Sign in to use this feature.

Years

Between: -

Subjects

remove_circle_outline
remove_circle_outline
remove_circle_outline
remove_circle_outline
remove_circle_outline

Journals

Article Types

Countries / Regions

Search Results (20)

Search Parameters:
Keywords = South Asian phenotype

Order results
Result details
Results per page
Select all
Export citation of selected articles as:
10 pages, 1480 KB  
Brief Report
Reclassifying IDUA c.250G>A (p.Gly84Ser): Evidence for a Possible Pseudodeficiency Allele
by Christopher Connolly, Rachel Fisher, Chen Yang, Susan Schelley, Bryce A. Mendelsohn, Chung Lee and Ayesha Ahmad
Int. J. Neonatal Screen. 2025, 11(4), 100; https://doi.org/10.3390/ijns11040100 - 27 Oct 2025
Viewed by 646
Abstract
Accurate variant classification is crucial for newborn screening (NBS) to prevent missed diagnoses or unnecessary interventions. The IDUA gene variant denoted as c.250G>A (p.Gly84Ser) has been identified in individuals with positive NBS for Mucopolysaccharidosis Type I (MPS I). This variant has conflicting pathogenicity [...] Read more.
Accurate variant classification is crucial for newborn screening (NBS) to prevent missed diagnoses or unnecessary interventions. The IDUA gene variant denoted as c.250G>A (p.Gly84Ser) has been identified in individuals with positive NBS for Mucopolysaccharidosis Type I (MPS I). This variant has conflicting pathogenicity reports including one publication classifying this variant as associated with a severe MPS I phenotype; therefore, we aim to clarify the clinical significance of this variant by presenting a case series describing three individuals, each homozygous for c.250G>A (p.Gly84Ser), identified in Michigan and California. All patients in this case series had low alpha-iduronidase (IDUA) enzyme activity with normal or mildly elevated glycosaminoglycans (GAGs) in blood or urine not falling into the range or pattern seen for affected individuals. None of these patients have developed clinical features of MPS I during follow-up ranging up to 3.5 years of age. Review of functional and population data supports a pseudodeficiency effect, resulting in no need for treatment. Based on our experience with three patients all homozygous for c.250G>A (p.Gly84Ser), despite causing low in vitro IDUA activity, homozygosity for the IDUA gene variant denoted as c.250G>A (p.Gly84Ser), does not cause symptoms of MPS I and may represent a pseudodeficiency allele. Caution should be exercised in newborns with this variant to help reduce unnecessary interventions and alleviate the psychosocial and economic consequences of false-positive NBS results, particularly for the South Asian population. Full article
Show Figures

Figure 1

19 pages, 1561 KB  
Article
Integrating Genomics and Deep Phenotyping for Diagnosing Rare Pediatric Neurological Diseases: Potential for Sustainable Healthcare in Resource-Limited Settings
by Nigara Yerkhojayeva, Nazira Zharkinbekova, Sovet Azhayev, Ainash Oshibayeva, Gulnaz Nuskabayeva and Rauan Kaiyrzhanov
Int. J. Transl. Med. 2025, 5(4), 47; https://doi.org/10.3390/ijtm5040047 - 4 Oct 2025
Viewed by 1510
Abstract
Background: Rare pediatric neurological diseases (RPND) often remain undiagnosed for years, creating prolonged and costly diagnostic odysseys. Combining Human Phenotype Ontology (HPO)-based deep phenotyping with exome sequencing (ES) and reverse phenotyping offers the potential to improve diagnostic yield, accelerate diagnosis, and support sustainable [...] Read more.
Background: Rare pediatric neurological diseases (RPND) often remain undiagnosed for years, creating prolonged and costly diagnostic odysseys. Combining Human Phenotype Ontology (HPO)-based deep phenotyping with exome sequencing (ES) and reverse phenotyping offers the potential to improve diagnostic yield, accelerate diagnosis, and support sustainable healthcare in resource-limited settings. Objectives: To evaluate the diagnostic yield and clinical impact of an integrated approach combining deep phenotyping, ES, and reverse phenotyping in children with suspected RPNDs. Methods: In this multicenter observational study, eighty-one children from eleven hospitals in South Kazakhstan were recruited via the Central Asian and Transcaucasian Rare Pediatric Neurological Diseases Consortium. All patients underwent standardized HPO-based phenotyping and ES, with variant interpretation following ACMG guidelines. Reverse phenotyping and interdisciplinary discussions were used to refine clinical interpretation. Results: A molecular diagnosis was established in 34 of 81 patients (42%) based on pathogenic or likely pathogenic variants. Variants of uncertain significance (VUS) were identified in an additional 9 patients (11%), but were reported separately and not included in the diagnostic yield. Reverse phenotyping clarified or expanded clinical features in one-third of genetically diagnosed cases and provided supportive evidence in most VUS cases, although their classification remained unchanged. Conclusions: Integrating deep phenotyping, ES, and reverse phenotyping substantially improved diagnostic outcomes and shortened the diagnostic odyssey. This model reduces unnecessary procedures, minimizes delays, and provides a scalable framework for advancing equitable access to genomic diagnostics in resource-constrained healthcare systems. Full article
Show Figures

