Sign in to use this feature.

Years

Between: -

Subjects

remove_circle_outline
remove_circle_outline
remove_circle_outline
remove_circle_outline
remove_circle_outline
remove_circle_outline
remove_circle_outline
remove_circle_outline
remove_circle_outline

Journals

remove_circle_outline
remove_circle_outline
remove_circle_outline
remove_circle_outline
remove_circle_outline
remove_circle_outline
remove_circle_outline
remove_circle_outline
remove_circle_outline
remove_circle_outline
remove_circle_outline
remove_circle_outline

Article Types

Countries / Regions

remove_circle_outline
remove_circle_outline
remove_circle_outline
remove_circle_outline
remove_circle_outline
remove_circle_outline

Search Results (942)

Search Parameters:
Keywords = Shapley value

Order results
Result details
Results per page
Select all
Export citation of selected articles as:
22 pages, 1136 KB  
Article
Co-Optimized Scheduling of a Multi-Microgrid System Based on a Reputation Point Trading Mechanism
by Jiankai Fang, Dongmei Yan, Hongkun Wang, Hui Deng, Xinyu Meng and Hong Zhang
Smart Cities 2026, 9(4), 69; https://doi.org/10.3390/smartcities9040069 - 15 Apr 2026
Abstract
With the rapid integration of distributed energy resources, achieving a balance between economic efficiency and environmental sustainability in multi-microgrid (MMG) systems is critical. However, existing studies typically treat microgrid operators as fully compliant entities. They often neglect the “trust-risk” dimension along with potential [...] Read more.
With the rapid integration of distributed energy resources, achieving a balance between economic efficiency and environmental sustainability in multi-microgrid (MMG) systems is critical. However, existing studies typically treat microgrid operators as fully compliant entities. They often neglect the “trust-risk” dimension along with potential default behaviors in decentralized markets. This paper proposes a novel co-optimized scheduling model for urban MMG systems, centered on a unified “Social–Economic–Physical” coupling framework. To ensure transaction integrity, a robust reputation evaluation framework is developed using Root Mean Square Error (RMSE), mean absolute error (MAE), plus Dynamic Time Warping (DTW). This framework effectively identifies fraudulent data or contractual breaches. Furthermore, to enhance fairness while promoting decarbonization, the model integrates a dynamic network pricing strategy based on the Shapley value. It works alongside a reputation-weighted reward–penalty step-type carbon trading scheme. The proposed model is formulated as a mixed-integer linear programming (MILP) problem and solved using MATLAB R2025b with CPLEX 12.10. Simulation results demonstrate that the integrated approach significantly optimizes system performance. Total carbon emissions are reduced by 49.6 tons. Meanwhile, revenues for the MMG Alliance, individual microgrids, and shared energy storage operators increase by 4.08% to 33.00%. The proposed framework provides a practical governance solution for Smart City multi-microgrid systems, effectively addressing the “trust-risk” challenge in decentralized urban energy markets. The findings validate that the proposed mechanism effectively fosters a trustworthy trading environment, achieving a “win-win” outcome for economic profitability and urban energy resilience. Full article
(This article belongs to the Section Smart Urban Energies and Integrated Systems)
Show Figures

Figure 1

29 pages, 12607 KB  
Article
From Pyroptosis Heterogeneity to an Interpretable Prognostic Signature for Risk Stratification and Therapy Insights in Pancreatic Adenocarcinoma
by Xiangsen Zou, Peng Song, Shicong Song, Guowei Zhang, Wang Xiao, Tingkang Yang, Lin Zhou and Yixiong Lin
Biomedicines 2026, 14(4), 892; https://doi.org/10.3390/biomedicines14040892 - 14 Apr 2026
Viewed by 10
Abstract
Background: Pancreatic adenocarcinoma (PAAD) is a highly malignant cancer posing severe clinical challenges. Although the dual role of pyroptosis in tumor progression is increasingly recognized, the prognostic value of its molecular heterogeneity in PAAD remains underexplored. Methods: We integrated multi-omics data and applied [...] Read more.
Background: Pancreatic adenocarcinoma (PAAD) is a highly malignant cancer posing severe clinical challenges. Although the dual role of pyroptosis in tumor progression is increasingly recognized, the prognostic value of its molecular heterogeneity in PAAD remains underexplored. Methods: We integrated multi-omics data and applied interpretable machine learning to construct a predictive framework centered on pyroptosis heterogeneity. Using non-negative matrix factorization (NMF) on pyroptosis-related genes (PRGs), patients were classified into distinct molecular subtypes. Evaluating 117 machine learning combinations, we employed random survival forest (RSF) to build the final model, followed by comprehensive internal and external validation. SHapley Additive exPlanations (SHAP) analysis provided global and local interpretability. Clinical potential was assessed via nomogram, drug sensitivity prediction, single-cell analysis, and immunohistochemical validation. Results: We identified two biologically distinct pyroptosis subtypes and developed a ten-gene pyroptosis subtype-associated gene signature (PSAGS). PSAGS demonstrated robust performance across training, test, and multiple external validation cohorts, outperforming most published models. Multivariate analysis confirmed its independent prognostic value, and a PSAGS-based nomogram exhibited clinical utility. PSAGS-stratified subgroups showed differential responses to immunotherapy, chemotherapy, and targeted agents. Single-cell analysis revealed cell type-specific links between PSAGS scores and pyroptosis activity, indicating that high-PSAGS malignant cells foster an immunosuppressive microenvironment through extracellular matrix (ECM)-mediated signaling. Protein-level validation confirmed upregulation of signature genes in PAAD tissues. Conclusions: This work presents a biologically reliable prognostic model for personalized PAAD management and elucidates how pyroptosis heterogeneity drives tumor progression through cellular interactions. Full article
Show Figures

