Sign in to use this feature.

Years

Between: -

Subjects

remove_circle_outline
remove_circle_outline
remove_circle_outline
remove_circle_outline
remove_circle_outline
remove_circle_outline

Journals

Article Types

Countries / Regions

Search Results (22)

Search Parameters:
Keywords = RPKM

Order results
Result details
Results per page
Select all
Export citation of selected articles as:
21 pages, 3807 KB  
Article
The Remediation Mechanism of Soil Atrazine Contamination by Vermicompost: A Metagenomic Perspective
by Luwen Zhang, Lixin Xu, Zunhao Zhang, Zhenke Liu and Yuxiang Chen
Microorganisms 2026, 14(2), 415; https://doi.org/10.3390/microorganisms14020415 - 10 Feb 2026
Viewed by 460
Abstract
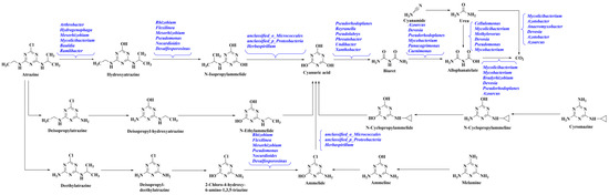
Atrazine persistence poses serious environmental threats. This study used metagenomics and qPCR to elucidate the remediation mechanism of vermicompost in atrazine degradation pathways. Seven treatments were established: unsterilized soil (CKn); sterilized soil amended with 45 (SsV1), 60 (SsV2), and 75 (SsV3) days of [...] Read more.
Atrazine persistence poses serious environmental threats. This study used metagenomics and qPCR to elucidate the remediation mechanism of vermicompost in atrazine degradation pathways. Seven treatments were established: unsterilized soil (CKn); sterilized soil amended with 45 (SsV1), 60 (SsV2), and 75 (SsV3) days of vermicompost; and unsterilized soil with the same vermicompost (SnV1, SnV2 and SnV3). Vermicompost significantly restructured soil microbial communities. SsV1 exhibited the highest Proteobacteria abundance (51.38%), while SsV3 markedly increased Bacteroidetes abundance (10.34%). Functional annotation revealed that vermicompost enriched carbohydrate metabolism-related COG units and upregulated CAZymes (e.g., CE1 and CE10 families), providing energy support for degrading microbial communities. Regarding metabolic pathways, SnV2 exhibited the highest atrazine degradation abundance (2.94%), significantly enriching Bauldia (4.84 RPKM) for dechlorination. During cyanuric acid ring-opening, SnV3 significantly enriched Pseudorhodoplanes (12.14 RPKM). During terminal mineralization, SsV2 increased Caenimonas abundance (15.25 RPKM) and introduced the exogenous genus Pseudorhodoplanes (7.78 RPKM). qPCR confirmed SnV2’s trzN (day 20) and atzB (day 40) reached 9.03 × 104 and 6.95 × 107 copies/g, respectively. These findings indicate vermicompost accelerated atrazine mineralization by enriching degradative microbial communities and promoting key functional gene expression, with 60-day vermicompost demonstrating superior performance. This study provides a robust theoretical framework for remediating atrazine-contaminated soil by vermicompost. Full article
(This article belongs to the Section Environmental Microbiology)
Show Figures

