Sign in to use this feature.

Years

Between: -

Subjects

remove_circle_outline
remove_circle_outline
remove_circle_outline
remove_circle_outline
remove_circle_outline
remove_circle_outline
remove_circle_outline
remove_circle_outline
remove_circle_outline

Journals

remove_circle_outline
remove_circle_outline
remove_circle_outline
remove_circle_outline
remove_circle_outline
remove_circle_outline
remove_circle_outline
remove_circle_outline
remove_circle_outline
remove_circle_outline
remove_circle_outline
remove_circle_outline
remove_circle_outline
remove_circle_outline
remove_circle_outline

Article Types

Countries / Regions

remove_circle_outline
remove_circle_outline
remove_circle_outline
remove_circle_outline
remove_circle_outline

Search Results (1,029)

Search Parameters:
Keywords = SLIT2

Order results
Result details
Results per page
Select all
Export citation of selected articles as:
15 pages, 1341 KB  
Article
The Wave–Particle Dualism of Photons as Seen from an Informational Point of View
by J. Gerhard Müller
Entropy 2025, 27(10), 1037; https://doi.org/10.3390/e27101037 - 3 Oct 2025
Abstract
This paper deals with J. A. Wheeler’s proposal that each piece of reality owes its existence to observation—an approach to physics, which implies that all physical entities at their bottom are informational in character. Focusing on the double-slit experiment with photons, which is [...] Read more.
This paper deals with J. A. Wheeler’s proposal that each piece of reality owes its existence to observation—an approach to physics, which implies that all physical entities at their bottom are informational in character. Focusing on the double-slit experiment with photons, which is the key evidence for the wave–particle dualism of photons, this paper follows Wheeler’s observational approach and interprets this experiment as a question posed to nature. Considering how the enquiry regarding the wave–particle duality of photons is answered by nature, it is shown that experimental questions are being answered by nature in the form of spatiotemporal patterns of elementary observations (EOs) which are binary pieces of information, produced by the dissipation of energy. Working through this line of thought, Wheeler’s statements of “binary information gain”, “observer participance” and the “impossibility of continuum idealizations of physical laws” are elucidated and connections to the Landauer Principle are made. Full article
Show Figures