Figure 1

23 pages, 6966 KB  
Article
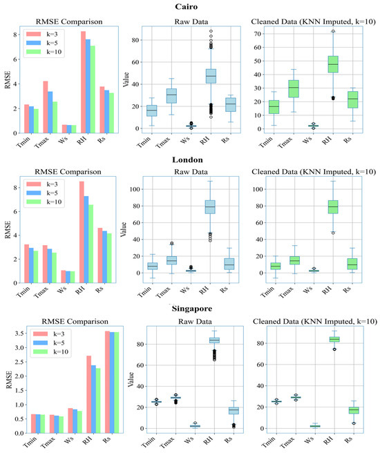
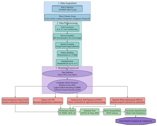
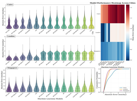
A Paradigm Shift to Automated Machine Learning for Local and External Reference Evapotranspiration Estimation with Uncertainty Implication
by Mostafa Sadeghzadeh, Sepideh Karimi, Amir Hossein Nazemi, Pau Martí and Jalal Shiri
Water 2026, 18(8), 927; https://doi.org/10.3390/w18080927 - 13 Apr 2026
Viewed by 141
Abstract
Accurate estimation of reference evapotranspiration (ET0) can be decisive in agricultural, hydrological and meteorological applications. Although different machine learning (ML)-based models have been successfully applied for ET0 estimation under a wide spectrum of climatic conditions, most of these models present [...] Read more.
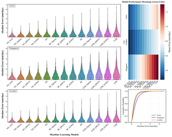
Accurate estimation of reference evapotranspiration (ET0) can be decisive in agricultural, hydrological and meteorological applications. Although different machine learning (ML)-based models have been successfully applied for ET0 estimation under a wide spectrum of climatic conditions, most of these models present the crucial shortcoming of being site-specific. Hence, a thorough hyperparameter tuning would be necessary before translating such models to another domain with different data distributions. The hyperparameter tuning is a complex procedure that mainly depends on the operator’s experience. Automated ML might be a suitable approach to adapt the models’ architectures. The present study evaluated the performance of different automated ML algorithms, namely, neural architecture search (NAS), Optuna, enhanced grey wolf (EGWO), and quantum whale optimization (QWOA) algorithms coupled with random forest, neural networks, and light gradient boosting models for estimating daily ET0 at three different climatic regions (Cairo, Singapore, and London). For local validation, the NN-NAS model provided the most accurate results in Cairo (R2 = 0.969, RMSE = 0.432 mm/day) and Singapore (R2 = 0.657, RMSE = 0.596 mm/day), while NN-Optuna provided the highest performance accuracy in London (R2 = 0.941, RMSE = 0.370 mm/day). Hybrid AutoML models improved R2 by 5–15% and reduced RMSE by 10–20% compared to standalone models. In external validation, NN-NAS and NN-Optuna presented superior generalizability, with R2 values up to 0.899 and 0.680 in London and Cairo, respectively. Nonetheless, the performance of the hybrid models depended on the climatic conditions of the studied sites, where NN-NAS was the best model for the arid site, while NN-Optuna provided the highest accuracy in the temperate climate. Further, the analysis of variance confirmed significant differences among the performance accuracies of the developed model. The Shapley additive explanations (SHAP) analysis was performed to identify the variables’ effect on ET0 estimation, which suggested that solar radiation showed the highest impact in all three studied climatic contexts, although the degree of importance was climatic dependent. Finally, an external modeling scenario was conducted using exogenous data for estimating ET0 at the target sites, which confirmed the models’ ability. Full article
Show Figures

