Evaluating Trends and Insights from Historical Suspended Sediment and Land Management Data in the South Fork Clearwater River Basin, Idaho County, Idaho, USA
Abstract
1. Introduction
- What insights can be gleaned from compiling discharge, concentration, and sediment loading data in the SFCR?
- Are existing topographic, hydrologic, and land use data (e.g., tree harvesting) sufficient to predict sediment loading in the SFCR?
- If not, what measurements would allow such a prediction to be cost-effective?
2. Methods
2.1. Study Area
2.2. Data Accessed
2.3. Estimation of Missing Discharge Data
2.4. Modeling Trends in SSC
2.5. Basin Disturbance Records
2.6. Testing SSC Trend and Disturbance Relationships with Regression Models
3. Results
3.1. Preliminary Analysis
3.2. Time Series Analysis
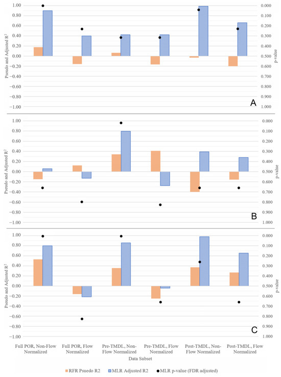
3.3. Regression Analysis
4. Discussion
4.1. Data Limitations
4.2. Model Uncertainties and Error
4.3. Intentions and Effectiveness of TMDL in Addressing Legacy Degradation
5. Conclusions
- Sediment concentration trends did not change meaningfully during the period of record, including before and after the establishment of the TMDL in 2004.
- At this spatial and temporal scale, linkages between anthropogenic disturbances and trends in SSC are unclear, though the existence of such linkages cannot be ruled out.
Supplementary Materials
Author Contributions
Funding
Data Availability Statement
Acknowledgments
Conflicts of Interest
References
- Cole, R.P.; Bladon, K.D.; Wagenbrenner, J.W.; Coe, D.B.R. Hillslope Sediment Production after Wildfire and Post-fire Forest Management in Northern California. Hydrol. Process 2020, 34, 5242–5259. [Google Scholar] [CrossRef]
- Dethier, E.N.; Renshaw, C.E.; Magilligan, F.J. Rapid Changes to Global River Suspended Sediment Flux by Humans. Science 2022, 376, 1447–1452. [Google Scholar] [CrossRef] [PubMed]
- Larsen, M.C.; Gellis, A.C.; Glysson, G.D.; Gray, J.R.; Horowitz, A.J. Fluvial Sediment in the Environment: A National Challenge. In Proceedings of the Joint Federal Interagency Conference 2010: Hydrology and Sedimentation for a Changing Future: Existing and Emerging Issues, Las Vegas, Nevada, USA, 27 June–1 July 2010. [Google Scholar]
- Roper, B.; Saunders, W.C.; Ojala, J.V. The Relationship between Disturbance Events and Substantial Changes in Stream Conditions on Public Lands in the Inland Pacific Northwest. N. Am. J. Fish. Manag. 2022, 43, 268–290. [Google Scholar] [CrossRef]
- Bedient, P.B.; Huber, W.C.; Vieux, B.E. Hydrology and Floodplain Analysis, 6th ed.; Pearson: New York, NY, USA, 2019; ISBN 978-0-13-475197-9. [Google Scholar]
- Wainger, L.A. Opportunities for Reducing Total Maximum Daily Load (TMDL) Compliance Costs: Lessons from the Chesapeake Bay. Environ. Sci. Technol. 2012, 46, 9256–9265. [Google Scholar] [CrossRef]
- Bywater-Reyes, S.; Bladon, K.D.; Segura, C. Relative Influence of Landscape Variables and Discharge on Suspended Sediment Yields in Temperate Mountain Catchments. Water Resour. Res. 2018, 54, 5126–5142. [Google Scholar] [CrossRef]
- Liu, Q.J.; Zhang, H.Y.; Gao, K.T.; Xu, B.; Wu, J.Z.; Fang, N.F. Time-Frequency Analysis and Simulation of the Watershed Suspended Sediment Concentration Based on the Hilbert-Huang Transform (HHT) and Artificial Neural Network (ANN) Methods: A Case Study in the Loess Plateau of China. CATENA 2019, 179, 107–118. [Google Scholar] [CrossRef]
