Sign in to use this feature.

Years

Between: -

Subjects

remove_circle_outline
remove_circle_outline
remove_circle_outline
remove_circle_outline
remove_circle_outline
remove_circle_outline
remove_circle_outline
remove_circle_outline
remove_circle_outline

Journals

Article Types

Countries / Regions

remove_circle_outline
remove_circle_outline
remove_circle_outline
remove_circle_outline

Search Results (199)

Search Parameters:
Keywords = Savitzky–Golay filtering

Order results
Result details
Results per page
Select all
Export citation of selected articles as:
29 pages, 3490 KB  
Article
Lower-Limb Motor Imagery Recognition Prototype Based on EEG Acquisition, Filtering, and Machine Learning-Based Pattern Detection
by Sonia Rocío Moreno-Castelblanco, Manuel Andrés Vélez-Guerrero and Mauro Callejas-Cuervo
Sensors 2025, 25(20), 6387; https://doi.org/10.3390/s25206387 - 16 Oct 2025
Viewed by 266
Abstract
Advances in brain–computer interface (BCI) research have explored various strategies for acquiring and processing electroencephalographic (EEG) signals to detect motor imagery (MI) activities. However, the complexity of multichannel clinical systems and processing techniques can limit their accessibility outside specialized centers, where complex setups [...] Read more.
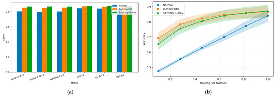
Advances in brain–computer interface (BCI) research have explored various strategies for acquiring and processing electroencephalographic (EEG) signals to detect motor imagery (MI) activities. However, the complexity of multichannel clinical systems and processing techniques can limit their accessibility outside specialized centers, where complex setups are not feasible. This paper presents a proof-of-concept prototype of a single-channel EEG acquisition and processing system designed to identify lower-limb motor imagery. The proposed proof-of-concept prototype enables the wireless acquisition of raw EEG values, signal processing using digital filters, and the detection of MI patterns using machine learning algorithms. Experimental validation in a controlled laboratory with participants performing resting, MI, and movement tasks showed that the best performance was obtained by combining Savitzky–Golay filtering with a Random Forest classifier, reaching 87.36% ± 4% accuracy and an F1-score of 87.18% ± 3.8% under five-fold cross-validation. These findings confirm that, despite limited spatial resolution, MI patterns can be detected using appropriate AI-based filtering and classification. The novelty of this work lies in demonstrating that a single-channel, portable EEG prototype can be effectively used for lower-limb MI recognition. The portability and noise resilience achieved with the prototype highlight its potential for research, clinical rehabilitation, and assistive device control in non-specialized environments. Full article
Show Figures

Figure 1

20 pages, 5116 KB  
Article
Design of Portable Water Quality Spectral Detector and Study on Nitrogen Estimation Model in Water
by Hongfei Lu, Hao Zhou, Renyong Cao, Delin Shi, Chao Xu, Fangfang Bai, Yang Han, Song Liu, Minye Wang and Bo Zhen
Processes 2025, 13(10), 3161; https://doi.org/10.3390/pr13103161 - 3 Oct 2025
Viewed by 440
Abstract
A portable spectral detector for water quality assessment was developed, utilizing potassium nitrate and ammonium chloride standard solutions as the subjects of investigation. By preparing solutions with differing concentrations, spectral data ranging from 254 to 1275 nm was collected and subsequently preprocessed using [...] Read more.
A portable spectral detector for water quality assessment was developed, utilizing potassium nitrate and ammonium chloride standard solutions as the subjects of investigation. By preparing solutions with differing concentrations, spectral data ranging from 254 to 1275 nm was collected and subsequently preprocessed using methods such as multiple scattering correction (MSC), Savitzky–Golay filtering (SG), and standardization (SS). Estimation models were constructed employing modeling algorithms including Support Vector Machine-Multilayer Perceptron (SVM-MLP), Support Vector Regression (SVR), random forest (RF), RF-Lasso, and partial least squares regression (PLSR). The research revealed that the primary variation bands for NH4+ and NO3 are concentrated within the 254–550 nm and 950–1275 nm ranges, respectively. For predicting ammonium chloride, the optimal model was found to be the SVM-MLP model, which utilized spectral data reduced to 400 feature bands after SS processing, achieving R2 and RMSE of 0.8876 and 0.0883, respectively. For predicting potassium nitrate, the optimal model was the 1D Convolutional Neural Network (1DCNN) model applied to the full band of spectral data after SS processing, with R2 and RMSE of 0.7758 and 0.1469, respectively. This study offers both theoretical and technical support for the practical implementation of spectral technology in rapid water quality monitoring. Full article
Show Figures