Figure 1

18 pages, 7315 KB  
Article
Machine Learning and SHAP Feature Analysis: Classification Model for Aroma Components in Green Plum Wine
by Xuhui Zhang, Mengsheng Deng, Yu Lei, Yingmei Tao, Shuang Li, Rui Huang, Zonghua Ao, Qiuyun Mao, Xingyong Zhang, Xue Wang, Siyuan Liu, Bingxin Kuang, Chuan Song and Dong Li
Foods 2026, 15(8), 1342; https://doi.org/10.3390/foods15081342 - 13 Apr 2026
Viewed by 200
Abstract
This study systematically investigated differences in volatile flavor profiles among fermented green plum wines by integrating gas chromatography–mass spectrometry (GC–MS), sensory evaluation, and odor activity value (OAV) analysis with machine learning and SHapley Additive exPlanations (SHAP) based feature interpretation. The primary objective was [...] Read more.
This study systematically investigated differences in volatile flavor profiles among fermented green plum wines by integrating gas chromatography–mass spectrometry (GC–MS), sensory evaluation, and odor activity value (OAV) analysis with machine learning and SHapley Additive exPlanations (SHAP) based feature interpretation. The primary objective was to evaluate the applicability of machine learning algorithms for flavor profiling of green plum wine. The results indicated that floral and fruity aromas were predominant in samples NG9, YM7, and YM9. Most green plum wines contained high levels of esters, with ethyl benzoate (up to 4820.53 μg/L), ethyl octanoate (up to 2640.83 μg/L), and benzenecarbaldehyde (up to 3432.96 μg/L) being the major contributors. Among the six classification algorithms compared, fuzzy c-means clustering provided the most distinct clustering structure, identifying three distinct flavor categories. Six machine learning models were subsequently established, of which the decision tree (DT) model exhibited the highest performance, with an accuracy of 95.13%. SHAP analysis further revealed that ethyl octanoate, benzyl ethanoate, and 2-phenylethyl ethanoate exerted the greatest influence on model predictions. Overall, these findings highlight the effectiveness of machine learning as a robust tool for the classification and interpretation of flavor characteristics in fermented fruit wines, with broad applicability in flavor science. Full article
(This article belongs to the Section Drinks and Liquid Nutrition)
Show Figures

Figure 1

24 pages, 5579 KB  
Article
Data-Driven Prediction of Rebar Corrosion Parameters in Mortar and Simulated Pore Solution Using Optimised Extreme Gradient Boosting Models
by Celal Cakiroglu, Gebrail Bekdaş, Soujanya Pillala and Zong Woo Geem
Coatings 2026, 16(4), 456; https://doi.org/10.3390/coatings16040456 - 10 Apr 2026
Viewed by 240
Abstract
This study presents two independently optimised Extreme Gradient Boosting (XGBoost) regression models, one for predicting corrosion current density (icorr) and one for predicting corrosion potential (Ecorr) parameters of carbon steel rebar [...] Read more.
This study presents two independently optimised Extreme Gradient Boosting (XGBoost) regression models, one for predicting corrosion current density (icorr) and one for predicting corrosion potential (Ecorr) parameters of carbon steel rebar embedded in mortar and immersed in simulated pore solution. An experimental dataset consisting of 216 measurements was curated from a systematic potentiodynamic scan study covering six chloride contamination levels, two carbonation states (non-carbonated and carbonated), four moisture conditions for mortar (65%, 85%, 95% relative humidity, and submerged), and three conditioning durations for simulated pore solution (36 h, 72 h and 20 days). Hyperparameters of the XGBoost models were optimised using a Bayesian optimisation framework with the Tree-structured Parzen Estimator (TPE) sampler over 300 trials. Model performance was assessed using 5-fold cross-validation and a random 80:20 train–test split. The optimised models achieved cross-validation R2 scores of 0.936 and 0.953 for icorr and Ecorr, respectively. On the hold-out test set, R2 values of 0.933 and 0.945 were obtained with test RMSE values of 0.2 log10(µA/cm2) and 41.9 mV, respectively. The contribution of each input feature to model predictions was quantified and visualised using the SHapley Additive exPlanations (SHAP) methodology. SHAP analysis reveals that chloride content has the highest impact on icorr, followed by carbonation state and the low-humidity condition, while for Ecorr, chloride content and the Submerged condition have the greatest impact. An interactive web application was developed using Streamlit, enabling researchers and practitioners to obtain corrosion parameter predictions. The findings provide data-driven insights into the relative importance of environmental factors governing rebar corrosion, with direct implications for the development of accurate corrosion prediction models for reinforced concrete service life assessment. Full article
(This article belongs to the Special Issue Alloy/Metal/Steel Surface: Fabrication, Structure, and Corrosion)
Show Figures