- Navratil, O.; Esteves, M.; Legout, C.; Gratiot, N.; Nemery, J.; Willmore, S.; Grangeon, T. Global Uncertainty Analysis of Suspended Sediment Monitoring Using Turbidimeter in a Small Mountainous River Catchment. J. Hydrol. 2011, 398, 246–259. [Google Scholar] [CrossRef]
- Walling, D.E. The Sediment Delivery Problem. J. Hydrol. 1983, 65, 209–237. [Google Scholar] [CrossRef]
- Fryirs, K. (Dis) Connectivity in Catchment Sediment Cascades: A Fresh Look at the Sediment Delivery Problem. Earth Surf. Process Landf. 2013, 38, 30–46. [Google Scholar] [CrossRef]
- McEachran, Z.P.; Karwan, D.L.; Slesak, R.A. Direct and Indirect Effects of Forest Harvesting on Sediment Yield in Forested Watersheds of the United States. J. Am. Water Resour. Assoc. 2021, 57, 1–31. [Google Scholar] [CrossRef]
- Edwards, P.J.; Williard, K.W.J.; Kochenderfer, J.N. Sampling Considerations for Establishment of Baseline Loadings from Forested Watersheds for TMDL Application. Env. Monit. Assess. 2004, 98, 201–223. [Google Scholar] [CrossRef] [PubMed]
- Ouyang, Y. A Gap-Filling Tool: Predicting Daily Sediment Loads Based on Sparse Measurements. Hydrology 2022, 9, 181. [Google Scholar] [CrossRef]
- Davis, C.M.; Fox, J.F. Sediment Fingerprinting: Review of the Method and Future Improvements for Allocating Nonpoint Source Pollution. J. Environ. Eng. 2009, 135, 490–504. [Google Scholar] [CrossRef]
- Mukundan, R.; Walling, D.E.; Gellis, A.C.; Slattery, M.C.; Radcliffe, D.E. Sediment Source Fingerprinting: Transforming From a Research Tool to a Management Tool. J. Am. Water Resour. Assoc. 2012, 48, 1241–1257. [Google Scholar] [CrossRef]
- Voli, M.T.; Wegmann, K.W.; Bohnenstiehl, D.R.; Leithold, E.; Osburn, C.L.; Polyakov, V. Fingerprinting the Sources of Suspended Sediment Delivery to a Large Municipal Drinking Water Reservoir: Falls Lake, Neuse River, North Carolina, USA. J. Soils Sediments 2013, 13, 1692–1707. [Google Scholar] [CrossRef]
- Shah, N.W.; Baillie, B.R.; Bishop, K.; Ferraz, S.; Högbom, L.; Nettles, J. The Effects of Forest Management on Water Quality. For. Ecol. Manag. 2022, 522, 120397. [Google Scholar] [CrossRef]
- Klein, R.D.; Lewis, J.; Buffleben, M.S. Logging and Turbidity in the Coastal Watersheds of Northern California. Geomorphology 2012, 139–140, 136–144. [Google Scholar] [CrossRef]
- Witt, E.L.; Barton, C.D.; Stringer, J.W.; Kolka, R.K.; Cherry, M.A. Influence of Variable Streamside Management Zone Configurations on Water Quality after Forest Harvest. J. For. 2016, 114, 41–51. [Google Scholar] [CrossRef]
- Karwan, D.L.; Gravelle, J.A.; Hubbart, J.A. Effects of Timber Harvest on Suspended Sediment Loads in Mica Creek, Idaho. For. Sci. 2007, 53, 181–188. [Google Scholar] [CrossRef]
- López-Tarazón, J.A.; Estrany, J. Exploring Suspended Sediment Delivery Dynamics of Two Mediterranean Nested Catchments. Hydrol. Process 2017, 31, 698–715. [Google Scholar] [CrossRef]
- Idaho Department of Environmental Quality. Suspended Sediment Patterns in the South Fork Clearwater River and Selected Tributaries; Idaho Department of Environmental Quality: Boise, ID, USA, 2022. [Google Scholar]
- Idaho Department of Environmental Quality, Nez Perce Tribe. South Fork Clearwater River Subbasin Assessment and Total Maximum Daily Loads; U.S. Environmental Protection Agency: Boise, ID, USA, 2004. [Google Scholar]
- U.S. Geological Survey USGS|Streamer. Available online: https://webapps.usgs.gov/streamer/ (accessed on 25 March 2023).