Figure 1

16 pages, 4246 KB  
Article
Hyperspectral Imaging for Non-Destructive Detection of Chemical Residues on Textiles
by Lukas Kampik, Sophie Helen Gruber, Klemens Weisleitner, Gerald Bauer, Hannes Steiner, Leo Tous, Seraphin Hubert Unterberger and Johannes Dominikus Pallua
Textiles 2025, 5(4), 42; https://doi.org/10.3390/textiles5040042 - 28 Sep 2025
Viewed by 397
Abstract
Detecting chemical residues on surfaces is critical in environmental monitoring, industrial hygiene, public health, and incident management after chemical releases. Compounds such as acrylonitrile (ACN) and tetraethylguanidine (TEG), widely used in chemical processes, can pose risks upon residual exposure. Hyperspectral imaging (HSI), a [...] Read more.
Detecting chemical residues on surfaces is critical in environmental monitoring, industrial hygiene, public health, and incident management after chemical releases. Compounds such as acrylonitrile (ACN) and tetraethylguanidine (TEG), widely used in chemical processes, can pose risks upon residual exposure. Hyperspectral imaging (HSI), a high-resolution, non-destructive method, offers a secure and effective solution to identify and spatially map chemical contaminants based on spectral signatures. In this study, we present an HSI-based framework to detect and differentiate ACN and TEG residues on textile surfaces. High-resolution spectral data were collected from three representative textiles using a hyperspectral camera operating in the short-wave infrared range. The spectral datasets were processed using standard normal variate transformation, Savitzky–Golay filtering, and principal component analysis to enhance contrast and identify material-specific features. The results demonstrate the effectiveness of this approach in resolving spectral differences corresponding to distinct chemical residues and concentrations but also provide a practical and scalable method for detecting chemical contaminants in consumer and industrial textile materials, supporting reliable residue assessment and holding promise for broader applications in safety-critical fields. Full article
Show Figures

Figure 1

23 pages, 17838 KB  
Article
Integrating Multi-Temporal Sentinel-1/2 Vegetation Signatures with Machine Learning for Enhanced Soil Salinity Mapping Accuracy in Coastal Irrigation Zones: A Case Study of the Yellow River Delta
by Junyong Zhang, Tao Liu, Wenjie Feng, Lijing Han, Rui Gao, Fei Wang, Shuang Ma, Dongrui Han, Zhuoran Zhang, Shuai Yan, Jie Yang, Jianfei Wang and Meng Wang
Agronomy 2025, 15(10), 2292; https://doi.org/10.3390/agronomy15102292 - 27 Sep 2025
Viewed by 341
Abstract
Soil salinization poses a severe threat to agricultural sustainability in the Yellow River Delta, where conventional spectral indices are limited by vegetation interference and seasonal dynamics in coastal saline-alkali landscapes. To address this, we developed an inversion framework integrating spectral indices and vegetation [...] Read more.
Soil salinization poses a severe threat to agricultural sustainability in the Yellow River Delta, where conventional spectral indices are limited by vegetation interference and seasonal dynamics in coastal saline-alkali landscapes. To address this, we developed an inversion framework integrating spectral indices and vegetation temporal features, combining multi-temporal Sentinel-2 optical data (January 2024–March 2025), Sentinel-1 SAR data, and terrain covariates. The framework employs Savitzky–Golay (SG) filtering to extract vegetation temporal indices—including NDVI temporal extremum and principal component features, capturing salt stress response mechanisms beyond single-temporal spectral indices. Based on 119 field samples and Variable Importance in Projection (VIP) feature selection, three ensemble models (XGBoost, CatBoost, LightGBM) were constructed under two strategies: single spectral features versus fused spectral and vegetation temporal features. The key results demonstrate the following: (1) The LightGBM model with fused features achieved optimal validation accuracy (R2 = 0.77, RMSE = 0.26 g/kg), outperforming single-feature models by 13% in R2. (2) SHAP analysis identified vegetation-related factors as key predictors, revealing a negative correlation between peak biomass and salinity accumulation, and the summer crop growth process affects soil salinization in the following spring. (3) The fused strategy reduced overestimation in low-salinity zones, enhanced model robustness, and significantly improved spatial gradient continuity. This study confirms that vegetation phenological features effectively mitigate agricultural interference (e.g., tillage-induced signal noise) and achieve high-resolution salinity mapping in areas where traditional spectral indices fail. The multi-temporal integration framework provides a replicable methodology for monitoring coastal salinization under complex land cover conditions. Full article
Show Figures