Figure 1

22 pages, 346 KB  
Review
Serum Factors in Primary Podocytopathies
by Edward John Filippone and John L. Farber
Antibodies 2025, 14(4), 82; https://doi.org/10.3390/antib14040082 - 28 Sep 2025
Abstract
Primary podocytopathies, including minimal change disease (MCD) and focal segmental glomerulosclerosis (FSGS), are caused by a circulating factor or factors injurious to the podocyte. An immunologic origin seems likely based on responsiveness to corticosteroids or other immunosuppressive agents, including calcineurin inhibitors targeting T-cells [...] Read more.
Primary podocytopathies, including minimal change disease (MCD) and focal segmental glomerulosclerosis (FSGS), are caused by a circulating factor or factors injurious to the podocyte. An immunologic origin seems likely based on responsiveness to corticosteroids or other immunosuppressive agents, including calcineurin inhibitors targeting T-cells and rituximab targeting B-cells. Potential non-antibody-mediated circulating factors have been identified, including cardiotrophin-like cytokine 1, soluble urokinase plasminogen activator receptor, and angiopoietin-like 4, among others. More recent research supports a primary antibody pathogenesis, with anti-nephrin antibodies found in a significant percentage of cases. Such antibodies also predict recurrence after transplantation. Other potential antigenic targets besides nephrin include annexin, the proteosome, podocin, and CD40. Additionally, high-resolution confocal microscopy has identified punctate immunoglobulin deposits along the slit diaphragm and podocyte cell body that may or may not colocalize with abnormal punctate nephrin staining and may correlate with detectable circulating antibodies. The success of rituximab in observational studies in both native kidneys and transplants supports a primary role for autoantibodies. We discuss in detail the data supporting putative non-antibody circulating factors, as well as the recent data supporting antibody pathogenesis, which may provide some clues on treating the individual patient. Full article
(This article belongs to the Section Humoral Immunity)
23 pages, 716 KB  
Article
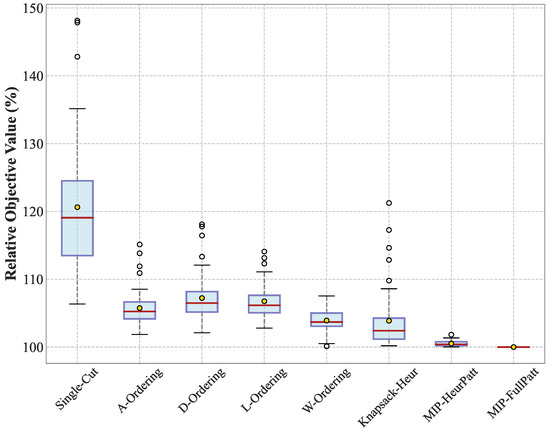
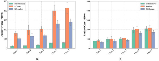
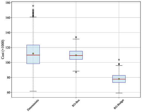
A Robust Optimization Approach for the Multi-Period Strip Cutting Problem with Multi-Cutter Slitting Machines
by Sungwon Hong, Jongyoon Park and Younsoo Lee
Appl. Sci. 2025, 15(19), 10387; https://doi.org/10.3390/app151910387 - 24 Sep 2025
Viewed by 13
Abstract
This paper studies a multi-period strip cutting problem motivated by the paper industry. The focus is on multi-cutter slitting machines, which allow the simultaneous production of items with different lengths and provide higher cutting flexibility compared to conventional single-cutter machines. We propose a [...] Read more.
This paper studies a multi-period strip cutting problem motivated by the paper industry. The focus is on multi-cutter slitting machines, which allow the simultaneous production of items with different lengths and provide higher cutting flexibility compared to conventional single-cutter machines. We propose a pattern-based mixed-integer programming formulation to evaluate the benefits of multi-cutter machines and compare it with heuristic strategies and a single-cutter benchmark. To address demand uncertainty, we extend the model using robust optimization with budgeted uncertainty sets and derive a tractable reformulation. Computational experiments with real-world data show that multi-cutter machines can substantially reduce raw material usage costs compared to the single-cutter setting. Under demand uncertainty, the budgeted robust model provides lower realized costs and smaller variability than both deterministic and box-type robust models. Full article
(This article belongs to the Special Issue Advances in AI and Optimization for Scheduling Problems in Industry)
Show Figures

Figure 1

11 pages, 1743 KB  
Article
Probing Cold Supersonic Jets with Optical Frequency Combs
by Romain Dubroeucq, Quentin Le Mignon, Julien Lecomte, Nicolas Suas-David, Robert Georges and Lucile Rutkowski
Molecules 2025, 30(19), 3863; https://doi.org/10.3390/molecules30193863 - 24 Sep 2025
Viewed by 106
Abstract
We report high-resolution, cavity-enhanced direct frequency comb Fourier transform spectroscopy of cold acetylene (C2H2) molecules in a planar supersonic jet expansion. The experiment is based on a near-infrared frequency comb with a 300 MHz effective repetition rate, matched to [...] Read more.
We report high-resolution, cavity-enhanced direct frequency comb Fourier transform spectroscopy of cold acetylene (C2H2) molecules in a planar supersonic jet expansion. The experiment is based on a near-infrared frequency comb with a 300 MHz effective repetition rate, matched to a high-finesse enhancement cavity traversing the jet. The rotational and translational cooling of acetylene was achieved via expansion in argon carrier gas through a slit nozzle. By interleaving successive mode-resolved spectra measured at different comb repetition rates, we retrieved full absorption line profiles. Spectroscopic analysis reveals sharp, Doppler-limited transitions corresponding to a jet core rotational temperature below 7 K. Frequency comb and cavity stabilization were achieved through active Pound–Drever–Hall locking and mechanical vibration damping, enabling a spectral precision better than 2 MHz, limited by the vibrations induced by the pumping system. The demonstrated sensitivity reaches a minimum detectable absorption of 7.8 × 10−7 cm−1 over an 18 m effective path length in the jet core. This work illustrates the potential of cavity-enhanced direct frequency comb spectroscopy for precise spectroscopic characterization of cold supersonic expansions, with implications for studies in molecular dynamics, reaction kinetics, and laboratory astrophysics. Full article
(This article belongs to the Special Issue Molecular Spectroscopy and Molecular Structure in Europe)
Show Figures

