Simple Summary
We show how the relationship between the sub-network entropy of malignant up-regulated genes in twelve different types of cancer, spanning the entire spectrum of 5-year overall survival rates, can serve as a benchmark for optimizing RNA-seq workflows. Assessing the Shannon entropy of sub-networks formed by malignant up-regulated genes by several RNA-seq workflow approaches, such as DESeq2 and edgeR, but also by evaluating nine normalization methods on paired samples of TCGA RNA-seq, we found that the pipeline incorporating TPM normalization coupled with log2 fold change yielded the best correlation coefficient between cancer aggressiveness and tumor entropy.
Abstract
RNA-seq faces persistent challenges due to the ongoing, expanding array of data processing workflows, none of which have yet achieved standardization to date. It is imperative to determine which method most effectively preserves biological facts. Here, we used Shannon entropy as a tool for depicting the biological status of a system. Thus, we assessed the measurement of Shannon entropy by several RNA-seq workflow approaches, such as DESeq2 and edgeR, but also by combining nine normalization methods with log2 fold change on paired samples of TCGA RNA-seq representing datasets of 515 patients and spanning 12 different cancer types with 5-year overall survival rates ranging from 20% to 98%. Our analysis revealed that TPM, RLE, and TMM normalization, coupled with a threshold of log2 fold change ≥1, for identifying differentially expressed genes, yielded the best results. We propose that Shannon entropy can serve as an objective metric for refining the optimization of RNA-seq workflows and mRNA sequencing technologies.
1. Introduction
The utilization of RNA sequencing (RNA-seq) has advanced significantly in cancer research and therapy over recent years [1,2]. RNA-seq, entailing thorough sequencing of RNA transcripts, was initially introduced in 2008 [3,4]. The primary objectives of RNA-seq analyses include the identification of differentially expressed and co-regulated genes, along with the inference of biological significance for subsequent investigations. Bulk RNA-seq employs a tissue or cell population as its starting material, yielding a blend of distinct gene expression profiles from the subject material under study. The transcriptomic landscapes of tumors exhibit considerable heterogeneity both among tumor cells, attributable to somatic genetic modifications, and within tumor microenvironments, arising from substantial stromal infiltration and the presence of diverse cell types within the tumor [5].
The domain of RNA-seq encounters persistent challenges, particularly concerning data processing and analysis. Unlike the microarray domain, which has seen a convergence of data processing methodologies into well-defined, widely accepted workflows over time, RNA-seq presents a continuously expanding array of data processing workflows, none of which has yet achieved standardization [6,7]. This situation partly arises from the diverse applications of RNA-seq, which may deviate from the underlying assumptions of the analytical methods employed [8], as real-world data often exhibit variations beyond those accommodated by theoretical models. Additionally, the verification of theoretical distributional assumptions remains challenging and can engender controversy [9]. Consequently, only a limited number of such signature panels have successfully transitioned into clinical practice due to issues of reproducibility. Nonetheless, it is recognized that certain genes exhibit consistent expression patterns within tumors [10,11], despite substantial intra- and inter-variability. These genes hold better promise for improved prognostics [5].
The primary method for assessing normalization techniques involves comparing the outcomes of raw and normalized data with quantitative real-time PCR (qRT-PCR), widely regarded as the gold standard for determining true expression values [12]. Although qRT-PCR has long served as a reference in numerous investigations, it is not flawless as an expression measurement assay itself, making it uncertain a priori which technology currently yields the most precise expression estimates [13]. In a considerable portion of the methods examined, genes exhibiting inconsistent expression across independent datasets tended to be smaller, possess fewer exons, and exhibit lower expression levels compared to genes with consistent expression measurements [6]. However, when evaluating relative quantification performance, several workflows displayed high expression correlations between RNA-seq and qRT-PCR expression intensities, indicating a generally high level of concordance between RNA-seq and qRT-PCR, with nearly identical performance observed across individual workflows [6]. Given that weakly expressed genes are typically utilized as a reference by parametric methods for normalizing RNA-seq data across samples, it is unsurprising that the detection sensitivity for their differential expression is relatively low. In this regard, non-parametric methods exhibit superior performance but may be susceptible to outliers with high expression levels [14]. However, depending on sequencing coverage, genes showing high levels of differential expression are more likely to be detected, leading to a convergence of results across methods [15]. Additionally, it appears that short reads facilitate simpler methodological workflows compared to longer reads [16,17].
To address biological and methodological variations within a user-friendly framework, an expanding array of open-access semiautomated pipelines is emerging online. Examples include iDEP [18], LVBRS [19], RNAseqChef [20], and NormSeq [21]. It has been observed that achieving consensus among pipelines enhances the diagnostic accuracy of differentially expressed genes (DEGs), suggesting that combining diverse methodologies can yield more robust results [22].