Figure 1

13 pages, 640 KB  
Article
Investigating the Role of GDF-15 in Diabetes and Obesity: A Comprehensive Analysis of a Cohort from the KDEP Study
by Jehad Abubaker, Mohamed Abu-Farha, Ahmed N. Albatineh, Irina Al-Khairi, Preethi Cherian, Hamad Ali, Ibrahim Taher, Fahad Alajmi, Mohammed Qaddoumi, Muhammad Abdul-Ghani and Fahd Al-Mulla
Biomedicines 2025, 13(7), 1589; https://doi.org/10.3390/biomedicines13071589 - 30 Jun 2025
Cited by 2 | Viewed by 2629
Abstract
Background: Growth differentiation factor 15 (GDF-15), a member of the transforming growth factor-β (TGF-β) superfamily, is upregulated under cellular stress conditions and has emerged as a potential biomarker for metabolic disorders. However, its expression in relation to diabetes and obesity across different demographic [...] Read more.
Background: Growth differentiation factor 15 (GDF-15), a member of the transforming growth factor-β (TGF-β) superfamily, is upregulated under cellular stress conditions and has emerged as a potential biomarker for metabolic disorders. However, its expression in relation to diabetes and obesity across different demographic groups remains understudied. This study investigated the association between plasma GDF-15 levels, diabetes mellitus, and obesity in individuals of varying ages, ethnicities, and genders. Methods: In a cross-sectional study, plasma GDF-15 concentrations were measured in 2083 participants enrolled in the Kuwait Diabetes Epidemiology Program (KDEP). The dataset included anthropometric, clinical, biochemical, and glycemic markers. Multivariate regression analysis was used to examine associations between GDF-15 levels and metabolic phenotypes. Results: Mean plasma GDF-15 levels were significantly higher in males than females (580.6 vs. 519.3 ng/L, p < 0.001), and in participants >50 years compared to those <50 years (781.4 vs. 563.4 ng/L, p < 0.001). Arab participants had higher GDF-15 levels than South and Southeast Asians (597.0 vs. 514.9 and 509.9 ng/L, respectively; p < 0.001). Positive correlations were found with BMI, waist and hip circumferences, blood pressure, insulin, and triglycerides; negative correlations were observed with HDL cholesterol. Median regression indicated that elevated GDF-15 levels were independently and significantly associated with male gender, older age, obesity, diabetes, and insulin resistance. Adjusted median regression indicated that male gender (β = 30.1, 95%CI: 11.7, 48.5), older age (β = 9.4, 95%CI: 8.0, 10.7), and insulin resistance (β = 7.73, 95%CI: 1.47, 14.0) indicated a significant positive association with GDF-15. South Asian participants (β= −41.7, 95%CI: −67.2, −16.2) had significantly but Southeast Asian participants (β= −23.3, 95%CI: −49.2, 2.56) had marginally significantly lower GDF-15 levels compared to participants of Arab ethnicity. Conclusions: Higher GDF-15 levels are associated with age, male gender, Arab ethnicity, obesity, and diabetic traits. These findings support the potential role of GDF-15 as a biomarker for metabolic disorders, particularly in high-risk demographic subgroups. Full article
Show Figures

