Analysis of Nutrients and Volatile Compounds in Cherry Tomatoes Stored at Different Temperatures
Abstract
1. Introduction
2. Materials and Methods
2.1. Samples
2.2. Reagents
2.3. Measurement of Nutritional Quality
2.3.1. Soluble Solids Content (SSC)
2.3.2. Reducing Sugars (RS)
2.3.3. Titratable Acids (TA)
2.3.4. Ascorbic Acid (AA)
2.3.5. Lycopene
2.4. Volatile Compounds Detection
2.4.1. GC–MS Conditions
2.4.2. E-nose Conditions
2.5. Statistical Analysis
2.5.1. Dynamics Modeling
2.5.2. GC–MS Data Processing
2.5.3. E-nose Data Processing
3. Results and Discussion
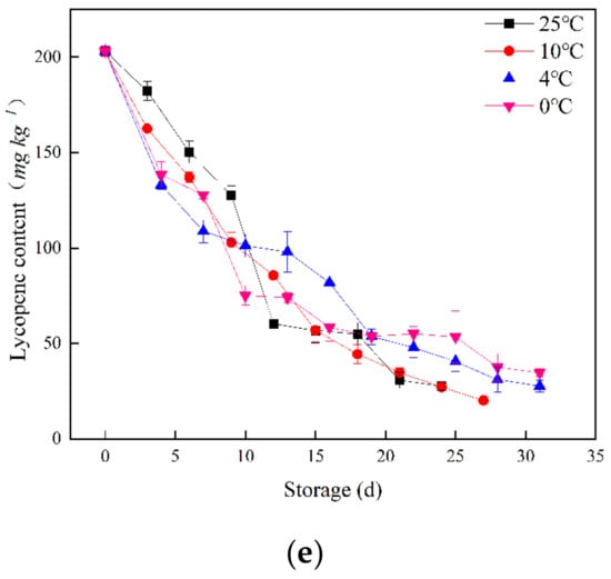
3.1. Effect of Storage Temperature on Nutritional Quality of Cherry Tomatoes
3.2. Effect of Storage Temperature on Volatile Compounds of Cherry Tomatoes
3.3. Modeling the Kinetics of Each Nutrient Component of Cherry Tomatoes at Different Storage Temperatures
3.3.1. Reaction Orders and Rate Constants of Each Nutrient
3.3.2. Activation Energy of Nutritional Quality Changes in Cherry Tomatoes
3.4. Determination of Volatile Compounds in Cherry Tomatoes by GC–MS
3.5. Determination of Volatile Compounds in Cherry Tomatoes by E-nose
3.5.1. PCA Analysis of Freshness of Cherry Tomatoes at Different Storage Temperatures
3.5.2. Development of Fisher’s Discriminant Model for Freshness of Cherry Tomatoes
4. Conclusions
Supplementary Materials
Author Contributions
Funding
Institutional Review Board Statement
Informed Consent Statement
Data Availability Statement
Acknowledgments
Conflicts of Interest
References
- Zhang, L.; Wang, P.; Sun, X.; Chen, F.; Lai, S.; Yang, H. Calcium permeation property and firmness change of cherry tomatoes under ultrasound combined with calcium lactate treatment. Ultrason. Sonochem. 2020, 60, 104784. [Google Scholar] [CrossRef] [PubMed]
- Pobiega, K.; Przybył, J.L.; Żubernik, J.; Gniewosz, M. Correction to: Prolonging the shelf life of cherry tomatoes by pullulan coating with ethanol extract of propolis during refrigerated storage. Food Bioprocess Technol. 2020, 13, 1675. [Google Scholar] [CrossRef]
- Zeng, C.; Tan, P.; Liu, Z. Effect of exogenous ARA treatment for improving postharvest quality in cherry tomato (Solanum lycopersicum L.) fruits. Sci. Hortic.-Amst. 2020, 261, 108959. [Google Scholar] [CrossRef]
- Du, W.; Olsen, C.W.; Avena-Bustillos, R.J.; McHugh, T.H.; Levin, C.E.; Mandrell, R.; Friedman, M. Antibacterial effects of allspice, garlic, and oregano essential oils in tomato films determined by overlay and vapor-phase methods. J. Food Sci. 2009, 74, M390–M397. [Google Scholar] [CrossRef] [PubMed]
- Yun, J.; Fan, X.; Li, X.; Jin, T.Z.; Jia, X.; Mattheis, J.P. Natural surface coating to inactivate Salmonella enterica serovar Typhimurium and maintain quality of cherry tomatoes. Int. J. Food Microbiol. 2015, 193, 59–67. [Google Scholar] [CrossRef] [PubMed]
