Sign in to use this feature.

Years

Between: -

Subjects

remove_circle_outline
remove_circle_outline
remove_circle_outline
remove_circle_outline
remove_circle_outline
remove_circle_outline
remove_circle_outline

Journals

Article Types

Countries / Regions

Search Results (10)

Search Parameters:
Keywords = SSC quality monitoring and control

Order results
Result details
Results per page
Select all
Export citation of selected articles as:
19 pages, 5098 KB  
Article
Quantification of Suspended Sediment Concentration Using Laboratory Experimental Data and Machine Learning Model
by Sathvik Reddy Nookala, Jennifer G. Duan, Kun Qi, Jason Pacheco and Sen He
Water 2025, 17(15), 2301; https://doi.org/10.3390/w17152301 - 2 Aug 2025
Viewed by 866
Abstract
Monitoring sediment concentration in water bodies is crucial for assessing water quality, ecosystems, and environmental health. However, physical sampling and sensor-based approaches are labor-intensive and unsuitable for large-scale, continuous monitoring. This study employs machine learning models to estimate suspended sediment concentration using images [...] Read more.
Monitoring sediment concentration in water bodies is crucial for assessing water quality, ecosystems, and environmental health. However, physical sampling and sensor-based approaches are labor-intensive and unsuitable for large-scale, continuous monitoring. This study employs machine learning models to estimate suspended sediment concentration using images captured in natural light, named RGB, and near-infrared (NIR) conditions. A controlled dataset of approximately 1300 images with SSC values ranging from 1000 mg/L to 150,000 mg/L was developed, incorporating temperature, time of image capture, and solar irradiance as additional features. Random forest regression and gradient boosting regression were trained on mean RGB values, red reflectance, time of captured, and temperature for natural light images, achieving up to 72.96% accuracy within a 30% relative error. In contrast, NIR images leveraged gray-level co-occurrence matrix texture features and temperature, reaching 83.08% accuracy. Comparative analysis showed that ensemble models outperformed deep learning models like Convolutional Neural Networks and Multi-Layer Perceptrons, which struggled with high-dimensional feature extraction. These findings suggest that using machine learning models and RGB and NIR imagery offers a scalable, non-invasive, and cost-effective way of sediment monitoring in support of water quality assessment and environmental management. Full article
Show Figures

Figure 1

22 pages, 4160 KB  
Article
Evaluating Trends and Insights from Historical Suspended Sediment and Land Management Data in the South Fork Clearwater River Basin, Idaho County, Idaho, USA
by Kevin M. Humphreys and David C. Mays
Hydrology 2025, 12(3), 50; https://doi.org/10.3390/hydrology12030050 - 6 Mar 2025
Viewed by 957
Abstract
In forested watersheds, suspended sediment concentration (SSC) is an important parameter that impacts water quality and beneficial use. Water quality also has impacts beyond the stream channel, as elevated SSC can violate Indigenous sovereignty, treaty rights, and environmental law. To address elevated SSC, [...] Read more.
In forested watersheds, suspended sediment concentration (SSC) is an important parameter that impacts water quality and beneficial use. Water quality also has impacts beyond the stream channel, as elevated SSC can violate Indigenous sovereignty, treaty rights, and environmental law. To address elevated SSC, watershed partners must understand the dynamics of the sediment regime in the basins they steward. Collection of additional data is expensive, so this study presents modeling and analysis techniques to leverage existing data on SSC. Using data from the South Fork Clearwater River in Idaho County, Idaho, USA, we modeled SSC over water years 1986–2011 and we applied regression techniques to evaluate correlations between SSC and natural disturbances (channel-building flow events) and anthropogenic disturbances (timber harvesting, hazardous fuel management, controlled burns, and wildfire). Analysis shows that SSC did not change over the period of record. This study provides a monitoring program design to support future decision making leading to reductions in SSC. Full article
Show Figures

