Harnessing Arbuscular Mycorrhizal Symbiosis to Enhance Growth and Resilience to Combined Drought and Heat Stress in Lily (Lilium spp.)
Abstract
1. Introduction
2. Materials and Methods
2.1. Experiment 1: Screening of Arbuscular Mycorrhizal Fungi (AMF)
2.1.1. AMF Inoculum Preparation
2.1.2. Plant Material and Experimental Setup
2.1.3. Determination of Plant Morphological Indicators
2.2. Experiment 2: Effects of AMF on Drought and Heat Stress
2.2.1. Experimental Design
2.2.2. Stress Treatments
2.2.3. Determination of Plant Growth Indicators and Root Activity
2.2.4. Determination of Mycorrhizal Colonization
2.2.5. Determination of Physiological Parameters
2.2.6. Reactive Oxygen Species (ROS) Quantification and Histochemical Staining
2.2.7. Detection of Antioxidants and Osmolytes
2.2.8. Statistical Analysis
3. Results
3.1. Effect of Different Mycorrhizal Strains on the Growth of Lilium Species
3.2. Effect of Different Mycorrhizal Strains on Root and Bulb Traits of Lilium Species
3.3. Effects of Different Mycorrhizal Strains on Floral Traits of Lilium Species
3.4. Effects of Mycorrhizal Strains on Root Colonization of Lilium Species
3.5. Summary of Treatment Effects Based on Two-Way ANOVA
3.6. Effects of Arbuscular Mycorrhizal Fungi (AMF) on Morphological Traits of Taiwan Lily Under Drought and Heat Stress
3.7. Effects of Arbuscular Mycorrhizal Fungi (AMF) on Root Traits of Taiwan Lily Under Drought and Heat Stress
3.8. Arbuscular Mycorrhizal Symbiosis with Taiwan Lily Under Drought and Heat Stress
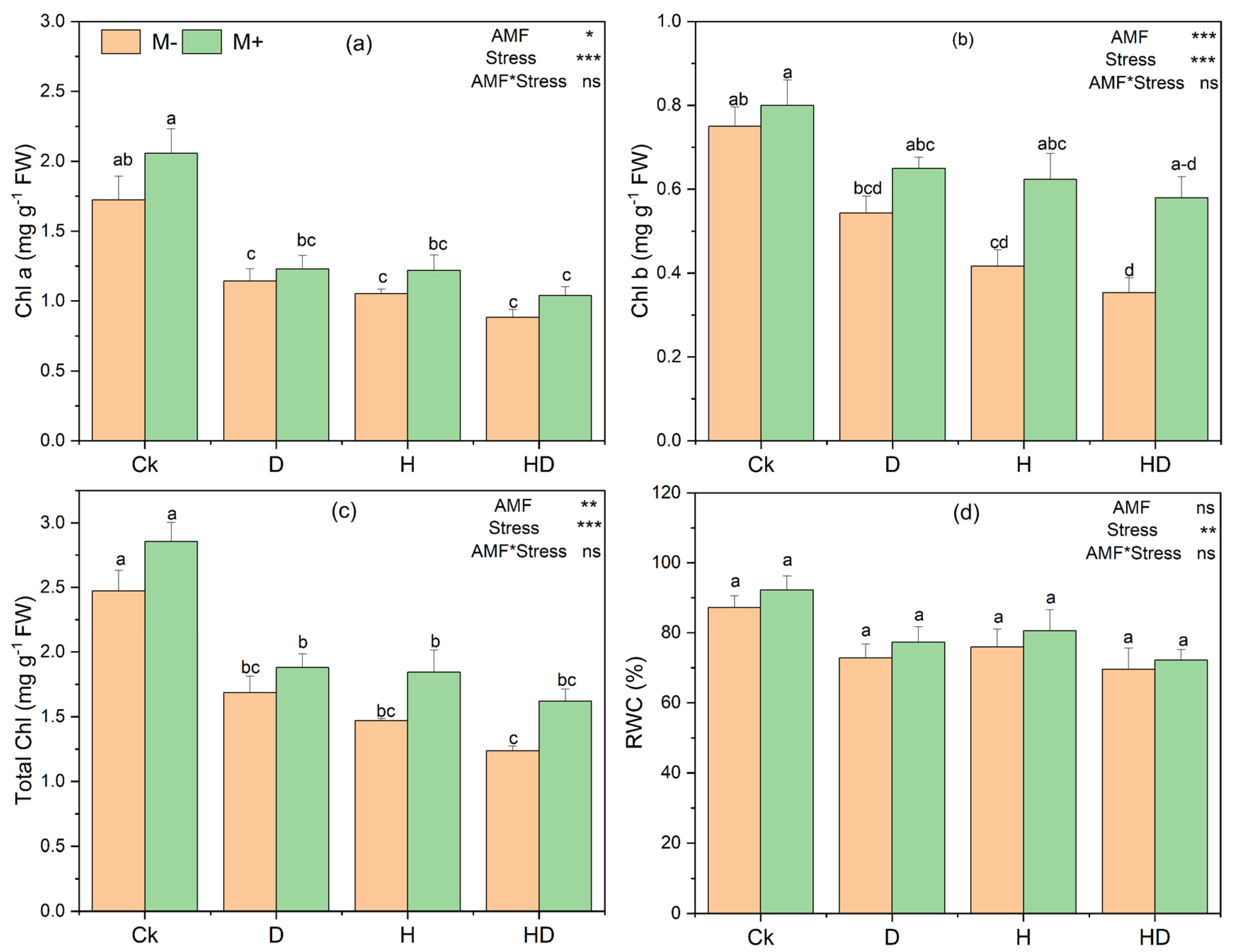
3.9. Effects of Arbuscular Mycorrhizal Fungi (AMF) on Chlorophyll and Relative Water Content of Taiwan Lily Under Drought and Heat Stress
3.10. Effects of Arbuscular Mycorrhizal Fungi (AMF) on Lipid Peroxidation and Membrane Damage of Taiwan Lily Under Drought and Heat Stress
3.11. Effects of Arbuscular Mycorrhizal Fungi (AMF) on Reactive Oxygen Species (ROS) Accumulation in Taiwan Lily Under Drought and Heat Stress
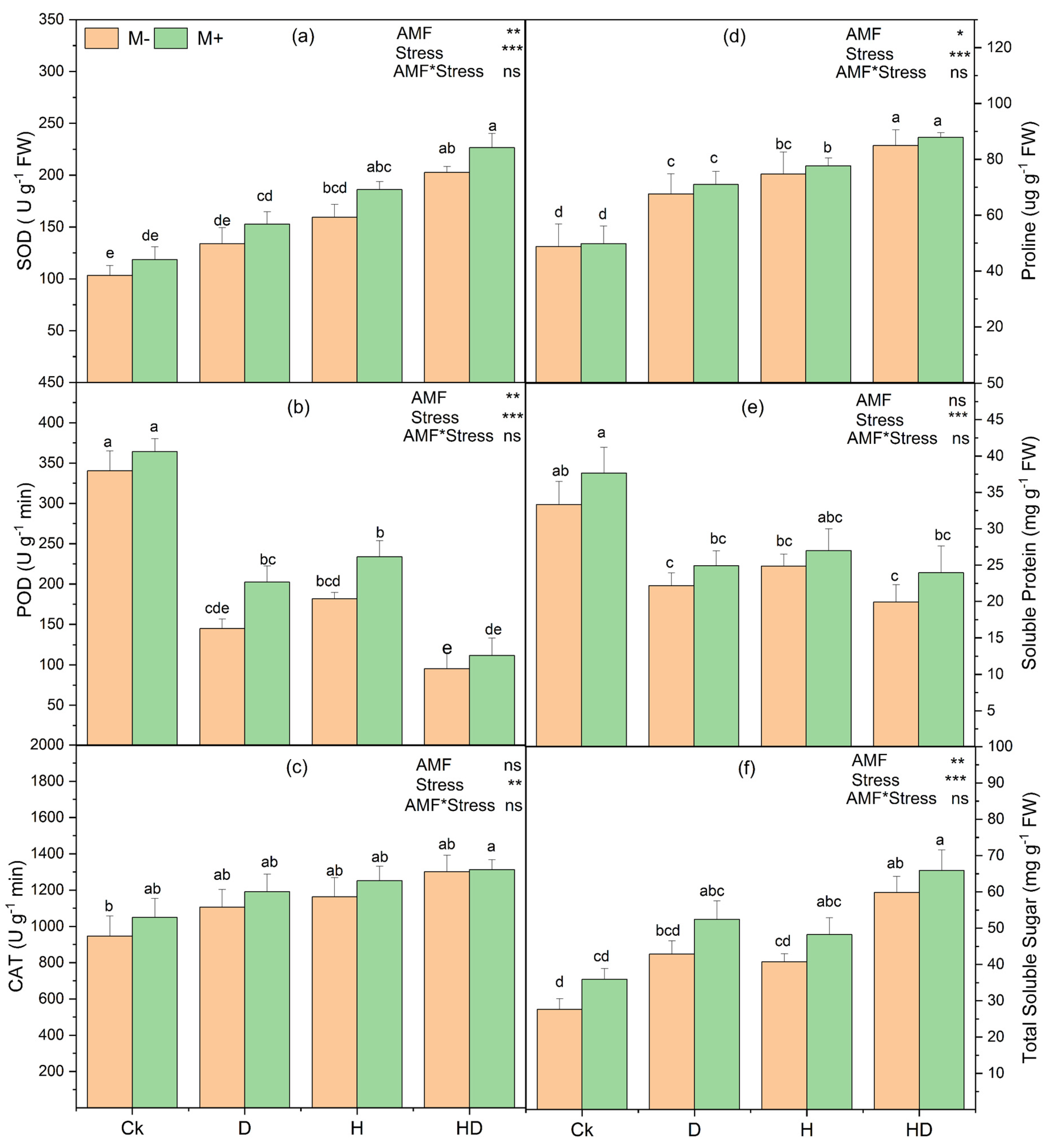
3.12. Effects of Arbuscular Mycorrhizal Fungi (AMF) on Antioxidant and Osmoprotectant Responses in Taiwan Lily Under Drought and Heat Stress
4. Discussion
5. Conclusions
Supplementary Materials
Author Contributions
Funding
Data Availability Statement
Conflicts of Interest
References
- Tomanguilla-Llanos, O.; Meléndez-Mori, J.B.; Tejada-Alvarado, J.J.; Lapiz-Culqui, Y.K.; Huaman-Huaman, E.; Zuta-Puscan, M.; Mego-Pérez, R.S.; Oliva-Cruz, M. Boosting lily bulblets production: A study on the effects of 6-benzylaminopurine and silver nanoparticles. Sci. Rep. 2025, 15, 22099. [Google Scholar] [CrossRef]
