Sign in to use this feature.

Years

Between: -

Subjects

remove_circle_outline
remove_circle_outline
remove_circle_outline
remove_circle_outline
remove_circle_outline
remove_circle_outline
remove_circle_outline
remove_circle_outline
remove_circle_outline

Journals

remove_circle_outline
remove_circle_outline
remove_circle_outline
remove_circle_outline
remove_circle_outline
remove_circle_outline
remove_circle_outline
remove_circle_outline
remove_circle_outline
remove_circle_outline
remove_circle_outline
remove_circle_outline
remove_circle_outline
remove_circle_outline
remove_circle_outline
remove_circle_outline
remove_circle_outline
remove_circle_outline
remove_circle_outline

Article Types

Countries / Regions

remove_circle_outline
remove_circle_outline
remove_circle_outline
remove_circle_outline
remove_circle_outline
remove_circle_outline
remove_circle_outline
remove_circle_outline

Search Results (5,739)

Search Parameters:
Keywords = Replication Protein A

Order results
Result details
Results per page
Select all
Export citation of selected articles as:
18 pages, 5272 KB  
Article
Cyclodextrin Counteracts Coxsackievirus-Induced Cardiac Damage by Protecting Desmosome Integrity and Suppressing Proinflammatory Cytokine Expression
by Guangze Zhao, Huifang M. Zhang, Grace J. Zhang, Wenli Yang, Christoph Küper, Bruce M. McManus and Decheng Yang
Microorganisms 2025, 13(10), 2294; https://doi.org/10.3390/microorganisms13102294 - 2 Oct 2025
Abstract
Nuclear factor of activated T cells 5 (NFAT5), an osmosensitive transcription factor, has been shown to protect against coxsackievirus B3 (CVB3)-induced myocarditis but is susceptible to cleavage by viral proteases. Identifying agents that upregulate NFAT5 may offer a novel antiviral strategy. Cyclodextrins, cyclic [...] Read more.
Nuclear factor of activated T cells 5 (NFAT5), an osmosensitive transcription factor, has been shown to protect against coxsackievirus B3 (CVB3)-induced myocarditis but is susceptible to cleavage by viral proteases. Identifying agents that upregulate NFAT5 may offer a novel antiviral strategy. Cyclodextrins, cyclic oligosaccharides that influence cellular osmolality, are promising candidates. In this study, we demonstrate that NFAT5 is critical for maintaining desmosomal integrity in cardiomyocytes. Cardiac-specific Nfat5-knockout mice showed a significant reduction in desmosomes, as observed by transmission electron microscopy. Furthermore, we identified desmoplakin (DSP), a structural desmosomal protein, as a direct transcriptional target of NFAT5, with reduced expression in Nfat5-knockout mouse hearts and NFAT5-knockdown HeLa cells. Notably, treatment with 5 mM cyclodextrin significantly upregulated NFAT5 expression with minimal cytotoxicity, restored DSP expression, and suppressed CVB3 replication by inhibiting viral RNA transcription, protein synthesis, and virion production. Additionally, cyclodextrin reduced mRNA levels of proinflammatory cytokines interleukin-1 beta and interleukin-8, indicating its potential role as an alleviator of excessive cytokine production. These findings identify NFAT5 as a key regulator of desmoplakin expression and prove cyclodextrin as a dual-functioning agent in counteracting cardiac damage through NFAT5-DSP-mediated protection of desmosome integrity and suppressing proinflammatory cytokine expression in CVB3-induced myocarditis. Full article
(This article belongs to the Special Issue Viral Proteases in Viral Infection and Drug Development)
Show Figures