The objective of normalization is to mitigate or remove technical variability. A prevalent approach, shared among numerous normalization methods, involves redistributing signal intensities across all samples to ensure they exhibit identical distributions [23]. An essential step in an RNA-seq analysis is normalization, where raw data are adjusted to account for factors such as total mapped reads and coding sequence (CDS) size. Errors in normalization can greatly impact downstream analyses, leading to inflated false positives in differential expression studies [8]. The distortions produced include false effects (false positives), effect-size reduction, and masking of true effects (false negatives), as demonstrated by Wang et al. [24]. For instance, raw counts are often not directly comparable within and between samples [14]. Additionally, other stages of RNA-seq processing throughout the pipeline execution may also impact outcomes. A recurring challenge is assessing the reliability of RNA-seq processing and the confidence level associated with downstream findings. An essential consideration in the comparison of normalization methods is to ascertain which method most effectively retains biological veracity [12]. While several normalization methods [25] and processing techniques [26] have been compared, discrepancies between them remain unclear.
Another approach that has been pursued is normalization by referencing housekeeping or spike-in genes [21]. Housekeeping genes are assumed to exhibit consistent expression levels across samples from diverse tissues, and it has been demonstrated that normalizing qRT-PCR data using conventional reference genes yields comparable results to those obtained using stable reference genes selected from RNA-seq data [27]. However, the notably small dispersions and proportion of DEGs in spike-in data could yield substantially varied benchmarking results [28], rendering this technique unreliable [29].
There are essentially two categories of RNA-seq normalization methods [14]: (i) non-parametric methods that do not impose a rigid model of gene expression to be fitted. These methods implicitly consider that data distribution cannot be defined by a finite set of parameters, so the amount of information about the data can increase with its volume [22]. An example of non-parametric methods is Reads per Kilobase Per Million Mapped Reads (RPKM, [30]), where counts of mapped reads are normalized by reference to the total read number and CDS size. These methods also include RPKM variations such as FPKM and TPM [12,31], and (ii) parametric methods entail the mapping of expression values for a specific gene into a specific distribution, such as a Poisson or negative binomial. One example of a parametric method is DESeq2 [32], which normalizes count data and estimates variance using a negative binomial distribution model [33]. This approach is predicated on the assumption that the majority of genes are not differentially expressed, and it accommodates variations in sequencing depth across samples.
Parametric and non-parametric methods can be used to assess the differential expression on a gene-by-gene basis or on a population-wide basis. Following normalization, differential expression analysis on a gene-by-gene basis is conducted by log transformation to ascertain fold changes, expressed as positive (up-regulation) or negative values (down-regulation). The classification threshold for fold changes is determined according to the logarithm base of 2. Therefore, a log fold change of 1 corresponds to a twofold difference in expression, while a log fold change of 2 corresponds to a fourfold difference in expression, etc.
In the population-wide approach, as utilized by Carels et al. [34], the threshold for differential expression is established by referencing the overall population of DEGs, which is modeled by fitting a Gaussian function to the observed distribution of DEGs. According to this methodology, a gene is categorized as being up-regulated (or down-regulated) if its normalized raw count exceeds a critical value determined based on a user-defined p-value. Consequently, for a gene to be classified as up-regulated, its level of differential expression must surpass that of the majority of other genes within the population (population-wide).
The method of evaluating the expression of genes by reference to the population of DEGs has been used to identify up-regulated hub targets in solid tumors [10,11,34,35,36].
Through the utilization of this approach, Conforte et al. [10] reaffirmed the correlation observed by Breitkreutz et al. [37] between the entropy degree of protein–protein interactions (PPI) and cancer aggressiveness, initially discovered using KEGG, this time employing RNA-seq data sourced from TCGA.
Here, we propose utilizing the negative correlation between the entropy of the PPI sub-network of malignant up-regulated genes and tumor aggressiveness, quantified by the 5-year overall survival (OS) rate of patients, as a benchmark for evaluating RNA-seq processing methods. We validated this process in three steps: (i) We evaluated the performance of RPKM and median normalization on a gene-by-gene basis and by referencing the population of DEGs across eight types of cancer (475 patients), spanning 5-year OS rates from 30% to 98%, according to previous studies [10,11]. (ii) We compared RPKM to seven read count normalizations, i.e., transcript per million (TPM, [38]), counts per million (CPM, [14]), median (Med, [14]), upper quantile (UQ, [39]), relative log expression (RLE, [32]), quantile normalization (QN, [40]), and trimmed mean of M-values (TMM, [41]), as well as to two cross-sample distribution-based methods, i.e., DESeq2 [32] and edgeR [42]. (iii) Based on the best performing methodologies identified in these comparisons, we tested paired samples from additional cancer types from TCGA to validate the approach, including bladder carcinoma (BLCA), lung adenocarcinoma (LUAD), colon adenocarcinoma (COAD), and uterine carcinoma (UCS).