Figure 1

17 pages, 724 KB  
Article
Transcription of the Extensively Fragmented Mitochondrial Genomes of Human Lice
by Emily Dunn and Renfu Shao
Biology 2026, 15(4), 296; https://doi.org/10.3390/biology15040296 - 8 Feb 2026
Viewed by 548
Abstract
The mitochondrial (mt) genomes of animals, including humans, are typically a single circular chromosome containing all mt genes. In several animal lineages, however, mt genomes have become fragmented, with genes distributed on multiple minichromosomes. How fragmented mt genomes are transcribed is still poorly [...] Read more.
The mitochondrial (mt) genomes of animals, including humans, are typically a single circular chromosome containing all mt genes. In several animal lineages, however, mt genomes have become fragmented, with genes distributed on multiple minichromosomes. How fragmented mt genomes are transcribed is still poorly understood. In this study, we investigated the transcription of the extensively fragmented mt genomes of the human head louse (Pediculus humanus capitis) and the human body louse (Pediculus humanus corporis). RNA-seq reads of both subspecies were retrieved from the NCBI Sequence Read Archive database and mapped to their mt genomes. The transcription level of each mt gene, minichromosome, motif, coding region and non-coding region, measured by RPKM (Reads Per Kilobase of transcript per Million mapped reads), TPM (Transcripts Per Million) or read coverage, was analysed statistically. In both subspecies, mt minichromosomes were transcribed entirely, with coding regions transcribed at much higher levels than non-coding regions. The 37 mt genes are transcribed unevenly, with rrnL, cox1, cox2, cox3 and atp6 transcribed at significantly higher levels than several other genes. Many transcription events terminate near a GC-rich motif in the non-coding regions; however, some transcription events pass this motif, leading to the transcription of entire non-coding regions. Despite the drastic difference in mt genome organisation, the human lice share several transcriptional features with humans, but also have unique features related to their fragmented mt genome organisation. The current study represents the first effort into the transcription of fragmented mt genomes. As more RNA-seq data become available, further studies on other animals with fragmented mt genomes are necessary to fully understand how genome fragmentation affects transcription. Full article
(This article belongs to the Special Issue Mitochondrial Genomics of Arthropods)
Show Figures

Figure 1

12 pages, 847 KB  
Article
Improving CNV Detection Performance Except for Software-Specific Problematic Regions
by Jinha Hwang, Jung Hye Byeon, Baik-Lin Eun, Myung-Hyun Nam, Yunjung Cho and Seung Gyu Yun
Genes 2026, 17(1), 105; https://doi.org/10.3390/genes17010105 - 19 Jan 2026
Viewed by 634
Abstract
Background/Objectives: Whole exome sequencing (WES) is an effective method for detecting disease-causing variants. However, copy number variation (CNV) detection using WES data often has limited sensitivity and high false-positive rates. Methods: In this study, we constructed a reference CNV set using [...] Read more.
Background/Objectives: Whole exome sequencing (WES) is an effective method for detecting disease-causing variants. However, copy number variation (CNV) detection using WES data often has limited sensitivity and high false-positive rates. Methods: In this study, we constructed a reference CNV set using chromosomal microarray analysis (CMA) data from 44 of 180 individuals who underwent WES and CMA and evaluated four WES-based CNV callers (CNVkit, CoNIFER, ExomeDepth, and cn.MOPS) against this benchmark. For each tool, we first defined software-specific problematic genomic regions across the full WES cohort and filtered out the CNVs that overlapped these regions. Results: The four algorithms showed low mutual concordance and distinct distributions in the problematic regions. On average, 2210 sequencing target baits (1.23%) were classified as problematic; these baits had lower mappability scores and higher coefficients of variation in RPKM than the remaining probes. After the supplementary filtration step, all tools demonstrated improved performance. Notably, ExomeDepth achieved gains of 14.4% in sensitivity and 7.9% in positive predictive value. Conclusions: We delineated software-specific problematic regions and demonstrated that targeted filtration markedly reduced false positives in WES-based CNV detection. Full article
(This article belongs to the Section Human Genomics and Genetic Diseases)
Show Figures

