Sign in to use this feature.

Years

Between: -

Subjects

remove_circle_outline
remove_circle_outline
remove_circle_outline
remove_circle_outline
remove_circle_outline
remove_circle_outline
remove_circle_outline
remove_circle_outline
remove_circle_outline

Journals

Article Types

Countries / Regions

Search Results (30)

Search Parameters:
Keywords = Rapid Visco-Analysis

Order results
Result details
Results per page
Select all
Export citation of selected articles as:
14 pages, 2276 KB  
Article
Exploring the Potential of an Industry-Scale Microfluidizer for Modifying Rice Starch: Multi-Layer Structures and Physicochemical Properties
by Xiaohong He, Zhimeng Yang, Xufeng Wang, Zhou Xu, Yunhui Cheng, Wei Liu, Chengmei Liu and Jun Chen
Foods 2025, 14(12), 2067; https://doi.org/10.3390/foods14122067 - 11 Jun 2025
Viewed by 985
Abstract
The modification effects of industry-scale microfluidizer (ISM) technology on small-sized rice starch remain unknown. This study systematically evaluated the effects of ISM treatment on the structural characteristics (granular morphology, crystallinity, and short-range order) and physicochemical properties (thermal, pasting, and rheological properties) of rice [...] Read more.
The modification effects of industry-scale microfluidizer (ISM) technology on small-sized rice starch remain unknown. This study systematically evaluated the effects of ISM treatment on the structural characteristics (granular morphology, crystallinity, and short-range order) and physicochemical properties (thermal, pasting, and rheological properties) of rice starch. Scanning electron microscopy (SEM) analysis revealed that ISM treatment induced the aggregation of starch granules, leading to an increase in particle size. Furthermore, ISM treatment resulted in starch damage, as evidenced by an increase in the damaged starch content from 4.25% to 17.99%. X-ray diffraction (XRD) analysis found that the relative crystallinity decreased from 29.01% to 20.74%, and Fourier-transform infrared (FTIR) spectroscopy implied that the absorbance ratio of 1047 cm−1/1022 cm−1 decreased from 0.88 to 0.73, indicating the disorganization of long-range crystalline structure and short-range ordered structure. Differential scanning calorimetry analysis demonstrated that ISM treatment reduced the gelatinization enthalpy of rice starch, with a gelatinization degree reaching 31.39%. Rapid visco analyzer (RVA) measurements indicated that ISM treatment increased the pasting viscosity of rice starch. However, the effect of ISM treatment on the dynamic rheological properties was minimal, with a slight enhancement in the loss modulus, while in-shear structural recovery rheology showed no significant impact on the ability of starch gels to recover their original structure. These results suggested that ISM technology effectively modified rice starch, leading to a disrupted structure, increased viscosity, and preserved gel network structure. This approach offers a novel strategy for the application of industry-scale microfluidizers in the development of rice-based products. Full article
Show Figures

Figure 1

16 pages, 19580 KB  
Article
Comparable Analysis of Natural and Modified Starches from Kazakhstan: Physicochemical Properties, Applications, and Insights on Biodegradable Films
by Marat Muratkhan, Kakimova Zhainagul, Yernaz Yermekov, Kamanova Svetlana, Dana Toimbayeva, Indira Temirova, Kiykbay Amirsana, Dina Khamitova, Yerlan Zharykbasov, Adilet Sugirbay, Saduakhasova Saule and Gulnazym Ospankulova
Appl. Sci. 2025, 15(7), 3938; https://doi.org/10.3390/app15073938 - 3 Apr 2025
Cited by 1 | Viewed by 1075
Abstract
This study evaluates the potential of natural and thermally modified starches from Kazakhstan, including cassava, potato, wheat, corn, pea, and rice, for the production of biodegradable films. Key physicochemical properties were analyzed using Fourier Transform Infrared Spectroscopy (FTIR), Differential Scanning Calorimetry (DSC), X-ray [...] Read more.
This study evaluates the potential of natural and thermally modified starches from Kazakhstan, including cassava, potato, wheat, corn, pea, and rice, for the production of biodegradable films. Key physicochemical properties were analyzed using Fourier Transform Infrared Spectroscopy (FTIR), Differential Scanning Calorimetry (DSC), X-ray diffraction (XRD), Scanning Electron Microscopy (SEM), and a Rapid Visco Analyzer (RVA). The results show that cassava starch, with the highest magnesium content (43.07 mg/100 g) and peak viscosity (1300 RVU), exhibits superior mechanical strength and elasticity, making it ideal for durable agricultural films. Corn starch, with high crystallinity and moderate viscosity (1150 RVU), exhibits excellent stability for long-term applications. In contrast, wheat and rice starches, with lower viscosities (750 and 650 RVU, respectively) and high biodegradability, are more suitable for short-term eco-friendly applications. Modification processes improved moisture resistance and reduced retrogradation tendencies, particularly in cassava and corn starches. SEM analysis revealed that modified starches from cassava and corn have dense and uniform surface structures, enhancing film durability and flexibility. These findings highlight the potential of utilizing Kazakhstan’s starch resources for localized biodegradable film production, reducing reliance on imports while promoting sustainable agriculture. Full article
(This article belongs to the Section Agricultural Science and Technology)
Show Figures