Figure 1

15 pages, 4228 KB  
Article
Interpretable Machine-Learning Prediction of Atmospheric Zinc Corrosion Depth Under Diverse Environmental Conditions
by Sandeep Jain, Rahul Singh Mourya, Reliance Jain, Sheetal Kumar Dewangan and Saurabh Tiwari
Processes 2026, 14(8), 1214; https://doi.org/10.3390/pr14081214 - 10 Apr 2026
Viewed by 258
Abstract
Understanding the depth and severity of corrosion is vital for evaluating the long-term durability and economic performance of Zn-based structures. In this study, a machine learning (ML) framework was applied to forecast the corrosion depth of zinc under varying environmental circumstances. A dataset [...] Read more.
Understanding the depth and severity of corrosion is vital for evaluating the long-term durability and economic performance of Zn-based structures. In this study, a machine learning (ML) framework was applied to forecast the corrosion depth of zinc under varying environmental circumstances. A dataset consisting of 300 samples compiled from previously published atmospheric corrosion studies under various environmental conditions was used to develop and evaluate the machine learning models. Seven ML algorithms were developed by integrating different environmental constraints such as temperature, time of wetness (TOW), SO2 concentration, Cl concentration, and exposure time as input parameters. The models were trained using cross-validation and hyperparameter optimization to ensure robust predictive performance and minimize overfitting. The Random Forest (RF) model confirmed superior predictive performance with an R2 of 96.4% and RMSE of 0.642 µm among all used models. The predictive ability of the optimized RF model was further confirmed using five new environmental systems, attaining excellent agreement with predicted values (R2 = 97.9%, RMSE = 0.87 µm). Model interpretability analysis using SHAP (SHapley Additive exPlanations) discovered that exposure time and SO2 concentration are the most significant parameters leading zinc corrosion behaviour. The developed ML framework provides interpretable insights into the influence of environmental parameters on atmospheric zinc corrosion behaviour and provides a reliable tool for forecasting corrosion depth. These findings highlight the potential of ML approaches to support corrosion mitigation strategies and accelerate materials design by reducing reliance on conventional trial-and-error experimentation. Full article
Show Figures

Figure 1

27 pages, 6134 KB  
Article
SHAP-Based Insights into Environmental and Economic Performance of a Shower Heat Exchanger Under Unbalanced Flow Conditions: A Feasibility Study
by Sabina Kordana-Obuch and Mariusz Starzec
Energies 2026, 19(8), 1845; https://doi.org/10.3390/en19081845 - 9 Apr 2026
Viewed by 281
Abstract
Heat recovery from greywater is one solution for improving the energy efficiency of buildings and reducing greenhouse gas emissions. Particular attention is paid to systems utilizing heat from shower water, which, due to its high temperature and regularity, represents a promising energy source. [...] Read more.
Heat recovery from greywater is one solution for improving the energy efficiency of buildings and reducing greenhouse gas emissions. Particular attention is paid to systems utilizing heat from shower water, which, due to its high temperature and regularity, represents a promising energy source. However, the interplay of parameters determining the financial and environmental effectiveness of such a solution has not yet been fully explored. Therefore, the aim of this paper was to identify key variables influencing the feasibility of using a shower heat exchanger operating under unbalanced flow conditions and to assess the consistency between financial and environmental effects. The analyzed net present values ranged from −€1381 to €52,168. Greenhouse gas emission reduction values ranged between 61 kgCO2e and 37,207 kgCO2e. The analysis was conducted using predictive modeling and the SHAP (SHapley Additive exPlanations) method, which allows for the interpretation of the impact of individual variables on the forecasted net present value and potential greenhouse gas emission reduction. A global analysis was carried out to determine the relative importance of variables, as well as a local analysis for selected cases. The results showed that operational variables related to shower use, particularly shower length and mixed water flow rate, significantly influenced the prediction results of both models. In the case of emission reduction, greenhouse gas emission intensity and its change over time also had a significant impact, whilst the financial effects were determined by the energy price from the perspective of the subsequent years of the system’s operation. Full article
Show Figures