Figure 1

12 pages, 1058 KB  
Article
Environmental Dissemination of Antimicrobial Resistance: A Resistome-Based Comparison of Hospital and Community Wastewater Sources
by Taito Kitano, Nobuaki Matsunaga, Takayuki Akiyama, Takashi Azuma, Naoki Fujii, Ai Tsukada, Hiromi Hibino, Makoto Kuroda and Norio Ohmagari
Antibiotics 2026, 15(1), 99; https://doi.org/10.3390/antibiotics15010099 - 19 Jan 2026
Viewed by 766
Abstract
Background/Objectives: Comparative analysis of antimicrobial resistomes in hospital and community wastewater can provide valuable insights into the diversity and distribution of antimicrobial resistance genes (ARGs), contributing to the advancement of the One Health approach. This study aimed to characterize and compare the resistome [...] Read more.
Background/Objectives: Comparative analysis of antimicrobial resistomes in hospital and community wastewater can provide valuable insights into the diversity and distribution of antimicrobial resistance genes (ARGs), contributing to the advancement of the One Health approach. This study aimed to characterize and compare the resistome profiles of wastewater sources from a hospital and community. Methods: Longitudinal metagenomic analysis was conducted on wastewater samples collected from the National Center for Global Health and Medicine (hospital) and a shopping mall (community) in Tokyo, Japan, between December 2019 and September 2023. ARG abundance was quantified using reads per kilobase per million mapped reads (RPKM) values, and comparative analyses were performed to identify the significantly enriched ARGs in the two sources. Results: A total of 46 monthly wastewater samples from the hospital yielded 825 unique ARGs, with a mean RPKM of 2.5 across all detected genes. In contrast, 333 ARGs were identified in the three shopping mall wastewater samples, with a mean RPKM of 2.1. Among the ARGs significantly enriched in the hospital samples, 23, including genes conferring resistance to aminoglycosides (nine groups) and β-lactam antibiotics (eight groups), exhibited significantly high RPKM values. No ARGs were found to be significantly enriched in the community wastewater samples. Conclusions: This study highlights the higher diversity and abundance of ARGs, particularly those conferring resistance to aminoglycosides and β-lactam antibiotics including carbapenems, in hospital wastewater than in community wastewater. These findings underscore the importance of continuous resistome monitoring of hospital wastewater as part of the integrated One Health surveillance strategy. Full article
(This article belongs to the Special Issue Antibiotic Resistance in Wastewater Treatment Plants)
Show Figures

Figure 1

16 pages, 8534 KB  
Article
Initiation of Anammox in an Up-Flow Anaerobic Sludge Bed Reactor: Bacterial Community Structure, Nitrogen Removal Functional Genes, and Antibiotic Resistance Genes
by Xin Li, Junqin Yao, Yangyang Jia, Jiaqi Liu and Yinguang Chen
Water 2024, 16(23), 3426; https://doi.org/10.3390/w16233426 - 28 Nov 2024
Cited by 3 | Viewed by 2744
Abstract
Anaerobic ammonia oxidation (anammox) is considered an efficient and low-energy biological nitrogen removal process. However, there are limited studies addressing the changes in antibiotic resistance genes (ARGs) during the startup of an anammox reactor inoculated with activated sludge. In this study, an up-flow [...] Read more.
Anaerobic ammonia oxidation (anammox) is considered an efficient and low-energy biological nitrogen removal process. However, there are limited studies addressing the changes in antibiotic resistance genes (ARGs) during the startup of an anammox reactor inoculated with activated sludge. In this study, an up-flow anaerobic sludge bed (UASB) reactor was initiated with synthetic wastewater at room temperature (20–28 °C). Metagenomic sequencing was employed to analyze the shifts in the bacterial community, nitrogen removal functional genes, and ARGs in both the seeding sludge and anammox sludge. The results show that the reactor achieved anammox activity after 122 days of cultivation, with NH4+-N and NO2-N removal rates reaching 99.8% and 99.6%, respectively. Compared to those in inoculated sludge, the relative abundance of the anammox bacterium Candidatus kuenenia increased from 0.01% to 50.86%, while the relative abundance of denitrifying Acidovorax bacteria decreased from 8.02% to 1.77%. Meanwhile, the relative abundance of Nitrosomonas declined from 2.91% to 1.87%. The functional genes hzs, hdh, nirK, and nirS increased in relative abundance in the anammox sludge, while the ARGs decreased in relative abundance from 294.77 RPKM to 155.62 RPKM in the sludge. These findings offer valuable insights into the initiation of the anammox process using ordinary activated sludge as an inoculum and provide a scientific basis for the mitigation of ARGs through anammox technology. Full article
(This article belongs to the Section Wastewater Treatment and Reuse)
Show Figures