Figure 1

15 pages, 5970 KB  
Article
Evaluation of Fusarium Head Blight Resistance Through a Genome-Wide Association Study in CIMMYT and South Asian Wheat Germplasm
by Rupsanatan Mandal, Xinyao He, Gyanendra Pratap Singh, Muhammad Rezaul Kabir, Arun Kumar Joshi and Pawan Kumar Singh
Pathogens 2025, 14(5), 490; https://doi.org/10.3390/pathogens14050490 - 16 May 2025
Viewed by 1553
Abstract
Fusarium head blight (FHB) is an important disease throughout the world due to its strong association with yield reduction, quality deterioration, and mycotoxin contamination in wheat. The use of FHB-resistant genotypes in wheat production can significantly reduce damage. The current study screened a [...] Read more.
Fusarium head blight (FHB) is an important disease throughout the world due to its strong association with yield reduction, quality deterioration, and mycotoxin contamination in wheat. The use of FHB-resistant genotypes in wheat production can significantly reduce damage. The current study screened a panel of bread wheat from CIMMYT and South Asian countries for FHB resistance to identify promising genotypes useful for wheat breeding and to map the associated genomic regions and linked molecular markers through a genome-wide association study (GWAS). Spray-inoculated field experiments were conducted at CIMMYT, Mexico, over three years, and a wide range of phenotypic variations was observed. Four lines, CIM-39, CIM-29, CIM-9, and CIM-3, exhibited consistent resistance across experiments, with FHB indices ranging from 6.5 to 8.1. Genotyping was conducted using the Illumina Infinium 15 K Bead Chip, and 11,184 high-quality SNP markers were obtained and used for GWAS. Nineteen significant marker-trait associations (MTAs) were detected, among which MTAs at Ra_c58315_265 on 1A and Tdurum_contig102328_129 and Ku_c20136_198 on 7B showed reproducible results, with phenotypic effects on FHB resistance of 6.05%, 3.54%, and 3.92%, respectively. Several genes associated with disease resistance were found near the significant SNPs. The identified resistant genotypes and markers may be useful in future marker-assisted breeding in wheat. Full article
(This article belongs to the Special Issue Current Research on Fusarium: 2nd Edition)
Show Figures

Figure 1

18 pages, 9430 KB  
Article
MYBPC3 D389V Variant Induces Hypercontractility in Cardiac Organoids
by Darshini Desai, Taejeong Song, Rohit R. Singh, Akhil Baby, James McNamara, Lisa C. Green, Pooneh Nabavizadeh, Mark Ericksen, Sholeh Bazrafshan, Sankar Natesan and Sakthivel Sadayappan
Cells 2024, 13(22), 1913; https://doi.org/10.3390/cells13221913 - 19 Nov 2024
Cited by 3 | Viewed by 3762
Abstract
MYBPC3, encoding cardiac myosin binding protein-C (cMyBP-C), is the most mutated gene known to cause hypertrophic cardiomyopathy (HCM). However, since little is known about the underlying etiology, additional in vitro studies are crucial to defining the underlying molecular mechanisms. Accordingly, this study [...] Read more.
MYBPC3, encoding cardiac myosin binding protein-C (cMyBP-C), is the most mutated gene known to cause hypertrophic cardiomyopathy (HCM). However, since little is known about the underlying etiology, additional in vitro studies are crucial to defining the underlying molecular mechanisms. Accordingly, this study aimed to investigate the molecular mechanisms underlying the pathogenesis of HCM associated with a polymorphic variant (D389V) in MYBPC3 by using isogenic human-induced pluripotent stem cell (hiPSC)-derived cardiac organoids (hCOs). The hiPSC-derived cardiomyocytes (hiPSC-CMs) and hCOs were generated from human subjects to define the molecular, cellular, functional, and energetic changes caused by the MYBPC3D389V variant, which is associated with increased fractional shortening and highly prevalent in South Asian descendants. Recombinant C0-C2, N’ region of cMyBP-C (wild-type and D389V), and myosin S2 proteins were also utilized to perform binding and motility assays in vitro. Confocal and electron microscopic analyses of hCOs generated from noncarriers (NC) and carriers of the MYBPC3D389V variant revealed the presence of highly organized sarcomeres. Furthermore, functional experiments showed hypercontractility, faster calcium cycling, and faster contractile kinetics in hCOs expressing MYBPC3D389V than NC hCOs. Interestingly, significantly increased cMyBP-C phosphorylation in MYBPC3D389V hCOs was observed, but without changes in total protein levels, in addition to higher oxidative stress and lower mitochondrial membrane potential (ΔΨm). Next, spatial mapping revealed the presence of endothelial cells, fibroblasts, macrophages, immune cells, and cardiomyocytes in the hCOs. The hypercontractile function was significantly improved after the treatment of the myosin inhibitor mavacamten (CAMZYOS®) in MYBPC3D389V hCOs. Lastly, various vitro binding assays revealed a significant loss of affinity in the presence of MYBPC3D389V with myosin S2 region as a likely mechanism for hypercontraction. Conceptually, we showed the feasibility of assessing the functional and molecular mechanisms of HCM using highly translatable hCOs through pragmatic experiments that led to determining the MYBPC3D389V hypercontractile phenotype, which was rescued by the administration of a myosin inhibitor. Full article
(This article belongs to the Section Stem Cells)
Show Figures