Graphical abstract

14 pages, 2698 KB  
Article
Comparison between Hyperspectral and Multispectral Retrievals of Suspended Sediment Concentration in Rivers
by Sung Hyun Jung, Siyoon Kwon, Il Won Seo and Jun Song Kim
Water 2024, 16(9), 1275; https://doi.org/10.3390/w16091275 - 29 Apr 2024
Cited by 2 | Viewed by 2687
Abstract
Remote sensing (RS) is often employed to estimate suspended sediment concentration (SSC) in rivers, and the availability of hyperspectral imagery enhances the effectiveness of RS-based water quality monitoring due to its high spectral resolution. Yet, the necessity of hyperspectral imagery for SSC estimation [...] Read more.
Remote sensing (RS) is often employed to estimate suspended sediment concentration (SSC) in rivers, and the availability of hyperspectral imagery enhances the effectiveness of RS-based water quality monitoring due to its high spectral resolution. Yet, the necessity of hyperspectral imagery for SSC estimation in rivers has not been fully validated. This study thus compares the performance of hyperspectral RS with that of multispectral RS by conducting field-scale experiments in shallow rivers. In the field experiments, we measured radiance from a water body mixed with suspended sediments using a drone-mounted hyperspectral sensor, with the sediment and riverbed types considered as controlling factors. We retrieved the SSC from UAV imagery using an optimal band ratio analysis, which successfully estimated SSC distributions in the sand bed conditions with both multispectral and hyperspectral data. In the vegetated bed conditions, meanwhile, the prediction accuracy decreased significantly due to the temporally varying bottom reflectance associated with the random movement of vegetation caused by near-bed turbulence. This is because temporally inhomogeneous bottom reflectance distorts the relationship between the SSC and total reflectance. Nevertheless, the hyperspectral imaging exhibited better prediction accuracy than the multispectral imaging, effectively extracting optimal spectral bands sensitive to back-scattered reflectance from sediments while constraining the bottom reflectance caused by the vegetation-covered bed. Full article
(This article belongs to the Special Issue Contaminant Transport Modeling in Aquatic Environments)
Show Figures

Figure 1

14 pages, 3795 KB  
Article
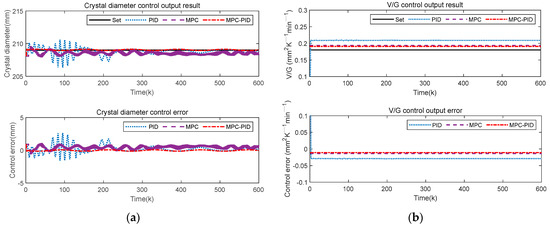
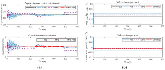
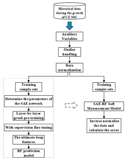
Study on the Hierarchical Predictive Control of Semiconductor Silicon Single Crystal Quality Based on the Soft Sensor Model
by Yin Wan, Ding Liu, Jun-Chao Ren and Shi-Hai Wu
Sensors 2023, 23(5), 2830; https://doi.org/10.3390/s23052830 - 5 Mar 2023
Viewed by 2730
Abstract
Silicon single crystal (SSC) quality monitoring and control has been a hot research topic in the field of the Czochralski crystal growth process. Considering that the traditional SSC control method ignores the crystal quality factor, this paper proposes a hierarchical predictive control strategy [...] Read more.
Silicon single crystal (SSC) quality monitoring and control has been a hot research topic in the field of the Czochralski crystal growth process. Considering that the traditional SSC control method ignores the crystal quality factor, this paper proposes a hierarchical predictive control strategy based on a soft sensor model for online control of SSC diameter and crystal quality. First, the proposed control strategy considers the V/G variable (V is the crystal pulling rate, and G is the axial temperature gradient at the solid–liquid interface), a factor related to crystal quality. Aiming at the problem that the V/G variable is difficult to measure directly, a soft sensor model based on SAE-RF is established to realize the online monitoring of the V/G variable and then complete hierarchical prediction control of SSC quality. Second, in the hierarchical control process, PID control of the inner layer is used to quickly stabilize the system. Model predictive control (MPC) of the outer layer is used to handle system constraints and enhance the control performance of the inner layer. In addition, the SAE-RF-based soft sensor model is used to monitor the crystal quality V/G variable online, thereby ensuring that the output of the controlled system meets the desired crystal diameter and V/G requirements. Finally, based on the industrial data of the actual Czochralski SSC growth process, the effectiveness of the proposed crystal quality hierarchical predictive control method is verified. Full article
(This article belongs to the Section Physical Sensors)
Show Figures