Figure 1

13 pages, 783 KB  
Review
The Combination of Machine Learning Tools with the Rapid Visco Analyser (RVA) to Enhance the Analysis of Starchy Food Ingredients and Products
by Joseph Robert Nastasi, Shanmugam Alagappan and Daniel Cozzolino
Appl. Sci. 2025, 15(6), 3376; https://doi.org/10.3390/app15063376 - 19 Mar 2025
Cited by 4 | Viewed by 1598
Abstract
This review discusses how the integration of machine learning (ML) tools enhances the analytical capabilities of the Rapid Visco Analyser (RVA), aiming to provide a deeper understanding of the starch gelatinization in different starchy food ingredients and products. The review also discusses some [...] Read more.
This review discusses how the integration of machine learning (ML) tools enhances the analytical capabilities of the Rapid Visco Analyser (RVA), aiming to provide a deeper understanding of the starch gelatinization in different starchy food ingredients and products. The review also discusses some of the limitations of RVA as a tool for assessing the pasting and viscosity behavior of starch, emphasizing the potential of different ML tools such as principal component analysis (PCA) and partial least squares (PLS) regression to offer a better analytical approach. Examples of the utilization of ML combined with RVA to enhance the analysis of starch and non-starch ingredients are also provided. Furthermore, the importance of preprocessing techniques, such as derivatives, to improve the quality and interpretability of RVA profiles is discussed. The aim of this review is to provide examples of the utilization of RVA combined with ML tools in starchy food ingredients and products. Full article
(This article belongs to the Special Issue Advances in Automation and Controls of Agri-Food Systems)
Show Figures

Figure 1

18 pages, 6871 KB  
Article
Impact of Ultrasonic-Assisted Preparation of Water Caltrop Starch–Lipid Complex: Structural and Physicochemical Properties
by Kuan-Wei Huang and Lih-Shiuh Lai
Foods 2025, 14(2), 240; https://doi.org/10.3390/foods14020240 - 14 Jan 2025
Cited by 5 | Viewed by 1424
Abstract
This study investigates the effect of ultrasonic-assisted preparation on the structural and physicochemical properties of water caltrop starch-palmitic acid complexes as a function of ultrasound intensity and treatment time. All samples exhibited the characteristic birefringence of starch-lipid complexes under the polarized microscope, and [...] Read more.
This study investigates the effect of ultrasonic-assisted preparation on the structural and physicochemical properties of water caltrop starch-palmitic acid complexes as a function of ultrasound intensity and treatment time. All samples exhibited the characteristic birefringence of starch-lipid complexes under the polarized microscope, and flake-like and irregular structure under scanning electron microscope (SEM), indicating the formation of complexes through ultrasonic-assisted preparation. X-ray diffraction pattern further confirmed the transition from the original A-type structure for native starch to V-type structure for starch-lipid complexes, and the relative crystallinity of starch-lipid complexes increased as the ultrasound intensity and treatment time increased. Attenuated total reflectance-Fourier-transform infrared spectroscopy (ATR-FTIR) analysis indicated a decreasing trend in absorbance ratio at wavenumber of 1022 cm−1/995 cm−1, suggesting that the increase in the complex promoted the self-assembly within the short-range ordered structure, leading to the formation of bonds between the complexes. However, rapid-visco analysis (RVA) demonstrated that the viscosity generally decreased as the ultrasound intensity and treatment time increased, possibly due to the reduction in molecular weight by ultrasound. Differential scanning calorimetric (DSC) analysis revealed that the control starch-lipid complex without ultrasound treatment (US-0-0) exhibited two distinct endothermic peaks above 90 °C, representing Type I (95–105 °C) and Type II (110–120 °C) V-type complexes. However, ultrasound-treated samples showed only one peak around 95–105 °C and increased enthalpy (∆H), which was likely due to the breakdown of amylose and amylopectin, leading to more complex formation with palmitic acid, while the resulting shorter chains in the ultrasound-modified sample favor the formation of Type I complexes. Full article
(This article belongs to the Special Issue Functional Carbohydrate Products: From Structure to Application)
Show Figures

