Sign in to use this feature.

Years

Between: -

Subjects

remove_circle_outline
remove_circle_outline
remove_circle_outline
remove_circle_outline
remove_circle_outline
remove_circle_outline
remove_circle_outline
remove_circle_outline
remove_circle_outline

Journals

remove_circle_outline
remove_circle_outline
remove_circle_outline
remove_circle_outline
remove_circle_outline
remove_circle_outline
remove_circle_outline
remove_circle_outline
remove_circle_outline
remove_circle_outline
remove_circle_outline
remove_circle_outline
remove_circle_outline
remove_circle_outline
remove_circle_outline
remove_circle_outline

Article Types

Countries / Regions

remove_circle_outline
remove_circle_outline
remove_circle_outline
remove_circle_outline
remove_circle_outline
remove_circle_outline

Search Results (2,405)

Search Parameters:
Keywords = SUI

Order results
Result details
Results per page
Select all
Export citation of selected articles as:
24 pages, 8657 KB  
Article
An Improved Robust ESKF Fusion Positioning Method with a Novel UWB-VIO Initialization
by Changqiang Wang, Biao Li, Yuzuo Duan, Xin Sui, Zhengxu Shi, Song Gao, Zhe Zhang and Ji Chen
Sensors 2026, 26(6), 1804; https://doi.org/10.3390/s26061804 - 12 Mar 2026
Abstract
Visual–inertial odometry (VIO) often struggles with illumination variations, sparse visual features, and inertial drift in complex indoor settings, leading to scale uncertainties and accumulated errors. To address these issues, this paper proposes a new UWB–VIO initialization method combined with an enhanced Robust error-state [...] Read more.
Visual–inertial odometry (VIO) often struggles with illumination variations, sparse visual features, and inertial drift in complex indoor settings, leading to scale uncertainties and accumulated errors. To address these issues, this paper proposes a new UWB–VIO initialization method combined with an enhanced Robust error-state Kalman filter (Robust ESKF) fusion technique for mobile robot localization. During initialization, common problems include scale drift and heading inconsistency. To solve these, a direction-consistent constrained initialization model is developed. By jointly optimizing the scale factor and yaw angle, this model ensures consistent alignment between the visual–inertial and ultra-wideband (UWB) coordinate frames. This approach removes the need for external calibration and independent coordinate transformation, which are typically required by traditional methods. In the fusion process, an improved residual-weighted robust filtering mechanism is employed to minimize the impact of abnormal UWB ranging data and noise interference. This mechanism adaptively suppresses outliers caused by UWB multipath reflections and non-line-of-sight (NLOS) propagation, thereby reducing VIO drift and improving the overall robustness and stability of the localization system. Experiments conducted in narrow-corridor environments, where both UWB and visual sensors are affected by interference, demonstrate that the proposed method significantly reduces trajectory drift and attitude jumps, resulting in better positioning accuracy and trajectory continuity. Compared to conventional UWB–VIO fusion algorithms, the proposed method enhances average localization accuracy by over 50% and maintains stable estimation even in severe multipath interference conditions, demonstrating high precision and strong robustness. Full article
(This article belongs to the Section Navigation and Positioning)
19 pages, 2722 KB  
Article
Characteristics of Fungal Communities in Lava Plateau Ecosystems
by Yanli Zhang, Yan Zhu, Jiaxing Huang, Jiaxin Xue, Yiwei Liu, Haocong Li, Lingjie Shi, Jianhui Jia and Yueyu Sui
Microorganisms 2026, 14(3), 642; https://doi.org/10.3390/microorganisms14030642 - 12 Mar 2026
Abstract
Soil fungi are pivotal drivers of biogeochemical cycling, mediating nutrient transformation, plant–soil feedbacks, and ecosystem stability. Understanding their responses to vegetation succession is essential for predicting ecosystem recovery in fragile volcanic landscapes. We investigated soil fungal communities across five successional stages on the [...] Read more.
Soil fungi are pivotal drivers of biogeochemical cycling, mediating nutrient transformation, plant–soil feedbacks, and ecosystem stability. Understanding their responses to vegetation succession is essential for predicting ecosystem recovery in fragile volcanic landscapes. We investigated soil fungal communities across five successional stages on the Jingpo Lake lava plateau—grassland (GL), shrubland (SL), deciduous broad-leaved forest (DB), coniferous and broad-leaved mixed forest (CB), and coniferous forest (CF)—using high-throughput ITS sequencing and soil physicochemical analysis. Basidiomycota and Ascomycota dominated at the phylum level, with Sebacina, Cortinarius, and Mortierella as core genera. Alpha diversity (Shannon, Simpson, Chao1) was significantly higher in early-successional GL and SL than in DB (p < 0.05), while CB exhibited the lowest community evenness (Pielou-e). Co-occurrence networks revealed greater connectivity in GL, whereas forest types showed simplified topologies. LEfSe identified distinct fungal biomarkers for each vegetation type. PICRUSt2-based functional prediction indicated biosynthesis as the dominant pathway (>40%), with significant variation among vegetation types. Redundancy analysis (RDA) identified soil organic matter (SOM) as the primary predictor of fungal community composition. Our findings indicate that vegetation succession is associated with changes in fungal diversity and function primarily linked to variations in SOM, with moisture regimes as a secondary contextual factor. Notably, advanced forest stages exhibited reduced fungal diversity and simplified community structure—highlighting a trade-off between nutrient enrichment and microbial complexity in volcanic ecosystems. These insights advance our understanding of plant–soil–microbe coupling during ecosystem restoration on lava plateaus. Full article
(This article belongs to the Section Environmental Microbiology)
Show Figures