Figure 1

27 pages, 1519 KB  
Article
Analysis of International Tourism Flows: A Gravity Model and an Explainable Machine Learning Approach
by Tsolmon Sodnomdavaa
Tour. Hosp. 2026, 7(4), 105; https://doi.org/10.3390/tourhosp7040105 - 8 Apr 2026
Viewed by 290
Abstract
International tourism plays an important role in the global service economy, contributing to trade, employment, and regional development. For this reason, identifying the factors that influence tourist flows is an important issue for tourism policy, market strategy, and infrastructure planning. A large body [...] Read more.
International tourism plays an important role in the global service economy, contributing to trade, employment, and regional development. For this reason, identifying the factors that influence tourist flows is an important issue for tourism policy, market strategy, and infrastructure planning. A large body of research has applied gravity models to analyze tourism flows between countries. While this approach provides a clear economic interpretation, it is usually based on linear specifications and may therefore capture only part of the relationships present in tourism data. This study examines the economic and geographic determinants of international tourism flows to Mongolia using a framework that combines a traditional gravity model with machine learning techniques. Mongolia serves as an instructive empirical setting, a landlocked, geographically peripheral destination whose inbound demand determinants have received limited systematic empirical attention. The analysis uses panel data for 27 origin countries covering the period from 2000 to 2024. In the first stage, a gravity model is estimated to assess how tourism flows relate to economic size and geographic distance. The results show that tourism flows tend to increase with the economic size of origin and destination countries, while greater geographical distance is associated with lower tourism flows. The estimated distance elasticity ranges from approximately −1.85 to −2.10 across model specifications, which is larger in absolute terms than the values typically reported in cross-country studies. This result is consistent with the relatively high travel cost barriers associated with Mongolia’s geographic location. These findings are consistent with the distance decay relationship commonly reported in the tourism literature. In the second stage, machine learning algorithms, including Random Forest, LightGBM, and XGBoost, are used as complementary interpretive instruments rather than forecasting tools to explore possible nonlinear relationships among the explanatory variables. To make the results more interpretable, the contribution of individual variables is examined using SHAP (Shapley Additive Explanations). The machine learning results indicate that some relationships in tourism demand may be nonlinear and not fully captured by the linear gravity specification. Specifically, distance sensitivity is approximately 6.5 times greater in nearby markets than in long-haul markets, with a structural inflexion at around 5700 km. Further analysis suggests that the influence of geographical distance is not uniform across all markets. In particular, tourism flows originating from middle-income countries appear to be more sensitive to increases in travel distance than those from higher-income countries. Overall, the findings indicate that economic size and geographical distance remain key determinants of international tourism flows to Mongolia. At the same time, the use of machine learning methods provides additional insight into potential nonlinear patterns in tourism demand. By combining econometric modelling with explainable machine learning techniques, the study offers an integrated analytical perspective for examining international tourism flows at geographically peripheral destinations where standard gravity assumptions may be insufficient. Full article
Show Figures

Figure 1

29 pages, 3434 KB  
Article
An XGBoost Approach to Identifying Hinterland Drivers of Inland Port Development
by Eugen Rosca, Cristina Oprea, Mircea Rosca, Stefan Burciu, Alina Roman and Florin Rusca
Systems 2026, 14(4), 395; https://doi.org/10.3390/systems14040395 - 3 Apr 2026
Viewed by 277
Abstract
Inland ports play a strategic role in enhancing multimodal connectivity and promoting sustainable freight transport within European corridors. However, the drivers of inland port development remain insufficiently understood, particularly with respect to nonlinear dynamics, interaction effects, and regional heterogeneity. This study investigates the [...] Read more.
Inland ports play a strategic role in enhancing multimodal connectivity and promoting sustainable freight transport within European corridors. However, the drivers of inland port development remain insufficiently understood, particularly with respect to nonlinear dynamics, interaction effects, and regional heterogeneity. This study investigates the socio-economic, infrastructural, and spatial determinants of inland port throughput using an interpretable machine learning framework. An XGBoost model is built up to estimate eighteen ports’ throughput along the Romanian Danube, over the period 2010–2024. SHAP (Shapley Additive Explanations) values are employed to quantify global importance, nonlinear marginal effects, and interaction structures. Results show that spatial accessibility and road infrastructure are the most influential drivers, while economic sectoral structure and road infrastructure exert nonlinear and scale-dependent effects. Interaction analysis reveals that inland port development is synergy-driven rather than additive, with the strongest complementarities observed between spatial accessibility, multimodal infrastructure, and sectoral structure. Additionally, Kruskal–Wallis tests on SHAP contributions indicate significant heterogeneity across port administrations, suggesting that governance and regional context modulate the realization of economic and infrastructural potential. The findings contribute to port–hinterland interaction analysis by demonstrating that inland port performance emerges from multi-scale, nonlinear, and regionally mediated dynamics. Methodologically, the study illustrates the value of interpretable machine learning for transport systems research. Policy implications emphasize coordinated multimodal investments, accessibility enhancement, and region-specific development strategies to strengthen inland waterway integration within the European transport sector. Full article
(This article belongs to the Special Issue AI Applications in Transportation and Logistics)
Show Figures

