricity in van der Waals bilayers enables ultralow-power switching, but practical devices are often limited by contact/interface scattering and weak coupling between polarization and transport. We propose homophase lateral architectures based on bilayer Janus MoSSe: a 1T/2H/1T ferroelectric tunnel homojunction and an H-phase lateral p–i–n photodetector (artificially doped electrode). Metallic 1T electrodes largely eliminate contact barriers and maximize polarization-driven tunneling modulation. Using non-equilibrium Green’s function–density functional theory (Perdew–Burke–Ernzerhof approximation, without explicit spin–orbit coupling), we find that AB to BA sliding reduces the current from the nA range to the pA range, with the minimum current of|IOFF|min = 2.83 pA, yielding giant tunneling electroresistance up to 5.3 × 104%. Projected local density of states reveals a non-rigid long-range potential redistribution that reshapes the tunneling barrier and opens high-transmission channels. In the p–i–n photodetector, the response is strongly anisotropic and stacking-dependent: AB reaches photocurrent density Jph ≈ 7.2 µA·mm−2 at 2.6 eV for in-plane light versus ≈ 2.9 µA·mm−2 at 3.5 eV for out-of-plane, and exceeds BA by 1.5–1.8 times due to density of states advantages and Mo-d orbital selection rules. Bilayer Janus MoSSe therefore provides a reconfigurable platform for high-contrast memory and polarization-sensitive photodetection. Full article
(This article belongs to the Special Issue Emerging 2D Materials for Future Nanoelectronics)
Show Figures

Figure 1

Back to TopTop