Figure 1

22 pages, 102250 KB  
Article
An Improved Method for 3D Style Transfer of Cliff Carvings Based on Gaussian Splatting
by Yang Li, He Ren, Yacong Li, Dong Sui and Maozu Guo
Math. Comput. Appl. 2026, 31(2), 47; https://doi.org/10.3390/mca31020047 - 11 Mar 2026
Abstract
Cliff carvings, as significant art forms bearing historical, cultural, and religious connotations, face dual threats from natural weathering and human-induced damage. Their protection and restoration of the artistic style present pressing challenges. In recent years, the rapid advancement of digital technologies has offered [...] Read more.
Cliff carvings, as significant art forms bearing historical, cultural, and religious connotations, face dual threats from natural weathering and human-induced damage. Their protection and restoration of the artistic style present pressing challenges. In recent years, the rapid advancement of digital technologies has offered new opportunities for preserving and reproducing cultural heritage. Particularly, 3D style transfer techniques are emerging as crucial tools for digital safeguarding. The advantages of three-dimensional style transfer in cultural heritage applications include dynamic stylized rendering, simulation of styles from multiple historical periods, alternative modes of exhibition, and facilitating a paradigm shift in conservation practices from static digital archiving to dynamic revitalization. This study proposes a novel 3D stylization method for cliff carvings by integrating 3D Gaussian Splatting (3DGS) and Nearest Neighbor Feature Matching (NNFM) loss metric. The method represents ancient cliff carvings as a set of optimizable 3D Gaussians representation, enabling efficient capture and processing of complex geometric structures and rich textural details. By integrating the textural and geometric characteristics of the target artistic style, 3DGS facilitates high-quality transfer of diverse artistic styles while effectively preserving the original intricate details of the carvings. Additionally, we employ the NNFM loss function to transfer 2D visual details into 3D representations while maintaining multi-perspective style consistency. Experimental results demonstrate that the proposed method exhibits significant advantages in texture fidelity, style consistency, and rendering efficiency. This research showcases the potential of our model for the digital preservation and presentation of cliff-carved cultural heritage, offering an innovative technological approach with theoretical value and practical significance. Full article
(This article belongs to the Special Issue Advances in Computational and Applied Mechanics (SACAM))
Show Figures