Figure 1

28 pages, 6366 KB  
Article
Integrated Ultra-Wideband Microwave System to Measure Composition Ratio Between Fat and Muscle in Multi-Species Tissue Types
by Lixiao Zhou, Van Doi Truong and Jonghun Yoon
Sensors 2025, 25(17), 5547; https://doi.org/10.3390/s25175547 - 5 Sep 2025
Viewed by 1099
Abstract
Accurate and non-invasive assessment of fat and muscle composition is crucial for biomedical monitoring to track health conditions in humans and pets, as well as for classifying meats in the meat industry. This study introduces a cost-effective, multifunctional ultra-wideband microwave system operating from [...] Read more.
Accurate and non-invasive assessment of fat and muscle composition is crucial for biomedical monitoring to track health conditions in humans and pets, as well as for classifying meats in the meat industry. This study introduces a cost-effective, multifunctional ultra-wideband microwave system operating from 2.4 to 4.4 GHz, designed for rapid and non-destructive quantification of fat thickness, muscle thickness, and fat-to-muscle ratio in diverse ex vivo samples, including pork, beef, and oil–water mixtures. The compact handheld device integrates essential RF components such as a frequency synthesizer, directional coupler, logarithmic power detector, and a dual-polarized Vivaldi antenna. Bluetooth telemetry enables seamless real-time data transmission to mobile- or PC-based platforms, with each measurement completed in a few seconds. To enhance signal quality, a two-stage denoising pipeline combining low-pass filtering and Savitzky–Golay smoothing was applied, effectively suppressing noise while preserving key spectral features. Using a random forest regression model trained on resonance frequency and signal-loss features, the system demonstrates high predictive performance even under limited sample conditions. Correlation coefficients for fat thickness, muscle thickness, and fat-to-muscle ratio consistently exceeded 0.90 across all sample types, while mean absolute errors remained below 3.5 mm. The highest prediction accuracy was achieved in homogeneous oil–water samples, whereas biologically complex tissues like pork and beef introduced greater variability, particularly in muscle-related measurements. The proposed microwave system is highlighted as a highly portable and time-efficient solution, with measurements completed within seconds. Its low cost, ability to analyze multiple tissue types using a single device, and non-invasive nature without the need for sample pre-treatment or anesthesia make it well suited for applications in agri-food quality control, point-of-care diagnostics, and broader biomedical fields. Full article
(This article belongs to the Section Biomedical Sensors)
Show Figures

Figure 1

23 pages, 13439 KB  
Article
Precision Identification of Irrigated Areas in Semi-Arid Regions Using Optical-Radar Time-Series Features and Ensemble Machine Learning
by Weifeng Li, Changlai Xiao, Xiujuan Liang, Weifei Yang, Jiang Zhang, Rongkun Dai, Yuhan La, Le Kang and Deyu Zhao
Hydrology 2025, 12(8), 214; https://doi.org/10.3390/hydrology12080214 - 14 Aug 2025
Viewed by 734
Abstract
Addressing limitations in remote sensing irrigation monitoring (insufficient resolution, single-source constraints, poor terrain adaptability), this study developed a high-precision identification framework for Jianping County, China, a semi-arid region. We integrated Sentinel-1 SAR (VV/VH), Sentinel-2 multispectral, and MOD11A1 land surface temperature data. Savitzky–Golay (S-G) [...] Read more.
Addressing limitations in remote sensing irrigation monitoring (insufficient resolution, single-source constraints, poor terrain adaptability), this study developed a high-precision identification framework for Jianping County, China, a semi-arid region. We integrated Sentinel-1 SAR (VV/VH), Sentinel-2 multispectral, and MOD11A1 land surface temperature data. Savitzky–Golay (S-G) filtering reconstructed time-series datasets for NDVI, SAVI, TVDI, and VV/VH backscatter coefficients. Irrigation mapping employed random forest (RF), Support Vector Machine (SVM), and K-Nearest Neighbors (KNN) algorithms. Key results demonstrate the following. (1) RF achieved superior performance with overall accuracies of 91.00% (2022), 88.33% (2023), and 87.78% (2024), and Kappa coefficients of 86.37%, 80.96%, and 80.40%, showing minimal deviation (0.66–3.44%) from statistical data; (2) SAVI and VH exhibited high irrigation sensitivity, with peak differences between irrigated/non-irrigated areas reaching 0.48 units (SAVI, July–August) and 2.78 dB (VH); (3) cropland extraction accuracy showed <3% discrepancy versus governmental statistics. The “Multi-temporal Feature Fusion + S-G Filtering + RF Optimization” framework provides an effective solution for precision irrigation monitoring in complex semi-arid environments. Full article
Show Figures