Figure 1

9 pages, 339 KB  
Review
Exploring pUS27: Insights into Its Role in HCMV Pathogenesis and Potential for Antiviral Strategies
by Gage M. Connors and Juliet V. Spencer
Pathogens 2025, 14(10), 993; https://doi.org/10.3390/pathogens14100993 - 1 Oct 2025
Abstract
Human cytomegalovirus (HCMV) is a complex pathogen that encodes a diverse array of proteins essential for its survival and replication within host organisms. Among these proteins, a noteworthy group comprises four chemokine-like G protein-coupled receptors (cellular GPCRs), which play pivotal roles in the [...] Read more.
Human cytomegalovirus (HCMV) is a complex pathogen that encodes a diverse array of proteins essential for its survival and replication within host organisms. Among these proteins, a noteworthy group comprises four chemokine-like G protein-coupled receptors (cellular GPCRs), which play pivotal roles in the virus’s evasion of the host immune response and the establishment of persistent infections. Of particular interest is pUS28, recognized as one of the most extensively studied viral GPCRs (vGPCRs). This receptor has attracted significant attention for its potential as a target for innovative antiviral therapies aimed at addressing HCMV-related diseases. In contrast, pUS27 has not been as thoroughly characterized, presenting a potentially promising avenue for antiviral intervention. The relative scarcity of research surrounding pUS27 underscores an exciting opportunity for further exploration, as a deeper understanding of its functions and mechanisms may reveal novel strategies for combating HCMV infections. This review seeks to synthesize recent advancements in our understanding of pUS27, elucidating its biological roles, interactions, and potential implications for therapeutic development. We will also highlight critical gaps in the existing literature that warrant further investigation, underscoring the need for a more comprehensive understanding of this understudied receptor. By delving into the complexities of pUS27, we aim to inspire future research initiatives that could lead to the development of novel antiviral treatments, thereby enhancing our overall understanding of HCMV pathogenesis. Importance: The study of vGPCRs is essential for understanding how viruses like HCMV manipulate host cell signaling and evade immune responses. While pUS28 has been extensively studied due to its broad chemokine binding and signaling activity, its lesser-known homolog, pUS27, warrants closer attention. Likely arising from a gene duplication event, pUS27 shares approximately 31% sequence identity with pUS28 and is conserved across HCMV strains, suggesting an important functional role. By focusing on pUS27, we may uncover shared mechanisms that allow therapies to effectively target both pUS28 and pUS27, potentially leading to more potent antiviral treatments. The implications of studying pUS27 are profound, as it could play a pivotal role in improving our approaches to combating HCMV and enhancing our overall understanding of immune evasion strategies. Full article
Show Figures

Figure 1

18 pages, 2407 KB  
Article
Mitogenomic Characterization of Microhyla fissipes and Its Implications for Phylogenetic Analysis in Microhylidae
by Siqi Shan, Simin Chen, Chengmin Li, Huiling Huang, Yaqing Liao and Lichun Jiang
Biology 2025, 14(10), 1342; https://doi.org/10.3390/biology14101342 - 1 Oct 2025
Abstract
The microhylid frog Microhyla fissipes is a protected terrestrial wildlife species in China, recognized for its ecological, economic, and scientific value. However, its mitochondrial genome remains poorly characterized. To address this gap, we sequenced and annotated the complete mitogenome of M. fissipes to [...] Read more.
The microhylid frog Microhyla fissipes is a protected terrestrial wildlife species in China, recognized for its ecological, economic, and scientific value. However, its mitochondrial genome remains poorly characterized. To address this gap, we sequenced and annotated the complete mitogenome of M. fissipes to elucidate its structural organization and phylogenetic placement within Microhylidae. The assembled mitogenome is 16,723 bp in length and contains 37 genes, including 13 protein-coding genes, 2 rRNAs, and 22 tRNAs, along with one control region and the origin of heavy-strand replication. We also identified eight overlapping regions and eleven intergenic spacers. The overall base composition showed an A + T bias (59.91%) with negative AT-skew (−0.04) and GC-skew (−0.27). All tRNAs displayed typical cloverleaf secondary structures, except for trnS1, which lacked the D-arm. Phylogenetic reconstruction using both maximum likelihood and Bayesian inference strongly supported the monophyly of Microhylidae and revealed a sister-group relationship between Microhyla and Kaloula. Within Microhyla, M. fissipes was most closely related to M. heymonsi, with which it formed a well-supported clade that also included Microhyla okinavensis, Microhyla mixtura, and Microhyla beilunensis. Selection pressure analysis on protein-coding genes indicated widespread purifying selection (Ka/Ks < 1) across most genes, except for ATP8, COX2, and COX3, which may be under relaxed selective constraints. These findings offer valuable genomic resources for the conservation of M. fissipes and provide new insights into the phylogeny and evolution of microhylid frogs. Full article
(This article belongs to the Special Issue Progress in Wildlife Conservation, Management and Biological Research)
Show Figures