- Wang, S.; Chu, Z.; Jia, R.; Dan, F.; Shen, X.; Li, Y.; Ding, X. SlMYB12 regulates flavonol synthesis in three different cherry tomato varieties. Sci. Rep. UK 2018, 8, 1582. [Google Scholar] [CrossRef]
- Flores, P.; Sánchez, E.; Fenoll, J.; Hellín, P. Genotypic variability of carotenoids in traditional tomato cultivars. Food Res. Int. 2017, 100, 510–516. [Google Scholar] [CrossRef]
- Tang, Q.; Zhu, F.; Cao, X.; Zheng, X.; Yu, T.; Lu, L. Cryptococcus laurentii controls gray mold of cherry tomato fruit via modulation of ethylene-associated immune responses. Food Chem. 2019, 278, 240–247. [Google Scholar] [CrossRef]
- Hackett, M.M.; Lee, J.H.; Francis, D.; Schwartz, S.J. Thermal stability and isomerization of lycopene in tomato oleoresins from different varieties. J. Food Sci. 2004, 69, 536–541. [Google Scholar] [CrossRef]
- Alves, J.A.; de Cássia Mirela Resende Nassur, R.; Pires, C.R.F.; de Alcântara, E.M.; Giannoni, J.A.; de Oliveira Lima, L.C. Kinects of vitamin C degradation of ‘palmer’ mangoes (Mangifera indica L.) stored at different temperatures. Ciência e Agrotecnologia 2010, 34, 714–721. [Google Scholar] [CrossRef]
- Pinheiro, J.; Alegria, C.; Abreu, M.; Gonçalves, E.M.; Silva, C.L.M. Kinetics of changes in the physical quality parameters of fresh tomato fruits (Solanum lycopersicum, cv. ‘Zinac’) during storage. J. Food Eng. 2013, 114, 338–345. [Google Scholar] [CrossRef]
- Giannakourou, M.C.; Taoukis, P.S. Kinetic modelling of vitamin C loss in frozen green vegetables under variable storage conditions. Food Chem. 2003, 83, 33–41. [Google Scholar] [CrossRef]
- El Hadi, M.A.M.; Zhang, F.; Wu, F.; Zhou, C.; Tao, J. Advances in fruit aroma volatile research. Molecules 2013, 18, 8200–8229. [Google Scholar] [CrossRef] [PubMed]
- Guo, Y.; Chen, D.; Dong, Y.; Ju, H.; Wu, C.; Lin, S. Characteristic volatiles fingerprints and changes of volatile compounds in fresh and dried Tricholoma matsutake Singer by HS-GC-IMS and HS-SPME-GC–MS. J. Chromatogr. B Anal. Technol. Biomed. Life Sci. 2018, 1099, 46–55. [Google Scholar] [CrossRef] [PubMed]
- Beghi, R.; Buratti, S.; Giovenzana, V.; Benedetti, S.; Guidetti, R. Electronic nose and visible-near infrared spectroscopy in fruit and vegetable monitoring. Rev. Anal. Chem. 2017, 36, 375–381. [Google Scholar] [CrossRef]
- Chen, J.; Tao, L.; Zhang, T.; Zhang, J.; Wu, T.; Luan, D.; Ni, L.; Wang, X.; Zhong, J. Effect of four types of thermal processing methods on the aroma profiles of acidity regulator-treated tilapia muscles using E-nose, HS-SPME-GC-MS, and HS-GC-IMS. LWT-Food Sci. Technol. 2021, 147, 111585. [Google Scholar] [CrossRef]