Figure 1

20 pages, 1941 KB  
Article
Assessing RNA-Seq Workflow Methodologies Using Shannon Entropy
by Nicolas Carels
Biology 2024, 13(7), 482; https://doi.org/10.3390/biology13070482 - 28 Jun 2024
Cited by 3 | Viewed by 3390
Abstract
RNA-seq faces persistent challenges due to the ongoing, expanding array of data processing workflows, none of which have yet achieved standardization to date. It is imperative to determine which method most effectively preserves biological facts. Here, we used Shannon entropy as a tool [...] Read more.
RNA-seq faces persistent challenges due to the ongoing, expanding array of data processing workflows, none of which have yet achieved standardization to date. It is imperative to determine which method most effectively preserves biological facts. Here, we used Shannon entropy as a tool for depicting the biological status of a system. Thus, we assessed the measurement of Shannon entropy by several RNA-seq workflow approaches, such as DESeq2 and edgeR, but also by combining nine normalization methods with log2 fold change on paired samples of TCGA RNA-seq representing datasets of 515 patients and spanning 12 different cancer types with 5-year overall survival rates ranging from 20% to 98%. Our analysis revealed that TPM, RLE, and TMM normalization, coupled with a threshold of log2 fold change ≥1, for identifying differentially expressed genes, yielded the best results. We propose that Shannon entropy can serve as an objective metric for refining the optimization of RNA-seq workflows and mRNA sequencing technologies. Full article
(This article belongs to the Special Issue Differential Gene Expression and Coexpression (2nd Edition))
Show Figures

Figure 1

15 pages, 7409 KB  
Article
Comparative Transcriptome Analysis Provides Insights into the Effect of Epicuticular Wax Accumulation on Salt Stress in Coconuts
by Xiwei Sun, Ghulam Abid Kaleri, Zhihua Mu, Yalan Feng, Zhuang Yang, Yazhu Zhong, Yajing Dou, Hang Xu, Junjie Zhou, Jie Luo and Yong Xiao
Plants 2024, 13(1), 141; https://doi.org/10.3390/plants13010141 - 4 Jan 2024
Cited by 13 | Viewed by 4793
Abstract
The coconut is an important tropical economical crop and exhibits high tolerance to various types of salinity stress. However, little is known about the molecular mechanism underlying its salt tolerance. In this study, RNA-Seq was applied to examine the different genes expressed in [...] Read more.
The coconut is an important tropical economical crop and exhibits high tolerance to various types of salinity stress. However, little is known about the molecular mechanism underlying its salt tolerance. In this study, RNA-Seq was applied to examine the different genes expressed in four coconut varieties when exposed to a salt environment, resulting in the generation of data for 48 transcriptomes. Comparative transcriptome analysis showed that some genes involved in cutin and wax biosynthesis were significantly upregulated in salt treatment compared to the control, including CYP86A4, HTH, CER1, CER2, CER3, DCR, GPAT4, LTP3, LTP4, and LTP5. In particular, the expression of CER2 was induced more than sixfold, with an RPKM value of up to 205 ten days after salt treatment in Hainan Tall coconut, demonstrating superior capacity in salt tolerance compared to dwarf coconut varieties. However, for yellow dwarf and red dwarf coconut varieties, the expression level of the CER2 gene was low at four different time points after exposure to salt treatment, suggesting that this gene may contribute to the divergence in salt tolerance between tall and dwarf coconut varieties. Cytological evidence showed a higher abundance of cuticle accumulation in tall coconut and severe damage to cuticular wax in dwarf coconut. Full article
(This article belongs to the Special Issue Genetic Improvement in Coconut)
Show Figures