Figure 1

21 pages, 3978 KB  
Article
Role of the Chaperone Protein 14-3-3η in Regulation of the Infection Dynamics of the Influenza A (H1N1) Virus
by Debarima Chatterjee, Partha Pratim Mondal, Anneshwa Bhattacharya and Alok Kumar Chakrabarti
Viruses 2025, 17(10), 1337; https://doi.org/10.3390/v17101337 - 30 Sep 2025
Abstract
The 14-3-3 protein family, which includes the isoforms η, γ, ε, θ, β, and ζ, is essential for controlling a number of pathways linked to DNA and RNA viruses, including HIV, influenza A virus (IAV), measles virus, HRSV, and double-stranded DNA viruses. TRIM32, [...] Read more.
The 14-3-3 protein family, which includes the isoforms η, γ, ε, θ, β, and ζ, is essential for controlling a number of pathways linked to DNA and RNA viruses, including HIV, influenza A virus (IAV), measles virus, HRSV, and double-stranded DNA viruses. TRIM32, an E3 ubiquitin ligase, has been reported to target IAV’s PB1 polymerase for species-specific degradation via ubiquitination. Notably, 14-3-3η binds to phosphorylated TRIM32, preventing its autoubiquitylation and forming soluble but inactive cytoplasmic aggregates that regulate TRIM32 levels. However, the functional link between 14-3-3η, TRIM32, and PB1 during viral infection remains unclear. In this study, we establish a mechanistic connection between 14-3-3η–TRIM32 and TRIM32–PB1 interactions in IAV (H1N1) infection. We demonstrate that 14-3-3η directly interacts with PB1, influencing viral replication. Using transient knockdown models, we show that 14-3-3η deficiency alters influenza virus-induced cytotoxicity, cell death, immune responses, and reactive oxygen species (ROS) production. Additionally, we observe a significant reduction in the soluble TRIM32 levels in 14-3-3η-deficient cells, which leads to increased PB1 accumulation and thus suggests a critical regulatory role for 14-3-3η in PB1 stability. Our findings reveal a novel function of 14-3-3η in influenza virus infection, demonstrating its role in PB1 regulation via TRIM32 and its impact on innate immune activation. This study highlights 14-3-3η as a possible target for antiviral treatments against influenza and offers fresh insights into the host–virus relationship. Full article
(This article belongs to the Special Issue Interplay Between Influenza Virus and Host Factors)
11 pages, 1033 KB  
Brief Report
The Antisense Protein ASP of HIV-1 Enhances Viral Entry in CD4+ T Cells
by Myriam Abla Houmey, Isabella Caico, Aurélie Rivault, Lucile Espert, Jean-Michel Mesnard, Fabio Romerio and Nathalie Chazal
Viruses 2025, 17(10), 1332; https://doi.org/10.3390/v17101332 - 30 Sep 2025
Abstract
The negative strand of the human immunodeficiency virus-1 (HIV-1) proviral genome contains an antisense open reading frame encoding a protein (ASP) with no known homologs. The presence of immune responses to ASP in people living with HIV-1 (PLWH) demonstrates its expression in vivo. [...] Read more.
The negative strand of the human immunodeficiency virus-1 (HIV-1) proviral genome contains an antisense open reading frame encoding a protein (ASP) with no known homologs. The presence of immune responses to ASP in people living with HIV-1 (PLWH) demonstrates its expression in vivo. Further, the predicted hydrophobicity of ASP is consistent with its association with the plasma membrane and viral envelope. Despite this body of evidence, the role of ASP in HIV-1 replication remains unknown. In this report, we investigated the hypothesis that the presence of ASP on the viral surface enhances HIV-1 entry into target cells. We generated an ASP-knockout replication-competent HIV-1 molecular clone in the NL4-3 background, which we used to perform cell–cell fusion, viral entry, and viral replication assays. Our results suggest that the presence of ASP on the plasma membrane of infected cells and the envelope of HIV-1 virions enhances viral transmission. Overall, our studies provide first evidence that ASP plays a role in the HIV-1 replication cycle. Further investigation into these observations may lead to the identification of new HIV-1 vulnerabilities that may be the target of novel interventions. Full article
(This article belongs to the Section Human Virology and Viral Diseases)
Show Figures

Figure 1

14 pages, 1774 KB  
Article
Transcriptome Analysis Reveals Gemykibivirus Infection Induces Mitochondrial DNA Release in HEK293T Cells
by Runbo Yang, Hao Yan, Yifan Wang, Wenqing Yang and Jianru Qin
Viruses 2025, 17(10), 1331; https://doi.org/10.3390/v17101331 - 30 Sep 2025
Abstract
Gemykibivirus, an emerging single-stranded DNA (ssDNA) virus of the recently established genus in the family of Genomoviridae, had been discovered in human blood and cerebrospinal fluid and a variety of other body fluids. However, the molecular mechanisms of gemykibivirus entrance into the host [...] Read more.
Gemykibivirus, an emerging single-stranded DNA (ssDNA) virus of the recently established genus in the family of Genomoviridae, had been discovered in human blood and cerebrospinal fluid and a variety of other body fluids. However, the molecular mechanisms of gemykibivirus entrance into the host cells and its pathogenicity remain poorly understood. To investigate the host response of gemykibivirus, we used an infectious clone of gemykibivirus previously established through molecular biology techniques to rescue virus in HEK293T cells and analyzed the changes in the host transcriptome during the infection period by RNA-Seq. Our findings indicate that gemykibivirus can both express viral proteins and accomplish replication, and high-throughput transcriptome analysis identified a total 1732 significantly different genes. Functional enrichment analysis of Gene Ontology (GO) and Kyoto Encyclopedia of Genes and Genomes (KEGG) pathways for differentially expressed genes (DEGs) showed gemykibivirus involving several important pathways, including MAPK signaling pathway, Chemical carcinogenesis-reactive oxygen species and Oxidative phosphorylation. Interestingly, mitochondrial DNA-encoded mRNAs exhibited varying levels of upregulation, suggesting that gemykibivirus may be involved in mitochondrial fission and the regulation of mitochondrial function. Subsequently, a series of experiments proved that gemykibivirus can lead an increase in mitochondrial DNA copy number, promote the release of mtDNA into the cytoplasm, enhance reactive oxygen species production and trigger other cellular antiviral responses. Overall, we lay a foundation for revealing the relationship between Gemykibivirus and human diseases through mitochondrial functional alterations. Full article
(This article belongs to the Section Human Virology and Viral Diseases)
Show Figures