Graphical abstract

25 pages, 7359 KB  
Article
Characterization and Comparison of Polymer Melt Fluidity Across Three Ultrasonic Plasticization Molding Technologies
by Shiyun Wu, Jianjun Du, Junfeng Liang, Likuan Zhu and Jianguo Lei
Polymers 2025, 17(19), 2576; https://doi.org/10.3390/polym17192576 - 24 Sep 2025
Viewed by 128
Abstract
The influence of axial ultrasonic vibration (the dominant vibration mode) on the filling behavior of polymer melt in microcavities and its effect on microstructure formation remains inadequately understood. Based on the plasticization location and the extent to which the microcavity is covered by [...] Read more.
The influence of axial ultrasonic vibration (the dominant vibration mode) on the filling behavior of polymer melt in microcavities and its effect on microstructure formation remains inadequately understood. Based on the plasticization location and the extent to which the microcavity is covered by the ultrasonic sonotrode action surface, existing ultrasonic plasticization molding technologies were classified into three types—ultrasonic pressing (UP), ultrasonic plasticizing and pressing (UPP), and ultrasonic plasticization injection molding (UPIM). The effects of these configurations on melt fluidity and filling performance were evaluated and compared through slit flow tests. The interaction mechanisms between polymer melts and templates were elucidated based on melt pressure measurements and morphological changes in nickel micropillar arrays and silicon templates after molding. The results indicated that polymer melt exhibits improved flow behavior within microcavities when under the coverage area of the ultrasonic sonotrode action surface and subjected to the axial ultrasonic vibration. Continuous ultrasonic vibration contributed to sustaining melt fluidity during micropore filling. Among the three technologies, the most complex and intense mechanical interactions on the template microstructure were observed in UP, followed by UPP and then UPIM. Full article
(This article belongs to the Special Issue Advances in Polymer Molding and Processing)
Show Figures

Graphical abstract

10 pages, 4074 KB  
Case Report
Collision Tumor of Angioimmunoblastic T-Cell Lymphoma and Kaposi Sarcoma in an HIV-Negative Elderly Woman: The First Reported Case in Asia
by Myung-Won Lee and Jin-Man Kim
Diagnostics 2025, 15(18), 2411; https://doi.org/10.3390/diagnostics15182411 - 22 Sep 2025
Viewed by 162
Abstract
Background/Objectives: Angioimmunoblastic T-cell lymphoma (AITL) is a rare peripheral T-cell lymphoma of follicular helper T-cell (TFH) origin, often associated with immune dysregulation and EBV-positive B-cell proliferation. Kaposi sarcoma (KS) is a vascular neoplasm caused by human herpesvirus 8 (HHV-8), typically arising in immunocompromised [...] Read more.
Background/Objectives: Angioimmunoblastic T-cell lymphoma (AITL) is a rare peripheral T-cell lymphoma of follicular helper T-cell (TFH) origin, often associated with immune dysregulation and EBV-positive B-cell proliferation. Kaposi sarcoma (KS) is a vascular neoplasm caused by human herpesvirus 8 (HHV-8), typically arising in immunocompromised individuals. The synchronous occurrence of AITL and KS in HIV-negative patients is exceptionally rare, with only three cases previously reported worldwide. Case Presentation: We describe an 81-year-old HIV-negative Korean woman presenting with progressive generalized edema and dyspnea. Imaging revealed multifocal lymphadenopathy. Excisional biopsy of the inguinal lymph node showed two distinct but adjacent neoplastic processes. The AITL component demonstrated a polymorphous infiltrate of atypical TFH cells expressing CD3, CD4, CD10, PD-1, and Bcl-6, with monoclonal TCR-γ rearrangement and TET2 and RHOA mutations. The KS component comprised spindle cells with slit-like vascular spaces, red blood cell extravasation, and immunoreactivity for HHV-8, CD31, CD34, and ERG. The findings were consistent with a collision tumor. Despite supportive care, the patient’s condition deteriorated, and she was discharged with palliative care. Discussion: The coexistence of AITL and KS in an HIV-negative setting raises important pathogenetic considerations. AITL is characterized by profound immune dysregulation, with depletion of normal T-cell subsets, abnormal B-cell activation, and cytokine milieu changes that may favor latent viral reactivation. This immunologic environment may permit HHV-8 reactivation, thereby facilitating the development of KS even in the absence of overt immunodeficiency due to HIV infection. Our findings support the hypothesis that AITL-related immune dysfunction may create a permissive niche for HHV-8-driven neoplasia. Conclusions: This is the first reported case in Asia and the fourth worldwide of a collision tumor comprising AITL and KS in an HIV-negative patI dient. The case suggests that AITL-associated immune dysregulation may facilitate HHV-8 reactivation and KS development even in the absence of HIV infection. Awareness of this association is critical for accurate diagnosis and optimal patient management. Full article
(This article belongs to the Section Pathology and Molecular Diagnostics)
Show Figures