- Baietto, M.; Wilson, A.D. Electronic-nose applications for fruit identification, ripeness and quality grading. Sensors-Basel 2015, 15, 899–931. [Google Scholar] [CrossRef]
- Dou, T.; Shi, J.; Li, Y.; Bi, F.; Gao, H.; Hu, C.; Li, C.; Yang, Q.; Deng, G.; Sheng, O.; et al. Influence of harvest season on volatile aroma constituents of two banana cultivars by electronic nose and HS-SPME coupled with GC-MS. Sci. Hortic. Amst. 2020, 265, 109214. [Google Scholar] [CrossRef]
- Yang, B.; Guo, W.; Li, W.; Li, Q.; Liu, D.; Zhu, X. Portable, visual, and nondestructive detector integrating Vis/NIR spectrometer for sugar content of kiwifruits. J. Food Process Eng. 2018, 42, e12982. [Google Scholar] [CrossRef]
- Zhang, W.; Luo, Z.; Wang, A.; Gu, X.; Lv, Z. Kinetic models applied to quality change and shelf life prediction of kiwifruits. LWT 2021, 138, 110610. [Google Scholar] [CrossRef]
- Da, S.T.; Aguiar-Oliveira, E.; Mazalli, M.R.; Kamimura, E.S.; Maldonado, R.R. Comparison between titrimetric and spectrophotometric methods for quantification of vitamin C. Food Chem. 2017, 224, 92–96. [Google Scholar]
- Marković, K.; Hruškar, M.; Vahčić, N. Lycopene content of tomato products and their contribution to the lycopene intake of Croatians. Nutr. Res. 2006, 26, 556–560. [Google Scholar] [CrossRef]
- Lee, J.H.J.; Jayaprakasha, G.K.; Avila, C.A.; Crosby, K.M.; Patil, B.S. Metabolomic studies of volatiles from tomatoes grown in net-house and open-field conditions. Food Chem. 2019, 275, 282–291. [Google Scholar] [CrossRef]
- Xing, M.; Sun, K.; Liu, Q.; Pan, L.; Tu, K. Development of novel electronic nose applied for strawberry freshness detection during storage. Int. J. Food Eng. 2018, 14, 7–8. [Google Scholar] [CrossRef]
- Kim, A.; Kim, H.; Chun, J.; Heo, H.J.; Kerr, W.L.; Choi, S. Degradation kinetics of phenolic content and antioxidant activity of hardy kiwifruit (Actinidia arguta) puree at different storage temperatures. LWT 2018, 89, 535–541. [Google Scholar] [CrossRef]
- Lamikanra, O.; Chen, J.C.; Banks, D.; Hunter, P.A. Biochemical and microbial changes during the storage of minimally processed cantaloupe. J. Agr. Food Chem. 2000, 48, 5955–5961. [Google Scholar] [CrossRef]
- Martínez-Hernández, G.B.; Boluda-Aguilar, M.; Taboada-Rodríguez, A.; Soto-Jover, S.; Marín-Iniesta, F.; López-Gómez, A. Processing, packaging, and storage of tomato products: Influence on the lycopene content. Food Eng. Rev. 2016, 8, 52–75. [Google Scholar] [CrossRef]
- Burdurlu, H.S.; Koca, N.; Karadeniz, F. Degradation of vitamin C in citrus juice concentrates during storage. J. Food Eng. 2006, 74, 211–216. [Google Scholar] [CrossRef]
- Lambelet, P.; Richelle, M.; Bortlik, K.; Franceschi, F.; Giori, A.M. Improving the stability of lycopene Z-isomers in isomerised tomato extracts. Food Chem. 2009, 112, 156–161. [Google Scholar] [CrossRef]