- Song, C.; Zhang, Y.; Luo, K.; Sajjad, M.; Zhang, H.; Xu, Y.; Ran, M.; Huang, H.; Wang, Y.; Zheng, Y. Identifying Optimal Parts of Oriental Lily Bulbs for Large-Scale Propagation Using Tissue Culture Bulb Induction. Horticulturae 2025, 11, 1203. [Google Scholar] [CrossRef]
- Sánchez-Bermúdez, M.; Del Pozo, J.C.; Pernas, M. Effects of combined abiotic stresses related to climate change on root growth in crops. Front. Plant Sci. 2022, 13, 918537. [Google Scholar] [CrossRef] [PubMed]
- Li, X.; Jia, W.; Zheng, J.; Ma, L.; Duan, Q.; Du, W.; Cui, G.; Wang, X.; Wang, J. Application of morphological and physiological markers for study of drought tolerance in Lilium varieties. Horticulturae 2022, 8, 786. [Google Scholar] [CrossRef]
- Guo, M.; Zong, J.; Zhang, J.; Wei, L.; Wei, W.; Fan, R.; Zhang, T.; Tang, Z.; Zhang, G. Effects of temperature and drought stress on the seed germination of a peatland lily (Lilium concolor var. megalanthum). Front. Plant Sci. 2024, 15, 1462655. [Google Scholar] [CrossRef]
- International Work Group for Indigenous Affairs. The Indigenous World 2023: The Intergovernmental Panel on Climate Change (IPCC); International Work Group for Indigenous Affairs: Copenhagen, Denmark, 2023. [Google Scholar]
- Sato, H.; Mizoi, J.; Shinozaki, K.; Yamaguchi-Shinozaki, K. Complex plant responses to drought and heat stress under climate change. Plant J. 2024, 117, 1873–1892. [Google Scholar] [CrossRef]
- Habibi, A.; Sarikhani, S.; Arab, M.M.; Soltani, M.; Aliniaifard, S.; Roozban, M.R.; Vahdati, K. Drought and heat stress interactions: Unveiling the molecular and physiological responses of Persian walnut. Plant Physiol. Biochem. 2024, 217, 109237. [Google Scholar] [CrossRef] [PubMed]
- Burgess, A.J. Double trouble: Compound effects of heat and drought stress on carbon assimilation. Plant Physiol. 2024, 194, 1255–1256. [Google Scholar]
- Cao, X.; Sui, J.; Li, H.; Yue, W.; Liu, T.; Hou, D.; Liang, J.; Wu, Z. Enhancing heat stress tolerance in Lanzhou lily (Lilium davidii var. unicolor) with Trichokonins isolated from Trichoderma longibrachiatum SMF2. Front. Plant Sci. 2023, 14, 1182977. [Google Scholar] [CrossRef]
- Fu, Y.; Yang, L.; Gao, H.; Wenji, X.; Li, Q.; Li, H.; Gao, J. Comparative transcriptome analysis reveals heat stress-responsive genes and their signalling pathways in lilies (Lilium longiflorum vs. Lilium distichum). PLoS ONE 2020, 15, e0239605. [Google Scholar] [CrossRef] [PubMed]