- Nez Perce Tribe Department of Fisheries Resources Management. Management Plan; Nez Perce Tribe: Boise, ID, USA, 2013. [Google Scholar]
- U.S. Forest Service. This Is Who We Are; U.S. Forest Service: Washington, DC, USA, 2019. [Google Scholar]
- Idaho Department of Environmental Quality. About Us; Idaho Department of Environmental Quality: Boise, ID, USA, 2023. [Google Scholar]
- National Oceanic and Atmospheric Administration (NOAA) Fisheries. Endangered Species Act Section 7(a)(2) Consultation Biological Opinion And Magnuson-Stevens Fishery Conservation and Management Act Essential Fish Habitat Consultation; NOAA: Silver Spring, MD, USA, 2008. [Google Scholar]
- U.S. Forest Service. Aquatic Evaluation Report, Federally Listed Species, Species-of-Concern and Species-of-Interest, Nez Perce National Forest; U.S. Forest Service: Washington, DC, USA, 2015. [Google Scholar]
- Anderson, P.G. Sediment Generation from Forestry Operations and Associated Effects on Aquatic Ecosystems. In Proceedings of the Forest-Fish Conference: Land Management Practices Affecting Aquatic Ecosystems, Calgary, AB, Canada, 1–4 May 1996. [Google Scholar]
- Bash, J.; Berman, C.H.; Bolton, S. Effects of Turbidity and Suspended Solids on Salmonids; University of Washington Water Center: Seattle, WA, USA, 2001. [Google Scholar]
- Orndorff, A. Evaluating the Effects of Sedimentation from Forest Roads; University of Florida: Gainesville, FL, USA, 2017. [Google Scholar]
- Quigley, J.T. Experimental Field Manipulation of Stream Temperatures and Suspended Sediment Concentrations: Behavioural and Physiological Effects to Juvenile Chinook Salmon. Ph.D. Thesis, University of British Columbia, Vancouver, BC, Canada, 2009. [Google Scholar] [CrossRef]
- Wenger, A.S.; Harvey, E.; Wilson, S.; Rawson, C.; Newman, S.J.; Clarke, D.; Saunders, B.J.; Browne, N.; Travers, M.J.; Mcilwain, J.L.; et al. A Critical Analysis of the Direct Effects of Dredging on Fish. Fish. 2017, 18, 967–985. [Google Scholar] [CrossRef]
- Berli, B.I.; Gilbert, M.J.H.; Ralph, A.L.; Tierney, K.B.; Burkhardt-Holm, P. Acute Exposure to a Common Suspended Sediment Affects the Swimming Performance and Physiology of Juvenile Salmonids. Comp. Biochem. Physiol. Part A Mol. Integr. Physiol. 2014, 176, 1–10. [Google Scholar] [CrossRef] [PubMed]
- Harvey, B.C.; Lisle, T.E. Effects of Suction Dredging on Streams: A Review and an Evaluation Strategy. Fisheries 1998, 23, 8–17. [Google Scholar] [CrossRef]
- Jensen, D.W.; Steel, E.A.; Fullerton, A.H.; Pess, G.R. Impact of Fine Sediment on Egg-To-Fry Survival of Pacific Salmon: A Meta-Analysis of Published Studies. Rev. Fish. Sci. 2009, 17, 348–359. [Google Scholar] [CrossRef]
- Platts, W.S.; Torquemada, R.J.; McHenry, M.L.; Graham, C.K. Changes in Salmon Spawning and Rearing Habitat from Increased Delivery of Fine Sediment to the South Fork Salmon River, Idaho. Trans. Am. Fish. Soc. 1989, 118, 274–283. [Google Scholar] [CrossRef]
- South Fork Clearwater River Watershed Advisory Group. South Fork Clearwater River TMDL Implementation Plan. 2006. Available online: https://www2.deq.idaho.gov/admin/LEIA/api/document/download/11781 (accessed on 25 February 2025).