- Shi, J.; Dai, Y.; Kakuda, Y.; Mittal, G.; Xue, S.J. Effect of heating and exposure to light on the stability of lycopene in tomato purée. Food Control. 2008, 19, 514–520. [Google Scholar] [CrossRef]
- Robertson, G.L.; Samaniego, C.M.L. Effect of initial dissolved oxygen levels on the degradation of ascorbic acid and the browning of lemon juice during storage. J. Food Sci. 1986, 51, 184–187. [Google Scholar] [CrossRef]
- Selli, S.; Kelebek, H.; Ayseli, M.T.; Tokbas, H. Characterization of the most aroma-active compounds in cherry tomato by application of the aroma extract dilution analysis. Food Chem. 2014, 165, 540–546. [Google Scholar] [CrossRef] [PubMed]
- Wang, L.; Baldwin, E.A.; Bai, J. Recent advance in aromatic volatile research in tomato fruit: The metabolisms and regulations. Food Bioprocess Technol. 2016, 9, 203–216. [Google Scholar] [CrossRef]
- Maul, F.; Sargent, S.A.; Sims, C.A.; Baldwin, E.A.; Balaban, M.O.; Huber, D.J. Tomato flavor and aroma quality as affected by storage temperature. J. Food Sci. 2000, 65, 1228–1237. [Google Scholar] [CrossRef]
- Chen, G.; Hackett, R.; Walker, D.; Taylor, A.; Lin, Z.; Grierson, D. Identification of a specific isoform of tomato lipoxygenase (TomloxC) involved in the generation of fatty acid-derived flavor compounds. Plant Physiol. 2004, 136, 2641–2651. [Google Scholar] [CrossRef]
- Nisha, P.; Singhal, R.S.; Pandit, A.B. Kinetic modelling of colour degradation in tomato puree (Lycopersicon esculentum L.). Food Bioprocess Technol. 2011, 4, 781–787. [Google Scholar] [CrossRef]
- Remini, H.; Mertz, C.; Belbahi, A.; Achir, N.; Dornier, M.; Madani, K. Degradation kinetic modelling of ascorbic acid and colour intensity in pasteurised blood orange juice during storage. Food Chem. 2015, 173, 665–673. [Google Scholar] [CrossRef]
- Ceccarelli, A.; Farneti, B.; Khomenko, I.; Cellini, A.; Donati, I.; Aprea, E.; Biasioli, F.; Spinelli, F. Nectarine volatilome response to fresh-cutting and storage. Postharvest Biol. Technol. 2020, 159, 111020. [Google Scholar] [CrossRef]
- Liu, Q.; Sun, K.; Zhao, N.; Yang, J.; Zhang, Y.; Ma, C.; Pan, L.; Tu, K. Information fusion of hyperspectral imaging and electronic nose for evaluation of fungal contamination in strawberries during decay. Postharvest Biol. Technol. 2019, 153, 152–160. [Google Scholar] [CrossRef]
- Feng, L.; Zhang, M.; Bhandari, B.; Guo, Z. A novel method using MOS electronic nose and ELM for predicting postharvest quality of cherry tomato fruit treated with high pressure argon. Comput. Electron. Agric. 2018, 154, 411–419. [Google Scholar] [CrossRef]







| Quality Indices | T (°C) | Zero-Order | First-Order | ||||
|---|---|---|---|---|---|---|---|
| k | R2 | RMSE | k | R2 | RMSE | ||