Figure 1

10 pages, 686 KB  
Article
Agronomic Performance of Cowpea Cultivars During the Second Cropping Season in Southwest Minas Gerais, Brazil
by Antônio Augusto Nogueira Franco, Ricardo Shigueru Okumura, Letícia Priscilla Arantes, Franciane Diniz Cogo, Samy Pimenta, Daiane de Cinque Mariano, Abner José de Carvalho, Ana Carolina Petri Gonçalves and Marcos Vinicius Bohrer Monteiro Siqueira
Agriculture 2025, 15(19), 2055; https://doi.org/10.3390/agriculture15192055 - 30 Sep 2025
Abstract
The cowpea (Vigna unguiculata (L.) Walp.) is well adapted to high temperatures, water deficits and low fertility soils, being widely cultivated in regions less favorable to common beans. Its grains are rich in proteins, vitamins and minerals, representing an important food source [...] Read more.
The cowpea (Vigna unguiculata (L.) Walp.) is well adapted to high temperatures, water deficits and low fertility soils, being widely cultivated in regions less favorable to common beans. Its grains are rich in proteins, vitamins and minerals, representing an important food source and a promising alternative for producing protein at low cost, in a short space of time, given the precocity of its cycle. However, in the state of Minas Gerais there is only a recommendation for one cowpea cultivar, the Poços de Caldas cultivar. In addition to being quite old, it is no longer found in crop production fields. Our objective was to provide local farmers with new cultivar options that exhibit high yield potential, appropriate plant architecture for mechanized cultivation, and superior grain health and quality. The experiments were conducted in Passos city, Brazil, during the second cropping season of the 2021, 2022, and 2023 years. Ten commercial cowpea cultivars were assessed in a randomized block design with five replications, considering morphophysiological traits and phytotechnical yield components. Treatment effects were analyzed using the Scott-Knott test, a statistical method that compares treatments and identifies significant differences among them. The thousand-seed weight and grain index showed a positive correlation with grain yield. The least productive cultivars had the longest pods and, consequently, the highest number of grains per pod. The 2022 and 2023 years provided the most favorable morphophysiological conditions for cowpea cultivation, which significantly enhanced productivity. Among the tested cultivars, BRS Xique-Xique, BRS Novaera, BRS Tumucumaque, and BRS Pajeú were the most suitable for a second cropping season cultivation in the Southwest region of Minas Gerais, while BRS Marataoã, BRS Itaim, and BRS Rouxinol were the least. We emphasize the need for further studies to support the establishment and expansion of cowpea cultivation in this region. Full article
(This article belongs to the Section Crop Production)
Show Figures

Figure 1

21 pages, 1963 KB  
Review
Lipids, Tetraspanins, and Exosomes: Cell Factors in Orthoflavivirus Replication and Propagation
by Magda L. Benitez-Vega, Carlos D. Cordero-Rivera, Jose De Jesus Bravo-Silva, Ricardo Jimenez-Camacho, Carlos Noe Farfan-Morales, Jonathan Hernández-Castillo, Marcos Pérez-García and Rosa M. del Ángel
Viruses 2025, 17(10), 1321; https://doi.org/10.3390/v17101321 - 29 Sep 2025
Abstract
The cellular membrane is a dynamic structure composed of lipids and proteins organized into specialized domains that facilitate interactions between extracellular molecules and the intracellular environment. Tetraspanins are a family of transmembrane proteins involved in diverse cellular processes, including membrane stabilization and fusion, [...] Read more.
The cellular membrane is a dynamic structure composed of lipids and proteins organized into specialized domains that facilitate interactions between extracellular molecules and the intracellular environment. Tetraspanins are a family of transmembrane proteins involved in diverse cellular processes, including membrane stabilization and fusion, endocytosis, extracellular vesicle formation, and the organization of proteins and lipids at specific membrane sites known as Tetraspanin-Enriched Microdomains (TEMs). These lipid–protein interactions play a critical role in the replicative cycle of Orthoflavivirus, including dengue, Zika, and West Nile, by facilitating viral entry, replication, assembly, and egress. In addition, tetraspanins also regulate the biogenesis and function of extracellular vesicles, contributing to viral dissemination, persistent infection, and immune evasion. This review summarizes the current knowledge on the structural and functional aspects of tetraspanins, their interplay with lipids, and their emerging roles in the Orthoflavivirus replicative cycle. We also discuss how these insights may inform the development of antiviral strategies targeting membrane organization and virus–host interactions. Full article
(This article belongs to the Special Issue Dengue, Zika and Yellow Fever Virus Replication)
Show Figures