Figure 1

18 pages, 11214 KB  
Article
Analysis of Nutrients and Volatile Compounds in Cherry Tomatoes Stored at Different Temperatures
by Dan Wang, Yujiao Wang, Zhenzhen Lv, Zhiming Pan, Yunlu Wei, Chang Shu, Qingxiao Zeng, Yinnan Chen and Wen Zhang
Foods 2023, 12(1), 6; https://doi.org/10.3390/foods12010006 - 20 Dec 2022
Cited by 21 | Viewed by 3295
Abstract
Monitoring of the quality change of cherry tomatoes during storage is very important for the quality control of cherry tomatoes. In this study, the soluble solids content (SSC), reducing sugars (RSs), titratable acids (TAs), ascorbic acid (AA) and lycopene of cherry tomatoes during [...] Read more.
Monitoring of the quality change of cherry tomatoes during storage is very important for the quality control of cherry tomatoes. In this study, the soluble solids content (SSC), reducing sugars (RSs), titratable acids (TAs), ascorbic acid (AA) and lycopene of cherry tomatoes during storage at 0, 4, 10 or 25 °C were measured, and the kinetic models were established. The results showed that the zero-order reaction combined with the Arrhenius kinetic model could be used for the prediction of changes in SS, RS and AA content. The first-order reaction combined with the Arrhenius kinetic model could be used for the prediction of changes in the TA and lycopene content. The volatile compounds of cherry tomatoes were simultaneously determined by the gas chromatography–mass spectrometry (GC–MS) and electronic nose (E-nose). A total of 104 volatile compounds were identified by GC–MS. Orthogonal partial least squares discriminant analysis (OPLS-DA) showed that there were 13 different metabolites among cherry tomatoes with different freshness. The accuracies of Fisher’s models based on E-nose for discriminating freshness of cherry tomatoes stored at 0, 4, 10 and 25 °C were 96%, 100%, 92% and 90%, respectively. This study provides a theoretical basis for the quality control of cherry tomatoes during storage. Full article
(This article belongs to the Section Food Packaging and Preservation)
Show Figures

Figure 1

10 pages, 842 KB  
Article
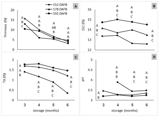
Quality of ‘Hayward’ Kiwifruit in Prolonged Cold Storage as Affected by the Stage of Maturity at Harvest
by Tal Goldberg, Harel Agra and Ruth Ben-Arie
Horticulturae 2021, 7(10), 358; https://doi.org/10.3390/horticulturae7100358 - 3 Oct 2021
Cited by 13 | Viewed by 3869
Abstract
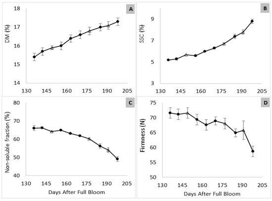
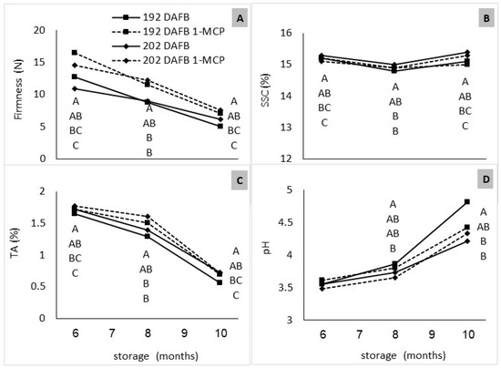
The effect of ‘Hayward’ kiwifruit maturity at harvest on fruit quality during long-term storage at −0.5 °C was evaluated by harvesting the fruit several times, at different stages of maturity. The progress of maturation on the vine was monitored weekly from 136 DAFB [...] Read more.
The effect of ‘Hayward’ kiwifruit maturity at harvest on fruit quality during long-term storage at −0.5 °C was evaluated by harvesting the fruit several times, at different stages of maturity. The progress of maturation on the vine was monitored weekly from 136 DAFB (days after full bloom). Fruit were harvested for storage at three points and stored for 3–6 months in regular air (RA), or for 6–10 months in a controlled atmosphere (CA), with or without prestorage exposure to 1-methylcyclopropene (1-MCP). The softening rate under both storage regimes decreased with the advance in fruit maturation on the vine, as indicated by increasing soluble solids content (SSC), and declining firmness. As a result, the fruit from the first harvest (152 DAFB), which were the firmest at harvest, were the softest at the end of both storage regimes. Delaying harvest also decelerated the decline in acidity during storage, so that fruit picked last maintained the highest titratable acidity (TA) upon removal from storage. The overall fruit quality after shelf life, following prolonged storage in either RA or CA, was improved by delaying harvest to late November (ca. 200 DAFB). The harvest criteria for fruit with the best storage potential were dry matter (DM) > 17%, SSC > 7%, TA 2.0–2.6%, with more than 40% of the DM non soluble. From a commercial aspect the rule should therefore be ‘Last in, last out’ (LILO). Full article
(This article belongs to the Section Postharvest Biology, Quality, Safety, and Technology)
Show Figures