Figure 1

11 pages, 867 KB  
Article
Technology for Blending Recombined Flour: Substitution of Extruded Rice Flour, Quantity of Addition, and Impact on Dough
by Xuyang Ren, Huining Zhang, Mingshou Lv, Hongchen Fan, Linlin Liu, Bing Wang, Xiaofeng Hu, Yanguo Shi, Chunhua Yang, Fenglian Chen and Ying Sun
Foods 2024, 13(18), 2929; https://doi.org/10.3390/foods13182929 - 16 Sep 2024
Cited by 1 | Viewed by 1770
Abstract
In a previous study, rice bread was prepared using a combination of rice–wheat mixed flour. To investigate the impact of the partial adoption of extruded rice flour (ERF) on mixed flour (MF) and mixed dough (MD), the effects of adding ERF on the [...] Read more.
In a previous study, rice bread was prepared using a combination of rice–wheat mixed flour. To investigate the impact of the partial adoption of extruded rice flour (ERF) on mixed flour (MF) and mixed dough (MD), the effects of adding ERF on the pasting, mixing characteristics, texture, and water retention of the MF and MD were examined by a rapid visco analyzer (RVA), Mixolab, texture profile analysis (TPA), and a low-field nuclear magnetic resonance analyzer (LF-NMR). The PV, TV, BD, FV, and SV of the MF declined as the incorporated amount of ERF increased. There was no significant difference in the PT at the 5–15% addition level (p < 0.05), but it showed an increasing trend at the 20–30% level (p < 0.05). The incorporation of ERF led to a significant increase in the water absorption (WA) of the MD, while the DT, ST, C2, C3, C4, and C5 exhibited a declining trend. The texture analysis revealed a significant decrease in the dough hardness with the addition of ERF, with a 55% reduction in the hardness of the 30% improved mixed dough (IMD), and the cohesiveness increased significantly (p < 0.05). The IMD was mainly composed of weakly bound water. The content of weakly bound water increased with the ERF amount. Full article
(This article belongs to the Section Food Engineering and Technology)
Show Figures

Figure 1

9 pages, 1294 KB  
Article
Assessment of the Addition of Cricket (Acheta domesticus) Powder to Chickpea (Cicer arietinum) and Flaxseed (Linum usitatissimum) Flours: A Chemometric Evaluation of Their Pasting Properties
by Joseph Robert Nastasi, Siyu Ma, Shanmugam Alagappan, Louwrens C. Hoffman and Daniel Cozzolino
Appl. Sci. 2024, 14(16), 7131; https://doi.org/10.3390/app14167131 - 14 Aug 2024
Cited by 2 | Viewed by 1557
Abstract
Edible insects have been evaluated as an alternative and sustainable source of protein because of their nutritive and functional properties for humans and domestic animals. The objective of this study was to assess the use of chemometric [principal component analysis (PCA) and partial [...] Read more.
Edible insects have been evaluated as an alternative and sustainable source of protein because of their nutritive and functional properties for humans and domestic animals. The objective of this study was to assess the use of chemometric [principal component analysis (PCA) and partial least squares (PLS)] combined with Rapid Visco Analyser (RVA) profiles to evaluate the addition of cricket powder (CKP) to chickpea (CPF) and flaxseed (FxF) flours. The results of this study showed that the addition of CKP powder to both CPF and FxF flours affects the pasting properties of the samples; in particular, a reduction in the peak (PV) and final viscosity (FV) was observed. The use of chemometric data techniques such as PCA and PLS regression allowed for a better interpretation of the RVA profiles. Both PCA and PLS regression allowed to qualitative and quantitatively identify the addition level of CKP powder to CPF and FxF flour samples. Differences in the PLS loadings associated with the RVA profile due to the addition of cricket powder were observed. The development of these methodologies will provide researchers and the food industry with better tools to both improve and monitor the quality of ingredients with functional properties as well as to further understand the use of insects as alternative sources of protein. Full article
(This article belongs to the Special Issue Food Chemistry, Analysis and Innovative Production Technologies)
Show Figures