According to this Bayesian learning process, we found the following: (i) The coefficient of correlation between average entropy per cancer type and aggressiveness (5-year OS) is a suitable metric for the comparative performance of biological information extraction from sub-networks of up-regulated malignant genes. (ii) TMM, QN, and RLE, a group of methods that determine a scaling factor for variation stabilization, produced a correlation coefficient similar to TPM but with a standard deviation approximately 25% lower. The straightforward approach of combining a normalization method (even without a scaling factor for variation stabilization) with log2 fold change yielded better average correlation coefficients than probabilistic methods such as DESeq2 and edgeR for determining network entropy. (iii) The correlation coefficient decreased from r ≈ −0.94 to r ≈ −0.67 when the number of cancer types increased from 8 to 12.
2. Materials and Methods
2.1. RNA-Seq
The gene expression data were acquired in the form of RNA-seq files (raw counts) of paired samples (malignant and healthy tissue from the same patient from a cohort of 515 individuals; Table S1) from the GDC Data Portal (https://portal.gdc.cancer.gov/, accessed on 1 March 2020, see [11]). The data sourced from GDC are presented in Table 1 and account for 12 different types of cancer.
Table 1.
Raw counts from RNA-seq of paired samples from GDC.
RNA-seq profiles were available for 60,483 GDC sequences (Ensembl accessions). However, to compute entropy, we needed PPIs that were extracted from the 2017 version of IntAct (https://www.ebi.ac.uk/intact/download/ftp, accessed on 11 January 2018). Given that IntAct PPIs are given in UniprotKB accessions, the process of establishing equivalence between Ensembl and UniProtKB accessions (Esembl2UK step) was limited to 15,526 genes (~75% of the human proteome). Consequently, it was this latter dataset that underwent the entire comparative analysis.
2.2. Overall Survival
The 5-year survival rates of the malignant tissues were inferred based on the overall survival (OS) data available from the Cancer Genome Atlas Clinical Data Resource (TCGA-CDR) [43], which contains curative clinical and survival data from TCGA patients specifically designed to eliminate incomplete survival (follow-up) information. Table S1 of Liu et al. [43] has two columns, “OS” and “OS.time”, that were used in GraphPad Prism (Boston, MA, USA) software version 5.02 for survival curve analysis for BLCA, COAD, and UCS, indicating death/event as 1 and censored data as 0. This analysis resulted in survival rates corresponding to days to “death/last follow-up” for each cancer type (Table S2, Figure S1). The survival rate observed over 5 years (1200 days) was used to represent each cancer type. The 5-year OS of STAD, LUSC, LUAD, LIHC, KIRC, KIRP, BRCA, THCA, and PRAD were drawn from Table S4 (https://www.frontiersin.org/articles/10.3389/fgene.2019.00930/full#supplementary-material, accessed on 10 May 2024) of Conforte et al. [10].
2.3. Basic Normalization Methods
RPKM: The gene expression in reads per kilobase (RPK) of a gene is defined as the ratio of the number of reads mapped to it over its length (in kilobases) and RPKM as the ratio of the RPK of a gene over the total reads in the sample (in millions) [30].
Here, we computed RPKM (RPKM normalization step) according to Formula (1)
where:
RCg: number of reads mapped to the gene;
RCpc: number of reads mapped to all protein-coding genes;
L: size of the coding sequence in base pairs;
δ: A tuning factor such that when δ = 0, Formula (1) is equivalent to the standard RPKM. In this work, we used δ = 0.95 because it optimized the coefficient of correlation between entropy and 5-year OS.
TPM: The gene expression in transcripts per million (TPM) of a gene is defined as the ratio of its RPK over the sum of all RPKs (per million) [38]. We computed raw counts in accordance with Formula (2) using a custom Perl script derived from the one used for RPKM calculation.
Median: We used a custom Perl script to implement the procedure described in https://scienceparkstudygroup.github.io/rna-seq-lesson/05-descriptive-plots/index.html#43-deseq2-normalized-counts-median-of-ratios-method (accessed on 10 May 2024) for normalizing paired samples of raw counts obtained from GDC RNA-seq data (median normalization step).