- Idaho Department of Environmental Quality. South Fork Clearwater River Sediment Assessment Plan (2023–2027) Version 1.0; Idaho Department of Environmental Quality: Boise, ID, USA, 2023. [Google Scholar]
- Thomas, R.; King, J.G. Sediment Yield and Model Test in Main and South Forks of Red River Water Years 1986–2011. A Report Submitted to the US Department of Agriculture, Forest Service, Boise Adjudication Team and the Nez Perce National Forest; Hydrology Consulting: Boise, ID, USA, 2004. [Google Scholar]
- Goodman, A.C.; Segura, C.; Jones, J.A.; Swanson, F.J. Seventy Years of Watershed Response to Floods and Changing Forestry Practices in Western Oregon, USA. Earth Surf. Process Landf. 2023, 48, 1103–1118. [Google Scholar] [CrossRef]
- Ryan, S.E.; Dixon, M.K. Spatial and Temporal Variability in Stream Sediment Loads Using Examples from the Gros Ventre Range, Wyoming, USA. In Gravel Bed Rivers VI: From Process Understanding to River Restoration. Developments in Earth Surface Processes; Habersack, H., Piegay, H., Rinaldi, M., Eds.; Elsevier: Amsterdam, The Netherlands, 2007; Volume 11, pp. 387–407. [Google Scholar]
- Al-Chokhachy, R.; Black, T.A.; Thomas, C.; Luce, C.H.; Rieman, B.; Cissel, R.; Carlson, A.; Hendrickson, S.; Archer, E.K.; Kershner, J.L. Linkages between Unpaved Forest Roads and Streambed Sediment: Why Context Matters in Directing Road Restoration. Restor. Ecol. 2016, 24, 589–598. [Google Scholar] [CrossRef]
- Bywater-Reyes, S.; Segura, C.; Bladon, K.D. Geology and Geomorphology Control Suspended Sediment Yield and Modulate Increases Following Timber Harvest in Temperate Headwater Streams. J. Hydrol. 2017, 548, 754–769. [Google Scholar] [CrossRef]
- Elliot, W.J.; Page-Dumroese, D.; Robichaud, P.R. The Effects of Forest Management on Erosion and Soil Productivity. In Soil Quality and Soil Erosion; Lal, R., Ed.; CRC Press: Boca Raton, FL, USA, 2018; pp. 195–208. ISBN 978-0-203-73926-6. [Google Scholar]
- Hunsaker, C.T.; Neary, D.G. Sediment Loads and Erosion in Forest Headwater Streams of the Sierra Nevada, California. In Revisiting Experimental Catchment Studies in Forest Hydrology: Proceedings of a Workshop Held During the XXV IUGG General Assembly in Melbourne, June–July 2011; Webb, A.A., Bonell, M., Bren, L., Lane, P.N.J., McGuire, D., Neary, D.G., Nettles, J., Scott, D.F., Stednik, J., Wang, Y., Eds.; Wallingford: International Association of Hydrological Sciences; IAHS Publication 353: Wallingford, UK, 2012; pp. 195–204. [Google Scholar]
- Safeeq, M.; Grant, G.E.; Lewis, S.L.; Hayes, S.K. Disentangling Effects of Forest Harvest on Long-Term Hydrologic and Sediment Dynamics, Western Cascades, Oregon. J. Hydrol. 2020, 580, 124259. [Google Scholar] [CrossRef]
- Cheviron, B.; Delmas, M.; Cerdan, O.; Mouchel, J.-M. Calculation of River Sediment Fluxes from Uncertain and Infrequent Measurements. J. Hydrol. 2014, 508, 364–373. [Google Scholar] [CrossRef]
- Srivastava, A.; Brooks, E.S.; Dobre, M.; Elliot, W.J.; Wu, J.Q.; Flanagan, D.C.; Gravelle, J.A.; Link, T.E. Modeling Forest Management Effects on Water and Sediment Yield from Nested, Paired Watersheds in the Interior Pacific Northwest, USA Using WEPP. Sci. Total Environ. 2020, 701, 134877. [Google Scholar] [CrossRef]
- Yoder, A. High Frequency Total Phosphorus Observations from the Lower Boise River. In Proceedings of the IDEQ Water Quality Workshop 2022, Boise, ID, USA, 16–17 March 2022. [Google Scholar]
- Thomas, R.B. Measuring Suspended Sediment in Small Mountain Streams; Department of Agriculture, Forest Service, Pacific Southwest Forest and Range Experiment Station: Berkeley, CA, USA, 1985; Volume 9, p. 83. [Google Scholar] [CrossRef]
- U.S. Geological Survey. Measurement and Computation of Streamflow; U.S. Geological Survey: Reston, VA, USA, 1982. [Google Scholar]
- R Core Team. R: A Language and Environment for Statistical Computing; R Foundation for Statistical Computing: Vienna, Austria, 2021; Available online: https://www.R-project.org/ (accessed on 25 February 2025).
- U.S. Geological Survey. SF Clearwater River at Stites ID. Available online: https://waterdata.usgs.gov/monitoring-location/13338500/ (accessed on 25 March 2023).