Graphical abstract

11 pages, 288 KB  
Article
Evaluation of Etest and MICRONAUT-AM Assay for Antifungal Susceptibility Testing of Candida auris: Underestimation of Fluconazole Resistance by MICRONAUT-AM and Overestimation of Amphotericin B Resistance by Etest
by Mohammad Asadzadeh, Suhail Ahmad, Wadha Alfouzan, Inaam Al-Obaid, Bram Spruijtenburg, Eelco F. J. Meijer, Jacques F. Meis and Eiman Mokaddas
Antibiotics 2024, 13(9), 840; https://doi.org/10.3390/antibiotics13090840 - 4 Sep 2024
Cited by 9 | Viewed by 2463
Abstract
Multidrug-resistant Candida auris has recently caused major outbreaks in healthcare facilities. Rapid and accurate antifungal susceptibility testing (AST) of C. auris is crucial for proper management of invasive infections. The Commercial Sensititre Yeast One and Vitek 2 methods underestimate or overestimate the resistance [...] Read more.
Multidrug-resistant Candida auris has recently caused major outbreaks in healthcare facilities. Rapid and accurate antifungal susceptibility testing (AST) of C. auris is crucial for proper management of invasive infections. The Commercial Sensititre Yeast One and Vitek 2 methods underestimate or overestimate the resistance of C. auris to fluconazole and amphotericin B (AMB). This study evaluated the AST results of C. auris against fluconazole and AMB by gradient-MIC-strip (Etest) and broth microdilution-based MICRONAUT-AM-EUCAST (MCN-AM) assays. Clinical C. auris isolates (n = 121) identified by phenotypic and molecular methods were tested. Essential agreement (EA, ±1 two-fold dilution) between the two methods and categorical agreement (CA) based on the Centers for Disease Control and Prevention’s (CDC’s) tentative resistance breakpoints were determined. Fluconazole resistance-associated mutations were detected by PCR-sequencing of ERG11. All isolates identified as C. auris belonged to South Asian clade I and contained the ERG11 Y132F or K143R mutation. The Etest–MCN-AM EA was poor (33%) for fluconazole and moderate (76%) for AMB. The CA for fluconazole was higher (94.2%, 7 discrepancies) than for AMB (91.7%, 10 discrepancies). Discrepancies were reduced when an MCN-AM upper-limit value of 4 µg/mL for fluconazole-susceptible C. auris and an Etest upper-limit value of 8 µg/mL for the wild type for AMB were used. Our data show that resistance to fluconazole was underestimated by MCN-AM, while resistance to AMB was overestimated by Etest when using the CDC’s tentative resistance breakpoints of ≥32 µg/mL for fluconazole and ≥2 µg/mL for AMB. Method-specific resistance breakpoints should be devised for accurate AST of clinical C. auris isolates for proper patient management. Full article
(This article belongs to the Special Issue Epidemiology, Antifungal Resistance and Therapy in Fungal Infection)
13 pages, 2799 KB  
Article
Screening of CIMMYT and South Asian Bread Wheat Germplasm Reveals Marker–Trait Associations for Seedling Resistance to Septoria Nodorum Blotch
by Rupsanatan Mandal, Xinyao He, Gyanendra Singh, Muhammad Rezaul Kabir, Arun Kumar Joshi and Pawan Kumar Singh
Genes 2024, 15(7), 890; https://doi.org/10.3390/genes15070890 - 7 Jul 2024
Cited by 1 | Viewed by 2081
Abstract
Wheat (Triticum aestivum L.) production is adversely impacted by Septoria nodorum blotch (SNB), a fungal disease caused by Parastagonospora nodorum. Wheat breeders are constantly up against this biotic challenge as they try to create resistant cultivars. The genome-wide association study (GWAS) [...] Read more.
Wheat (Triticum aestivum L.) production is adversely impacted by Septoria nodorum blotch (SNB), a fungal disease caused by Parastagonospora nodorum. Wheat breeders are constantly up against this biotic challenge as they try to create resistant cultivars. The genome-wide association study (GWAS) has become an efficient tool for identifying molecular markers linked with SNB resistance. This technique is used to acquire an understanding of the genetic basis of resistance and to facilitate marker-assisted selection. In the current study, a total of 174 bread wheat accessions from South Asia and CIMMYT were assessed for SNB reactions at the seedling stage in three greenhouse experiments at CIMMYT, Mexico. The results indicated that 129 genotypes were resistant to SNB, 39 were moderately resistant, and only 6 were moderately susceptible. The Genotyping Illumina Infinium 15K Bead Chip was used, and 11,184 SNP markers were utilized to identify marker–trait associations (MTAs) after filtering. Multiple tests confirmed the existence of significant MTAs on chromosomes 5B, 5A, and 3D, and the ones at Tsn1 on 5B were the most stable and conferred the highest phenotypic variation. The resistant genotypes identified in this study could be cultivated in South Asian countries as a preventative measure against the spread of SNB. This work also identified molecular markers of SNB resistance that could be used in future wheat breeding projects. Full article
(This article belongs to the Special Issue Genetics of Disease Resistance in Wheat)
Show Figures