Figure 1

6 pages, 872 KB  
Proceeding Paper
Temporary Dry Eyes Caused by Eating Fried Foods
by Yung-Fu Liu, Feng-Ming Yeh, Ya-Hui Hsieh, Cheng-Hung Lai, Wei-Hsin Chen and Der-Chin Chen
Eng. Proc. 2025, 103(1), 30; https://doi.org/10.3390/engproc2025103030 - 22 Sep 2025
Viewed by 124
Abstract
Tear osmotic pressure, tear volume, and quality were measured before and after subjects without dry eye syndrome ate fried chicken slices for one week. By analyzing the data, we explored the causes of temporary dry eye syndrome. A 2 mL volume of normal [...] Read more.
Tear osmotic pressure, tear volume, and quality were measured before and after subjects without dry eye syndrome ate fried chicken slices for one week. By analyzing the data, we explored the causes of temporary dry eye syndrome. A 2 mL volume of normal saline was added to fluorescent tear test paper, which was applied to the conjunctiva of the subject, and the tear breakup time and tear lake height were measured with a digital slit lamp. The tear test paper was placed on the outside of the subject’s lower eyelid to test their tear volume. A total of 29 subjects, aged between 20 and 55 years old, ate fried foods for one week. The amount of tears produced before and after they ate fried chicken slices was tested using paired samples t-tests. The tear volume in the left and right eyes decreased at a significance level of p < 0.05. The tear membrane breakup time before and after treatment was analyzed using fluorescent reagents and digital slit lamps. The paired-sample t-test results showed that there was a statistically significant difference (p < 0.05). Eating fried chicken slices for a week significantly contributed to dry eyes, regardless of gender and age. Full article
(This article belongs to the Proceedings of The 8th Eurasian Conference on Educational Innovation 2025)
Show Figures

Figure 1

8 pages, 1355 KB  
Communication
Localized Versus Diffuse Corneal Invasion in Fungal Keratitis: Histological Insights from Candida albicans and Fusarium falciforme
by Johanna Theuersbacher, Lukas Haug, Alexander Maximilian Aldejohann, Grit Walther, Oliver Kurzai, Daniel Kampik and Jost Hillenkamp
J. Fungi 2025, 11(9), 688; https://doi.org/10.3390/jof11090688 - 22 Sep 2025
Viewed by 152
Abstract
Fungal keratitis is a severe infection that often requires surgical intervention and is associated with poor outcomes. Penetrating keratoplasty allows for the complete removal of the fungal infiltrate and thus can be a turning point in therapy. The depth of pathogen invasion, which [...] Read more.
Fungal keratitis is a severe infection that often requires surgical intervention and is associated with poor outcomes. Penetrating keratoplasty allows for the complete removal of the fungal infiltrate and thus can be a turning point in therapy. The depth of pathogen invasion, which cannot always be reliably assessed by slit lamp examination, can be accurately determined through histological analysis of the corneal trephinate. In this study, we histologically analyzed two corneal trephinates obtained during an emergency keratoplasty performed for uncontrollable mycotic infections. In case 1, caused by Candida albicans, the infiltrate remained localized at the site of pathogen entry. In contrast, in case 2, Fusarium falciforme demonstrated extensive tissue invasion, spreading destructively throughout the cornea. This invasion pattern suggests that Fusarium keratitis is difficult to control due to its aggressive spreading behavior within the tissue. This explains the high rate of penetrating keratoplasty required in such cases. Full article
Show Figures