Figure 1

23 pages, 1612 KB  
Review
Extracellular Vesicles Derived from Natural Biological Resources and Their Potential to Facilitate Skin Regeneration and Rejuvenation
by Zhuoyue Yang, Shijun Li, Hangyu Zhang, Zhigang Sui and Na Li
Pharmaceutics 2026, 18(3), 342; https://doi.org/10.3390/pharmaceutics18030342 - 10 Mar 2026
Abstract
The skin, the largest organ in the human body, serves as a crucial barrier against external stimuli. With the acceleration of social industrialization and the worsening of global climate change, the risk of physical, chemical and biological damage to the skin has significantly [...] Read more.
The skin, the largest organ in the human body, serves as a crucial barrier against external stimuli. With the acceleration of social industrialization and the worsening of global climate change, the risk of physical, chemical and biological damage to the skin has significantly increased. Among these, surgical wounds, accidental injuries, diabetic wounds, and ultraviolet (UV)-radiation-induced photoaging are particularly common. Cutaneous wound healing is a complex and dynamic process that requires precise coordination of numerous molecular events to effectively repair damaged skin. Skin photoaging, a phenomenon of premature aging caused by long-term UV exposure, is characterized by pigmentary abnormalities, telangiectasia, epidermal roughness, wrinkle formation, and precancerous lesions, all of which seriously affect skin health and appearance. Extracellular vesicles (EVs), a class of nano-sized vesicles secreted by various cells, play important regulatory roles in tissue regeneration. Although cell-culture-medium-derived EVs (C-EVs) have been proven to effectively promote skin wound healing and photodamage repair, their origin from a single cell type and challenges in large-scale production severely limit their broad application. In contrast, EVs derived from natural biological resources, including tissue-derived EVs (Ti-EVs) and plant-derived EVs (PDEVs), have emerged as novel therapeutic strategies for skin wounds and photoaging. These EVs better reflect the physiological microenvironment and demonstrate considerably higher production efficiencies. Ti-EVs, obtained from mammalian tissues composed of multiple cell types and extracellular matrix, contain more abundant regulatory factors, thus exhibiting superior bioactivity compared with C-EVs. PDEVs have also garnered significant attention due to their favorable stability, low immunogenicity, unique natural antioxidant components, and feasibility of large-scale extraction. This review will systematically elaborate on the characteristics and isolation methods of both Ti-EVs and PDEVs, as well as their therapeutic roles and underlying mechanism in wound healing and skin photoaging. Full article
Show Figures

Graphical abstract

11 pages, 3800 KB  
Article
Fluorescence Detection-Based Rapid Non-Destructive Testing of Large-Aperture Fused Silica Glass Components
by Jiaxing Chen, Kaizao Ni, Ruijin Hong, Lingqiao Li and Zhan Sui
Appl. Sci. 2026, 16(6), 2627; https://doi.org/10.3390/app16062627 - 10 Mar 2026
Viewed by 85
Abstract
As precision polishing and post-processing advance, surface-layer absorptive defects in fused silica optics increasingly show random distribution, low quantity, and ultra-low concentration—making efficient, non-destructive inspection of large-aperture components challenging. In this study, fused silica samples made by conventional ring polishing and acid cleaning [...] Read more.
As precision polishing and post-processing advance, surface-layer absorptive defects in fused silica optics increasingly show random distribution, low quantity, and ultra-low concentration—making efficient, non-destructive inspection of large-aperture components challenging. In this study, fused silica samples made by conventional ring polishing and acid cleaning were analyzed using photothermal weak absorption (PTWA), micro-X-ray fluorescence (μ-XRF), micro-X-ray diffraction (μ-XRD), and ultraviolet fluorescence microscopy spectroscopy. Results show that process-related contaminants emit strong spontaneous fluorescence between 500 and 620 nm under 375 nm ultraviolet (UV) excitation. Using this optical signature, a high-throughput detection system was developed that combines rapid fluorescence imaging for screening with PTWA for verification. Full-area scanning of a 100 mm × 100 mm sample successfully identified absorptive defects with significantly improved efficiency over conventional methods. This work provides a practical quality control solution for large-aperture fused silica optics and supports process optimization to reduce laser damage risks in high-performance systems. Full article
(This article belongs to the Section Optics and Lasers)
Show Figures