Figure 1

17 pages, 2864 KB  
Article
Physicochemical Properties and Fine Structure of Starch in Jinong Xiangruan 1 and DGR1 Soft Rice Varieties Cultivated in Different Regions of China
by Zhuoyi Hua, Zubair Iqbal, Yu Han, Chenyang Wu, Zhongyou Pei, Xin Zhang, Jing Sun, Mingnan Qu and Zhibin Li
Agronomy 2024, 14(5), 1074; https://doi.org/10.3390/agronomy14051074 - 19 May 2024
Viewed by 1265
Abstract
Rice, a staple food for billions around the globe, is cultivated in numerous forms. Among them, soft rice is well known, which is characterized by its tender, creamy consistency and desirable texture. In this study, we examined the physicochemical properties and fine structure [...] Read more.
Rice, a staple food for billions around the globe, is cultivated in numerous forms. Among them, soft rice is well known, which is characterized by its tender, creamy consistency and desirable texture. In this study, we examined the physicochemical properties and fine structure of starch from two soft rice varieties, Jinong Xiangruan 1 and DGR1, cultivated in different regions in China (Baodi District, Tianjin City; Liaoning Province; and Fengyang City, Anhui Province). The aim was to understand how amylopectin content (AC) influences rice quality. This research aims to bridge the knowledge gap regarding the role of amylopectin in determining rice’s adhesive consistency and viscosity. Significant regional differences were observed in yield components such as the number of grains per panicle, seed setting rates and 1000-grain weight, with Liaoning generally showing higher performance metrics compared to other regions. Physicochemical analysis highlighted that though glue consistency and taste values showed little regional variation, AC significantly influenced rice hardness and viscosity. Rapid Visco Analyzer (RVA) profile analysis further demonstrated distinct differences in viscosity characteristics, underscoring the regional impacts on starch behavior. Additionally, molecular weight distribution and amylopectin chain length analysis, conducted via SEC-MALLS-RI and ICS ion chromatography, revealed notable differences in starch composition across varieties and locations. The findings suggest that environmental conditions play a crucial role in defining starch characteristics and, consequently, the eating quality of rice. This provides valuable insights for breeding high-quality japonica rice with broad adaptability. Full article
(This article belongs to the Section Plant-Crop Biology and Biochemistry)
Show Figures

Figure 1

13 pages, 732 KB  
Article
Nutritional Profiling of Underutilised Citrullus lanatus mucosospermus Seed Flour
by Olakunbi Olubi, Joseline Felix-Minnaar and Victoria A. Jideani
Appl. Sci. 2024, 14(9), 3709; https://doi.org/10.3390/app14093709 - 26 Apr 2024
Viewed by 2283
Abstract
The seed of Citrullus lanatus mucosospermus, known as egusi, is versatile and explored for its oil and flour functionality. Raw flour can be used as a raw material in a nutritional program due to its oil-rich, remarkably high protein content, and richness in [...] Read more.
The seed of Citrullus lanatus mucosospermus, known as egusi, is versatile and explored for its oil and flour functionality. Raw flour can be used as a raw material in a nutritional program due to its oil-rich, remarkably high protein content, and richness in omega-6 fatty acids. There is a need to explore eco-friendly defatting methods using the supercritical CO2 extraction method (SFECO2) to preserve this seed’s generic richness and to control the flour–oil ratio in processing formulations. The supercritical fluid extraction method uses temperature, pressure, and CO2 flow rate to determine the best yield and extraction parameters. Defatted egusi flour (DEF) was extracted using three runs. Firstly, at 60 °C, 30 g/h, and 450 bar (DEF1); secondly, at 55 °C, 30 g/h, and 600 bar (DEF2); and thirdly, extraction was performed at 75 °C, 30 g/h and 600 bar (DEF3). Trace and major elements were analysed using Agilent 7700 quadruple ICP-MS (Agilent Technologies Network, Palo Alto, CA, USA) and Thermo Cap 6200 ICP-AES (Thermo Scientific, Waltham, MA, USA), respectively. The sugar was separated on a gas chromatograph coupled to a Mass Selective Detector (MSD). The fundamental pasting property measurements were performed using a Rapid Visco Analyser RVA 4500 Perten instrument Sin 214 31208-45 Australia. Data analysis was conducted using IBM SPSS version 29 software (v. 2022). The protein content of defatted egusi flour ranged from 48.4 for DEF2 to 60.4% w/w for DEF1 and differed significantly, with a rich amino acid high in glutamine ranging from 9.8 to 12.9 g/100 g). DEF2 (512.0 cP) showed the highest peak viscosity and was the most viscous among the samples. Defatted flour with lower temperature and lower pressure (60 °C and 450 bar) offered the best nutritional properties, proffering defatted egusi flour from SFECO2, a novel flour for dietary programs. Full article
(This article belongs to the Special Issue Novel Extraction Methods and Applications)
Show Figures