- Tadayon, M.S.; Hosseini, S.M. Shade net and mulching measures for improving soil and plant water status of fig trees under rainfed conditions. Agric. Water Manag. 2022, 271, 107796. [Google Scholar] [CrossRef]
- Chauhan, S.; Mahawar, S.; Jain, D.; Udpadhay, S.K.; Mohanty, S.R.; Singh, A.; Maharjan, E. Boosting sustainable agriculture by arbuscular mycorrhiza under stress condition: Mechanism and future prospective. BioMed Res. Int. 2022, 2022, 5275449. [Google Scholar] [CrossRef]
- Tang, H.; Hassan, M.U.; Feng, L.; Nawaz, M.; Shah, A.N.; Qari, S.H.; Liu, Y.; Miao, J. The critical role of arbuscular mycorrhizal fungi to improve drought tolerance and nitrogen use efficiency in crops. Front. Plant Sci. 2022, 13, 919166. [Google Scholar] [CrossRef]
- Wahab, A.; Muhammad, M.; Munir, A.; Abdi, G.; Zaman, W.; Ayaz, A.; Khizar, C.; Reddy, S.P.P. Role of arbuscular mycorrhizal fungi in regulating growth, enhancing productivity, and potentially influencing ecosystems under abiotic and biotic stresses. Plants 2023, 12, 3102. [Google Scholar] [CrossRef]
- Khan, Y.; Shah, S.; Li, D.; Yang, F. Arbuscular mycorrhizal fungi-mediated abiotic stress tolerance: Emerging roles in nutrient exchange, antioxidant defence, and hormonal crosstalk. Plant Stress 2025, 18, 101068. [Google Scholar] [CrossRef]
- Das, S.; Sarkar, S. Arbuscular mycorrhizal fungal contribution towards plant resilience to drought conditions. Front. Fungal Biol. 2024, 5, 1355999. [Google Scholar] [CrossRef] [PubMed]
- Ma, W.-Y.; Qin, Q.-Y.; Zou, Y.-N.; Kuča, K.; Giri, B.; Wu, Q.-S.; Hashem, A.; Al-Arjani, A.-B.F.; Almutairi, K.F.; Abd_Allah, E.F. Arbuscular mycorrhiza induces low oxidative burst in drought-stressed walnut through activating antioxidant defense systems and heat shock transcription factor expression. Front. Plant Sci. 2022, 13, 1089420. [Google Scholar] [CrossRef] [PubMed]
- Begum, N.; Ahanger, M.A.; Su, Y.; Lei, Y.; Mustafa, N.S.A.; Ahmad, P.; Zhang, L. Improved drought tolerance by AMF inoculation in maize (Zea mays) involves physiological and biochemical implications. Plants 2019, 8, 579. [Google Scholar] [CrossRef] [PubMed]
- Yan, Q.; Li, X.; Xiao, X.; Chen, J.; Liu, J.; Lin, C.; Guan, R.; Wang, D. Arbuscular mycorrhizal fungi improve the growth and drought tolerance of Cinnamomum migao by enhancing physio-biochemical responses. Ecol. Evol. 2022, 12, e9091. [Google Scholar] [CrossRef]