Figure 1

19 pages, 3374 KB  
Article
The Influence of Viewing Geometry on Hyperspectral-Based Soil Property Retrieval
by Yucheng Gao, Lixia Ma, Zhongqi Zhang, Xianzhang Pan, Ziran Yuan, Changkun Wang and Dongsheng Yu
Remote Sens. 2025, 17(14), 2510; https://doi.org/10.3390/rs17142510 - 18 Jul 2025
Viewed by 470
Abstract
Hyperspectral technology has been widely applied to the retrieval of soil properties, such as soil organic matter (SOM) and particle size distribution (PSD). However, most previous studies have focused on hyperspectral data acquired from the nadir direction, and the influence of viewing geometry [...] Read more.
Hyperspectral technology has been widely applied to the retrieval of soil properties, such as soil organic matter (SOM) and particle size distribution (PSD). However, most previous studies have focused on hyperspectral data acquired from the nadir direction, and the influence of viewing geometry on hyperspectral-based soil property retrieval remains unclear. In this study, bidirectional reflectance factors (BRFs) were collected at 48 different viewing angles for 154 soil samples with varying SOM contents and PSDs. SOM and PSD were then retrieved using combinations of ten spectral preprocessing methods (raw reflectance, Savitzky–Golay filter (SG), first derivative (D1), second derivative (D2), standard normal variate (SNV), multiplicative scatter correction (MSC), SG + D1, SG + D2, SG + SNV, and SG + MSC), one sensitive wavelength selection method, and three retrieval algorithms (partial least squares regression (PLSR), support vector machine (SVM), and convolutional neural networks (CNNs)). The influence of viewing geometry on the selection of spectral preprocessing methods, retrieval algorithms, sensitive wavelengths, and retrieval accuracy was systematically analyzed. The results showed that soil BRFs are influenced by both soil properties and viewing angles. The viewing geometry had limited effects on the choice of preprocessing method and retrieval algorithm. Among the preprocessing methods, D1, SG + D1, and SG + D2 outperformed the others, while PLSR achieved a higher accuracy than SVM and CNN when retrieving soil properties. The selected sensitive wavelengths for both SOM and PSD varied slightly with viewing angle and were mainly located in the near-infrared region when using BRFs from multiple viewing angles. Compared with single-angle data, multi-angle BRFs significantly improved retrieval performance, with the R2 increasing by 11% and 15%, and RMSE decreasing by 16% and 30% for SOM and PSD, respectively. The optimal viewing zenith angle ranged from 10° to 20° for SOM and around 40° for PSD. Additionally, backward viewing directions were more favorable than forward directions, with the optimal viewing azimuth angles being 0° for SOM and 90° for PSD. These findings provide useful insights for improving the accuracy of soil property retrieval using multi-angle hyperspectral observations. Full article
(This article belongs to the Section Remote Sensing in Agriculture and Vegetation)
Show Figures