Figure 1

28 pages, 2250 KB  
Article
Occupational Gender Bias in Chinese Generative AI Models: Cross-Model Evidence of Stereotypical Amplification and Systematic Underrepresentation
by Yunhong Liu, Aijun Lin, Sui Peng and Zelong Cai
Systems 2026, 14(3), 286; https://doi.org/10.3390/systems14030286 - 9 Mar 2026
Viewed by 146
Abstract
Occupational gender stereotypes are widely embedded in social cognition and increasingly reproduced through generative artificial intelligence (AI). Two mainstream Chinese generative AI models (DeepSeek V3 and Qwen 2.5) were audited by eliciting occupation–gender pronoun associations for 72 census-anchored occupations using a standardized questionnaire [...] Read more.
Occupational gender stereotypes are widely embedded in social cognition and increasingly reproduced through generative artificial intelligence (AI). Two mainstream Chinese generative AI models (DeepSeek V3 and Qwen 2.5) were audited by eliciting occupation–gender pronoun associations for 72 census-anchored occupations using a standardized questionnaire and an automated testing pipeline. Each occupation was queried in 1000 independent rounds, yielding 2,880,000 item-level observations. The results show that, for both models, the fitted relationship between census female shares and model-implied female pronoun associations follows an S-shaped pattern. This pattern is consistent with a dominance-amplifying mapping that pushes male-dominated occupations toward lower female attribution and female-dominated occupations toward higher female attribution. Meanwhile, women’s overall visibility is consistently shifted downward: when the census benchmark is 50% female, the predicted female proportion remains below parity at 48% in DeepSeek and 43% in Qwen. Cross-model comparisons reveal substantial heterogeneity in bias profiles: DeepSeek primarily compresses female attribution in male-dominated occupations, whereas Qwen amplifies female dominance in occupations where women already predominate. Overall, these findings characterize a multi-layered output-level bias pattern combining structural amplification with a system-wide downward shift in women’s aggregate visibility. Full article
(This article belongs to the Special Issue Ethics and Governance of Artificial Intelligence (AI) Systems)
Show Figures

Figure 1

15 pages, 1479 KB  
Article
Orally Administered Porcine Intestinal Lactobacilli Improve the Respiratory Innate Immune Response Against Streptococcus pneumoniae
by Kohtaro Fukuyama, Solange Cisterna-Vergara, Ayelen Antonella Baillo, María José Lorenzo Pisarello, Weichen Gong, Keita Nishiyama, Julio Villena and Haruki Kitazawa
Animals 2026, 16(5), 825; https://doi.org/10.3390/ani16050825 - 6 Mar 2026
Viewed by 123
Abstract
Background: Respiratory bacterial infections represent a major health challenge in swine production, highlighting the need for novel immunomodulatory strategies that enhance host resistance. In this study, we investigated whether porcine intestinal lactobacilli could modulate the gut–lung axis and improve respiratory innate immunity in [...] Read more.
Background: Respiratory bacterial infections represent a major health challenge in swine production, highlighting the need for novel immunomodulatory strategies that enhance host resistance. In this study, we investigated whether porcine intestinal lactobacilli could modulate the gut–lung axis and improve respiratory innate immunity in a mouse model of Streptococcus pneumoniae infection, as a surrogate of Streptococcus suis pneumonia. Methods: Three strains of Ligilactobacillus salivarius (LAFF998, LAFF1071, and LAFF1095) were orally administered to Swiss mice prior to pneumococcal challenge. The resistance to the infection, the lung damage and the respiratory innate immune response were evaluated. Results: Only strain LAFF998 significantly reduced pulmonary bacterial loads, prevented bacteremia, and attenuated lung injury. This protective effect was associated with selective modulation of respiratory immunity, characterized by reduced neutrophilic inflammation, increased lymphocyte recruitment, and enhanced activation of alveolar macrophages expressing MHC-II. LAFF998 markedly increased the production of IFN-β, IFN-γ, IL-6, IL-10, and IL-27 in the respiratory tract, without inducing excessive inflammatory damage. Ex vivo and in vitro analyses confirmed that alveolar macrophages from LAFF998-treated mice exhibited a primed phenotype with heightened cytokine responses to pneumococcal stimulation. In contrast, strains LAFF1071 and LAFF1095 failed to confer protection or significantly modulate respiratory immune responses. Conclusions: These findings demonstrate a strict strain-dependent effect among porcine L. salivarius isolates and identify LAFF998 as a potent immunobiotic capable of enhancing respiratory innate immunity through the gut–lung axis. This work supports further studies of LAFF998 as an immunobiotic strategy for the prevention of respiratory infections in pigs. Full article
Show Figures