Figure 1

33 pages, 7053 KB  
Article
Simulation Study of Gas Cooling for Aero-Engine Borescope Probes
by Lu Jia, Hao Zeng, Rui Xi, Jingbo Peng and Xinyao Hou
Aerospace 2025, 12(9), 852; https://doi.org/10.3390/aerospace12090852 - 21 Sep 2025
Viewed by 157
Abstract
After an aero-engine shuts down, the high temperature within the core flow path prevents conventional borescope probes from performing immediate internal inspections due to their limited thermal resistance, thereby constraining rapid turnaround capabilities for aircraft. To address this challenge, this study proposes an [...] Read more.
After an aero-engine shuts down, the high temperature within the core flow path prevents conventional borescope probes from performing immediate internal inspections due to their limited thermal resistance, thereby constraining rapid turnaround capabilities for aircraft. To address this challenge, this study proposes an active cooling strategy using coolant flow to keep the probe within a safe temperature range. Three cooling structures incorporating pressure-drop modules—annular, annular-slit, and round-hole configurations—were designed and numerically investigated to assess the effects of geometric parameters and coolant properties (temperature, pressure, nitrogen mixing ratio) on cooling performance. The results demonstrate that the round-hole structure with a 1.0 mm diameter achieves optimal cooling, maintaining an average probe mirror temperature of 286.2 K under coolant conditions of 285 K and 0.5 MPa. Cooling efficiency exhibits a strong linear negative correlation with coolant temperature, while its relationship with pressure is highly structure-dependent. Nitrogen doping significantly improves the heat transfer capacity of the coolant. The implemented three-stage pressure-drop module performs consistently, with the pressure loss per stage determined solely by the inlet pressure. This study provides valuable insights and a theoretical foundation for the design of high-temperature-resistant borescope equipment capable of operating in the harsh environments of aero-engines. Full article
(This article belongs to the Section Aeronautics)
Show Figures

Figure 1

9 pages, 1982 KB  
Case Report
Diagnostic and Therapeutic Challenges in Pseudoangiomatous Stromal Hyperplasia (PASH) of the Breast in a 14-Year-Old Girl: A Case-Based Review
by Patrycja Sosnowska-Sienkiewicz, Przemysław Mańkowski and Danuta Januszkiewicz-Lewandowska
Diagnostics 2025, 15(18), 2395; https://doi.org/10.3390/diagnostics15182395 - 20 Sep 2025
Viewed by 236
Abstract
Introduction: Pseudoangiomatous stromal hyperplasia (PASH) is a benign breast lesion characterized by stromal myofibroblast proliferation forming slit-like pseudoangiomatous spaces. Although most frequently diagnosed in premenopausal women, it has also been reported in adolescent girls, where it may present as a rapidly enlarging mass [...] Read more.
Introduction: Pseudoangiomatous stromal hyperplasia (PASH) is a benign breast lesion characterized by stromal myofibroblast proliferation forming slit-like pseudoangiomatous spaces. Although most frequently diagnosed in premenopausal women, it has also been reported in adolescent girls, where it may present as a rapidly enlarging mass that mimics fibroadenoma or phyllodes tumor. The pathogenesis is thought to be hormonally influenced, particularly by progesterone, with a possible role for estrogen. Case Report: We report the case of a 14-year-old girl who presented with a painless, rapidly growing mass in the left breast, first noticed approximately six months earlier. Clinical examination revealed a mobile lesion about 10 cm in diameter without skin changes, lymphadenopathy, or nipple discharge. Ultrasound and MRI demonstrated a large, well-circumscribed solid tumor (10.4 × 11.2 × 4.2 cm3) displacing normal breast tissue but without infiltration; both were classified as BI-RADS 4. Given the tumor size, diagnostic uncertainty, and potential risk of a non-representative core needle biopsy, a decision was made to proceed with primary radical excision. The mass was completely removed with preservation of the glandular tissue. Histopathology confirmed PASH, described macroscopically as a solid, gray–yellow, encapsulated tumor and microscopically as slit-like spaces lined by spindle cells (CD34+, CD31–). Postoperatively, the breast gradually regained symmetry with the contralateral side, and at 14 months of follow-up, no recurrence was observed. Conclusions: PASH, although benign, may present as a large breast tumor in adolescents and clinically mimic both benign and malignant lesions. Histological evaluation based on an adequately performed biopsy is crucial for accurate diagnosis. Complete excision with capsule preservation is recommended to minimize the risk of recurrence. In adolescents, a watchful waiting approach after surgery may be beneficial, as breast tissue often remodels and regains symmetry spontaneously, reducing the need for reconstructive procedures. This case underscores the importance of individualized diagnostic and therapeutic strategies in managing rare benign breast lesions in pediatric patients. Full article
(This article belongs to the Section Medical Imaging and Theranostics)
Show Figures