Figure 1

19 pages, 2795 KB  
Article
PCA- and PLSR-Based Machine Learning Model for Prediction of Urea-N Content in Heterogeneous Soils Using Near-Infrared Spectroscopy
by Damiano Crescini, Gabriele Mascialino, Nicola Moggia, Giordano Piubeni, Mauro Serpelloni and Emilio Sardini
Sensors 2025, 25(13), 4176; https://doi.org/10.3390/s25134176 - 4 Jul 2025
Viewed by 578
Abstract
Determining the soil’s nitrogen supply accurately and quickly is essential for effective agricultural management. This study explores the use of near-infrared (NIR) spectroscopy combined with spectral pre-processing techniques (such as Savitzky–Golay filtering) and partial least squares regression (PLSR) to assess soil nitrogen levels. [...] Read more.
Determining the soil’s nitrogen supply accurately and quickly is essential for effective agricultural management. This study explores the use of near-infrared (NIR) spectroscopy combined with spectral pre-processing techniques (such as Savitzky–Golay filtering) and partial least squares regression (PLSR) to assess soil nitrogen levels. Six soil types of varying compositions, treated with different levels of Urea-N fertilizer, were examined. Nitrogen-specific NIR peaks were identified, and regression models were consequently developed. Through a comparison of the performance of the models, the most effective model for nitrogen detection was selected. In calibration, the models performed well, with high R2 (over 0.9) and low root mean square error (RMSE) values. The second derivative-based (SD) model slightly outperformed the first derivative-based (FD) model in terms of accuracy. Both models showed minimal bias, indicating reliable performance. During validation, the FD model outperformed the SD model in terms of R2, root mean square error of prediction (RMSEP), and residual prediction deviation (RPD). Thus, the FD model demonstrated good predictive ability (R2 = 0.77, RPD = 2.06), while the SD model was less effective (R2 = 0.65, RPD = 1.77). Compared to previous studies, this study uniquely combines real-time online detection capability with low computational cost, unlike most prior offline approaches, and includes model validation across various soil types. Overall, NIR spectroscopy coupled with multivariate models proves to be a promising tool for the detection of nitrogen levels in various soils. Full article
(This article belongs to the Section Physical Sensors)
Show Figures

Figure 1

17 pages, 2920 KB  
Article
Research on the Classification Method of Tea Tree Seeds Quality Based on Mid-Infrared Spectroscopy and Improved DenseNet
by Di Deng, Hao Li, Jiawei Luo, Jiachen Jiang and Hongbo Mu
Appl. Sci. 2025, 15(13), 7336; https://doi.org/10.3390/app15137336 - 30 Jun 2025
Viewed by 391
Abstract
Precise quality screening of tea tree seeds is crucial for the development of the tea industry. This study proposes a high-precision quality classification method for tea tree seeds by integrating mid-infrared (MIR) spectroscopy with an improved deep learning model. Four types of tea [...] Read more.
Precise quality screening of tea tree seeds is crucial for the development of the tea industry. This study proposes a high-precision quality classification method for tea tree seeds by integrating mid-infrared (MIR) spectroscopy with an improved deep learning model. Four types of tea tree seeds in different states were prepared, and their spectral data were collected and preprocessed using Savitzky–Golay (SG) filtering and wavelet transform. Aiming at the deficiencies of DenseNet121 in one-dimensional spectral processing, such as insufficient generalization ability and weak feature extraction, the ECA-DenseNet model was proposed. Based on DenseNet121, the Batch Channel Normalization (BCN) module was introduced to reduce the dimensionality via 1 × 1 convolution while preserving the feature extraction capabilities, the Attention–Convolution Mix (ACMix) module was integrated to combine convolution and self-attention, and the Efficient Channel Attention (ECA) mechanism was utilized to enhance the feature discriminability. Experiments show that ECA-DenseNet achieves 99% accuracy, recall, and F1-score for classifying the four seed quality types, outperforming the original DenseNet121, machine learning models, and deep learning models. This study provides an efficient solution for tea tree seeds detection and screening, and its modular design can serve as a reference for the spectral classification of other crops. Full article
Show Figures