2.4. Extended Normalization Methods
In this section, we aim to compare the normalization methods provided by the NormSeq server (https://arn.ugr.es/normSeq, accessed on 10 May 2024) to RPKM and TPM. Briefly and citing Scheepbouwer et al. [21], the purpose of these methods can be summarized as follows:
Counts Per Million (CPM): CPM normalization corrects for library size without considering transcript length [14].
Median (Med): median normalization adjusts the data of each individual sample by adding a constant value to achieve the same median value across all samples [14].
Upper Quantile (UQ): all genes with a read count of 0 are removed, followed by a division of the remaining gene counts by the upper quartile [39].
Relative log expression (RLE): for each gene, the RLE scaling factor is computed as the median of the ratio of the read counts by taking the geometric mean across all samples [32].
Quantile normalization (QN): quantile normalization applies a mathematical transformation to the rank statistics across samples [40].
Trimmed mean of M-values (TMM): the TMM method estimates scale factors for comparing libraries on a relative scale [41].
2.5. Differential Expression Method
Here, we considered DESeq2 [32] and edgeR [42] as reference software for benchmarking the capacity of entropy to report on the extraction of biological information given the complexity of sub-networks associated with malignant up-regulated genes. Both packages are cross-sample distribution-based methods that estimate the dispersion parameter for each gene, reflecting the variability of read counts according to the negative binomial distribution. This software applies the Benjamani–Hochberg procedure to control the false discovery rate (FDR), helping manage the multiple testing problems inherent in RNA-seq data analysis (cf. https://bioconductor.org/packages/release/bioc/manuals/DESeq2/man/DESeq2.pdf, accessed on 10 May 2024). However, they differ in their normalization methods: DESeq2 is based on the median of ratios to normalize read counts (MRN), and EdgeR is based on the trimmed mean of M-values (TMM). DESeq2 was run from the iDEP server (http://bioinformatics.sdstate.edu/idep/, accessed on 10 May 2024) [18] and edgeR from NormSeq (https://arn.ugr.es/normSeq, accessed on 10 May 2024).
2.6. Up-Regulated Genes
Gene-by-gene: Log2 fold change was computed with a custom Perl script (log fold change step). Genes exhibiting a differential expression exceeding log2 > +1 (fold change = 2) were categorized as up-regulated.
Population-wide: To identify significant DEGs in the tumor samples, we subtracted the gene expression values of control samples from their respective tumor-paired samples. The resulting values were referred to as differential gene expression (DEG step). Negative differential gene expression values indicated higher gene expressions in control samples, while positive differential gene expression values indicated higher gene expressions in tumor samples.
To expand the distribution of DEGs, we eventually applied a log transformation (xlogx step).
The Gaussian function was fitted onto the normalized differential expression with the Python package scipy. Probability density and cumulative distribution functions (PDF and CDF, respectively) were computed within the range of differential gene expression from −30,000 to +30,000 to calculate the critical value (CVC step) corresponding to a one-tail cumulative probability p = 0.975, equivalent to a p-value α = 0.025. Genes were categorized as up-regulated if their differential expression exceeded the critical value associated with p = 0.975. The range of −30,000 to +30,000 was suitable for the p-value and normalization conditions outlined in this report.
In a subsequent step, the protein–protein interaction (PPI) sub-networks were inferred for the proteins identified as products of up-regulated genes (obtained by gene-by-gene or population approaches). The sub-networks were derived by cross-referencing these gene lists with the human interactome (SRC step).
The human interactome (151,631 interactions among 15,526 human proteins with UniProtKB accessions) was obtained from the intact-micluster.txt file (version updated December 2017), accessed on 11 January 2018.
We used the PPI sub-networks of up-regulated genes from each patient to determine the connectivity degree of each vertex (protein) by automatically counting their edges (CC step). These metrics were used to compute the Shannon entropy (ETP step) of each PPI sub-network, as elaborated in the section entitled “Shannon Entropy” below.
2.7. Shannon Entropy
Shannon entropy is a suitable measure to calculate the complexity or information content of networks (see Zenil et al. [44]); it was calculated with Formula (3)
where p(k) is the probability of occurrence of a vertex with a rank order k (k edges) in the sub-network considered. The sub-networks were generated automatically from gene lists found to be up-regulated in each patient. The edges between sub-network vertices were established by referencing the interactions described in the IntAct interactome [45]. Subsequently, the sub-network vertices were listed and counted. The events of k edges were computed from the minimum value of one edge between two vertices to the event corresponding to the vertex with the maximal edges n and its neighbors for the sub-network under consideration. When k did not match any vertex in the network, its corresponding entropy was not computed because it would result in an undefined value (log2(0) is undefined). All the Perl scripts involved in this process were custom-made and described in Pires et al. [11]. The script for entropy calculation produced results identical to those obtained using the Entropy function of R (https://www.rdocumentation.org/packages/DescTools/versions/0.99.54/topics/Entropy, accessed on 10 May 2024).