| Soluble solids content (SSC) | 0 | 0.0835 | 0.9130 | 0.1810 | 0.0146 | 0.9167 | 0.2248 |
| 4 | 0.1081 | 0.9872 | 0.0040 | 0.0197 | 0.9876 | 0.2457 | |
| 10 | 0.1274 | 0.9607 | 0.5920 | 0.0223 | 0.9426 | 0.5176 | |
| 25 | 0.1617 | 0.9447 | 0.1690 | 0.0273 | 0.9157 | 0.0040 | |
| Reducing sugars (RS) | 0 | 0.0353 | 0.9192 | 0.2093 | 0.0118 | 0.8973 | 0.2190 |
| 4 | 0.0156 | 0.9591 | 0.0342 | 0.0156 | 0.9335 | 0.1118 | |
| 10 | 0.0285 | 0.9916 | 0.0678 | 0.0285 | 0.9914 | 0.0951 | |
| 25 | 0.0350 | 0.9676 | 0.1382 | 0.0350 | 0.9253 | 0.2800 | |
| Titratable acids (TA) | 0 | 0.0676 | 0.7816 | 0.4582 | 0.0259 | 0.8759 | 0.2040 |
| 4 | 0.0562 | 0.8507 | 0.7410 | 0.0282 | 0.9435 | 0.4712 | |
| 10 | 0.1050 | 0.8971 | 0.4300 | 0.0382 | 0.9506 | 0.1120 | |
| 25 | 0.1073 | 0.9282 | 0.2160 | 0.0494 | 0.9817 | 0.0080 | |
| Ascorbic acid (AA) | 0 | 0.1768 | 0.9799 | 0.0258 | 0.0141 | 0.9627 | 0.0869 |
| 4 | 0.1841 | 0.9883 | 0.1930 | 0.0149 | 0.9758 | 0.4360 | |
| 10 | 0.1965 | 0.9917 | 0.0865 | 0.0168 | 0.9829 | 0.1720 | |
| 25 | 0.2129 | 0.9580 | 0.1040 | 0.0175 | 0.9602 | 0.1270 | |
| Lycopene | 0 | 0.4634 | 0.8130 | 1.9940 | 0.0669 | 0.9694 | 0.4370 |
| 4 | 0.5099 | 0.8840 | 1.5140 | 0.0684 | 0.9720 | 1.5890 | |
| 10 | 0.6425 | 0.9496 | 1.1380 | 0.0791 | 0.9935 | 0.5260 | |
| 25 | 0.7215 | 0.8667 | 0.6150 | 0.0863 | 0.9574 | 2.0630 | |
| Quality Indices | T (°C) | R2 | A | Ea/(kg mol−1) | Prediction Model |
|---|---|---|---|---|---|
| Soluble solids content (SSC) | 0 | 0.989 | 232.76 | 1.78 × 104 | |
| 4 | |||||
| 10 | |||||
| 25 | |||||
| Reducing sugars (RS) | 0 | 0.991 | 10,938 | 2.84 × 104 | |
| 4 | |||||
| 10 | |||||
| 25 | |||||
| Titratable acids (TA) | 0 | 0.933 | 104.58 | 1.88 × 104 | |
| 4 | |||||
| 10 | |||||
| 25 | |||||
| Ascorbic acid (AA) | 0 | 0.967 | 1.62 | 4.99 × 103 | |
| 4 | |||||
| 10 | |||||
| 25 | |||||
| Lycopene | 0 | 0.905 | 1.77 | 7.40 × 103 | |
| 4 | |||||
| 10 | |||||
| 25 |
| Serial Number | Identified Compounds | VIP | p | Significance | PubChem CID |
|---|---|---|---|---|---|
| 1 | Phenylethyl Alcohol | 6.000 | 0.000 | ** | 6054 |
| 2 | Methyl salicylate | 3.190 | 0.000 | ** | 4133 |
| 3 | Felbamate | 2.120 | 0.000 | ** | 3331 |
| 4 | Benzeneacetaldehyde | 2.100 | 0.000 | ** | 998 |
| 5 | Benzyl alcohol | 2.050 | 0.000 | ** | 244 |
| 6 | Benzaldehyde | 2.040 | 0.000 | ** | 240 |
| 7 | 2-Methylallyl 2-methylbutyrate | 1.960 | 0.000 | ** | 3,019,320 |
| 8 | Styrene | 1.790 | 0.004 | ** | 7501 |
| 9 | Irisone | 1.570 | 0.000 | ** | 5,282,108 |
| 10 | Citral | 1.500 | 0.000 | ** | 638,011 |
| 11 | 1-Heptatriacotanol | 1.160 | 0.000 | ** | 537,071 |
| 12 | alpha-Terpineol | 1.160 | 0.002 | ** | 17,100 |
| 13 | D-Mannose | 1.090 | 0.000 | ** | 18,950 |