Figure 1

24 pages, 11676 KB  
Article
Rotating Machinery Structural Faults Feature Enhancement and Diagnosis Based on Multi-Sensor Information Fusion
by Baozhu Jia, Guanlong Liang, Zhende Huang, Xuewei Song and Zhiqiang Liao
Machines 2025, 13(7), 553; https://doi.org/10.3390/machines13070553 - 25 Jun 2025
Cited by 1 | Viewed by 463
Abstract
To address the challenges posed by the difficulty of extracting fault features from rotating machinery with weak fault features, this paper proposes a rotating machinery structural faults feature enhancement and diagnosis method based on multi-sensor information fusion. Firstly, Savitzky–Golay filtering suppresses noise and [...] Read more.
To address the challenges posed by the difficulty of extracting fault features from rotating machinery with weak fault features, this paper proposes a rotating machinery structural faults feature enhancement and diagnosis method based on multi-sensor information fusion. Firstly, Savitzky–Golay filtering suppresses noise and enhances fault features. Secondly, the designed multi-sensor symmetric dot pattern (SDP) transformation method fuses multi-source information of the rotating machinery structural faults, providing more comprehensive and richer fault feature information for diagnosis. Finally, the ResNet18 model performs fault diagnosis. To validate the feasibility and effectiveness of the proposed method, two datasets verify its performance. The accuracy of the experimental results was 99.16% and 100%, respectively, demonstrating the feasibility and effectiveness of the proposed method. To further validate the superiority of the proposed method, it was compared with different 2D signal transformation methods. The comparison results indicate that the proposed method achieves the best fault diagnosis accuracy compared to other methods. Full article
(This article belongs to the Section Machines Testing and Maintenance)
Show Figures

Figure 1

15 pages, 4137 KB  
Article
Non-Destructive Thickness Measurement of Energy Storage Electrodes via Terahertz Technology
by Zhengxian Gao, Xiaoqing Jia, Jin Wang, Zhijun Zhou, Jianyong Wang, Dongshan Wei, Xuecou Tu, Lin Kang, Jian Chen, Dengzhi Chen and Peiheng Wu
Sensors 2025, 25(13), 3917; https://doi.org/10.3390/s25133917 - 23 Jun 2025
Viewed by 882
Abstract
Precision thickness control in new energy electrode coatings is a critical determinant of battery performance characteristics. This study presents a non-destructive inspection methodology employing terahertz time-domain spectroscopy (THz-TDS) to achieve high-precision coating thickness measurement in lithium iron phosphate (LFP) battery manufacturing. Industrial THz-TDS [...] Read more.
Precision thickness control in new energy electrode coatings is a critical determinant of battery performance characteristics. This study presents a non-destructive inspection methodology employing terahertz time-domain spectroscopy (THz-TDS) to achieve high-precision coating thickness measurement in lithium iron phosphate (LFP) battery manufacturing. Industrial THz-TDS systems mostly adopt fixed threshold filtering or Fourier filtering, making it disssssfficult to balance noise suppression and signal fidelity. The developed approach integrates three key technological advancements. Firstly, the refractive index of the material is determined through multi-peak amplitude analysis, achieving an error rate control within 1%. Secondly, a hybrid signal processing algorithm is applied, combining an optimized Savitzky–Golay filter for high-frequency noise suppression with an enhanced sinc function wavelet threshold technique for signal fidelity improvement. Thirdly, the time-of-flight method enables real-time online measurement of coating thickness under atmospheric conditions. Experimental validation demonstrates effective thickness measurement across a 35–425 μm range, achieving a 17.62% range extension and a 2.13% improvement in accuracy compared to conventional non-filtered methods. The integrated system offers a robust quality control solution for next-generation battery production lines. Full article
(This article belongs to the Section Physical Sensors)
Show Figures