- Colarullo, S.J.; Sullivan, S.L.; McHugh, A.R. Implementation of MOVE.1, Censored MOVE.1, and Piecewise MOVE.1 Low-Flow Regressions with Applications at Partial-Record Streamgaging Stations in New Jersey; U.S. Geological Survey: Reston, VA, USA, 2018. [Google Scholar]
- Hirsch, R.M. A Comparison of Four Streamflow Record Extension Techniques. Water Resour. Res. 1982, 18, 1081–1088. [Google Scholar] [CrossRef]
- Clark, G.M.; Ducar, S.D. Sediment Transport in the Yankee Fork of the Salmon River Near Stanley, Idaho, Water Years 2012–2019; U.S. Geological Survey: Reston, VA, USA, 2021. [Google Scholar]
- Granato, G.E. Computer Programs for Obtaining and Analyzing Daily Mean Streamflow Data from the U.S. Geological Survey National Water Information System Web Site. Appendix 3. Streamflow Record Extension Facilitator (SREF Version 1.0)—A Program for Extending and Augmenting Available Streamflow Data Using Long-Term Streamflow Records from Hydrologically Similar Sites; Open-File Report; U.S. Geological Survey: Reston, VA, USA, 2009. [Google Scholar]
- Appling, A.P.; Leon, M.C.; McDowell, W.H. Reducing Bias and Quantifying Uncertainty in Watershed Flux Estimates: The R Package Loadflex. Ecosphere 2015, 6, 1–25. [Google Scholar] [CrossRef]
- Hirsch, R.M.; Archfield, S.A.; De Cicco, L.A. A Bootstrap Method for Estimating Uncertainty of Water Quality Trends. Environ. Model. Softw. 2015, 73, 148–166. [Google Scholar] [CrossRef]
- Lee, C.J.; Hirsch, R.M.; Schwarz, G.E.; Holtschlag, D.J.; Preston, S.D.; Crawford, C.G.; Vecchia, A.V. An Evaluation of Methods for Estimating Decadal Stream Loads. J. Hydrol. 2016, 542, 185–203. [Google Scholar] [CrossRef]
- Goswami, A.; Paul, P.K.; Rudra, R.; Goel, P.K.; Daggupati, P. Evaluation of Statistical Models: Perspective of Water Quality Load Estimation. J. Hydrol. 2023, 616, 128721. [Google Scholar] [CrossRef]
- Hirsch, R.M.; Moyer, D.L.; Archfield, S.A. Weighted Regressions on Time, Discharge, and Season (WRTDS), with an Application to Chesapeake Bay River Inputs. J. Am. Water Resour. Assoc. 2010, 46, 857–880. [Google Scholar] [CrossRef]
- Hirsch, R.M.; De Cicco, L.A. User Guide to Exploration and Graphics for RivEr Trends (EGRET) and dataRetrieval: R Packages for Hydrologic Data; Techniques and Methods; Version 1.0: Originally posted 8 October 2014; Version 2.0: 5 February 2015; U.S. Geological Survey: Reston, VA, USA, 2015; p. 104. [Google Scholar]
- Oelsner, G.P.; Sprague, L.A.; Murphy, J.C.; Zuellig, R.E.; Johnson, H.M.; Ryberg, K.R.; Falcone, J.A.; Stets, E.G.; Vecchia, A.V.; Riskin, M.L.; et al. Water-Quality Trends in the Nation’s Rivers and Streams, 1972–2012—Data Preparation, Statistical Methods, and Trend Results; Scientific Investigations Report; Version 1.0: Originally posted 4 April 2017; Version 2.0: 1 November 2017; U.S. Geological Survey: Reston, VA, USA, 2017; p. 158. [Google Scholar]
- Zhang, Q.; Hirsch, R.M. River Water-Quality Concentration and Flux Estimation Can Be Improved by Accounting for Serial Correlation Through an Autoregressive Model. Water Resour. Res. 2019, 55, 9705–9723. [Google Scholar] [CrossRef]
- Esri Inc. ArcGIS Pro; Esri Inc.: Redlands, CA, USA, 2022. [Google Scholar]
- Leopold, L.B.; Wolman, M.G.; Miller, J.P.; Wohl, E.E. Fluvial Processes in Geomorphology; Dover, Ed.; Dover Publications, Inc.: Mineola, NY, USA, 2020; ISBN 978-0-486-84552-4. [Google Scholar]
- Ward, A.; Moran, M. A Novel Approach for Estimating the Recurrence Intervals of Channel-Forming Discharges. Water 2016, 8, 269. [Google Scholar] [CrossRef]
- Wolman, M.G.; Miller, J.P. Magnitude and Frequency of Forces in Geomorphic Processes. J. Geol. 1960, 68, 54–74. [Google Scholar] [CrossRef]