Figure 1

11 pages, 1071 KB  
Article
Assessing Amylose Content with Iodine and Con A Methods, In Vivo Digestion Profile, and Thermal Properties of Amylosucrase-Treated Waxy Corn Starch
by Inmyoung Park and Mohamed Mannaa
Foods 2024, 13(8), 1203; https://doi.org/10.3390/foods13081203 - 15 Apr 2024
Cited by 5 | Viewed by 3016
Abstract
In this study, waxy corn starch was modified with 230 U or 460 U of amylosucrase (AS) from Neisseria polysaccharea (NP) to elongate the glucan. The amylose content of the AS-modified starches was determined using iodine and concanavalin A (Con A) methods, and [...] Read more.
In this study, waxy corn starch was modified with 230 U or 460 U of amylosucrase (AS) from Neisseria polysaccharea (NP) to elongate the glucan. The amylose content of the AS-modified starches was determined using iodine and concanavalin A (Con A) methods, and their in vivo digestion, thermal, swelling, and pasting properties were evaluated. The amylose content of AS-treated starches was not significantly different (p > 0.05) when using the Con A method but was significantly higher than that of non-AS-treated samples when using the iodine method. In vivo, rats fed AS-treated starch had significantly lower blood glucose levels at 15 min than other rats; rats fed 460 U AS had lower blood glucose levels at 30 and 60 min than non-AS-treated rats. DSC analysis revealed that AS-treated starches exhibited higher initial, melting, and completion temperatures. Minimal volume expansion was observed by swelling factor analysis, while a Rapid Visco Analyzer assessment revealed that they had higher pasting onset temperatures, lower peak viscosities, and no trough viscosity compared to native starch. The elongated glucans in AS-treated starch reinforced their crystalline structure and increased slowly digestible and enzyme-resistant starch content. Overall, AS-treated starch showed unique thermal properties and a reduced blood glucose index upon administration. This distinctive characteristic of NPAS-treated starch makes it a good candidate food or non-food material for cosmetic products, medical materials, and adhesives. Full article
Show Figures

Figure 1

23 pages, 3771 KB  
Article
Use of Pea Proteins in High-Moisture Meat Analogs: Physicochemical Properties of Raw Formulations and Their Texturization Using Extrusion
by Blake J. Plattner, Shan Hong, Yonghui Li, Martin J. Talavera, Hulya Dogan, Brian S. Plattner and Sajid Alavi
Foods 2024, 13(8), 1195; https://doi.org/10.3390/foods13081195 - 14 Apr 2024
Cited by 13 | Viewed by 4192
Abstract
A new form of plant-based meat, known as ‘high-moisture meat analogs’ (HMMAs), is captivating the market because of its ability to mimic fresh, animal muscle meat. Utilizing pea protein in the formulation of HMMAs provides unique labeling opportunities, as peas are both “non-GMO” [...] Read more.
A new form of plant-based meat, known as ‘high-moisture meat analogs’ (HMMAs), is captivating the market because of its ability to mimic fresh, animal muscle meat. Utilizing pea protein in the formulation of HMMAs provides unique labeling opportunities, as peas are both “non-GMO” and low allergen. However, many of the commercial pea protein isolate (PPI) types differ in functionality, causing variation in product quality. Additionally, PPI inclusion has a major impact on final product texture. To understand the collective impact of these variables, two studies were completed. The first study compared four PPI types while the second study assessed differences in PPI inclusion amount (30–60%). Both studies were performed on a Wenger TX-52 extruder, equipped with a long-barrel cooling die. Rapid-visco analysis (RVA) and sodium dodecyl sulphate–polyacrylamide gel electrophoresis (SDS-PAGE) indicated differences in protein solubility among the different PPI types. In general, lower protein solubility led to better product quality, based on visual evaluation. Cutting strength and texture profile analysis showed increasing PPI inclusion from 30–60% led to significantly higher product hardness (14,160–16,885 g) and toughness (36,690–46,195 g. s). PPI4 led to lower product toughness (26,110 and 33,725 g. s), compared to the other PPIs (44,620–60,965 g. s). Heat gelling capacity of PPI4 was also highest among PPI types, by way of least gelation concentration (LGC) and RVA. When compared against animal meat, using more PPI (50–60%) better mimicked the overall texture and firmness of beef steak and pork chops, while less PPI better represented a softer product like chicken breast. In summary, protein content and also functionality such as cold water solubility and heat gelation dictated texturization and final product quality. High cold water solubility and poor heat gelation properties led to excessive protein cross linking and thicker yet less laminated shell or surface layer. This led to lower cutting firmness and toughness, and less than desirable product texture as compared to animal meat benchmarks. On the other hand, pea proteins with less cold water solubility and higher propensity for heat gelation led to products with more laminated surface layer, and higher cutting test and texture profile analysis response. These relationships will be useful for plant-based meat manufacturers to better tailor their products and choice of ingredients. Full article
(This article belongs to the Special Issue Functionality and Food Applications of Plant Proteins (Volume II))
Show Figures