Figure 1

17 pages, 940 KB  
Article
Deciphering Microbiota of Acute Upper Respiratory Infections: A Comparative Analysis of PCR and mNGS Methods for Lower Respiratory Trafficking Potential
by Sadia Almas, Rob E. Carpenter, Anuradha Singh, Chase Rowan, Vaibhav K. Tamrakar and Rahul Sharma
Adv. Respir. Med. 2023, 91(1), 49-65; https://doi.org/10.3390/arm91010006 - 2 Feb 2023
Cited by 11 | Viewed by 5484
Abstract
Although it is clinically important for acute respiratory tract (co)infections to have a rapid and accurate diagnosis, it is critical that respiratory medicine understands the advantages of current laboratory methods. In this study, we tested nasopharyngeal samples (n = 29) with a [...] Read more.
Although it is clinically important for acute respiratory tract (co)infections to have a rapid and accurate diagnosis, it is critical that respiratory medicine understands the advantages of current laboratory methods. In this study, we tested nasopharyngeal samples (n = 29) with a commercially available PCR assay and compared the results with those of a hybridization-capture-based mNGS workflow. Detection criteria for positive PCR samples was Ct < 35 and for mNGS samples it was >40% target coverage, median depth of 1X and RPKM > 10. A high degree of concordance (98.33% PPA and 100% NPA) was recorded. However, mNGS yielded positively 29 additional microorganisms (23 bacteria, 4 viruses, and 2 fungi) beyond PCR. We then characterized the microorganisms of each method into three phenotypic categories using the IDbyDNA Explify® Platform (Illumina® Inc, San Diego, CA, USA) for consideration of infectivity and trafficking potential to the lower respiratory region. The findings are significant for providing a comprehensive yet clinically relevant microbiology profile of acute upper respiratory infection, especially important in immunocompromised or immunocompetent with comorbidity respiratory cases or where traditional syndromic approaches fail to identify pathogenicity. Accordingly, this technology can be used to supplement current syndrome-based tests, and data can quickly and effectively be phenotypically characterized for trafficking potential, clinical (co)infection, and comorbid consideration—with promise to reduce morbidity and mortality. Full article
Show Figures

Figure 1

12 pages, 2587 KB  
Article
The Sources and Potential Hosts Identification of Antibiotic Resistance Genes in the Yellow River, Revealed by Metagenomic Analysis
by Kai Zhang, Kuangjia Li, Ziyi Liu, Qidi Li, Wenpeng Li, Qi Chen, Yangchun Xia, Feiyue Hu and Fengxia Yang
Int. J. Environ. Res. Public Health 2022, 19(16), 10420; https://doi.org/10.3390/ijerph191610420 - 21 Aug 2022
Cited by 8 | Viewed by 3356
Abstract
The fate of antibiotic resistance genes (ARGs) has been revealed in various environmental media in recent years. Namely, the emergence of genes that resist colistin and carbapenems has attracted wide attention. However, the pollution condition of ARGs and sources in the Yellow River [...] Read more.
The fate of antibiotic resistance genes (ARGs) has been revealed in various environmental media in recent years. Namely, the emergence of genes that resist colistin and carbapenems has attracted wide attention. However, the pollution condition of ARGs and sources in the Yellow River is still little understood, despite the river being the second longest in China. The present study determined the levels of ARG pollution in the Henan section of the Yellow River and evaluated the role of the aquaculture industry in the spread of ARGs. As revealed by the results, a total of 9 types of ARGs were detected in the sediments of the Yellow River, and the total ARG content in the Yellow River ranges from 7.27 to 245.45 RPKM. Sul1 and sul2 are the dominant ARGs, and the huge usage of sulfonamides, horizontal gene transfer, and wide bacteria host contribute to the prevalence of these two genes. The results of Spearman correlation analysis indicate that the breeding industry has little influence on ARGs in the Yellow River. Network analysis reveals that the opportunistic pathogen Pseudomonas is the potential host of sul1, tetG, and ANT(3′′)-IIa, which can pose a risk to human health. Full article
Show Figures