- Daniels, B.; Skipper, H. Methods for the recovery and quantitative estimation of propagules from soil. Methods Princ. Mycorrhizal Res. 1982, 29–36. [Google Scholar]
- Phillips, J.; Hayman, D. Improved procedures for clearing roots and staining parasitic and vesicular-arbuscular mycorrhizal fungi for rapid assessment of infection. Trans. Br. Mycol. Soc. 1970, 55, 158–161. [Google Scholar] [CrossRef]
- Giovannetti, M.; Mosse, B. An evaluation of techniques for measuring vesicular arbuscular mycorrhizal infection in roots. New Phytol. 1980, 84, 489–500. [Google Scholar] [CrossRef]
- Clemensson-Lindell, A. Triphenyltetrazolium chloride as an indicator of fine-root vitality and environmental stress in coniferous forest stands: Applications and limitations. Plant Soil 1994, 159, 297–300. [Google Scholar] [CrossRef]
- Trouvelot, A. Measure du taux de mycorrhization d’un systeme radiculaire. Recherche de methods d’estimation ayant une signification fonctionnelle. Physiol. Genet. Asp. Mycorrhizae 1986, 217–221. [Google Scholar]
- Wu, Q. Experimental guidelines in plant physiology. In Experimental Guidelines in Plant Physiology; China Agriculture Press: Beijing, China, 2018. [Google Scholar]
- Barrs, H.; Weatherley, P. A re-examination of the relative turgidity technique for estimating water deficits in leaves. Aust. J. Biol. Sci. 1962, 15, 413–428. [Google Scholar] [CrossRef]
- Campos, P.S.; Quartin, V.; Ramalho, J.; Nunes, M.A. Electrolyte leakage and lipid degradation account for cold sensitivity in leaves of Coffea sp. plants. J. Plant Physiol. 2003, 160, 283–292. [Google Scholar] [CrossRef]
- Grellet Bournonville, C.F.; Díaz-Ricci, J.C. Quantitative determination of superoxide in plant leaves using a modified NBT staining method. Phytochem. Anal. 2011, 22, 268–271. [Google Scholar] [CrossRef] [PubMed]
- Wang, A.-G. Quantitative relation between the reaction of hydroxylamine and superoxi-de anion radicals in plants. Plant Physiol. Commun. 1990, 26, 55–57. [Google Scholar]
- Guan, Z.; Chai, T.; Zhang, Y.; Xu, J.; Wei, W. Enhancement of Cd tolerance in transgenic tobacco plants overexpressing a Cd-induced catalase cDNA. Chemosphere 2009, 76, 623–630. [Google Scholar] [CrossRef] [PubMed]
- Dhindsa, R.S.; Plumb-Dhindsa, P.; Thorpe, T.A. Leaf senescence: Correlated with increased levels of membrane permeability and lipid peroxidation, and decreased levels of superoxide dismutase and catalase. J. Exp. Bot. 1981, 32, 93–101. [Google Scholar] [CrossRef]