2.8. Statistics
The correlations were obtained with the classical formula r = cov(X,Y)/σXσY and orthogonal regression lines as reported by Jolicoeur [46]. The scripts of this report can be downloaded from GitHub: https://github.com/BiologicalSystemModeling/Theranostics, accessed on 10 May 2024 under the MIT License.
3. Results
3.1. Step 1: Assessment of Normalization on a Gene-by-Gene or Population-Wide Basis
When comparing the up-regulated genes as computed by the gene-by-gene approach for RPKM (Figure 1A) and median (Figure 1B) normalization methods, we obtained the plots of Figure 1C and Figure 1D, respectively.
Figure 1.
Pipelines to compute the relationship between the entropy of up-regulated gene networks in GDC-paired samples from the RNA-seq of 8 cancer types and their 5-year OS by the gene-by-gene approach. (A). Pipeline of RPKM normalization and log fold change. (B). Median normalization and log fold change. (C). RPKM (A pipeline; r = −0.91; y = −0.0196 x + 4.08). (D). Mednorm (B pipeline; r = −0.80; y = −0.0107 x + 3.41). 1 STAD, 2 LUSC, 3 LIHC, 4 KIRC, 5 KIRP, 6 BRCA, 7 THCA, 8 PRAD. The boxes represent the average entropy per cancer type, and the whiskers correspond to their standard deviations.
When considering log fold change, the correlation coefficient improved with RPKM normalization (r = −0.91; Figure 1C) compared to the Mednorm approach (r = −0.80; Figure 1D) in the gene-by-gene analysis. Although the slope associated with the pipeline in Figure 1C is greater than that of Figure 1D, the disparities in correlation between both relationships are not striking.
When comparing the correlation coefficients of both normalization methods within the population-wide approach (Figure 2A,B), it is evident that the linear regression associated with the negative correlation by RPKM (Figure 2C) is maintained, albeit slightly lower (r = −0.84).
Figure 2.
Pipelines to compute the relationship between the entropy of up-regulated gene sub-networks in GDC-paired samples from the RNA-seq of 8 cancer types and their 5-year OS by the population-wide approach. (A). Pipeline of RPKM normalization with the xlogx step. (B). Pipeline of median normalization with the xlogx step. (C). RPKM (A pipeline; r = −0.84; y = −0.0096 x + 3.25). (D). Mednorm (B pipeline; r = −0.16; the correlation is too low to fit a regression line). 1 STAD, 2 LUSC, 3 LIHC, 4 KIRC, 5 KIRP, 6 BRCA, 7 THCA, 8 PRAD. The boxes represent the average entropy per cancer type, and the whiskers correspond to their standard deviations.
Conversely, in Figure 3D, the linear regression linked to the negative correlation by Mednorm is lost as the correlation coefficient does not exceed r = −0.16, indicating a loss of discrimination power for highly expressed genes. This loss of discrimination power for highly expressed genes can be attributed to the use of the median to mitigate the variance introduced by these genes.
Figure 3.
Pipelines to compute the relationship between the entropy of up-regulated gene networks in GDC-paired samples from the RNA-seq of 8 cancer types and their 5-year OS by the population-wide approach. (A). Pipeline of RPKM normalization without the xlogx step. (B). Pipeline of median normalization without the xlogx step. (C). RPKM (A pipeline; r = −0.72; y = −0.0067 x + 2.40). (D). Mednorm (B pipeline; r = −0.17; the correlation is too low to fit a regression line). 1 STAD, 2 LUSC, 3 LIHC, 4 KIRC, 5 KIRP, 6 BRCA, 7 THCA, 8 PRAD. The boxes represent the average entropy per cancer type, and the whiskers correspond to their standard deviations.
The effect of the xlogx transformation is depicted in Figure 4, where the histogram of the RPKM pipeline without xlogx transformation is shown in Figure 4A, and the same pipeline with the inclusion of the xlogx step is presented in Figure 4B. The addition of the xlogx step results in a flattening and broadening of the DEG distribution, enhancing the list of genes categorized as up-regulated.
Figure 4.
Histogram of the DEGs of the TCGA-A7-A0D9 sample using the RPKM pipeline. (A): Without xlogx transformation (pipeline of Figure 3A). (B): With xlogx transformation (pipeline of Figure 2A). The dot line stands for the critical value corresponding to the p-value 0.025 above which genes are considered up-regulated in tumors relative to their paired control on a population-wide basis.