Figure 1

30 pages, 9462 KB  
Article
Coordinated Planning of Unbalanced Flexible Interconnected Distribution Networks Based on Distributed Optimization
by Jinghua Zhu, Zhaoxi Liu, Fengzhe Dai, Weiliang Ou, Yuanchen Jiao and Yu Xiang
Energies 2026, 19(7), 1769; https://doi.org/10.3390/en19071769 - 3 Apr 2026
Viewed by 188
Abstract
Rapid increases in distributed photovoltaic (PV) penetration have brought additional challenges to distribution network planning and operation. Meanwhile, flexible interconnection devices such as soft open point integrated with battery energy storage system (E-SOP) can significantly enhance the regulatory capability and operational adaptability of [...] Read more.
Rapid increases in distributed photovoltaic (PV) penetration have brought additional challenges to distribution network planning and operation. Meanwhile, flexible interconnection devices such as soft open point integrated with battery energy storage system (E-SOP) can significantly enhance the regulatory capability and operational adaptability of the distribution system and have been widely applied in recent years. First, to improve both economic performance and voltage quality, a coordinated planning method for the multi-region flexible interconnected distribution system based on E-SOP is proposed. Second, with the ongoing growth of interconnected distribution networks, centralized optimization methods exhibit limitations in computational efficiency and privacy protection. To address this, the planning model is decomposed into several subproblems by applying the Alternating Direction Method of Multipliers (ADMM), allowing each region to optimize its local subproblem in a fully distributed manner. Additionally, a Shapley value-based cost allocation mechanism is applied to ensure fair and rational cost distribution among different distribution networks. Finally, case studies are conducted to validate the effectiveness of the proposed method. Case studies show that the proposed method reduces the system’s total annual cost by 14.90% and the electricity purchase cost by 28.61% compared with the pre-planning case. Meanwhile, the maximum voltage imbalance is reduced to within the standard range. These results validate the effectiveness of the proposed method in enhancing both economic efficiency and power quality for flexible interconnected distribution systems. Full article
(This article belongs to the Section D: Energy Storage and Application)
Show Figures

Figure 1

31 pages, 2050 KB  
Article
Capacity Price Pricing Method Considering Time-of-Use Load Characteristics
by Sirui Wang and Weiqing Sun
Energies 2026, 19(7), 1753; https://doi.org/10.3390/en19071753 - 3 Apr 2026
Viewed by 357
Abstract
The growing flexibility of load dispatching in modern smart grids has exposed critical limitations in conventional capacity pricing mechanisms, which calculate charges based solely on monthly maximum demand without distinguishing when peak demand occurs. This approach fails to reflect the temporal value of [...] Read more.
The growing flexibility of load dispatching in modern smart grids has exposed critical limitations in conventional capacity pricing mechanisms, which calculate charges based solely on monthly maximum demand without distinguishing when peak demand occurs. This approach fails to reflect the temporal value of capacity and provides insufficient incentives for demand-side optimization. To address these challenges, this paper proposes a time-of-use (TOU) capacity pricing method that integrates user load characteristics to enable more equitable cost allocation and optimized electricity consumption patterns. The methodology employs K-means clustering analysis of user load profiles to partition pricing periods, accurately capturing differential capacity value across temporal intervals. We validate the clustering approach through the elbow method and silhouette analysis, confirming k = 3 as optimal and demonstrating K-means superiority over hierarchical and density-based alternatives. This data-driven approach ensures that period delineation reflects actual consumption patterns of commercial and industrial users. A capacity cost allocation model is established using the Shapley value method, incorporating maximum demand in each designated period while maintaining revenue neutrality for the grid operator. The 80% load simultaneity factor is empirically validated using 12 months of Shanghai industrial data (May 2023–April 2024). A Stackelberg game-based pricing model for TOU capacity tariffs is developed, incentivizing users to deploy energy storage systems and optimize charging strategies. We prove game convergence theoretically and demonstrate equilibrium achievement within 3–5 iterations across diverse initialization scenarios. Energy storage capacity is optimized by sector (3.5–6.5% of peak demand) rather than uniformly, and realistic battery self-discharge rates (0.006%/hour) are incorporated. Case study analysis using real operational data from 11 commercial and industrial sub-sectors in Shanghai demonstrates effectiveness. Extended to 12 months with seasonal analysis, results show the proposed strategy reduces the peak-to-valley difference ratio by 2.4% [95% CI: 1.9%, 2.9%], p < 0.001; increases the system load factor by 1.3% [95% CI: 0.9%, 1.7%], p < 0.001; and achieves reductions in users’ total capacity costs of 3.6% [95% CI: −4.2%, −3.0%], p < 0.001. Comparative analysis shows the proposed method significantly outperforms simple TOU (improvement +1.2 pp) and peak-responsibility pricing (improvement +0.6 pp). Monte Carlo robustness analysis (1000 scenarios) confirms performance stability under demand uncertainty. This research provides theoretical foundations and practical methodologies for capacity cost allocation, offering valuable insights for policymakers and utilities seeking to enhance demand-side response mechanisms and improve power resource allocation efficiency. Full article
(This article belongs to the Section A: Sustainable Energy)
Show Figures