Figure 1

16 pages, 6441 KB  
Article
A Newly Identified Western Wei Medicine Buddha on the East Wall of Mogao Cave 285
by Ye Xiong
Religions 2026, 17(3), 334; https://doi.org/10.3390/rel17030334 - 6 Mar 2026
Viewed by 124
Abstract
No depiction of the Medicine Buddha has been identified in the Mogao Grottoes prior to the Sui Dynasty. Through a re-examination of the sculptural program and the ink inscriptions in Mogao Cave 285, this study demonstrates that the preaching scene on the south [...] Read more.
No depiction of the Medicine Buddha has been identified in the Mogao Grottoes prior to the Sui Dynasty. Through a re-examination of the sculptural program and the ink inscriptions in Mogao Cave 285, this study demonstrates that the preaching scene on the south side of the east wall, whose principal figure bears the inscription “Amitāyus Buddha”, exhibits a closer textual and iconographic correspondence with the Guanding jing than with the Pure Land texts proposed in prior research. Based on textual, iconographic, and spatial evidence, this study argues that the preaching scene on the north side, corresponding to the south scene, also derives from the Guanding jing, with the principal figure identified as the “Medicine Buddha of Lapis Lazuli Crystal Radiance”. This new discovery establishes that the east wall of Mogao Cave 285 contains the earliest depiction of the Medicine Buddha at the Mogao Grottoes, dating to the Western Wei Dynasty. This study substantially revises the established chronology of the Medicine Buddha cult in the Dunhuang region and calls for a reassessment of the textual foundations underpinning the artistic program of Mogao Cave 285. Full article
Show Figures

Figure 1

30 pages, 7838 KB  
Article
Interpreting Spatial Structure, Visual Axes and Borrowed Scenery of Sui–Tang Luoyang Within the Historic Urban Landscape Framework
by Xiaohan Li, Yong Adilah Shamsul Harumain and Ahmad Fawwaz Ahmad Saleh
Sustainability 2026, 18(5), 2547; https://doi.org/10.3390/su18052547 - 5 Mar 2026
Viewed by 174
Abstract
Sui–Tang Luoyang represents a classic achievement in Chinese capital planning, yet research remains dominated by archaeological and historical–geographical approaches, lacking a unifying theoretical framework. This research addresses this gap by applying the Historic Urban Landscape (HUL) approach to systematically interpret the city’s integration [...] Read more.
Sui–Tang Luoyang represents a classic achievement in Chinese capital planning, yet research remains dominated by archaeological and historical–geographical approaches, lacking a unifying theoretical framework. This research addresses this gap by applying the Historic Urban Landscape (HUL) approach to systematically interpret the city’s integration of built form and natural landscape. This research developed a three-dimensional analytical scheme comprising spatial structure, visual axis, and borrowed scenery and implemented it using historical documents, archaeological data, GIS, and cross-validation methods. The results reconstruct the city’s triple spatial structure (Palace City, Imperial City, Outer City) and identify a near-north–south central axis that connects the palace with the Longmen Yique and Mount Mang, forming a dominant view corridor and ritual sequence. Further analysis examines how multi-layered borrowed scenery embodies and articulates the traditional “Harmony of Nature and Humanity” philosophy. This research supports the plausibility of the applicability of HUL to sites with scarce surface remains and provides a transferable framework for the holistic conservation, view-corridor management, and digital reconstruction of historic cities. Full article
(This article belongs to the Special Issue Cultural Heritage Conservation and Sustainable Development)
Show Figures