The flattening and broadening of the DEG distribution is correlated with that of the δ tuning factor. The native RPKM formula (δ = 0) produces a very narrow distribution, while with δ = 0.95, the normalized counts are inflated, which results in spreading the DEG distribution for the pipelines of Figure 2A or Figure 3A. Thus, as δ increases above 0, the DEG distribution becomes narrower, the critical value associated with the same p-value decreases, the size of the up-regulated gene list decreases, and the entropy decreases. The entropy reduction is expected from the fact that the probability of drawing a hub with a high connection degree is lower in a small list than in a large one. By contrast, varying δ had no effect on the size of the up-regulated gene list in the Figure 1A pipeline since, whatever the normalized value of read counts, the proportion between the malignant and reference RNA-seq through log2 fold change remains the same. Thus, tuning δ was only effective for the population-wide approach but not for the gene-by-gene one.
To gain a deeper insight into the impact of computing differential expression on a population-wide basis versus a gene-by-gene approach, let us consider the practical scenario of BRCA: (i) A gene may exhibit expression levels in tumors that are at least two times higher (fold change ≥ 2) compared to its corresponding normal tissue, where its expression level may be close to zero. Despite being expressed at least two times higher in tumors compared to normal tissue, it may still be expressed at a low level if compared to other DEGs after normalization. This example illustrates that such a gene might not be categorized as up-regulated by a population-wide approach, whereas it would be by a gene-by-gene approach. An instance of this case is MKI67, whose normalized expression levels were <x> = 1541.9 (σ = 1034.7) in the tumor and <x> = 261.4 (σ = 190.3) in the normal tissue. (ii) The population-wide approach considers DEGs to be significant when the expression difference between the tumor and the normal tissue surpasses that of the DEG population based on a specified p-value threshold. In other words, the absolute value of the expression difference in the tumor does not necessarily need to be at least two times greater than that in the normal tissue; it simply needs to exceed the critical value associated with the chosen p-value. An example of this is the chaperone HSP90AB1, whose normalized expression levels were <x> = 16,748.9 (σ = 5174.2) in the tumor and <x> = 12,491.7 (σ = 2865.3) in the normal tissue. (iii) Considering the xlogx transformation, the resulting distribution flattening and broadening amplifies (by a factor of 3) the critical value associated with a specific p-value. This alteration may influence its association with the classification of a gene as up-regulated or not, as indicated by the higher entropy observed when compared to pipelines lacking the xlogx step. For instance, considering a p-value of 0.025, the critical values were <x> = 3104.9 (σ = 371.7) for the RPKM pipeline without the xlogx step and <x> = 10,900.7 (σ = 1364.2) for that pipeline including it.
3.2. Step 2: Comparison of Normalization Methods and Differential Expression Determination Processes
The average entropies in Table 2 were calculated from each paired sample (Table S3) by replacing RPKM by TPM in the pipeline of Figure 1A and replacing the normalization method step in Figure 1B with UQ, Med, CPM, RLE, QN, or TMM.
Table 2.
Comparison of RPKM to seven normalization methods and two methods of differentially expressed gene (DEG) identification.
Table 2 shows that the correlation coefficient between entropy and 5-year OS for the sub-networks of malignant up-regulated genes of eight cancer types was lower for DESeq2 and edgeR (r = −0.72) compared to the correlation obtained with a log2 fold change ≥ 1 filter applied to the raw count normalized with any method (even with no normalization). RLE and PCA plots are given in Figure S2 for DESeq2.
This table also shows that TPM (r = −0.94) ranks highest among methods without variance stabilization by a scaling factor, such as RPKM (r = −0.91), UQ (r = −0.81), Med (r = −0.93), and CPM (r = −0.77). Some of these methods performed even better than variance-stabilized methods (RLE: r = −0.91, QN: r = −0.90, TMM: r = −0.91), but they exhibited nearly double the rate of average standard deviation (0.4 to 0.6 compared to ~0.3).
The variance stabilization of RLE, QN, and TMM normalizations can be verified from their RLE plots [47] compared to UQ, Med, and CPM (Figure S3). However, variance stabilization does not necessarily improve the PCA classification of control and tumor samples (Figure S4); in some cases, the PCA classification is effective, and in others, it is not, without any apparent correlation to any specific feature.
3.3. Step 3: Generalization of the Degree-Entropy vs. 5-Year OS Relationship
Since the eight cancer types in Table 2 could be the result of an over-fitting process, we included paired samples of four additional cancer types: BLCA, LUAD, COAD, and UCS. Table 3 shows that it is indeed the case; however, the negative relationship between entropy and 5-year OS is maintained. The best result was obtained with TPM (r = −0.674), while RLE (r = −0.602) and TMMM (r = −0.598) exhibited lower correlation coefficients but were similar and had a lower variance.