Figure 1

10 pages, 1667 KB  
Article
The Effect of Controlled-Release Carvacrol on Safety and Quality of Blueberries Stored in Perforated Packaging
by Xiuxiu Sun, Randall G. Cameron, Anne Plotto, Tian Zhong, Christopher M. Ference and Jinhe Bai
Foods 2021, 10(7), 1487; https://doi.org/10.3390/foods10071487 - 26 Jun 2021
Cited by 35 | Viewed by 3927
Abstract
The objective of this research was to evaluate the use of a controlled-release carvacrol powder to delay storage decay and maintain the safety of blueberries. The controlled-release carvacrol powder was a microcapsule of carvacrol (11% (w/w) active carvacrol) surrounded [...] Read more.
The objective of this research was to evaluate the use of a controlled-release carvacrol powder to delay storage decay and maintain the safety of blueberries. The controlled-release carvacrol powder was a microcapsule of carvacrol (11% (w/w) active carvacrol) surrounded by a pectin/sodium alginate matrix. The microcapsules were packed in an air-permeable pouch, and then attached to the top of a clamshell filled with blueberries. The blueberries, inoculated with Escherichia coli or Colletotrichum acutatum, or non-inoculated control, were monitored for microbial growth and quality for 10 days at 10 °C and 5 days at 20 °C. Three treatments were compared: controlled-release microencapsulated carvacrol, non-encapsulated carvacrol, and control. The results showed that both the microencapsulated carvacrol and the non-encapsulated carvacrol treatments significantly reduced the populations of yeast and mold, and of E. coli and mesophilic aerobic bacteria. The microencapsulated carvacrol treated berries retained better quality due to significantly lower weight loss than control after 10 days at 10 °C. Sensory panelists found that the microencapsulated carvacrol berries had significantly higher overall blueberry flavor and lower discernible off-flavor in comparison with the non-encapsulated treatment after 3 days at 20 °C. The fruit internal quality, including total soluble solids content (SSC), and titratable acidity (TA), was not significantly affected by any treatment. These results indicate that pectin/sodium alginate controlled-release microencapsulated carvacrol can be used for the preservation of blueberries or other small fruit. Full article
(This article belongs to the Special Issue Intelligent Packagings for Food Products)
Show Figures