Figure 1

18 pages, 4107 KB  
Article
Intertypic Recombination Between Coxsackievirus A16 and Enterovirus A71 Structural and Non-Structural Genes Modulates Virulence and Protection Efficacy
by Hooi Yee Chang, Han Kang Tee, Kien Chai Ong, Kartini Jasni, Syahril Abdullah, I.-Ching Sam and Yoke Fun Chan
Vaccines 2025, 13(10), 1017; https://doi.org/10.3390/vaccines13101017 - 29 Sep 2025
Abstract
Background/Objectives: Enterovirus A71 (EV-A71) and coxsackievirus A16 (CVA16) are major causative agents of hand, foot and mouth disease (HFMD), often co-circulating and occasionally undergoing genetic recombination. While natural recombinants often involve genomic regions encoding non-structural proteins, their effects on replication and pathogenesis [...] Read more.
Background/Objectives: Enterovirus A71 (EV-A71) and coxsackievirus A16 (CVA16) are major causative agents of hand, foot and mouth disease (HFMD), often co-circulating and occasionally undergoing genetic recombination. While natural recombinants often involve genomic regions encoding non-structural proteins, their effects on replication and pathogenesis remain unclear. Methods: To address this, four chimera viruses (Chi-CCE, Chi-ECE, Chi-EEC, and Chi-CEC) were constructed with 5′UTR, capsid P1, and non-structural P2 and P3 genes, from CVA16 (denoted as C) or EV-A71 (denoted as E). These chimeras were tested for replication kinetics and cytopathic effects in rhabdomyosarcoma cells while in vivo virulence and protection efficacy were evaluated using a newborn BALB/c mouse model. Results: All chimeric viruses remained viable and exhibited higher replication than CVA16. In vivo, all chimeric viruses were avirulent except Chi-CCE and CVA16, which showed high virulence and viral titres in the brains and limbs of infected newborn mice. This suggests that 5′UTR and capsid P1 genes of CVA16 are critical genetic determinants of virulence. Notably, only the anti-inflammatory cytokine IL-10 was elevated, suggesting potential immune modulation during infection. Inactivated Chi-CCE immunisation conferred 100% protection against lethal CVA16 or mouse-adapted EV-A71 challenge revealing its potential as a bivalent vaccine candidate. Conclusions: Our study demonstrates that recombination between CVA16 and EV-A71 influences viral virulence and protection efficacy with implications for future development of multivalent vaccines. Full article
(This article belongs to the Section Vaccines against Tropical and other Infectious Diseases)
Show Figures

Figure 1

23 pages, 748 KB  
Review
Polyamine Induction of Secondary Metabolite Biosynthetic Genes in Fungi Is Mediated by Global Regulator LaeA and α-NAC Transcriptional Coactivator: Connection to Epigenetic Modification of Histones
by Juan F. Martín
Molecules 2025, 30(19), 3903; https://doi.org/10.3390/molecules30193903 - 27 Sep 2025
Abstract
Polyamines are polycationic compounds present in all living cells that exert functions at different levels in the metabolism. They bind to DNA and RNA and modulate DNA replication and gene expression. Some of these regulatory effects are exerted by promoting condensation of nucleosomes, [...] Read more.
Polyamines are polycationic compounds present in all living cells that exert functions at different levels in the metabolism. They bind to DNA and RNA and modulate DNA replication and gene expression. Some of these regulatory effects are exerted by promoting condensation of nucleosomes, a mechanism closely connected with epigenetic modification by histone methylation and acetylation. The polyamines 1,3-diaminopropane and spermidine induce expression of the global regulator LaeA and increase by several folds the formation of the α-NAC transcriptional co-activator, a subunit of the nascent polypeptide-associated complex. The global regulator LaeA controls the switch from primary growth to secondary metabolite production and differentiation when an essential nutrient in the growth medium becomes limiting. α-NAC exerts significant control over the biosynthesis of secondary metabolites and fungal pathogenicity on plants. When purified α-NAC protein is added to a tomato host plant, it induces plant resistance to fungal infections and triggers the development of system-acquired resistance in other plants. Spermidine extends the life of yeast cells and prolongs the half-life of penicillin gene transcripts in Penicillium chrysogenum. This article discusses advances in the basis of understanding the mechanism of plant–fungi interaction and the effect of small fungal metabolites and epigenetic modifiers in this interaction. Full article
(This article belongs to the Special Issue Natural Products Biosynthesis: Present and Perspectives)
Show Figures