- Pütter, J. Peroxidases. In Methods of enzymatic analysis; Elsevier: Amsterdam, The Netherlands, 1974; pp. 685–690. [Google Scholar]
- Aebi, H. [13] Catalase in vitro. In Methods in enzymology; Elsevier: Amsterdam, The Netherlands, 1984; Volume 105, pp. 121–126. [Google Scholar]
- Shan, D.P.; Huang, J.G.; Yang, Y.T.; Guo, Y.H.; Wu, C.A.; Yang, G.D.; Gao, Z.; Zheng, C.C. Cotton GhDREB1 increases plant tolerance to low temperature and is negatively regulated by gibberellic acid. New Phytol. 2007, 176, 70–81. [Google Scholar] [CrossRef]
- Zong, X.; Wang, S. Plant Physiology Research and Technology; Southwest China Normal University Press: Chongqing, China, 2011. [Google Scholar]
- Bradford, M.M. A rapid and sensitive method for the quantitation of microgram quantities of protein utilizing the principle of protein-dye binding. Anal. Biochem. 1976, 72, 248–254. [Google Scholar] [CrossRef] [PubMed]
- Hussain, H.A.; Men, S.; Hussain, S.; Chen, Y.; Ali, S.; Zhang, S.; Zhang, K.; Li, Y.; Xu, Q.; Liao, C. Interactive effects of drought and heat stresses on morpho-physiological attributes, yield, nutrient uptake and oxidative status in maize hybrids. Sci. Rep. 2019, 9, 3890. [Google Scholar] [CrossRef]
- Zhang, W.; Xia, K.; Feng, Z.; Qin, Y.; Zhou, Y.; Feng, G.; Zhu, H.; Yao, Q. Tomato plant growth promotion and drought tolerance conferred by three arbuscular mycorrhizal fungi is mediated by lipid metabolism. Plant Physiol. Biochem. 2024, 208, 108478. [Google Scholar] [CrossRef]
- Chandrasekaran, M.; Kim, K.; Krishnamoorthy, R.; Walitang, D.; Sundaram, S.; Joe, M.M.; Selvakumar, G.; Hu, S.; Oh, S.-H.; Sa, T. Mycorrhizal symbiotic efficiency on C3 and C4 plants under salinity stress—A meta-analysis. Front. Microbiol. 2016, 7, 1246. [Google Scholar] [CrossRef]
- Hussain, H.A.; Qingwen, Z.; Hussain, S.; Hongbo, L.; Waqqas, A.; Li, Z. Effects of arbuscular mycorrhizal fungi on maize growth, root colonization, and root exudates varied with inoculum and application method. J. Soil Sci. Plant Nutr. 2021, 21, 1577–1590. [Google Scholar] [CrossRef]
- Bista, M.K.; Adhikari, B.; Sankarapillai, L.V.; Pieralisi, B.; Reddy, K.R.; Jenkins, J.; Bheemanahalli, R. Drought and heat stress induce differential physiological and agronomic trait responses in cotton. Ind. Crops Prod. 2024, 222, 119540. [Google Scholar] [CrossRef]