Figure 1

14 pages, 337 KB  
Article
European Web-Based Platform for Recording International Health Regulations Ship Sanitation Certificates: Results and Perspectives
by Varvara A. Mouchtouri, Diederik Van Reusel, Nikolaos Bitsolas, Antonis Katsioulis, Raf Van den Bogaert, Björn Helewaut, Inge Steenhout, Dion Damman, Miguel Dávila Cornejo, Christos Hadjichristodoulou and The EU SHIPSAN ACT Joint Action Partnership
Int. J. Environ. Res. Public Health 2018, 15(9), 1833; https://doi.org/10.3390/ijerph15091833 - 24 Aug 2018
Cited by 3 | Viewed by 4262
Abstract
The purpose of this study was to report the data analysis results from the International Health Regulations (2005) Ship Sanitation Certificates (SSCs), recorded in the European Information System (EIS). International sea trade and population movements by ships can contribute to the global spread [...] Read more.
The purpose of this study was to report the data analysis results from the International Health Regulations (2005) Ship Sanitation Certificates (SSCs), recorded in the European Information System (EIS). International sea trade and population movements by ships can contribute to the global spread of diseases. SSCs are issued to ensure the implementation of control measures if a public health risk exists on board. EIS designed according to the World Health Organization (WHO) “Handbook for Inspection of Ships and Issuance of SSC”. Inspection data were recorded and SSCs issued by inspectors working at European ports were analysed. From July 2011–February 2017, 107 inspectors working at 54 ports in 11 countries inspected 5579 ships. Of these, there were 29 types under 85 flags (including 19 EU Member States flags). As per IHR (2005) 10,281 Ship Sanitation Control Exception Certificates (SSCECs) and 296 Ship Sanitation Control Certificates (SSCCs) were issued, 74 extensions to existing SSCs were given, 7565 inspection findings were recorded, and 47 inspections were recorded without issuing an SSC. The most frequent inspection findings were the lack of potable water quality monitoring reports (23%). Ships aged ≥12 years (odds ratio, OR = 1.77, 95% confidence intervals, CI = 1.37–2.29) with an absence of cargo at time of inspection (OR = 3.36, 95% CI = 2.51–4.50) had a higher probability of receiving an SSCC, while ships under the EU MS flag had a lower probability of having inspection findings (OR = 0.72, 95% CI = 0.66–0.79). Risk factors to prioritise the inspections according to IHR were identified by using the EIS. A global information system, or connection of national or regional information systems and data exchange, could help to better implement SSCs using common standards and procedures. Full article
28 pages, 12719 KB  
Article
Hyperspectral and Multispectral Retrieval of Suspended Sediment in Shallow Coastal Waters Using Semi-Analytical and Empirical Methods
by Xiaochi Zhou, Marco Marani, John D. Albertson and Sonia Silvestri
Remote Sens. 2017, 9(4), 393; https://doi.org/10.3390/rs9040393 - 21 Apr 2017
Cited by 20 | Viewed by 5954
Abstract
Natural lagoons and estuaries worldwide are experiencing accelerated ecosystem degradation due to increased anthropogenic pressure. As a key driver of coastal zone dynamics, suspended sediment concentration (SSC) is difficult to monitor with adequate spatial and temporal resolutions both in the field and using [...] Read more.
Natural lagoons and estuaries worldwide are experiencing accelerated ecosystem degradation due to increased anthropogenic pressure. As a key driver of coastal zone dynamics, suspended sediment concentration (SSC) is difficult to monitor with adequate spatial and temporal resolutions both in the field and using remote sensing. In particular, the spatial resolutions of currently available remote sensing data generated by satellite sensors designed for ocean color retrieval, such as MODIS (Moderate Resolution Imaging Spectroradiometer) or SeaWiFS (Sea-Viewing Wide Field-of-View Sensor), are too coarse to capture the dimension and geomorphological heterogeneity of most estuaries and lagoons. In the present study, we explore the use of hyperspectral (Hyperion) and multispectral data, i.e., the Landsat TM (Thematic Mapper) and ETM+ (Enhanced Thematic Mapper Plus), ASTER (Advanced Spaceborne Thermal Emission and Reflection Radiometer), and ALOS (Advanced Land Observing Satellite), to estimate SSC through semi-analytical and empirical approaches in the Venice lagoon (Italy). Key parameters of the retrieval models are calibrated and cross-validated by matching the remote sensing estimates of SSC with in situ data from a network of water quality sensors. Our analysis shows that, despite the higher spectral resolution, hyperspectral data provide limited advantages over the use of multispectral data, mainly due to information redundancy and cross-band correlation. Meanwhile, the limited historical archive of hyperspectral data (usually acquired on demand) severely reduces the chance of observing high turbidity events, which are relatively rare but critical in controlling the coastal sediment and geomorphological dynamics. On the contrary, retrievals using available multispectral data can encompass a much wider range of SSC values due to their frequent acquisitions and longer historical archive. For the retrieval methods considered in this study, we find that the semi-analytical method outperforms empirical approaches, when applied to both the hyperspectral and multispectral dataset. Interestingly, the improved performance emerges more clearly when the data used for testing are kept separated from those used in the calibration, suggesting a greater ability of semi-analytical models to “generalize” beyond the specific data set used for model calibration. Full article
Show Figures

Graphical abstract

13 pages, 2291 KB  
Article
Postharvest Quality Monitoring and Variance Analysis of Peach and Nectarine Cold Chain with Multi-Sensors Technology
by Xiang Wang, Maja Matetić, Huijuan Zhou, Xiaoshuan Zhang and Tomislav Jemrić
Appl. Sci. 2017, 7(2), 133; https://doi.org/10.3390/app7020133 - 29 Jan 2017
Cited by 40 | Viewed by 6980
Abstract
Fresh peaches and nectarines are very popular for their high nutritional and therapeutic value. Unfortunately, they are prone to rapid deterioration after harvest, especially if the cold chain is not well maintained. The objective of this work is to study the environmental fluctuation [...] Read more.
Fresh peaches and nectarines are very popular for their high nutritional and therapeutic value. Unfortunately, they are prone to rapid deterioration after harvest, especially if the cold chain is not well maintained. The objective of this work is to study the environmental fluctuation and the quality change of fresh peaches and nectarines in cold chain. The temperature, relative humidity, and CO2 level were real-time monitored by sensor nodes with a wireless sensor network (WSN). The cold chain lasted for 16.8 h and consisted of six segments. The dynamic change of temperature, relative humidity, and CO2 level were real-time monitored and analyzed in detail in each of the six stages. The fruit quality index (fruit weight, fruit firmness, and soluble solids concentration (SSC)) were detected and analyzed immediately before the first stage (S1) and at the beginning of the last stage (S6). The results show that without good temperature control fruit softening is the most significant problem, even in a short chain; the WSN node can provide complete and accurate temperature, humidity, and gas monitoring information for cold chains, and can be used to further improve quality and safety assurance for peach fruit cold chains. Full article
Show Figures

Figure 1

Back to TopTop