Figure 1

19 pages, 474 KB  
Article
Can Ordinary Beings Attain Rebirth in Amitābha’s Pure Land? Huai’gan and the Formation of an Inclusive Pure Land Vision in Early Tang China
by Shengtao Deng
Religions 2026, 17(3), 331; https://doi.org/10.3390/rel17030331 - 5 Mar 2026
Viewed by 211
Abstract
Since the Northern and Southern Dynasties, the question of whether ordinary beings (fanfu 凡夫) could attain rebirth in Amitābha’s Pure Land became a central concern in Chinese Buddhism. In the Chen and Sui periods, exegetes of the She lun 攝論 and some [...] Read more.
Since the Northern and Southern Dynasties, the question of whether ordinary beings (fanfu 凡夫) could attain rebirth in Amitābha’s Pure Land became a central concern in Chinese Buddhism. In the Chen and Sui periods, exegetes of the She lun 攝論 and some Di lun 地論 masters generally denied this possibility. By the seventh century, however, Master Huai’gan 懷感, building on the teachings of Shandao 善導, systematically addressed these doubts in his Treatise on Resolving Doubts about the Pure Land (Shi jingtu qunyi lun 釋淨土群疑論). He refuted the Yogācāra (Weishi zong 唯識宗) claim that only bodhisattvas can be reborn there, insisting that all beings, though differing in spiritual capacities, are able to attain rebirth in Pure Land. Against the Three Stages teaching (Sanjie jiao 三階教), which regarded beings of the degenerate age as wholly evil and unfit for Pure Land practice. Huai’gan stressed the role of bodhicitta and argued that Buddha recitation eradicates karmic obstacles, enabling even perpetrators of the Ten Evils or slanderers of the Dharma to be reborn. Reconciling discrepancies between the Sūtra of Infinite Life and the Contemplation Sūtra on the issue of the five grave offenses, he highlighted the criterion of ten invocations as sufficient for rebirth. Huai’gan effectively universalized the Pure Land path by reconciling the Yogācāra-based theory of the Transformtion Land with the orthodox Pure Land view of the Reward Land (baotu 報土) as a literal reality generated by Amitābha Buddha’s Vow-power. In doing so, Huai’gan shifted pre-Tang restrictive views toward a more inclusive Pure Land vision, paving the way for the open orientation of early Tang Pure Land thought. Full article
13 pages, 2807 KB  
Article
Regulating the Crystalline Structure and Ion Affinity of Covalent Organic Frameworks for Enhanced Lithium/Magnesium Separation
by Chuncai Wang, Shiwen Bao, Yanfeng Gong, Lei Yu, Zizhe Xu, Chul. B. Park, Kunyan Sui, Jun Gao and Xueli Liu
Biomimetics 2026, 11(3), 177; https://doi.org/10.3390/biomimetics11030177 - 3 Mar 2026
Viewed by 306
Abstract
Selective ion transport is essential for many applications of membrane separation, such as rare metal and high-value element extraction from complex ionic sources. However, efficient regulation of permeability–selectivity remains a major challenge for advanced ionic transport membranes. Herein, we demonstrate that supercritical CO [...] Read more.
Selective ion transport is essential for many applications of membrane separation, such as rare metal and high-value element extraction from complex ionic sources. However, efficient regulation of permeability–selectivity remains a major challenge for advanced ionic transport membranes. Herein, we demonstrate that supercritical CO2 (ScCO2) drying combined with crown ether functionalization enables precise modulation of crystallinity and ion-specific affinity in covalent organic framework (COF) membranes. The pristine COF membrane prepared by solution casting was amorphous. Owing to its positively charged framework and sub-nanometer pores, the membrane exhibited a high Li+ transport rate over Mg2+ via a synergistic effect of size exclusion and electrostatic repulsion, resulting in a selectivity of 204. After ScCO2 drying, the crystallinity and structural ordering of the COF membrane were significantly enhanced, leading to a 1.5-fold increase in Li+ flux, accompanied by a moderate decrease in selectivity to 147. To compensate for this trade-off, 12-crown-4 (12C4) was introduced as a Li+ recognition agent into the ScCO2-treated membrane, restoring Li+/Mg2+ selectivity to 187 without compromising Li+ flux. Importantly, the selective Li+ transport performance was maintained in real salt lake brines. This structural–chemical co-regulation strategy provides a versatile approach for optimizing ion transport membranes in complex separation applications. Full article
(This article belongs to the Special Issue Recent Advances in Bio-Inspired Multifunctional Coatings/Films)
Show Figures