Figure 1

13 pages, 2084 KB  
Article
Structural and Physicochemical Properties of a Chinese Yam Starch–Tea Polyphenol Complex Prepared Using Autoclave-Assisted Pullulanase Treatment
by Sandu Xie, Huiqing Chen, Xinyan Jiang, Bifang Zhou, Zebin Guo, Hongliang Zeng and Yi Zhang
Foods 2023, 12(20), 3763; https://doi.org/10.3390/foods12203763 - 13 Oct 2023
Cited by 11 | Viewed by 2494
Abstract
Interactions between food components have a positive impact in the field of food science. In this study, the effects of tea polyphenol on the structural and physicochemical properties of Chinese yam starch using autoclave-assisted pullulanase treatment were investigated. X-ray diffraction, Fourier transform infrared [...] Read more.
Interactions between food components have a positive impact in the field of food science. In this study, the effects of tea polyphenol on the structural and physicochemical properties of Chinese yam starch using autoclave-assisted pullulanase treatment were investigated. X-ray diffraction, Fourier transform infrared spectroscopy, scanning electron microscopy, rapid visco analysis, differential scanning calorimetry, and the 3,5-dinitrosalicylic acid method were applied in this study. The results showed that the Chinese yam starch–tea polyphenol complex formed a structural domain with higher thermal stability along with lower pasting viscosities than native starch. The in vitro digestibility of Chinese yam starch decreased with the addition of the tea polyphenol, and the amount of resistant starch content in the complex was 56.25 ± 1.37%, significantly higher than that of native starch (p < 0.05). In addition, the complex showed a B+V-type crystalline structure, which confirmed that the interaction modes between the starch and tea polyphenol include hydrogen bonding and hydrophobic interactions. Moreover, the appearance of an irregular sponge network structure of the complex further supported the interactions between the starch and tea polyphenol. This study provides a theoretical basis for the development of functional foods using Chinese yam starch. Full article
(This article belongs to the Section Food Physics and (Bio)Chemistry)
Show Figures