- Wang, X.; Shi, M.; Zhang, R.; Wang, Y.; Zhang, W.; Qin, S.; Kang, Y. Dynamics of physiological and biochemical effects of heat, drought and combined stress on potato seedlings. Chem. Biol. Technol. Agric. 2024, 11, 109. [Google Scholar] [CrossRef]
- Li, Y.; Zeleke, K.; Wang, B.; Liu, D.-L. A Review of Data for Compound Drought and Heatwave Stress Impacts on Crops: Current Progress, Knowledge Gaps, and Future Pathways. Plants 2025, 14, 2158. [Google Scholar] [CrossRef]
- Schepers, J.R.; Heblack, J.; Willi, Y. Negative interaction effect of heat and drought stress at the warm end of species distribution. Oecologia 2024, 204, 173–185. [Google Scholar] [CrossRef] [PubMed]
- Ahmed, N.; Li, J.; Li, Y.; Deng, L.; Deng, L.; Chachar, M.; Chachar, Z.; Chachar, S.; Hayat, F.; Raza, A. Symbiotic synergy: How Arbuscular Mycorrhizal Fungi enhance nutrient uptake, stress tolerance, and soil health through molecular mechanisms and hormonal regulation. IMA Fungus 2025, 16, e144989. [Google Scholar] [CrossRef]
- Zhang, H.; Xu, N.; Li, X.; Long, J.; Sui, X.; Wu, Y.; Li, J.; Wang, J.; Zhong, H.; Sun, G.Y. Arbuscular mycorrhizal fungi (Glomus mosseae) improves growth, photosynthesis and protects photosystem II in leaves of Lolium perenne L. in cadmium contaminated soil. Front. Plant Sci. 2018, 9, 1156. [Google Scholar] [CrossRef]
- Begum, N.; Ahanger, M.A.; Zhang, L. AMF inoculation and phosphorus supplementation alleviates drought induced growth and photosynthetic decline in Nicotiana tabacum by up-regulating antioxidant metabolism and osmolyte accumulation. Environ. Exp. Bot. 2020, 176, 104088. [Google Scholar] [CrossRef]
- Samanta, I.; Ghosh, K.; Saikia, R.; Savita; Maity, P.J.; Chowdhary, G. Arbuscular mycorrhizal fungi–a natural tool to impart abiotic stress tolerance in plants. Plant Signal. Behav. 2025, 20, 2525843. [Google Scholar] [CrossRef]
- Nawaz, M.; Anjum, S.A.; Ashraf, U.; Azeem, F.; Wang, Z. Antioxidant defense system and reactive oxygen species (ROS) interplay in plants under drought condition. In Handbook of Climate Change Management: Research, Leadership, Transformation; Springer: Cham, Switzerland, 2021; pp. 93–117. [Google Scholar] [CrossRef]
- Ahanger, M.A.; Agarwal, R. Potassium up-regulates antioxidant metabolism and alleviates growth inhibition under water and osmotic stress in wheat (Triticum aestivum L). Protoplasma 2017, 254, 1471–1486. [Google Scholar] [CrossRef]
- Sood, M. Reactive oxygen species (ROS): Plant perspectives on oxidative signalling and biotic stress response. Discov. Plants 2025, 2, 187. [Google Scholar] [CrossRef]