Table 3.
Comparison of the best performing methods for RNA-seq of 12 cancer types.
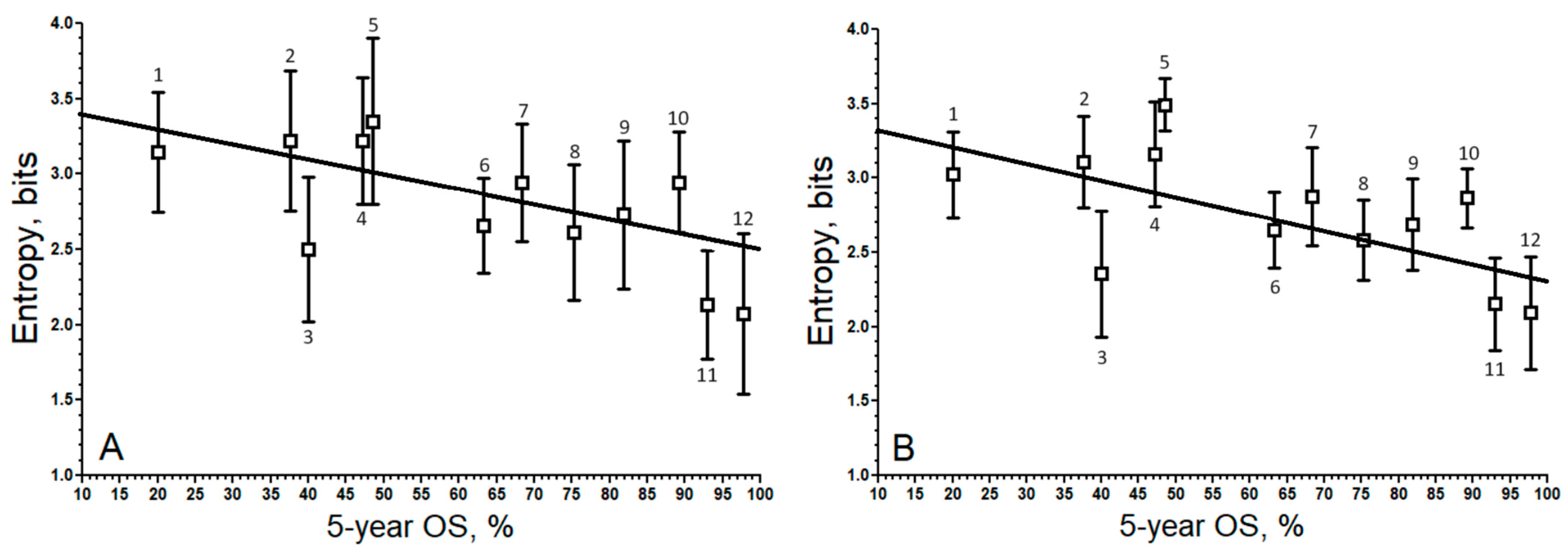
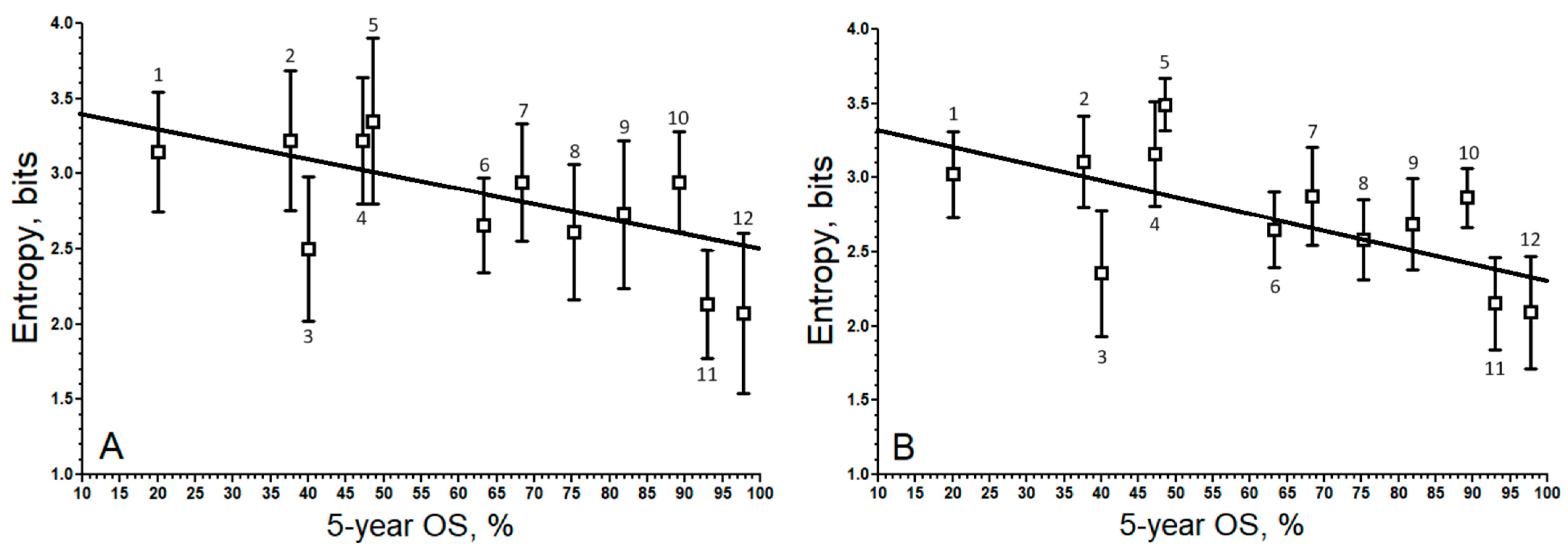
By plotting the relationship entropy vs. 5-year OS for TPM (Figure 5A) and RLE (Figure 5B), one can better visualize the lower variation associated with RLE compared to TPM. Both relationships are very similar. The decrease in the correlation coefficient from TPM to RLE or TMM is due to the decrease in covariance. The covariance for TPM was −6.458, while for RLE, it was −5763. From this, one may conclude that variance stabilization through the application of a scaling factor has a negative effect on the correlation.
Figure 5.
Relationship of degree entropy of the sub-network formed by the up-regulated malignant genes vs. their corresponding patients’ 5 year OS. (A). TPM (r = −0.67; y = −0.0114 x + 3.518). (B). RLE (r = −0.60; y = −0.0101 x + 3.401). 1 BLCA, 2 STAD, 3 LUAD, 4 LUSC, 5 LIHC, 6 KIRC, 7 COAD, 8 KIRP, 9 BRCA, 10 UCS, 11 THCA, 12 PRAD. The boxes represent the average entropy per cancer type, and the whiskers correspond to their standard deviations.
4. Discussion
4.1. Biological Significance of Degree-Entropy
As highlighted in Abrams et al. [12], the primary objective of RNA-seq processing should be the preservation of biological signals. However, given the intricate nature of biological systems, careful consideration must be given to minimize processing biases while accurately capturing these signals. While RNA-seq offers insights into gene expression, it captures only a fraction of biological characteristics and thus falls short of fully encompassing biological signals. It is therefore argued that a system approach to gene expression is necessary to achieve comprehensive understanding.
Linking RNA-seq data to the interactome provides a system-level dimension by integrating gene expression data with the topological structure of the biological system under investigation. The interactome facilitates a synthetic transformation of gene expression data into a representation of the biological system, serving as a benchmark. Nonetheless, questions arise regarding the common attributes of biological systems, and methodologies suitable for mathematically representing and evaluating RNA-seq processing performances.