Figure 1

16 pages, 3898 KB  
Article
Selective Degradation and Inhibition of SARS-CoV-2 3CLpro by MMP14 Reveals a Novel Strategy for COVID-19 Therapeutics
by Hyun Lee, Yunjeong Hwang, Elizabeth J. Mulder, Yuri Song, Calista Choi, Lijun Rong, Dimitri T. Azar and Kyu-Yeon Han
Int. J. Mol. Sci. 2025, 26(19), 9401; https://doi.org/10.3390/ijms26199401 - 26 Sep 2025
Abstract
Novel therapies to treat infection by severe acute respiratory syndrome coronavirus 2 (SARS-CoV-2), the cause of respiratory coronavirus disease 2019 (COVID-19), would be of great clinical value to combat the current and future pandemics. Two viral proteases, papain-like protease (PLpro) and [...] Read more.
Novel therapies to treat infection by severe acute respiratory syndrome coronavirus 2 (SARS-CoV-2), the cause of respiratory coronavirus disease 2019 (COVID-19), would be of great clinical value to combat the current and future pandemics. Two viral proteases, papain-like protease (PLpro) and the main protease 3-chymotrypsin-like protease (3CLpro), are vital in processing the SARS-CoV-2 polyproteins (pp1a and pp1ab) and in releasing 16 nonstructural proteins, making them attractive antiviral drug targets. In this study, we investigated the degradation of the SARS-CoV-2 main protease 3CLpro by matrix metalloproteinase-14 (MMP14). MMP14 is known to recognize over 10 distinct substrate cleavage sequences. Through sequence analysis, we identified 17 and 10 putative MMP14 cleavage motifs within the SARS-CoV-2 3CLpro and PLpro proteases, respectively. Despite the presence of potential sites in both proteins, our in vitro proteolysis assays demonstrated that MMP14 selectively binds to and degrades 3CLpro, but not PLpro. This selective proteolysis by MMP14 results in the complete loss of 3CLpro enzymatic activity. In addition, SARS-CoV-2 pseudovirus replication was inhibited in 293 T cells when either full-length MMP14 or its catalytic domain (cat-MMP14) were overexpressed, presumably due to 3CLpro degradation by MMP14. Finally, to prevent MMP14 from degrading off-target proteins, we propose a new recombinant pro-PL-MMP14 construct that can be activated only by another SARS-CoV-2 protease, PLpro. These findings could open the potential of an alternative therapeutic strategy against SARS-CoV-2 infection. Full article
(This article belongs to the Special Issue Advances in Metalloproteinase)
Show Figures

Graphical abstract

19 pages, 1180 KB  
Article
From Waste to Functional Feed Ingredient: Biochemical and SHK-1 Cell Line Evaluation of Black Soldier Fly Larvae for Aquaculture Nutrition
by Julio Camperio, Jorge Parodi, Pamela Olivares-Ferretti, Jorge A. Suarez and Daniel D. Benetti
Antioxidants 2025, 14(10), 1172; https://doi.org/10.3390/antiox14101172 - 26 Sep 2025
Abstract
Black Soldier Fly Larvae Meal (BSFLM) has gained attention as a sustainable feed ingredient in aquaculture, yet its functional properties at the cellular level remain underexplored. This study evaluated the antioxidative and proliferative effects of BSFLM derived from larvae fed different waste-based substrates [...] Read more.
Black Soldier Fly Larvae Meal (BSFLM) has gained attention as a sustainable feed ingredient in aquaculture, yet its functional properties at the cellular level remain underexplored. This study evaluated the antioxidative and proliferative effects of BSFLM derived from larvae fed different waste-based substrates (Kitchen Waste (KW); Agricultural Waste (AW); Aquaculture Sludge (AS); Aquaculture Offal (AO); Mix (MX)), using the Atlantic salmon (Salmo salar) SHK-1 cell line as an in vitro model. BSFLM treatments were assessed through four assays: oxidative stress mitigation under H2O2 exposure, baseline cellular proliferation, proliferation under protein-standardized conditions, and recovery from serum starvation. Each assay was carried out in three independent experiments with three replicates per treatment, and changes in coloration were quantified using MTT (3-(4,5-dimethylthiazol-2-yl)-2,5-diphenyltetrazolium bromide). The results showed that BSFLM from plant-based substrates, particularly MX and KW diets, significantly (p < 0.05) improved cell viability across all assays. Under oxidative stress, MX (121.1% ± 5.9) and AW (119.9% ± 6.1) treatments maintained viability levels comparable to Vitamin C (119.3% ± 3.8) (250 ppm of DSM Stay-C) and the control (137.5% ± 11.6). In proliferation assays, MX (207.6% ± 16.3) and KW (196.3% ± 11.1) outperformed animal-based treatments AO (122.6% ± 4.4) and AS (113.1% ± 3.7), and these effects persisted under protein-standardized conditions, although the statistical significance was reduced. In the recovery from serum starvation assay, cells treated with MX (45.5% ± 1.9) and KW (42.0% ± 0.4) exhibited markedly higher viability than AS (15.5% ± 1.9) and AO (14.8% ± 2.2). The biochemical composition of BSFL reared on different substrates, including proximate, amino acid, fatty acid, and polyphenol profiles, was analyzed to contextualize the observed cellular responses. These findings highlight the superior functional properties of BSFLM derived from plant-based substrates and support its potential use as a targeted functional feed ingredient in aquaculture feed formulations. Full article
(This article belongs to the Special Issue Bioactive Antioxidants from Agri-Food Wastes)
Show Figures