Figure 1

18 pages, 2110 KB  
Article
Wettability Effect on Nanoconfined Water’s Spontaneous Imbibition: Interfacial Molecule–Surface Action Mechanism Based on the Integration of Profession and Innovation
by Yanglu Wan, Wei Lu, Yang Jiao, Fulong Li, Mingfang Zhan, Zichen Wang and Zheng Sun
Nanomaterials 2025, 15(18), 1447; https://doi.org/10.3390/nano15181447 - 19 Sep 2025
Viewed by 203
Abstract
The effect of molecule–surface interaction strength on water becomes pronounced when pore size shrinks to the nanoscale, leading to the spatially varying viscosity and water slip phenomena that break the theoretical basis of the classic Lucas–Washburn (L-W) equation for the spontaneous imbibition of [...] Read more.
The effect of molecule–surface interaction strength on water becomes pronounced when pore size shrinks to the nanoscale, leading to the spatially varying viscosity and water slip phenomena that break the theoretical basis of the classic Lucas–Washburn (L-W) equation for the spontaneous imbibition of water. With the purpose of fulfilling the knowledge gap, the viscosity of nanoconfined water is investigated in relation to surface contact angle, a critical parameter manifesting microscopic molecule–surface interaction strength. Then, the water slip length at the nanoscale is determined in accordance with the mechanical balance of the first-layer water molecules, which enlarges gradually with increasing contact angle, indicating a weaker surface–molecule interaction. After that, a novel model for the spontaneous imbibition of nanoconfined water incorporating spatially inhomogeneous water viscosity and water slip is developed for the first time, demonstrating that the conventional model yields overestimations of 16.7–103.2%. Hydrodynamics affected by pore geometry are considered as well. The results indicate the following: (a) Enhanced viscosity resulting from the nanopore surface action reduces the water imbibition distance, the absolute magnitude of which could be 3 times greater than the positive impact of water slip. (b) With increasing pore size, the impact of water slip declines much faster than the enhanced viscosity, leading to the ratio of the nanoconfined water imbibition distance to the result of the L-W equation dropping rapidly at first and then approaching unity. (c) Water imbibition performance in slit nanopores is superior to that in nanoscale capillaries, stemming from the fact that the effective water viscosity in nano-capillaries is greater than that in slit nanopores by 5.1–22.1%, suggesting stronger hydrodynamic resistance. This research is able to provide an accurate prediction of spontaneous imbibition of nanoconfined water with microscopic mechanisms well captured, sharing broad application potential in hydraulic fracturing water analysis and water-flooding-enhanced oil/gas recovery. Full article
Show Figures