Figure 1

40 pages, 5294 KB  
Article
Optimizing Carbon Capture Efficiency: Knowledge Extraction from Process Simulations of Post-Combustion Amine Scrubbing
by Mohammad Fazle Rabbi
Mach. Learn. Knowl. Extr. 2026, 8(4), 87; https://doi.org/10.3390/make8040087 - 2 Apr 2026
Viewed by 251
Abstract
Post-combustion amine scrubbing using monoethanolamine (MEA) remains a leading carbon capture technology, yet its deployment is constrained by high regeneration energy requirements and the computational expense of rigorous process simulation. This study presents an integrated framework coupling high-fidelity rate-based process simulation with explainable [...] Read more.
Post-combustion amine scrubbing using monoethanolamine (MEA) remains a leading carbon capture technology, yet its deployment is constrained by high regeneration energy requirements and the computational expense of rigorous process simulation. This study presents an integrated framework coupling high-fidelity rate-based process simulation with explainable machine learning to systematically characterize a ten-dimensional operating space for MEA-based CO2 absorption. Latin hypercube sampling generated 10,000 steady-state cases, and five regression architectures were benchmarked under identical protocols. A neural network achieved the highest accuracy (R2 = 0.9729, RMSE = 1.43%), while XGBoost was selected as the operational surrogate due to its robust computational efficiency (1.5 ms inference latency) and native compatibility with exact Shapley value decomposition. SHAP analysis identified liquid-to-gas ratio as the dominant efficiency determinant, contributing 46.6% of total predictive importance, followed by inlet temperature and MEA concentration, with these three parameters collectively explaining 85% of efficiency variation and establishing a compact control hierarchy suitable for reduced-order control architectures. Bivariate interaction analysis located a high-efficiency operating region, while sensitivity analysis confirmed the strong influence of inlet temperature across the operating envelope. Pareto optimization via NSGA-II generated tiered operational guidelines spanning the 85% to 98% capture efficiency range, quantifying a 39% specific regeneration duty penalty (3.1 to 4.3 MJ/kg CO2) for pursuing maximum versus baseline capture targets. The framework demonstrates how explainable machine learning converts opaque process simulations into actionable engineering knowledge, providing a transparent and computationally efficient basis for design optimization and digital twin deployment in post-combustion carbon capture systems. Full article
(This article belongs to the Section Learning)
Show Figures

Figure 1

21 pages, 3770 KB  
Article
Wavelet Entropy and Machine Learning Analysis of Nonlinear Dynamics in Tubular Light Pipes
by Sertac Gorgulu
Electronics 2026, 15(7), 1474; https://doi.org/10.3390/electronics15071474 - 1 Apr 2026
Viewed by 294
Abstract
This study presents a hybrid framework primarily designed to predict electrical energy consumption in tubular light pipe systems while also providing interpretability through wavelet-based analysis. Indoor and outdoor illuminance were continuously monitored at one-minute intervals between January and May in Istanbul, Turkey. Using [...] Read more.
This study presents a hybrid framework primarily designed to predict electrical energy consumption in tubular light pipe systems while also providing interpretability through wavelet-based analysis. Indoor and outdoor illuminance were continuously monitored at one-minute intervals between January and May in Istanbul, Turkey. Using the continuous wavelet transform (CWT) with predefined scale ranges, multi-scale features such as scale-wise energy, relative wavelet energy, and wavelet entropy were extracted to quantify illumination variability and stability. These features were combined with contextual parameters (e.g., month and weather) to predict electrical energy consumption and the energy-saving ratio under a threshold-based lighting control strategy. Among the evaluated models, Random Forest was selected as the primary model due to its balance between prediction accuracy and interpretability, achieving lower prediction errors compared to baseline models (RMSE = 7.84 for RF, 9.39 for Linear Regression, and 8.28 for ARIMA), although the observed improvements are influenced by the inherent variability in the dataset. Feature-importance and SHapley Additive exPlanations (SHAP) analyses revealed that low-frequency wavelet components and low Wavelet Entropy values were found to strongly influence the predictive behavior, indicating that stable illumination leads to reduced artificial lighting demand and higher energy savings. A Lyapunov-inspired stability interpretation suggests that the system exhibits stable behavior consistent with asymptotic convergence. Unlike existing studies, the proposed framework integrates wavelet entropy with interpretable machine learning to jointly model illumination dynamics and energy demand. This enables more reliable prediction of lighting energy demand under highly variable daylight conditions. Full article
Show Figures