Figure 1

24 pages, 1766 KB  
Article
An Analysis of Arterial Pulse Wave Time Features and Pulse Wave Velocity Calculations Based on Radial Electrical Bioimpedance Waveforms in Patients Scheduled for Coronary Catheterization
by Kristina Lotamõis, Tiina Uuetoa, Andrei Krivošei, Paul Annus, Margus Metshein, Marek Rist, Sulev Margus, Mart Min and Gert Tamberg
J. Cardiovasc. Dev. Dis. 2025, 12(7), 237; https://doi.org/10.3390/jcdd12070237 - 20 Jun 2025
Viewed by 812
Abstract
The monitoring of peripheral electrical bioimpedance (EBI) variations is a promising method that has the potential to replace invasive or burdensome techniques for cardiovascular measurements. Segmental or continuous recording of peripheral pulse waves can serve as a basis for calculating prognostic markers like [...] Read more.
The monitoring of peripheral electrical bioimpedance (EBI) variations is a promising method that has the potential to replace invasive or burdensome techniques for cardiovascular measurements. Segmental or continuous recording of peripheral pulse waves can serve as a basis for calculating prognostic markers like pulse wave velocity (PWV) or include parameters such as pulse transit time (PTT) or pulse arrival time (PAT) for noninvasive blood pressure (BP) estimation, as well as potentially novel cardiovascular risk indicators. However, several technical, analytical, and interpretative aspects need to be resolved before the EBI method can be adopted in clinical practice. Our goal was to investigate and improve the application of EBI, executing its comparison with other cardiovascular assessment methods in patients hospitalized for coronary catheterization procedures. Methods: We analyzed data from 44 non-acute patients aged 45–74 years who were hospitalized for coronary catheterization at East Tallinn Central Hospital between 2020 and 2021. The radial EBI and electrocardiogram (ECG) were measured simultaneously with central and contralateral pressure curves. The Savitzky–Golay filter was used for signal smoothing. The Hankel matrix decomposer was applied for the extraction of cardiac waveforms from multi-component signals. After extracting the cardiac component, a period detection algorithm was applied to EBI and blood pressure curves. Results: Seven points of interest were detected on the pressure and EBI curves, and four with good representativeness were selected for further analysis. The Spearman correlation coefficient was low for all but the central and distal pressure curve systolic upstroke time points. A high positive correlation was found between PWV measured both invasively and with EBI. The median value of complimentary pulse wave velocity (CPWV), a parameter proposed in the paper, was significantly lower in patients with normal coronaries compared to patients with any stage of coronary disease. Conclusions: With regard to wearable devices, the EBI-derived PAT can serve as a substrate for PWV calculations and cardiovascular risk assessment, although these data require further confirmation. Full article
Show Figures

Graphical abstract

27 pages, 6188 KB  
Article
Unraveling the Scale Dependency of SIF-Based Phenology: Amplified Trends and Climate Responses
by Xiufeng Chen, Yanbin Yuan, Tao Xiong, Sicong He and Heng Dong
Remote Sens. 2025, 17(12), 2059; https://doi.org/10.3390/rs17122059 - 15 Jun 2025
Viewed by 801
Abstract
Plant phenology is closely related to plant function, ecosystem services, and climate balance. Solar-induced chlorophyll fluorescence (SIF) offers new perspectives on plant phenology at regional and global scales. However, the effect of SIF products at different scales on phenology extraction is still unclear. [...] Read more.
Plant phenology is closely related to plant function, ecosystem services, and climate balance. Solar-induced chlorophyll fluorescence (SIF) offers new perspectives on plant phenology at regional and global scales. However, the effect of SIF products at different scales on phenology extraction is still unclear. Understanding of the mechanisms underlying phenological responses to environmental factors remains incomplete. Therefore, in this study, two phenological metrics for the Start of Growing Season (SOS) and the End of Growing Season (EOS) were extracted from the phenology of deciduous forests in the middle and high latitudes of the Northern Hemisphere, utilizing SIF products at scales of 1 km, 5 km, and 50 km, and applying the Savitzky-Golay filtering method along with the dynamic threshold method. Our results showed that the 1-km resolution SIF had a significant advantage over the 5-km and 50-km resolution SIFs in terms of consistency with the extracted phenology results from the Gross Primary Productivity (GPP) sites, with mean absolute errors (MAEs) of 4.48 and 15.49 days for SOS and EOS, respectively. For the 5-km resolution SIF, the MAEs for the same phenological metrics were 9.2 and 21.07 days. For the 50-km resolution SIF, the MAEs were 58.94 and 42.73 days. Meanwhile, this study analyzed the trends of phenology utilizing the three scales of SIF products and found a general trend of advancement. The coarser spatial resolution of the SIF data made the trend of advancement more obvious. Using SHapley Additive exPlanations (SHAP) analysis, we investigated the phenological responses to environmental factors at different scales. We found that SOS/EOS were mainly regulated by soil and air temperature, whereas the scale effect on this analysis’ results was not significant. This study has implications for optimizing the use of data, understanding ecosystem changes, predicting vegetation dynamics under global change, and developing adaptive management strategies. Full article
(This article belongs to the Section Environmental Remote Sensing)
Show Figures