Figure 1

14 pages, 4455 KB  
Article
Genetic Susceptibility to Arrhythmia Phenotypes in a Middle Eastern Cohort of 14,259 Whole-Genome Sequenced Individuals
by Fatima Qafoud, Mohamed Elshrif, Khalid Kunji, Asma Althani, Amar Salam, Jassim Al Suwaidi, Nidal Asaad, Dawood Darbar and Mohamad Saad
J. Clin. Med. 2024, 13(4), 1102; https://doi.org/10.3390/jcm13041102 - 15 Feb 2024
Cited by 1 | Viewed by 2056
Abstract
Background: The current study explores the genetic underpinnings of cardiac arrhythmia phenotypes within Middle Eastern populations, which are under-represented in genomic medicine research. Methods: Whole-genome sequencing data from 14,259 individuals from the Qatar Biobank were used and contained 47.8% of Arab ancestry, 18.4% [...] Read more.
Background: The current study explores the genetic underpinnings of cardiac arrhythmia phenotypes within Middle Eastern populations, which are under-represented in genomic medicine research. Methods: Whole-genome sequencing data from 14,259 individuals from the Qatar Biobank were used and contained 47.8% of Arab ancestry, 18.4% of South Asian ancestry, and 4.6% of African ancestry. The frequency of rare functional variants within a set of 410 candidate genes for cardiac arrhythmias was assessed. Polygenic risk score (PRS) performance for atrial fibrillation (AF) prediction was evaluated. Results: This study identified 1196 rare functional variants, including 162 previously linked to arrhythmia phenotypes, with varying frequencies across Arab, South Asian, and African ancestries. Of these, 137 variants met the pathogenic or likely pathogenic (P/LP) criteria according to ACMG guidelines. Of these, 91 were in ACMG actionable genes and were present in 1030 individuals (~7%). Ten P/LP variants showed significant associations with atrial fibrillation p < 2.4 × 10−10. Five out of ten existing PRSs were significantly associated with AF (e.g., PGS000727, p = 0.03, OR = 1.43 [1.03, 1.97]). Conclusions: Our study is the largest to study the genetic predisposition to arrhythmia phenotypes in the Middle East using whole-genome sequence data. It underscores the importance of including diverse populations in genomic investigations to elucidate the genetic landscape of cardiac arrhythmias and mitigate health disparities in genomic medicine. Full article
(This article belongs to the Special Issue Advances in Understanding Cardiac Arrhythmias)
Show Figures

Figure 1

16 pages, 4161 KB  
Article
Genetic Origin and Introgression Pattern of Pingliang Red Cattle Revealed Using Genome-Wide SNP Analyses
by Yuanqing Wang, Jun Ma, Jing Wang, Lupei Zhang, Junwei Hu, Minghao Ma, Lingyang Xu, Yan Chen, Bo Zhu, Zezhao Wang, Huijiang Gao, Junya Li and Xue Gao
Genes 2023, 14(12), 2198; https://doi.org/10.3390/genes14122198 - 11 Dec 2023
Cited by 2 | Viewed by 2449
Abstract
The Pingliang red cattle, an outstanding indigenous resource in China, possesses an exceptional breeding value attributed to its tender meat and superior marbling quality. Currently, research efforts have predominantly concentrated on exploring its maternal origin and conducting conventional phenotypic studies. However, there remains [...] Read more.
The Pingliang red cattle, an outstanding indigenous resource in China, possesses an exceptional breeding value attributed to its tender meat and superior marbling quality. Currently, research efforts have predominantly concentrated on exploring its maternal origin and conducting conventional phenotypic studies. However, there remains a lack of comprehensive understanding regarding its genetic basis. To address this gap, we conducted a thorough whole-genome analysis to investigate the population structure, phylogenetic relationships, and gene flows of this breed using genomic SNP chip data from 17 bovine breeds. The results demonstrate that Pingliang red cattle have evolved distinct genetic characteristics unique to this breed, clearly distinguishing it from other breeds. Based on the analysis of the population structure and phylogenetic tree, it can be classified as a hybrid lineage between Bos taurus and Bos indicus. Furthermore, Pingliang red cattle display a more prominent B. taurus pedigree in comparison with Jinnan, Qinchuan, Zaosheng, Nanyang, and Luxi cattle. Moreover, this study also revealed closer genetic proximity within the Chinese indigenous cattle breed, particularly Qinchuan cattle, which shares the longest identical by descent (IBD) fragment with Pingliang red cattle. Gene introgression analysis shows that Pingliang red cattle have undergone gene exchange with South Devon and Red Angus cattle from Europe. Admixture analysis revealed that the proportions of East Asian taurine and Chinese indicine in the ancestry of Pingliang red cattle are approximately 52.44% and 21.00%, respectively, while Eurasian taurine, European taurine, and Indian indicine account for approximately 17.55%, 7.27%, and 1.74%. Our findings unveil distinct genetic characteristics in Pingliang red cattle and attribute their origin to B. taurus and B. indicus ancestry, as well as contributions from Qinchuan cattle, South Devon, and Red Angus. Full article
(This article belongs to the Special Issue Functional Genomics and Breeding in Animals)
Show Figures