Figure 1

47 pages, 3440 KB  
Review
Approach to Studies on Podocyte Lesions Mediated by Hyperglycemia: A Systematic Review
by Jordana Souza Silva, Camila Botelho Miguel, Alberto Gabriel Borges Felipe, Ana Luisa Monteiro dos Santos Martins, Renata Botelho Miguel, Maraiza Oliveira Carrijo, Laise Mazurek, Liliane Silvano Araújo, Crislaine Aparecida da Silva, Aristóteles Góes-Neto, Carlo José Freire Oliveira, Juliana Reis Machado, Marlene Antônia Reis and Wellington Francisco Rodrigues
Int. J. Mol. Sci. 2025, 26(18), 8990; https://doi.org/10.3390/ijms26188990 - 15 Sep 2025
Viewed by 351
Abstract
Podocyte injury is a central event in the pathogenesis of diabetic nephropathy (DN). We conducted a systematic review across four major databases, identifying 7769 records and including 130 studies that met predefined eligibility criteria. Methodological quality was assessed with Joanna Briggs Institute tools, [...] Read more.
Podocyte injury is a central event in the pathogenesis of diabetic nephropathy (DN). We conducted a systematic review across four major databases, identifying 7769 records and including 130 studies that met predefined eligibility criteria. Methodological quality was assessed with Joanna Briggs Institute tools, yielding a mean score of 81.3%, indicating overall moderate-to-high rigor despite design-contingent limitations. Publication activity was sparse until 2018 but increased markedly thereafter, with more than 80% of studies published between 2019 and 2025. Temporal analyses confirmed a strong positive trend (p = 0.86, p < 0.0001), reflecting the rapid expansion of this field. Study designs evolved from early human-only descriptions to integrated multi-model approaches combining human tissue, animal experiments, and in vitro systems, thus balancing clinical relevance with mechanistic exploration. Geographically, Asia emerged as the leading contributor, complemented by increasing multinational collaborations. Mechanistic synthesis highlighted five reproducible pillars of podocyte injury: slit-diaphragm and adhesion failure, mTOR–autophagy–ER stress disequilibrium, mitochondrial and lipid-driven oxidative injury, immune, complement, and inflammasome activation, and epigenetic and transcriptomic reprogramming. Collectively, these findings underscore a convergent mechanistic cascade driving podocyte dysfunction, while also providing a framework for therapeutic interventions aimed at restoring barrier integrity, metabolic balance, and immune regulation in DN. Full article
Show Figures

Figure 1

12 pages, 3923 KB  
Article
Quantitative Study on the Adsorption State of n-Octane in Kaolinite Slit-like Pores Based on Four Angular Parameters
by Fang Zeng, Shansi Tian, Zhentao Dong, Hongli Dong, Bo Liu, Valentina Erastova and Haiyang Liu
Molecules 2025, 30(18), 3739; https://doi.org/10.3390/molecules30183739 - 15 Sep 2025
Viewed by 267
Abstract
Shale oil extraction efficiency hinges on the interfacial interactions between oil molecules and reservoir clay minerals, such as kaolinite, whose slit-like pores serve as primary storage spaces for alkanes. This study introduces a novel multi-dimensional quantification method using four angular parameters—elevation angle (θ), [...] Read more.
Shale oil extraction efficiency hinges on the interfacial interactions between oil molecules and reservoir clay minerals, such as kaolinite, whose slit-like pores serve as primary storage spaces for alkanes. This study introduces a novel multi-dimensional quantification method using four angular parameters—elevation angle (θ), azimuth angle (φ), rotation angle (ω), and dihedral angle (τ)—to systematically investigate the adsorption configuration of n-octane in kaolinite slit pores ranging from 0.45 to 14.05 nm. Through molecular simulations and advanced trajectory analysis, we elucidate the impact of pore sizes on alkane adsorption density, layering, and molecular configurations. Results reveal that pore size regulates molecular behavior via steric hindrance and potential field superposition, while the four angular parameters can effectively capture subtle changes in. this molecular behavior: (1) the elevation angle (θ) around 0° indicates complete alignment parallel to surface, but is modulated at increasing distance from the surface into the pore-region highlighting a disordered state; (2) the azimuth angle (φ) is concentrated at 60° and 120° on the siloxane tetrahedral surface due to lattice regulation, but shows a disordered distribution on the hydroxyl octahedral surface; (3) the rotation angle (ω) is mainly concentrated at 0° and 90° indicating molecular plane being either parallel or perpendicular to the surface; (4) the dihedral angle (τ) remains at ~0°, indicating that the molecular chains are straight. In pores smaller than 4.26 nm, strong confinement yields ordered molecular arrangements (θ = 0°, φ at 60° or 120°, ω = 0°) with high adsorption density; for larger pores than 4.26 nm, disordered configurations and increased layering (up to eight layers) with stable density and adsorption capacity per unit area are observed. The proposed parameter system overcomes limitations of traditional qualitative approaches, offering a standardized, scalable tool for quantifying alkane-clay interactions. This framework enhances understanding of shale oil occurrence mechanisms and supports optimized extraction strategies, with broad applicability to other chain molecules and 2D materials in interface science. Full article
Show Figures