Graphical abstract

22 pages, 2719 KB  
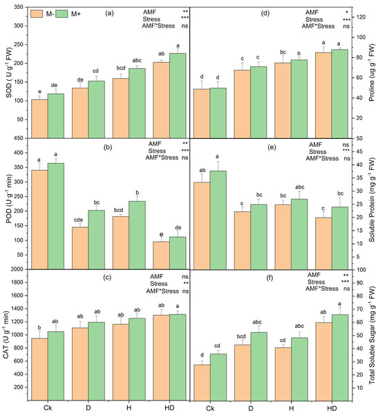
Article
Harnessing Arbuscular Mycorrhizal Symbiosis to Enhance Growth and Resilience to Combined Drought and Heat Stress in Lily (Lilium spp.)
by Hafiz Athar Hussain, Zhanhuai Liang, Shujaat Hussain, Jianghui Luo, Shunzhao Sui and Daofeng Liu
Plants 2026, 15(5), 767; https://doi.org/10.3390/plants15050767 - 2 Mar 2026
Viewed by 255
Abstract
Abiotic stresses such as drought and heat increasingly threaten plant growth and ornamental quality, particularly in climate-sensitive floricultural crops. Arbuscular mycorrhizal fungi (AMF) are known to enhance plant resilience under such conditions, yet their role in lilies remains insufficiently explored. In this study, [...] Read more.
Abiotic stresses such as drought and heat increasingly threaten plant growth and ornamental quality, particularly in climate-sensitive floricultural crops. Arbuscular mycorrhizal fungi (AMF) are known to enhance plant resilience under such conditions, yet their role in lilies remains insufficiently explored. In this study, we used a two-tier experimental approach to evaluate AMF-mediated benefits in lilies. First, different AMF strains, namely Funneliformis mosseae (FM), Rhizophagus intraradices (RI), Rhizophagus irregularis (RIG), Claroideoglomus etunicatum (CE), Diversispora versiformis (DV), and a mixed consortium (MIX), were screened for growth-promoting effects in two Lilium species, Taiwan lily and Lilium cv. Sorbonne, under non-stress conditions. Second, a selected AMF–host combination from the screening was evaluated to improve tolerance to drought, heat, and combined drought + heat stress. Among the tested strains, DV and MIX showed the most consistent improvements across key growth traits and root colonization. In the stress experiment, stress treatments reduced growth and physiological performance, particularly under combined drought + heat. AMF inoculation enhanced plant performance by improving shoot and root biomass, improving root system architecture, and leading to a higher chlorophyll content, greater relative water content, and enhanced flower traits. Biochemical analyses further revealed that AMF mitigated stress-induced oxidative damage by reducing reactive oxygen species (ROS) accumulation, as shown by reduced O2 and H2O2 staining. This reduction in oxidative stress was supported by increased activities of key antioxidant enzymes, indicating that AMF activate cellular defense mechanisms. These findings underscore the potential of AMF as a sustainable biotechnological tool for improving stress tolerance in lilies and enhancing floricultural productivity under climate-challenged environments. Full article
Show Figures

Figure 1

20 pages, 2778 KB  
Article
Avian Diversity and Complementarity in Yancheng Wetlands Driven by Habitat Gradient
by Yanming Sui, Chengjiao Ni, Feng Chen, Yihao Chen, Yu Wang, Yaming Heng, Chenxi Zhou, Wei Wei and Yanan Zhang
Diversity 2026, 18(3), 152; https://doi.org/10.3390/d18030152 - 1 Mar 2026
Viewed by 196
Abstract
To address knowledge gaps in urban wetlands’ role in sustaining avian diversity along migration corridors, this study systematically surveyed three Yancheng wetland parks with a distinct habitat gradient. Monthly surveys were conducted from January to December 2024 using fixed-width line transects and point [...] Read more.
To address knowledge gaps in urban wetlands’ role in sustaining avian diversity along migration corridors, this study systematically surveyed three Yancheng wetland parks with a distinct habitat gradient. Monthly surveys were conducted from January to December 2024 using fixed-width line transects and point counts, with three 300 m transects set in each park and all birds within 50 m of the transect line recorded, and Shannon–Wiener, Simpson, Pielou’s Evenness, and Margalef Richness indices were employed for quantitative analysis. A total of 83 bird species across 16 orders and 41 families were documented, including the National Class I Protected and Endangered Oriental Stork and three Class II nationally protected species (Black-winged Kite, Crested Goshawk, Common Kestrel). Fengyi Lake Park, with 71 species, served as a critical migratory waterbird hub. Yandu Wetland Park sustained community stability through high habitat heterogeneity, supporting specialized breeders, and Dongfang Wetland Park, with 34 urban adaptor-dominated species, provided key autumn pulsed resources for frugivores and granivores. This study identifies habitat heterogeneity as the primary driver of avian community differentiation and highlights that the ecological functions of urban wetlands are contingent on multi-habitat complementarity. We, therefore, advocate for prioritizing the construction of heterogeneous habitat structures in urban wetland planning, enhancing functional complementarity and connectivity among distinct wetland types, and preserving the continuity of migratory bird habitat corridors along the East Asian-Australasian Flyway. These findings furnish robust scientific evidence and actionable guidance for regional green space planning and biodiversity conservation. Full article
(This article belongs to the Section Biodiversity Conservation)
Show Figures