Figure 1

21 pages, 12445 KB  
Article
Parkinson’s Disease Detection via Bilateral Gait Camera Sensor Fusion Using CMSA-Net and Implementation on Portable Device
by Jinxuan Wang, Hua Huo, Wei Liu, Changwei Zhao, Shilu Kang and Lan Ma
Sensors 2025, 25(12), 3715; https://doi.org/10.3390/s25123715 - 13 Jun 2025
Viewed by 668
Abstract
The annual increase in the incidence of Parkinson’s disease (PD) underscores the critical need for effective detection methods and devices. Gait video features based on camera sensors, as a crucial biomarker for PD, are well-suited for detection and show promise for the development [...] Read more.
The annual increase in the incidence of Parkinson’s disease (PD) underscores the critical need for effective detection methods and devices. Gait video features based on camera sensors, as a crucial biomarker for PD, are well-suited for detection and show promise for the development of portable devices. Consequently, we developed a single-step segmentation method based on Savitzky–Golay (SG) filtering and a sliding window peak selection function, along with a Cross-Attention Fusion with Mamba-2 and Self-Attention Network (CMSA-Net). Additionally, we introduced a loss function based on Maximum Mean Discrepancy (MMD) to further enhance the fusion process. We evaluated our method on a dual-view gait video dataset that we collected in collaboration with a hospital, comprising 304 healthy control (HC) samples and 84 PD samples, achieving an accuracy of 89.10% and an F1-score of 81.11%, thereby attaining the best detection performance compared with other methods. Based on these methodologies, we designed a simple and user-friendly portable PD detection device. The device is equipped with various operating modes—including single-view, dual-view, and prior information correction—which enable it to adapt to diverse environments, such as residential and elder care settings, thereby demonstrating strong practical applicability. Full article
(This article belongs to the Section Sensing and Imaging)
Show Figures

Figure 1

23 pages, 19370 KB  
Article
Unraveling Phenological Dynamics: Exploring Early Springs, Late Autumns, and Climate Drivers Across Different Vegetation Types in Northeast China
by Jiayu Liu, Haifeng Zou, Yinghui Zhao, Xiaochun Wang and Zhen Zhen
Remote Sens. 2025, 17(11), 1853; https://doi.org/10.3390/rs17111853 - 26 May 2025
Cited by 1 | Viewed by 684
Abstract
Understanding plant phenology dynamics is essential for ecosystem health monitoring and climate change impact assessment. This study generated 4-day, 500 m land surface phenology (LSP) in Northeast China (NEC) from 2001 to 2021 using interpolated and Savitzky–Golay filtered kernel normalized difference vegetation index [...] Read more.
Understanding plant phenology dynamics is essential for ecosystem health monitoring and climate change impact assessment. This study generated 4-day, 500 m land surface phenology (LSP) in Northeast China (NEC) from 2001 to 2021 using interpolated and Savitzky–Golay filtered kernel normalized difference vegetation index (kNDVI) derived from MODIS. Spatial patterns, trends, and climate responses of phenology were analyzed across ecoregions and vegetation. Marked spatial heterogeneity was noted: forests showed the earliest start of season (SOS, ~125th day) and longest growing season (LOS, ~130 days), while shrublands had the latest SOS (~150th day) and shortest LOS (~96 days). Grasslands exhibited strong east–west gradients in SOS and EOS. From 2001 to 2021, SOS of natural vegetations in NEC advanced by 0.23 d/a, EOS delayed by 0.12 d/a, and LOS extended by 0.38 d/a. Coniferous forests, especially evergreen needle-leaved forests, exhibited opposite trends due to cold-resistant traits and an earlier EOS to avoid leaf cell freezing. Temperature was the main driver of SOS, with spring and winter temperatures influencing 48.8% and 24.2% of the NEC region, respectively. Precipitation mainly affected EOS, especially in grasslands. Drought strongly influences SOS, while precipitation affects EOS. This study integrates high-resolution phenology utilizing the kNDVI with various seasonal climate drivers, offering novel insights into vegetation-specific and ecoregion-based phenological dynamics in the context of climate change. Full article
(This article belongs to the Section Ecological Remote Sensing)
Show Figures

Graphical abstract

Back to TopTop