- U.S. Water Resources Council. Guidelines for Determining Flood Flow Frequency, Bulletin No. 17B; U.S. Water Resources Council, Subcommittee on Hydrology: Washington, DC, USA, 1982. [Google Scholar]
- Hydrologic Engineering Center. HEC-SSP; Hydrologic Engineering Center: Davis, CA, USA, 2023. [Google Scholar]
- Adamowski, J.; Karapataki, C. Comparison of Multivariate Regression and Artificial Neural Networks for Peak Urban Water-Demand Forecasting: Evaluation of Different ANN Learning Algorithms. J. Hydrol. Eng. 2010, 15, 729–743. [Google Scholar] [CrossRef]
- Smith, P.F.; Ganesh, S.; Liu, P. A Comparison of Random Forest Regression and Multiple Linear Regression for Prediction in Neuroscience. J. Neurosci. Methods 2013, 220, 85–91. [Google Scholar] [CrossRef]
- Zounemat-Kermani, M.; Kişi, Ö.; Adamowski, J.; Ramezani-Charmahineh, A. Evaluation of Data Driven Models for River Suspended Sediment Concentration Modeling. J. Hydrol. 2016, 535, 457–472. [Google Scholar] [CrossRef]
- Breiman, L. Random Forests. Mach. Learn. 2001, 45, 5–32. [Google Scholar] [CrossRef]
- Francke, T.; López-Tarazón, J.A.; Schröder, B. Estimation of Suspended Sediment Concentration and Yield Using Linear Models, Random Forests and Quantile Regression Forests. Hydrol. Process 2008, 22, 4892–4904. [Google Scholar] [CrossRef]
- Liaw, A.; Wiener, M. Classification and Regression by randomForest. R News. 2002, 2/3, 18–22. [Google Scholar]
- Zhang, Q.; Blomquist, J.D.; Moyer, D.L.; Chanat, J.G. Estimation Bias in Water-Quality Constituent Concentrations and Fluxes: A Synthesis for Chesapeake Bay Rivers and Streams. Front. Ecol. Evol. 2019, 7, 109. [Google Scholar] [CrossRef]








| Tributary Basin | Area (km2) 1 | Area (mi2) 1 | SSC Collection (Water Years) | Turbidity Collection (Water Years) |
|---|---|---|---|---|
| Johns Creek | 293 | 113 | 1986–2011 | 1993–2011 |
| Red River | 192 | 74 | 1986–2010 | 1993–2010 |
| South Fork Red River | 99 | 38 | 1995–2010 | 1995–2010 |
Disclaimer/Publisher’s Note: The statements, opinions and data contained in all publications are solely those of the individual author(s) and contributor(s) and not of MDPI and/or the editor(s). MDPI and/or the editor(s) disclaim responsibility for any injury to people or property resulting from any ideas, methods, instructions or products referred to in the content. |
© 2025 by the authors. Licensee MDPI, Basel, Switzerland. This article is an open access article distributed under the terms and conditions of the Creative Commons Attribution (CC BY) license (https://creativecommons.org/licenses/by/4.0/).
Share and Cite
Humphreys, K.M.; Mays, D.C. Evaluating Trends and Insights from Historical Suspended Sediment and Land Management Data in the South Fork Clearwater River Basin, Idaho County, Idaho, USA. Hydrology 2025, 12, 50. https://doi.org/10.3390/hydrology12030050
Humphreys KM, Mays DC. Evaluating Trends and Insights from Historical Suspended Sediment and Land Management Data in the South Fork Clearwater River Basin, Idaho County, Idaho, USA. Hydrology. 2025; 12(3):50. https://doi.org/10.3390/hydrology12030050
Chicago/Turabian StyleHumphreys, Kevin M., and David C. Mays. 2025. "Evaluating Trends and Insights from Historical Suspended Sediment and Land Management Data in the South Fork Clearwater River Basin, Idaho County, Idaho, USA" Hydrology 12, no. 3: 50. https://doi.org/10.3390/hydrology12030050
APA StyleHumphreys, K. M., & Mays, D. C. (2025). Evaluating Trends and Insights from Historical Suspended Sediment and Land Management Data in the South Fork Clearwater River Basin, Idaho County, Idaho, USA. Hydrology, 12(3), 50. https://doi.org/10.3390/hydrology12030050