Figure 1

14 pages, 2321 KB  
Article
Identification and Tissue Expression Profiles of Odorant Receptor Genes in the Green Peach Aphid Myzus persicae
by Jingtao Liu, Jiaoxin Xie, Adel Khashaveh, Jingjiang Zhou, Yongjun Zhang, Hui Dong, Bin Cong and Shaohua Gu
Insects 2022, 13(5), 398; https://doi.org/10.3390/insects13050398 - 20 Apr 2022
Cited by 9 | Viewed by 3704
Abstract
The green peach aphid Myzus persicae (Hemiptera: Aphididae) relies heavily on its olfactory system to locate plant hosts, find mates, and avoid parasitoids or predators. The insect odorant receptors (ORs) have been proven to play a critical role in the perception of odorants [...] Read more.
The green peach aphid Myzus persicae (Hemiptera: Aphididae) relies heavily on its olfactory system to locate plant hosts, find mates, and avoid parasitoids or predators. The insect odorant receptors (ORs) have been proven to play a critical role in the perception of odorants from the environment. In the present study, 33 odorant receptor candidate genes including the Orco gene were identified from the antennal, head, legs and body transcriptomes of M. persicae. Phylogenetic analysis of ORs from seven different orders of insect species suggests that ORs from different insect species are highly divergent and most ORs from the same species formed monophyletic groups. In addition, the aphid ORs were clustered into six different sub-clades in the same clade. Furthermore, the genomic structure of the OR genes also tends to be consistent, suggesting that ORs from the family Aphididae have a relatively close evolutionary relationship. Reads per kilobase per million (RPKM) and tissue expression profiles analyses revealed that 27 out of the 33 MperORs were uniquely or primarily expressed in the antennae, indicating their putative roles in chemoreception. This work provides a foundation to further investigate the molecular and ecological functions of MperORs in the aphid–aphid, aphid–plant and aphid–natural enemy interactions. Full article
(This article belongs to the Section Insect Molecular Biology and Genomics)
Show Figures

Figure 1

6 pages, 3403 KB  
Communication
Possible Role of Accessory Proteins in the Viral Replication for the 20I/501Y.V1 (B.1.1.7) SARS CoV-2 Variant
by Dimpal A. Nyayanit, Prasad Sarkale, Anita Shete-Aich, Abhinendra Kumar, Savita Patil, Triparna Majumdar, Shrikant Baradkar, Pranita Gawande, Sreelekshmy Mohandas and Pragya D Yadav
Pathogens 2021, 10(12), 1586; https://doi.org/10.3390/pathogens10121586 - 7 Dec 2021
Cited by 1 | Viewed by 2818
Abstract
The emergence of new severe acute respiratory syndrome coronavirus-2 (SARS CoV-2) has been a global concern. The B.1.1.7 variant of SARS CoV-2 is reported to cause higher transmission. The study investigates the replication cycle and transcriptional pattern of the B.1.1.7 to hypothesis the [...] Read more.
The emergence of new severe acute respiratory syndrome coronavirus-2 (SARS CoV-2) has been a global concern. The B.1.1.7 variant of SARS CoV-2 is reported to cause higher transmission. The study investigates the replication cycle and transcriptional pattern of the B.1.1.7 to hypothesis the possible role of different genes in viral replication. It was observed that the B.1.1.7 variant required a longer maturation time. The transcriptional response demonstrated higher expression of ORF6 and ORF8 compared to nucleocapsid transcript till the eclipse period which might influence higher viral replication. The number of infectious viruses titer is higher in the B.1.1.7, despite a lesser copy number than B.1, indicating higher transmissibility. The experimental evidence published linked ORF6 and ORF8 to play important role in replication and we also observed their higher expression. This leads us to hypothesis the possible role of ORF6 and ORF8 in B.1.1.7 higher replication which causes higher transmission. Full article
(This article belongs to the Special Issue Transcriptome Analysis of Viruses)
Show Figures

Figure 1

16 pages, 6767 KB  
Article
HTS-Based Diagnostics of Sugarcane Viruses: Seasonal Variation and Its Implications for Accurate Detection
by Martha Malapi-Wight, Bishwo Adhikari, Jing Zhou, Leticia Hendrickson, Clarissa J. Maroon-Lango, Clint McFarland, Joseph A. Foster and Oscar P. Hurtado-Gonzales
Viruses 2021, 13(8), 1627; https://doi.org/10.3390/v13081627 - 17 Aug 2021
Cited by 21 | Viewed by 4808
Abstract
Rapid global germplasm trade has increased concern about the spread of plant pathogens and pests across borders that could become established, affecting agriculture and environment systems. Viral pathogens are of particular concern due to their difficulty to control once established. A comprehensive diagnostic [...] Read more.
Rapid global germplasm trade has increased concern about the spread of plant pathogens and pests across borders that could become established, affecting agriculture and environment systems. Viral pathogens are of particular concern due to their difficulty to control once established. A comprehensive diagnostic platform that accurately detects both known and unknown virus species, as well as unreported variants, is playing a pivotal role across plant germplasm quarantine programs. Here we propose the addition of high-throughput sequencing (HTS) from total RNA to the routine quarantine diagnostic workflow of sugarcane viruses. We evaluated the impact of sequencing depth needed for the HTS-based identification of seven regulated sugarcane RNA/DNA viruses across two different growing seasons (spring and fall). Our HTS analysis revealed that viral normalized read counts (RPKM) was up to 23-times higher in spring than in the fall season for six out of the seven viruses. Random read subsampling analyses suggested that the minimum number of reads required for reliable detection of RNA viruses was 0.5 million, with a viral genome coverage of at least 92%. Using an HTS-based total RNA metagenomics approach, we identified all targeted viruses independent of the time of the year, highlighting that higher sequencing depth is needed for the identification of DNA viruses. Full article
Show Figures