Figure 1

14 pages, 2784 KB  
Article
Structural, Textural, and Functional Properties of Plant-Based Meat Analogs Prepared by High-Moisture Extrusion of Soy–Wheat–Mung Bean Multi-Protein System
by Ka Li, Yu Zhao, Siqi Wang, Yan Zhang and Xiaonan Sui
Foods 2026, 15(5), 824; https://doi.org/10.3390/foods15050824 - 1 Mar 2026
Viewed by 213
Abstract
High-moisture extrusion (HME) is critical for plant-based meat analogs with meat-like fibrous structures. To expand HME protein sources, this study explored mung bean protein (MBP) substitution (0–50%, dry basis) effects on structural, textural and functional properties of soy protein concentrate (SPC)–wheat gluten (WG) [...] Read more.
High-moisture extrusion (HME) is critical for plant-based meat analogs with meat-like fibrous structures. To expand HME protein sources, this study explored mung bean protein (MBP) substitution (0–50%, dry basis) effects on structural, textural and functional properties of soy protein concentrate (SPC)–wheat gluten (WG) HME products. At 20% MBP addition, the proteins formed a dense layered fibrous network, and the fibrous degree of the extrudates reached the peak. MBP > 40% disrupted the continuous protein network. The optimal rehydration for 20% MBP dried extrudates was 60 °C for 40 min, preserving fibrous texture. Protein interaction analysis indicated that hydrogen bonds and disulfide bonds played an important role in stabilizing the protein network structure. Overall, MBP can be incorporated into SPC-WG-based HME products to diversify protein sources, providing a feasible strategy for developing high-quality, nutritionally diversified plant-based meats. Full article
(This article belongs to the Section Food Engineering and Technology)
Show Figures

Graphical abstract

20 pages, 4800 KB  
Article
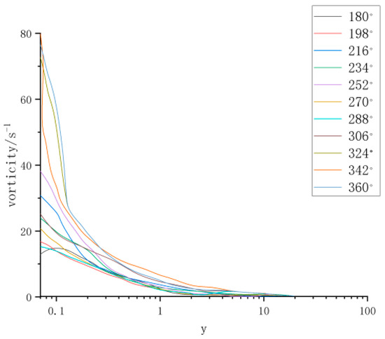
Numerical Structure of Turbulent Vortex in Wave–Current Boundary Layers
by Zihang Zhou, Xuan Zhang and Titi Sui
Water 2026, 18(5), 591; https://doi.org/10.3390/w18050591 - 28 Feb 2026
Viewed by 266
Abstract
This paper presents the numerical results of a turbulent vortex in wave–current boundary layers, based on Large Eddy Simulations. Rough wall flow problems have always been a research hotspot in the field of fluid mechanics. The turbulent vortex structure within wave–current boundary layers [...] Read more.
This paper presents the numerical results of a turbulent vortex in wave–current boundary layers, based on Large Eddy Simulations. Rough wall flow problems have always been a research hotspot in the field of fluid mechanics. The turbulent vortex structure within wave–current boundary layers is of great significance for the study of flow characteristics. However, little is known about turbulent vortices in combined wave–current flows. The purpose of this paper is to investigate the differences in the average velocity profile when waves are superimposed on turbulence compared to when waves and turbulence exist independently, and to demonstrate the evolution process of the turbulent vortex structure formed when waves are superimposed on turbulence. The study adopted rough wall simulations and verified the computational results. The findings indicate that under rough wall conditions, stronger secondary flows and turbulent vortex structures are formed within the boundary layer, and an increase in roughness enhances the turbulence intensity within the boundary layer. Additionally, the impact of wall height on the flow structure cannot be overlooked. This paper also presents the evolution process of the turbulent vortex structure within wave–current boundary layers, providing new insights for the study of rough wall flow-related issues. For the interaction of waves and turbulence under rough wall conditions, high-precision numerical discretization schemes are adopted to construct a bottom boundary layer numerical model. This is achieved by summarizing the progress of existing conclusions, understanding the research progress of numerical simulation in the wave–current boundary layer, constructing high-precision numerical discretization schemes, establishing a physical model of the studied problem and abstracting it into a mechanical model, establishing the entire geometric shape and its spatial influence area, performing spatial grid division, adding the initial conditions required for the solution, and selecting the LES algorithm. Full article
(This article belongs to the Special Issue Coastal Engineering and Fluid–Structure Interactions, 2nd Edition)
Show Figures

Figure 1

Back to TopTop