| Temperature (°C) | Group | Category | Actual Number of Predicted Samples/Unit | Total Number/pc | Discriminant Accuracy | Total Forecast Rate | ||
|---|---|---|---|---|---|---|---|---|
| 1 | 2 | 3 | ||||||
| 0 | T | 1 | 23 | 0 | 0 | 23 | 100% | 96% |
| 2 | 1 | 27 | 0 | 28 | 96.4% | |||
| 3 | 2 | 0 | 22 | 24 | 91.7% | |||
| V | 1 | 7 | 0 | 0 | 7 | 100% | 97.1% | |
| 2 | 1 | 11 | 0 | 12 | 91.7% | |||
| 3 | 0 | 0 | 0 | 16 | 100% | |||
| 4 | T | 1 | 23 | 0 | 0 | 23 | 100% | 100% |
| 2 | 0 | 28 | 0 | 28 | 100% | |||
| 3 | 0 | 0 | 24 | 24 | 100% | |||
| V | 1 | 7 | 0 | 0 | 7 | 100% | 94.3% | |
| 2 | 2 | 10 | 0 | 12 | 83.3% | |||
| 3 | 0 | 0 | 16 | 16 | 100% | |||
| 10 | T | 1 | 22 | 1 | 0 | 23 | 95.7% | 92% |
| 2 | 1 | 28 | 0 | 29 | 96.6% | |||
| 3 | 1 | 3 | 19 | 23 | 82.6% | |||
| V | 1 | 6 | 1 | 0 | 7 | 85.7% | 91.4% | |
| 2 | 1 | 12 | 1 | 14 | 85.7% | |||
| 3 | 0 | 0 | 14 | 14 | 100% | |||
| 25 | T | 1 | 26 | 0 | 1 | 27 | 96.3% | 90% |
| 2 | 1 | 10 | 2 | 13 | 76.9% | |||
| 3 | 0 | 2 | 18 | 20 | 90.0% | |||
| V | 1 | 12 | 1 | 0 | 13 | 92.3% | 83.3% | |
| 2 | 0 | 5 | 2 | 7 | 71.4% | |||
| 3 | 0 | 2 | 8 | 10 | 80.0% | |||
Disclaimer/Publisher’s Note: The statements, opinions and data contained in all publications are solely those of the individual author(s) and contributor(s) and not of MDPI and/or the editor(s). MDPI and/or the editor(s) disclaim responsibility for any injury to people or property resulting from any ideas, methods, instructions or products referred to in the content. |
© 2022 by the authors. Licensee MDPI, Basel, Switzerland. This article is an open access article distributed under the terms and conditions of the Creative Commons Attribution (CC BY) license (https://creativecommons.org/licenses/by/4.0/).
Share and Cite
Wang, D.; Wang, Y.; Lv, Z.; Pan, Z.; Wei, Y.; Shu, C.; Zeng, Q.; Chen, Y.; Zhang, W. Analysis of Nutrients and Volatile Compounds in Cherry Tomatoes Stored at Different Temperatures. Foods 2023, 12, 6. https://doi.org/10.3390/foods12010006
Wang D, Wang Y, Lv Z, Pan Z, Wei Y, Shu C, Zeng Q, Chen Y, Zhang W. Analysis of Nutrients and Volatile Compounds in Cherry Tomatoes Stored at Different Temperatures. Foods. 2023; 12(1):6. https://doi.org/10.3390/foods12010006
Chicago/Turabian StyleWang, Dan, Yujiao Wang, Zhenzhen Lv, Zhiming Pan, Yunlu Wei, Chang Shu, Qingxiao Zeng, Yinnan Chen, and Wen Zhang. 2023. "Analysis of Nutrients and Volatile Compounds in Cherry Tomatoes Stored at Different Temperatures" Foods 12, no. 1: 6. https://doi.org/10.3390/foods12010006
APA StyleWang, D., Wang, Y., Lv, Z., Pan, Z., Wei, Y., Shu, C., Zeng, Q., Chen, Y., & Zhang, W. (2023). Analysis of Nutrients and Volatile Compounds in Cherry Tomatoes Stored at Different Temperatures. Foods, 12(1), 6. https://doi.org/10.3390/foods12010006