Figure 1

13 pages, 264 KB  
Article
Genetic Diversity of Barley Accessions from East Asia for Greenbug Resistance
by Evgeny E. Radchenko, Renat A. Abdullaev, Daria E. Akimova and Irina N. Anisimova
Plants 2023, 12(22), 3797; https://doi.org/10.3390/plants12223797 - 8 Nov 2023
Cited by 3 | Viewed by 1626
Abstract
The greenbug, Schizaphis graminum, is a dangerous pest of barley and other grain crops in the south of Russia. An effective and environmentally friendly way to control this insect is to cultivate resistant varieties. The differential interaction between the phytophage and host [...] Read more.
The greenbug, Schizaphis graminum, is a dangerous pest of barley and other grain crops in the south of Russia. An effective and environmentally friendly way to control this insect is to cultivate resistant varieties. The differential interaction between the phytophage and host plants necessitates the search for new donors of resistance. Seven hundred and seventy-eight accessions of barley from East Asian countries (313 from China, 450 from Japan, and 15 from Nepal) were evaluated for greenbug resistance. The Krasnodar population of the insect and clones isolated from it were used in the experiments. Forty heterogeneous accessions were identified, in which plants with a high level of resistance to the aphid were found. As a result of damage assessment by the 108 S. graminum clones of 11 lines selected from heterogeneous accessions, 52 insect virulence phenotypes were identified. Experiments with aphid test clones showed that all 11 lines possess diverse greenbug resistance alleles, which differ from the previously identified Rsg1, but their efficiency is low. The frequency of clones virulent to ten lines and the cultivar Post (a carrier of the Rsg1 gene) varies from 60.4% to 98.0%. The exception is line 15903, which is resistant to the aphid population and protected by one dominant gene. The high resistance of other lines against a part of the natural population of S. graminum is also under oligogenic control. Lines 15600 and 16190 each have one dominant resistance gene, and line 28129 is protected by two genes, the dominant and recessive ones. A recessive resistance gene is presumably present in line 15600. Lines 16237/1 and 16237/2, isolated from the same collection accession, each have one dominant gene effective against individual aphid clones. The loss of effectiveness of distinctly manifested resistance genes causes the expression of previously masked genes with a weak phenotypic manifestation, which differentially interact with insect genotypes. Full article
12 pages, 815 KB  
Article
Candida auris in Austria—What Is New and What Is Different
by Kathrin Spettel, Richard Kriz, Christine Wu, Lukas Achter, Stefan Schmid, Sonia Galazka, Brigitte Selitsch, Iris Camp, Athanasios Makristathis, Heimo Lagler and Birgit Willinger
J. Fungi 2023, 9(2), 129; https://doi.org/10.3390/jof9020129 - 17 Jan 2023
Cited by 12 | Viewed by 4541
Abstract
Candida auris is a novel and emerging pathogenic yeast which represents a serious global health threat. Since its first description in Japan 2009, it has been associated with large hospital outbreaks all over the world and is often resistant to more than one [...] Read more.
Candida auris is a novel and emerging pathogenic yeast which represents a serious global health threat. Since its first description in Japan 2009, it has been associated with large hospital outbreaks all over the world and is often resistant to more than one antifungal drug class. To date, five C. auris isolates have been detected in Austria. Morphological characterization and antifungal susceptibility profiles against echinocandins, azoles, polyenes and pyrimidines, as well as the new antifungals ibrexafungerp and manogepix, were determined. In order to assess pathogenicity of these isolates, an infection model in Galleria mellonella was performed and whole genome sequencing (WGS) analysis was conducted to determine the phylogeographic origin. We could characterize four isolates as South Asian clade I and one isolate as African clade III. All of them had elevated minimal inhibitory concentrations to at least two different antifungal classes. The new antifungal manogepix showed high in vitro efficacy against all five C. auris isolates. One isolate, belonging to the African clade III, showed an aggregating phenotype, while the other isolates belonging to South Asian clade I were non-aggregating. In the Galleria mellonella infection model, the isolate belonging to African clade III exhibited the lowest in vivo pathogenicity. As the occurrence of C. auris increases globally, it is important to raise awareness to prevent transmission and hospital outbreaks. Full article
(This article belongs to the Special Issue Infection Prevention and Control of Fungal Infections)
Show Figures