Figure 1

15 pages, 5833 KB  
Article
Physiological and Transcriptomic Analysis Provide Insight into Low Temperature Enhancing Hypericin Biosynthesis in Hypericum perforatum
by Hongyan Su, Jie Li, Sijin Chen, Ping Sun, Hua Xing, Delong Yang, Xiaona Zhang, Mengfei Li and Jianhe Wei
Molecules 2021, 26(8), 2294; https://doi.org/10.3390/molecules26082294 - 15 Apr 2021
Cited by 7 | Viewed by 3799
Abstract
Hypericin (Hyp), well-known as an antidepressant, is mainly extracted from Hypericum perforatum. Although Hyp accumulation and biomass are greater at lower compared to higher temperature, the regulation mechanism has not been reported. Here, the physiological characteristics and transcriptome of H. perforatum grown [...] Read more.
Hypericin (Hyp), well-known as an antidepressant, is mainly extracted from Hypericum perforatum. Although Hyp accumulation and biomass are greater at lower compared to higher temperature, the regulation mechanism has not been reported. Here, the physiological characteristics and transcriptome of H. perforatum grown at 15 and 22 °C were determined and analyzed by HPLC and de novo sequencing. The results showed that the stomatal density and opening percentages were 1.1- and 1.4-fold more, and the Hyp content was 4.5-fold greater at 15 °C compared to 22 °C. A total of 1584 differentially expressed genes (DEGs) were observed at 15 versus 22 °C, with 749 characterized genes, 421 upregulated (UR) and 328 downregulated (DR). Based on biological functions, 150 genes were associated with Hyp biosynthesis, plant growth and the stress response, including photosynthesis, carbohydrate metabolism, fatty acids metabolism, cytochrome P450 (CYPs), morpho-physiological traits, heat shock proteins (HSPs), cold-responsive proteins (CRPs) and transcription factors (TFs). The differential expression levels of the master genes were confirmed by qRT-PCR and almost consistent with their Reads Per kb per Million (RPKM) values. This physiological and transcriptomic analyses provided insight into the regulation mechanisms of low temperature enhancing Hyp biosynthesis in H. perforatum. Full article
Show Figures