Figure 1

16 pages, 2243 KB  
Article
A Feature Selection Method for Yarn Quality Prediction Based on SHAP Interpretation
by Chunxue Wei, Tianxiang Liu, Baowei Zhang and Xiao Wang
Algorithms 2026, 19(4), 266; https://doi.org/10.3390/a19040266 - 1 Apr 2026
Viewed by 212
Abstract
This study developed an interpretable framework, RFE-SHAP, designed for yarn quality prediction. It integrates Recursive Feature Elimination (RFE) with SHapley Additive exPlanations (SHAP) theory to refine feature selection and mitigate data redundancy in small-sample environments. With Support Vector Regression (SVR) serving as the [...] Read more.
This study developed an interpretable framework, RFE-SHAP, designed for yarn quality prediction. It integrates Recursive Feature Elimination (RFE) with SHapley Additive exPlanations (SHAP) theory to refine feature selection and mitigate data redundancy in small-sample environments. With Support Vector Regression (SVR) serving as the foundational evaluator, the RFE process iteratively identifies critical variables. Distinct from conventional methods, our approach employs SHAP values to quantify both the primary effects of individual features and the complex synergistic interactions among variables. This yields a transparent and intuitive strategy for identifying optimal feature subsets for two key quality indicators: yarn strength and hairiness H-value. To assess performance, a comparative analysis was performed between the traditional SVR-RFE method and the proposed RFE-SHAP method, using both as inputs for a Back-Propagation Artificial Neural Network (BP-ANN). The experimental results based on authentic production data demonstrate that the RFE-SHAP-BP model significantly enhances prediction reliability. Notably, compared to the baseline SVR-RFE-BP model, the proposed approach reduced the Mean Absolute Percentage Error (MAPE) by 0.73 and 1.01 percentage points for yarn strength and hairiness H-value, respectively. The final MAPE values reached 2.10% and 2.78%, confirming the model’s superior precision. These findings indicate that the RFE-SHAP method is highly feasible and effectively elevates prediction performance in data-limited industrial scenarios. Full article
Show Figures

Figure 1

24 pages, 1074 KB  
Article
XGBoost vs. LightGBM: An XAI Approach to National Vehicle Fleet Analysis
by Wilson Gustavo Chango-Sailema, Homero Velasteguí-Izurieta, William Paul Pazuña-Naranjo, Joffre Stalin Monar, Rebeca Mariana Moposita-Lasso, Santiago Israel Logroño-Naranjo, Carlos Roberto López-Paredes, Jacqueline Elizabeth Ponce, Geovanny Euclides Silva-Peñafiel, Angel Patricio Flores-Orozco, Cindy Johanna Choez-Calderón and Marcelo Vladimir Garcia
Computation 2026, 14(4), 81; https://doi.org/10.3390/computation14040081 - 1 Apr 2026
Viewed by 382
Abstract
This study analyzes the factors associated with vehicle technology classification in Ecuador, using fuel category (electric, hybrid, and internal combustion) as the dependent variable under an Explainable Artificial Intelligence (XAI) approach. Following the CRISP-DM methodology, we compared the performance of XGBoost and LightGBM [...] Read more.
This study analyzes the factors associated with vehicle technology classification in Ecuador, using fuel category (electric, hybrid, and internal combustion) as the dependent variable under an Explainable Artificial Intelligence (XAI) approach. Following the CRISP-DM methodology, we compared the performance of XGBoost and LightGBM algorithms using a dataset of 482,754 administrative records from the Internal Revenue Service (SRI). Both models achieved outstanding predictive performance with a Macro F1-score of 0.987, demonstrating robustness despite the severe class imbalance (electric vehicles represent only 1.3% of the total). The integration of SHAP (SHapley Additive exPlanations) values identified tax appraisal and engine displacement as the most influential features in the model predictions in the adoption of electric vehicles. In contrast, territorial factors exert a more significant influence on the acquisition of hybrid vehicles. Finally, the findings demonstrate that boosting models, combined with XAI techniques, provide transparent analytical tools that can support evidence-based transport decarbonization strategies in emerging economies. Full article
(This article belongs to the Section Computational Engineering)
Show Figures

Figure 1

Back to TopTop