Graphical abstract

13 pages, 4745 KB  
Article
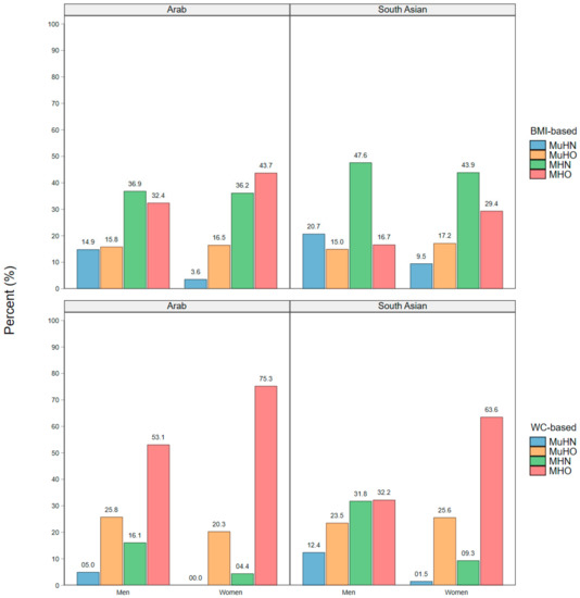
Metabolically Healthy and Unhealthy Obese Phenotypes among Arabs and South Asians: Prevalence and Relationship with Cardiometabolic Indicators
by Victor M. Oguoma, Mohamed Abu-Farha, Neil T. Coffee, Saad Alsharrah, Faisal H. Al-Refaei, Jehad Abubaker, Mark Daniel and Fahd Al-Mulla
Nutrients 2022, 14(5), 915; https://doi.org/10.3390/nu14050915 - 22 Feb 2022
Cited by 12 | Viewed by 3701
Abstract
Obesity is a public health crisis in Kuwait. However, not all obese individuals are metabolically unhealthy (MuHO) given the link between obesity and future cardiovascular events. We assessed the prevalence of the metabolically healthy obese (MHO) phenotype and its relationship with high sensitivity [...] Read more.
Obesity is a public health crisis in Kuwait. However, not all obese individuals are metabolically unhealthy (MuHO) given the link between obesity and future cardiovascular events. We assessed the prevalence of the metabolically healthy obese (MHO) phenotype and its relationship with high sensitivity C-reactive protein (hs-CRP), serum alanine aminotransferase (ALT), and insulin resistance (HOMA-IR) in Arab and South Asian ethnic groups in Kuwait. The national cross-sectional survey of diabetes and obesity in Kuwait adults aged 18–60 years were analysed. The harmonised definition of metabolic syndrome was used to classify metabolic health. Multinomial logistic regression analysis was used to model the relationship between the MHO and MuHO phenotypes and hs-CRP, ALT and HOMA-IR levels. Overall, the prevalence of MHO for body mass index (BMI)- and waist circumference (WC)-defined obesity was 30.8% and 56.0%, respectively; it was greater in women (60.4% and 61.8%, respectively) than men (39.6% and 38.2%, respectively). Prevalence rates were also lower for South Asians than for Arabs. The MHO phenotype had hs-CRP values above 3 µg/mL for each age group category. Men compared to women, and South Asians compared to Arabs had a lower relative risk for the MHO group relative to the MuHO group. This study shows there is high prevalence of MHO in Kuwait. Full article
(This article belongs to the Section Nutrition and Obesity)
Show Figures