Figure 1

10 pages, 2471 KB  
Article
Nucleosome Positioning around Transcription Start Site Correlates with Gene Expression Only for Active Chromatin State in Drosophila Interphase Chromosomes
by Victor G. Levitsky, Tatyana Yu. Zykova, Yuri M. Moshkin and Igor F. Zhimulev
Int. J. Mol. Sci. 2020, 21(23), 9282; https://doi.org/10.3390/ijms21239282 - 5 Dec 2020
Cited by 4 | Viewed by 2910
Abstract
We analyzed the whole-genome experimental maps of nucleosomes in Drosophila melanogaster and classified genes by the expression level in S2 cells (RPKM value, reads per kilobase million) as well as the number of tissues in which a gene was expressed (breadth of expression, [...] Read more.
We analyzed the whole-genome experimental maps of nucleosomes in Drosophila melanogaster and classified genes by the expression level in S2 cells (RPKM value, reads per kilobase million) as well as the number of tissues in which a gene was expressed (breadth of expression, BoE). Chromatin in 5′-regions of genes we classified on four states according to the hidden Markov model (4HMM). Only the Aquamarine chromatin state we considered as Active, while the rest three states we defined as Non-Active. Surprisingly, about 20/40% of genes with 5′-regions mapped to Active/Non-Active chromatin possessed the minimal/at least modest RPKM and BoE. We found that regardless of RPKM/BoE the genes of Active chromatin possessed the regular nucleosome arrangement in 5′-regions, while genes of Non-Active chromatin did not show respective specificity. Only for genes of Active chromatin the RPKM/BoE positively correlates with the number of nucleosome sites upstream/around TSS and negatively with that downstream TSS. We propose that for genes of Active chromatin, regardless of RPKM value and BoE the nucleosome arrangement in 5′-regions potentiates transcription, while for genes of Non-Active chromatin, the transcription machinery does not require the substantial support from nucleosome arrangement to influence gene expression. Full article
(This article belongs to the Special Issue Genome Organization in Interphase Chromosomes)
Show Figures

Figure 1

20 pages, 4914 KB  
Article
Genome-Wide Identification, Classification, Characterization, and Expression Analysis of the Wall-Associated Kinase Family during Fruit Development and under Wound Stress in Tomato (Solanum lycopersicum L.)
by Zongyan Sun, Yanping Song, Di Chen, Yudi Zang, Qiaoli Zhang, Yuetong Yi and Guiqin Qu
Genes 2020, 11(10), 1186; https://doi.org/10.3390/genes11101186 - 12 Oct 2020
Cited by 41 | Viewed by 5631
Abstract
The wall-associated kinase (WAK) and wall-associated kinase like (WAKL) is a subfamily of receptor-like kinases associated with the cell wall, which have been suggested as sensors of the extracellular environment and triggers of intracellular signals. However, these proteins have not yet been comprehensively [...] Read more.
The wall-associated kinase (WAK) and wall-associated kinase like (WAKL) is a subfamily of receptor-like kinases associated with the cell wall, which have been suggested as sensors of the extracellular environment and triggers of intracellular signals. However, these proteins have not yet been comprehensively analyzed in tomato (Solanum lycopersicum L.). In this study, 11 SlWAK and 18 SlWAKL genes were identified in an uneven distribution in 9 of 12 chromosomes. GUB-WAK-bind (wall-associated receptor kinase galacturonan-binding) and epidermal growth factor (EGF) domains appear more often in SlWAK proteins. However, more SlWAKLs (wall-associated kinase like) have a WAK-assoc (wall-associated receptor kinase C-terminal) domain. Based on their phylogenetic relationships, 29 SlWAK-RLKs (wall associated kinase-receptor like kinases) were clustered into three distinct categories analogous to those in Arabidopsis thaliana. High similarities were found in conserved motifs of the genes within each group. Cis-elements in the promoter region of these 29 genes were found mainly in response to methyl jasmonate (MeJA), abscisic acid (ABA), salicylic acid (SA), anaerobic, light, wound, and MYB transcription factors. Public tomato genome RNA-seq data indicates that multiple SlWAK-RLKs showed different expression patterns under developmental and ripening stages of fruits, such as SlWAK4, SlWAKL11, SlWAKL9, SlWAKL15, SlWAKL14, and SlWAKL1, their RPKM (Reads Per Kilo bases per Million reads) value constantly increases during the fruit expansion period, and decreases as the fruit matures. In tomato leaves, our RNA-seq data showed that nine SlWAK-RLKs transcripts (SlWAK3, SlWAK4, SlWAK10,SlWAKL1, SlWAKL2, SlWAKL3, SlWAKL5, SlWAKL14, and SlWAKL18) were significantly induced (p < 0.001), and three transcripts (SlWAK2, SlWAK5, and SlWAKL15) were significantly inhibited (p < 0.001) under mechanical wounding. The qRT-PCR (Quantitative reverse transcription polymerase chain reaction) of SlWAKL1 and SlWAKL6 verify these results. Full article
(This article belongs to the Special Issue Genetics and Genomics of Solanaceae)
Show Figures

Figure 1

Back to TopTop