Figure 1

12 pages, 1779 KB  
Article
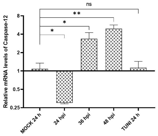
Role of Unfolded Protein Response in the Apoptosis Induced by Alphaarterivirus: IRE1α as an Essential Pathway for In Vitro Replication
by Santiago Emanuel Colina, Macarena Marta Williman, María Soledad Serena, María Gabriela Echeverría and Germán Ernesto Metz
Viruses 2025, 17(10), 1301; https://doi.org/10.3390/v17101301 - 25 Sep 2025
Abstract
The perturbation of ER homeostasis by viral infection gives rise to the unfolded protein response (UPR), characterized by the activation of three signaling pathways. PERK, IRE1, and ATF6 have been identified as the primary mediators responsible for restoring homeostasis or leading to apoptosis [...] Read more.
The perturbation of ER homeostasis by viral infection gives rise to the unfolded protein response (UPR), characterized by the activation of three signaling pathways. PERK, IRE1, and ATF6 have been identified as the primary mediators responsible for restoring homeostasis or leading to apoptosis in response to stress. Alphaarterivirus equid, known as equine arteritis virus (EAV), is a RNA virus with importance in the equine industry that could persist in semen and lead to abortions in pregnant mares. The present article explores the consequences of in vitro infection with the EAV Bucyrus strain on UPR. Employing RT-PCR, qPCR and Western blot, our investigation has revealed the activation of PERK and IRE1α pathways, whilst ATF6 has been suppressed. Furthermore, the p38α MAPK, caspase-12, and CHOP genes were found to be upregulated, demonstrating the induction of apoptosis. Finally, in the inhibition experiments, the PERK pathway was found to be implicated in the modulation of viral replication in the initial phases of infection. Conversely, the IRE1α pathway was identified as the predominant UPR pathway in EAV replication, as evidenced by the complete inhibition of replication observed in these experiments. Consequently, the further exploration of this UPR pathway is necessary to determine whether it can effectively suppress EAV replication. Full article
(This article belongs to the Special Issue Viral RNA and Its Interaction with the Host)
Show Figures