Figure 1

25 pages, 570 KB  
Article
Long-Term Clinical and Molecular Changes in Dry Eye Disease and Chronic Ocular Pain
by Cristina Valencia-Sandonís, Andrés Ángel Calderón-García, Marta Blanco-Vázquez, Laura Valencia-Nieto, Andrea Novo-Diez, Amanda Vázquez, Margarita Calonge, María J. González-García and Amalia Enríquez-de-Salamanca
Int. J. Mol. Sci. 2025, 26(18), 8918; https://doi.org/10.3390/ijms26188918 - 12 Sep 2025
Viewed by 433
Abstract
Dry eye disease (DED) is a prevalent condition characterized by ocular surface inflammation and pain. This study evaluated the long-term progression of DED by analyzing clinical and molecular status, considering the impact of chronic ocular pain. Patients with DED were evaluated at two [...] Read more.
Dry eye disease (DED) is a prevalent condition characterized by ocular surface inflammation and pain. This study evaluated the long-term progression of DED by analyzing clinical and molecular status, considering the impact of chronic ocular pain. Patients with DED were evaluated at two visits (V1 and V2) separated by at least two years. Evaluations included validated symptom questionnaires alongside slit-lamp examination, corneal sensitivity testing, and sub-basal nerve plexus analysis. Basal tear samples were collected for multiplex quantification of 20 cytokines and substance P (SP), and conjunctival cells were obtained to analyze 25 genes and 12 microRNAs (miRNA). Based on the presence or absence of chronic ocular pain, patients were then divided into two groups. Patients improved in DED-related symptoms, with no changes observed in ocular surface signs. Corneal dendritic cell density decreased, along with epidermal growth factor (EGF), fractalkine, and monocyte chemoattractant protein (MCP-1) tear levels, whereas interleukin (IL)-10 and SP tear levels increased. Neurotrophic tyrosine kinase, receptor, type (NTRK)1 gene expression was significantly downregulated, especially in patients without chronic ocular pain. miR-665 expression decreased significantly in DED patients. Monitoring corneal dendritic cells, tear cytokines, and gene/miRNA expression offers promising tools for tracking DED progression. Distinguishing the presence of chronic ocular pain as a separate symptom is crucial to optimizing therapeutic strategies and DED progression. Full article
(This article belongs to the Special Issue Molecular Advances in Dry Eye Syndrome)
Show Figures

Figure 1

14 pages, 2971 KB  
Article
The Realization of One-to-Two-Port Beam Division in a Five-Channel Acoustic System
by Rui Wang, Zhicheng Xu, Shuai Tang, Wencong Zhang, Jiabin Hou, Haipeng Cui and Yang Liu
Entropy 2025, 27(9), 949; https://doi.org/10.3390/e27090949 - 12 Sep 2025
Viewed by 351
Abstract
In this work, one-to-two-port beam division is achieved in a five-channel acoustic system. The adjacent composing channels are connected by space-varying air slits, thus realizing quantum-like adiabatic energy transfer. Equal-weight beam splitting with opposite phases from two different output ports is obtained in [...] Read more.
In this work, one-to-two-port beam division is achieved in a five-channel acoustic system. The adjacent composing channels are connected by space-varying air slits, thus realizing quantum-like adiabatic energy transfer. Equal-weight beam splitting with opposite phases from two different output ports is obtained in a broadband signal of 6 kHz-10.5 kHz. In addition, owing to the existence of distinct evolution paths, one-way beam division is exhibited when a certain loss is evenly exerted inside the system. Furthermore, one-to-m-port beam division can also be achieved by extending the composing channels, thus making it possible to construct an asymmetric acoustic beam splitter. The simulated results verify that the incident waves can be split into opposite directions unidirectionally, which may have potential applications in concealed information transmission and eavesdropping. Full article
(This article belongs to the Special Issue Shortcut to Adiabaticity in Classical and Quantum Systems)
Show Figures

Figure 1

Back to TopTop