Figure 1

23 pages, 3397 KB  
Article
Understanding Protein Functionality and Its Impact on Quality of Plant-Based Meat Analogues
by Jenna Flory, Ruoshi Xiao, Yonghui Li, Hulya Dogan, Martin J. Talavera and Sajid Alavi
Foods 2023, 12(17), 3232; https://doi.org/10.3390/foods12173232 - 28 Aug 2023
Cited by 17 | Viewed by 5555
Abstract
A greater understanding of protein functionality and its impact on processing and end-product quality is critical for the success of the fast-growing market for plant-based meat products. In this research, simple criteria were developed for categorizing plant proteins derived from soy, yellow pea, [...] Read more.
A greater understanding of protein functionality and its impact on processing and end-product quality is critical for the success of the fast-growing market for plant-based meat products. In this research, simple criteria were developed for categorizing plant proteins derived from soy, yellow pea, and wheat as cold swelling (CS) or heat swelling (HS) through various raw-material tests, including the water absorption index (WAI), least gelation concentration (LGC), rapid visco analysis (RVA), and % protein solubility. These proteins were blended together in different cold-swelling: heat-swelling ratios (0:100 to 90:10 or 0–90% CS) and extruded to obtain texturized vegetable proteins (TVPs). In general, the WAI (2.51–5.61 g/g) and protein solubility (20–46%) showed an increasing trend, while the LGC decreased from 17–18% to 14–15% with an increase in the % CS in raw protein blends. Blends with high CS (60–90%) showed a clear RVA cold viscosity peak, while low-CS (0–40%) blends exhibited minimal swelling. The extrusion-specific mechanical energy for low-CS blends (average 930 kJ/kg) and high-CS blends (average 949 kJ/kg) was similar, even though both were processed with similar in-barrel moisture, but the former had substantially lower protein content (69.7 versus 76.6%). Extrusion led to the aggregation of proteins in all treatments, as seen from the SDS-PAGE and SEC-HPLC analyses, but the protein solubility decreased the most for the high-CS (60–90%) blends as compared to the low-CS (0–40%) blends. This indicated a higher degree of crosslinking due to extrusion for high CS, which, in turn, resulted in a lower extruded TVP bulk density and higher water-holding capacity (average 187 g/L and 4.2 g/g, respectively) as compared to the low-CS treatments (average 226 g/L and 2.9 g/g, respectively). These trends matched with the densely layered microstructure of TVP with low CS and an increase in pores and a spongier structure for high CS, as observed using optical microscopy. The microstructure, bulk density, and WHC observations corresponded well with texture-profile-analysis (TPA) hardness of TVP patties, which decreased from 6949 to 3649 g with an increase in CS from 0 to 90%. The consumer test overall-liking scores (9-point hedonic scale) for TVP patties were significantly lower (3.8–5.1) as compared to beef hamburgers (7.6) (p < 0.05). The data indicated that an improvement in both the texture and flavor of the former might result in a better sensory profile and greater acceptance. Full article
(This article belongs to the Special Issue Functionality and Food Applications of Plant Proteins (Volume II))
Show Figures

Figure 1

12 pages, 2957 KB  
Article
The Properties of Different Starches under the Influence of Glucono-Delta-Lactone at Different Concentrations
by Afirah Mohd Shukri and Lai-Hoong Cheng
Foods 2023, 12(9), 1770; https://doi.org/10.3390/foods12091770 - 25 Apr 2023
Cited by 6 | Viewed by 3189
Abstract
In this study, glucono-delta-lactone (GDL), which is Generally Recognized as Safe (GRAS), was added to native starches to modify their physicochemical properties. The effects of GDL on the molecular weight, pasting properties, flow behavior, gel syneresis, and crystallization properties of potato, tapioca, and [...] Read more.
In this study, glucono-delta-lactone (GDL), which is Generally Recognized as Safe (GRAS), was added to native starches to modify their physicochemical properties. The effects of GDL on the molecular weight, pasting properties, flow behavior, gel syneresis, and crystallization properties of potato, tapioca, and corn starches were investigated. GPC results showed that as the GDL concentration increased, the molecular weight of amylose increased, whereas that of amylopectin decreased. An analysis using the Rapid Visco Analyzer revealed that the addition of GDL improved the pasting properties of potato starch, with reduced peak viscosity and breakdown viscosity, and it also improved setback viscosity. On the other hand, tapioca starch degraded substantially after GDL addition, indicating a lower tendency for short-term retrogradation, as reflected in the lower setback viscosity. The effects of GDL on corn starch pasting properties were very similar to those observed for tapioca starch, but the changes were relatively subtle. In terms of flow behavior, GDL addition decreased and increased the flow index values of the potato and tapioca starch pastes, respectively. However, the effect of GDL addition on the flow index value of the corn starch paste was found to be insignificant. The results also showed that the percentage of syneresis under the influence of GDL depended on the starch botanical origin—that is, potato starch, 14–18%, tapioca starch, 10–13%, and corn starch, 17–20%—which was substantiated by crystallinity analysis. It was observed that GDL has the potential to be used for starch modification because it creates desirable functionalities with the advantage of being a green-labelled ingredient. Full article
(This article belongs to the Section Food Engineering and Technology)
Show Figures