Graphical abstract

15 pages, 1609 KB  
Article
MicroRNAs in BM-MSC-Derived Extracellular Vesicles Promote Angiogenesis: An in Vitro Model Study
by Tomomi Kusakabe, Yoshiki Wada, Tomohiro Umezu, Masahiko Kuroda, Hitoshi Okochi, Toshiya Nishibe, Ayako Inoue, Takahiro Ochiya and Shoji Fukuda
Biomedicines 2025, 13(10), 2353; https://doi.org/10.3390/biomedicines13102353 - 25 Sep 2025
Abstract
Background/Objectives: Critical limb ischemia (CLI) is a severe manifestation of peripheral arterial disease with limited treatment options. Mesenchymal stromal cell (MSC) therapy has shown promise, but variability in efficacy suggests that paracrine mechanisms, particularly extracellular vesicle (EV)-associated microRNAs (miRNAs), may play a central [...] Read more.
Background/Objectives: Critical limb ischemia (CLI) is a severe manifestation of peripheral arterial disease with limited treatment options. Mesenchymal stromal cell (MSC) therapy has shown promise, but variability in efficacy suggests that paracrine mechanisms, particularly extracellular vesicle (EV)-associated microRNAs (miRNAs), may play a central role. Methods: We analyzed angiogenesis-related miRNAs in bone marrow-derived MSCs (BM-MSCs) and their EVs. Five angiomiRs (miR-9, miR-105, miR-126, miR-135b, miR-210) were examined; only miR-126, miR-135b, and miR-210 were consistently detected in EVs. Expression variability was assessed across donor age and individuals. Functional evaluation was performed using co-culture of BM-MSCs with human umbilical vein endothelial cells (HUVECs) and by transfecting synthetic miRNAs into HUVECs. Tube formation assays quantified angiogenesis, and angiogenesis-related protein expression (VEGF, FGF, Endoglin, uPA) was analyzed. Biological replicates (multiple donors) and technical replicates (duplicate assays) were clearly defined to ensure reproducibility. Results: Co-culture of BM-MSCs and HUVECs significantly enhanced angiogenesis in a dose-dependent manner. EVs selectively packaged angiogenic miRNAs, with expression levels varying according to donor age and inter-individual variability. Transfection of miR-126, miR-135b, and miR-210 individually enhanced tube formation, while the miR-126 + miR-135b combination and triple transfection elicited the strongest effects. Protein analysis confirmed upregulation of VEGF, FGF, and Endoglin. Notably, miR-210 did not further enhance angiogenesis beyond miR-126 + miR-135b but may exert context-dependent effects. Conclusions: This study demonstrates that BM-MSC-derived EV miRNAs promote angiogenesis via combinatorial mechanisms, providing mechanistic support for ongoing CLI therapy. Our findings highlight the translational potential of EV-based nucleic acid therapeutics for ischemic disease. Full article
Show Figures

Figure 1

15 pages, 1662 KB  
Article
Eicosapentaenoic Acid and Urolithin a Synergistically Mitigate Heat Stroke-Induced NLRP3 Inflammasome Activation in Microglial Cells
by Hyunji Cho, Judy Kim, Yongsoon Park, Young-Cheul Kim and Soonkyu Chung
Nutrients 2025, 17(19), 3063; https://doi.org/10.3390/nu17193063 - 25 Sep 2025
Abstract
Background/Objectives: Global warming and concomitant extreme weather events have markedly increased the incidence of heat stroke. Heat stroke (HS) poses a substantial threat to cerebral health by triggering neuroinflammation and accelerating neurodegenerative processes. The activation of the Nod-like receptor protein 3 (NLRP3) [...] Read more.
Background/Objectives: Global warming and concomitant extreme weather events have markedly increased the incidence of heat stroke. Heat stroke (HS) poses a substantial threat to cerebral health by triggering neuroinflammation and accelerating neurodegenerative processes. The activation of the Nod-like receptor protein 3 (NLRP3) inflammasome for interleukin-1β (IL-1β) secretion has been implicated as a critical mechanism underlying HS-related fatalities. However, the potential role of specific dietary factors to counteract heat stroke-induced neurotoxicity remains largely underexplored. We previously reported that eicosapentaenoic acid (EPA) and urolithin A (UroA), a gut metabolite of ellagic acid, effectively suppress NLRP3 inflammasome activation against metabolic or pathogenic insults. This study aimed to assess the impact of eicosapentaenoic acid (EPA), urolithin A (UroA), and their combination on mitigating heatstroke-mediated NLRP3 inflammasome activation in microglial cells. Methods: In vitro heatstroke conditions were replicated by subjecting murine BV2 microglial cells to a high temperature (41 °C) under hypoxic conditions. To achieve nutrient loading, BV2 cells were preincubated with either EPA (50 µM) or UroA (10 µM). NLRP3 inflammasome activation was evaluated by proinflammatory gene expression, caspase-1 cleavage in cells, and IL-1β secretion to the medium. The caspase-1 activation was determined using a luciferase-based inflammasome and protease activity reporter (iGLuc) assay. Results: Exposure to high temperatures under hypoxia successfully mimicked HS conditions and promoted NLRP3 inflammasome activation in BV2 cells. Both EPA and UroA substantially attenuated the heat stroke-induced priming of proinflammatory genes. More importantly, EPA and UroA demonstrated a synergistic effect in mitigating HS-induced active caspase-1 production, leading to a dramatic decrease in IL-1β secretion. This synergistic effect between EPA and UroA was further confirmed by the iGLuc reporter assay. Conclusions: Dietary enrichment with EPA and UroA precursors may constitute an efficacious strategy for mitigating heat stroke-mediated neuroinflammation and neurodegenerative diseases. Full article
(This article belongs to the Special Issue Anti-Inflammatory Diet and Chronic Inflammation)
Show Figures

Figure 1

Back to TopTop