- Hussain, H.A.; Hussain, S.; Khaliq, A.; Ashraf, U.; Anjum, S.A.; Men, S.; Wang, L. Chilling and drought stresses in crop plants: Implications, cross talk, and potential management opportunities. Front. Plant Sci. 2018, 9, 393. [Google Scholar] [CrossRef]
- Hussain, H.A.; Men, S.; Hussain, S.; Zhang, Q.; Ashraf, U.; Anjum, S.A.; Ali, I.; Wang, L. Maize tolerance against drought and chilling stresses varied with root morphology and antioxidative defense system. Plants 2020, 9, 720. [Google Scholar] [CrossRef] [PubMed]
- Liu, Z.; Bi, S.; Meng, J.; Liu, T.; Li, P.; Yu, C.; Peng, X. Arbuscular mycorrhizal fungi enhanced rice proline metabolism under low temperature with nitric oxide involvement. Front. Plant Sci. 2022, 13, 962460. [Google Scholar] [CrossRef]
- Ye, Q.; Wang, H.; Li, H. Arbuscular Mycorrhizal Fungi Enhance Drought Stress Tolerance by Regulating Osmotic Balance, the Antioxidant System, and the Expression of Drought-Responsive Genes in Vitis vinifera L. Aust. J. Grape Wine Res. 2023, 2023, 7208341. [Google Scholar] [CrossRef]







| Plant Species | AMF | No. of Flower Buds | Flower Bud Length (mm) | Flower Bud Width (mm) | Flower Diameter (cm) |
|---|---|---|---|---|---|
| Taiwan lily | CK | 1.67 ± 0.18 e | 69.95 ± 7.54 | 11.52 ± 0.79 g | 7.64 ± 0.62 f |
| FM | 2.37 ± 0.22 c–e | 73.67 ± 5.39 ab | 12.41 ± 0.68 fg | 9.00 ± 0.69 d–f | |
| RI | 2.17 ± 0.17 de | 79.09 ± 3.79 a | 13.49 ± 0.23 e–g | 9.34 ± 0.52 c–f | |
| RIG | 2.33 ± 0.17 de | 76.50 ± 8.32 ab | 14.64 ± 1.44 d–g | 9.46 ± 0.76 c–f | |
| CE | 2.11 ± 0.20 de | 73.77 ± 4.77 ab | 12.89 ± 0.91 fg | 8.49 ± 0.98 ef | |
| DV | 3.30 ± 0.30 b–d | 81.61 ± 3.25 a | 16.39 ± 1.13 b–g | 10.12 ± 0.87 b–f | |
| MIX | 3.87 ± 0.47 a–c | 85.63 ± 6.99 a | 15.45 ± 1.53 c–g | 10.84 ± 0.60 b–f | |
| Sorbonne | CK | 3.33 ± 0.33 b–d | 59.00 ± 5.20 b | 15.67 ± 1.77 c–g | 11.42 ± 1.17 a–f |
| FM | 4.67 ± 0.33 ab | 75.00 ± 2.89 ab | 21.00 ± 1.53 a–c | 14.03 ± 0.58 a–c | |
| RI | 4.03 ± 0.09 ab | 72.00 ± 1.16 ab | 19.67 ± 2.19 a–d | 13.66 ± 1.24 a–d | |
| RIG | 5.20 ± 0.42 a | 77.33 ± 4.06 ab | 22.33 ± 0.88 ab | 14.74 ± 0.46 ab | |
| CE | 4.17 ± 0.44 ab | 67.00 ± 3.79 ab | 17.67 ± 1.45 b–f | 12.63 ± 0.96 a–e | |
| DV | 5.33 ± 0.33 a | 71.33 ± 5.79 ab | 19.33 ± 1.45 a–e | 13.77 ± 1.55 a–d | |
| MIX | 5.13 ± 0.47 a | 78.67 ± 3.53 ab | 24.00 ± 2.08 a | 15.66 ± 1.52 a |
| Plant Species | AMF | Arbuscule (%) | Vesicle (%) | Total Colonization (%) |
|---|---|---|---|---|