Graphical abstract

11 pages, 239 KB  
Article
Research on the Relationship between the Amylopectin Structure and the Physicochemical Properties of Starch Extracted from Glutinous Rice
by Bingqing Wang, Jialu Xu, Dandan Guo, Changzhi Long, Zhongxin Zhang, Ying Cheng, Huiying Huang, Peng Wen, Haohua He and Xiaopeng He
Foods 2023, 12(3), 460; https://doi.org/10.3390/foods12030460 - 18 Jan 2023
Cited by 13 | Viewed by 3963
Abstract
Glutinous rice has very low amylose content and is a good material for determining the structure and physicochemical properties of amylopectin. We selected 29 glutinous rice varieties and determined the amylopectin structure by high-performance anion exchange chromatography with the pulsed amperometric detection method. [...] Read more.
Glutinous rice has very low amylose content and is a good material for determining the structure and physicochemical properties of amylopectin. We selected 29 glutinous rice varieties and determined the amylopectin structure by high-performance anion exchange chromatography with the pulsed amperometric detection method. We also determined the correlation between amylopectin structure and the physicochemical properties of starch extracted from these varieties. The results showed that the amylopectin chain ratio Σdegree of polymerization (DP) ≤ 11/ΣDP ≤ 24 of 29 glutinous rice varieties was greater than 0.26, signifying that these varieties contained type II amylopectin. The results of the correlation analysis with gelatinization temperature showed that ΣDP 6–11 was significantly negatively correlated with the onset gelatinization temperature (GT) (TO), peak GT (TP), and conclusion GT (TC). Among the thermodynamic properties, ΣDP 12–24 was significantly positively correlated with To, Tp, and Tc, ΣDP 25–36 was significantly negatively correlated with To, Tp, and Tc, and ΣDP ≥ 37 had no correlation with the thermodynamic properties. The results of correlation analysis with RVA spectrum characteristic values showed that ΣDP 6–11 was significantly negatively correlated with hot paste viscosity (HPV), cool paste viscosity (CPV), consistency viscosity (CSV), peak time (PeT), and pasting temperature (PaT) among the Rapid Visco Analyzer (RVA) profile characteristics, ΣDP 12–24 was significantly positively correlated with HPV, CPV, CSV, PeT, and PaT, and ΣDP ≥ 25 had no correlation with the viscosity characteristics. Therefore, we concluded that the amylopectin structure had a greater effect on the TO, TP, TC, ΔH and peak viscosity, HPV, CPV, CSV, PeT, and PaT. The glutinous rice varieties with a higher distribution of short chains and a lower distribution of medium and long chains in the amylopectin structure resulted in lower GT and RVA spectrum characteristic values. Full article
(This article belongs to the Section Food Physics and (Bio)Chemistry)
15 pages, 3655 KB  
Article
Enhance Production of γ-Aminobutyric Acid (GABA) and Improve the Function of Fermented Quinoa by Cold Stress
by Yucui Zhang, Ming Zhang, Ting Li, Xinxia Zhang and Li Wang
Foods 2022, 11(23), 3908; https://doi.org/10.3390/foods11233908 - 4 Dec 2022
Cited by 10 | Viewed by 3281
Abstract
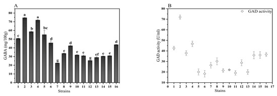
Quinoa is an excellent source of γ-aminobutyric acid (GABA), which is a natural four-carbon non-protein amino acid with great health benefits. In this study, the quinoa was treated by cold stress before fermentation with Lactobacillus plantarum to enhance the amount of GABA. The [...] Read more.
Quinoa is an excellent source of γ-aminobutyric acid (GABA), which is a natural four-carbon non-protein amino acid with great health benefits. In this study, the quinoa was treated by cold stress before fermentation with Lactobacillus plantarum to enhance the amount of GABA. The best Lactobacillus plantarum for GABA production was selected from sixteen different strains based on the levels of GABA production and the activity of glutamic acid decarboxylase (GAD). Cold stress treatments at 4 °C and at −20 °C enhanced the amount of GABA in the fermented quinoa by a maximum of 1191% and 774%, respectively. The surface of the fermented quinoa flour treated by cold stress showed more pinholes, mucus, faults and cracks. A Fourier transform infrared spectrophotometer (FTIR) analysis revealed that cold stress had a violent breakage effect on the -OH bonds in quinoa and delayed the destruction of protein during fermentation. In addition, the results from the rapid visco analyzer (RVA) showed that the cold stress reduced the peak viscosity of quinoa flour. Overall, the cold stress treatment is a promising method for making fermented quinoa a functional food by enhancing the production of bioactive ingredients. Full article
(This article belongs to the Section Plant Foods)
Show Figures

Figure 1

Back to TopTop