Figure 1

8 pages, 250 KB  
Article
Trabecular Bone Score and Bone Mineral Density in Postmenopausal Women with Morbid Obesity—A Clinical Paradox
by Antresa Jose, Kripa Elizabeth Cherian, Munaf Babajan Nandyal, Stephen A. Jiwanmall, Dheeraj Kattula, Thomas V. Paul and Nitin Kapoor
Med. Sci. 2021, 9(4), 69; https://doi.org/10.3390/medsci9040069 - 9 Nov 2021
Cited by 14 | Viewed by 4319
Abstract
Obesity has long been considered to have a protective effect on bone, but specific complications in those with morbid obesity are known to have a detrimental impact on bone architecture. We aimed to study the bone microarchitecture (TBS—trabecular bone score) and bone mineral [...] Read more.
Obesity has long been considered to have a protective effect on bone, but specific complications in those with morbid obesity are known to have a detrimental impact on bone architecture. We aimed to study the bone microarchitecture (TBS—trabecular bone score) and bone mineral density (BMD) in postmenopausal women with morbid obesity compared to obese and non-obese age-matched women. Eighty-five consecutive postmenopausal women with morbid obesity (body mass index (BMI) ≥ 35 kg/m2) were enrolled and compared to age-matched obese (n = 80) and non-obese postmenopausal controls (n = 85). The BMD and TBS were assessed in all subjects using a Hologic-QDR 4500-W Discovery-A DXA scanner. The mean BMD (gm/cm2) at the femoral neck in women with morbid obesity was found to be significantly lower as compared to the age-matched postmenopausal obese controls (0.723 versus 0.762, p-value = 0.002). The BMD at the lumbar spine and hip showed similar trends but were not statistically significant. The bone microarchitecture was found to be significantly lower in those with morbid obesity (1.205) as compared to the other two groups (obesity 1.244; non-obese 1.228) (p < 0.013). Though obesity was associated with a better bone density and bone microarchitecture in postmenopausal women, a paradoxical lower value was seen in those with morbid obesity. Full article
(This article belongs to the Special Issue Contemporary Endocrinology)
12 pages, 1233 KB  
Article
The Genetic Diversity and Population Structure of Different Geographical Populations of Bottle Gourd (Lagenaria siceraria) Accessions Based on Genotyping-by-Sequencing
by Rodrigo Contreras-Soto, Ariel Salvatierra, Carlos Maldonado and Jacob Mashilo
Agronomy 2021, 11(8), 1677; https://doi.org/10.3390/agronomy11081677 - 23 Aug 2021
Cited by 11 | Viewed by 4352
Abstract
Lagenaria siceraria (Molina) Standl is an important horticultural and medicinal crop grown worldwide in the food and pharmaceutical industries. The crop exhibits extensive phenotypic and genetic variation useful for cultivar development targeting economic traits; however, limited genomic resources are available for effective germplasm [...] Read more.
Lagenaria siceraria (Molina) Standl is an important horticultural and medicinal crop grown worldwide in the food and pharmaceutical industries. The crop exhibits extensive phenotypic and genetic variation useful for cultivar development targeting economic traits; however, limited genomic resources are available for effective germplasm characterization into breeding and conservation strategies. This study determined the genetic relationships and population structure in a collection of different accessions of bottle gourd derived from Chile, Asia, and South Africa by using single-nucleotide polymorphism (SNP) markers and mining of simple sequence repeat (SSR) loci derived from genotyping-by-sequencing (GBS) data. The GBS resulted in 12,766 SNPs classified as moderate to highly informative, with a mean polymorphic information content of 0.29. The mean gene diversity of 0.16 indicated a low genetic differentiation of the accessions. Analysis of molecular variance revealed less differentiation between (36%) as compared to within (48%) bottle gourd accessions, suggesting that a random mating system dominates inbreeding. Population structure revealed two genetically differentiated groups comprising South African accessions and an admixed group with accessions of Asian and Chilean origin. The results of SSR loci mining from GBS data should be developed and validated before being used in diverse bottle gourd accessions. The SNPs markers developed in the present study are useful genomic resources in bottle gourd breeding programs for assessing the extent of genetic diversity for effective parental selection and breeding. Full article
Show Figures

Figure 1

16 pages, 455 KB  
Review
Obesity and Metabolic Care of Children of South Asian Ethnicity in Western Society
by Ramya Sivasubramanian, Sonali Malhotra, Angela K. Fitch and Vibha Singhal
Children 2021, 8(6), 447; https://doi.org/10.3390/children8060447 - 25 May 2021
Cited by 12 | Viewed by 5718
Abstract
South Asians constitute one-fourth of the world’s population and are distributed significantly in western countries. With exponentially growing numbers, childhood obesity is of global concern. Children of South Asian ancestry have a higher likelihood of developing obesity and associated metabolic risks. The validity [...] Read more.
South Asians constitute one-fourth of the world’s population and are distributed significantly in western countries. With exponentially growing numbers, childhood obesity is of global concern. Children of South Asian ancestry have a higher likelihood of developing obesity and associated metabolic risks. The validity of commonly used measures for quantifying adiposity and its impact on metabolic outcomes differ by race and ethnicity. In this review we aim to discuss the validity of body mass index (BMI) and other tools in screening for adiposity in South Asian children. We also discuss the prevalence of overweight and obesity amongst South Asian children in western countries and the differences in body fat percentage, adiposity distribution, and metabolic risks specific to these children compared to Caucasian children. South Asian children have a characteristic phenotype: lower lean mass and higher body fat percentage favoring central fat accumulation. Hence, BMI is a less reliable predictor of metabolic status in these children than it is for Caucasian children. Furthermore, the relatively lower birth weight and rapid growth acceleration in early childhood of South Asian children increase the risk of their developing cardiometabolic disorders at a younger age than that of Caucasians. We emphasize the need to use modified tools for assessment of adiposity, which take into consideration the ethnic differences and provide early and appropriate intervention to prevent obesity and its complications. Full article
(This article belongs to the Section Global Pediatric Health)
Show Figures

Figure 1

Back to TopTop