| Taiwan lily | FM | 43.33 ± 2.52 bc | 59.50 ± 4.43 b–e | 80.62 ± 2.87 ab |
| RI | 40.51 ± 2.74 cd | 65.38 ± 2.91 bc | 69.66 ± 3.28 a–c | |
| RIG | 26.94 ± 3.25 fg | 56.10 ± 2.89 c–f | 63.96 ± 4.03 b–d | |
| CE | 29.28 ± 1.11 e–g | 47.28 ± 4.06 f | 51.62 ± 5.59 cd | |
| DV | 50.57 ± 2.24 b | 68.32 ± 4.98 b | 75.76 ± 4.67 ab | |
| MIX | 73.27 ± 5.32 a | 82.73 ± 5.54 a | 89.83 ± 3.69 a | |
| Sorbonne | FM | 37.66 ± 4.57 c–e | 52.50 ± 2.27 ef | 64.33 ± 1.45 b–d |
| RI | 32.78 ± 2.51 d–f | 58.34 ± 3.44 b–e | 61.22 ± 5.54 b–d | |
| RIG | 23.11 ± 2.08 fg | 56.20 ± 2.49 c–f | 59.63 ± 6.11 b–d | |
| CE | 20.51 ± 1.69 g | 36.41 ± 1.91 g | 42.00 ± 4.59 d | |
| DV | 41.86 ± 4.26 b–d | 54.50 ± 3.42 d–f | 61.33 ± 2.41 b–d | |
| MIX | 39.26 ± 1.96 c–e | 63.42 ± 4.68 b–d | 79.29 ± 4.68 ab |
Disclaimer/Publisher’s Note: The statements, opinions and data contained in all publications are solely those of the individual author(s) and contributor(s) and not of MDPI and/or the editor(s). MDPI and/or the editor(s) disclaim responsibility for any injury to people or property resulting from any ideas, methods, instructions or products referred to in the content. |
© 2026 by the authors. Licensee MDPI, Basel, Switzerland. This article is an open access article distributed under the terms and conditions of the Creative Commons Attribution (CC BY) license.
Share and Cite
Hussain, H.A.; Liang, Z.; Hussain, S.; Luo, J.; Sui, S.; Liu, D. Harnessing Arbuscular Mycorrhizal Symbiosis to Enhance Growth and Resilience to Combined Drought and Heat Stress in Lily (Lilium spp.). Plants 2026, 15, 767. https://doi.org/10.3390/plants15050767
Hussain HA, Liang Z, Hussain S, Luo J, Sui S, Liu D. Harnessing Arbuscular Mycorrhizal Symbiosis to Enhance Growth and Resilience to Combined Drought and Heat Stress in Lily (Lilium spp.). Plants. 2026; 15(5):767. https://doi.org/10.3390/plants15050767
Chicago/Turabian StyleHussain, Hafiz Athar, Zhanhuai Liang, Shujaat Hussain, Jianghui Luo, Shunzhao Sui, and Daofeng Liu. 2026. "Harnessing Arbuscular Mycorrhizal Symbiosis to Enhance Growth and Resilience to Combined Drought and Heat Stress in Lily (Lilium spp.)" Plants 15, no. 5: 767. https://doi.org/10.3390/plants15050767
APA StyleHussain, H. A., Liang, Z., Hussain, S., Luo, J., Sui, S., & Liu, D. (2026). Harnessing Arbuscular Mycorrhizal Symbiosis to Enhance Growth and Resilience to Combined Drought and Heat Stress in Lily (Lilium spp.). Plants, 15(5), 767. https://doi.org/10.3390/plants15050767