Among the distinguishing features of biological systems, adaptability emerges prominently [48]. There exists a trade-off between adaptability and the robustness of biological networks [49], where robustness signifies stability and resilience denotes the ability to return to equilibrium after perturbation. Both attributes are crucial for the survival of biological entities [50]. Studies consistently demonstrated that resilience at lower organizational levels contributes significantly to the robustness of entire systems [51]. Key features of resilience at the network level encompass modularity, redundancy, and diversity [52], wherein (i) redundancy in pathways or isoforms enhances adaptation to varying environmental conditions, (ii) modularity represents dense clusters of connections between vertices, and (iii) diversity refers to the variety of elements within the system. These features can be depicted by network topology, specifically by the distribution of edges per vertex.
Hubs have been associated with protein essentiality based on their positional context within the network [53,54]. Additionally, hubs can act as bottlenecks, linking numerous inputs to a limited number of outputs. These bottleneck proteins, as pivotal connectors, are more likely to be essential [55]. The essentiality of central hubs within modules surpasses that of peripheral hubs [53,54], and inhibiting them exerts a more profound disarticulating effect on the network compared to less connected vertices [56,57]. In cancer contexts, hubs can rewire pathways through negative and positive feedback loops [50,51,58,59,60,61,62], leveraging their ability to interface with partners from diverse pathways [63]. Stochastic alterations in tumor cell transcriptional programs enhance their adaptative potential across varying conditions. Gurova [64] hypothesized that unstable chromatin facilitates stochastic transitions between transcriptional programs in aggressive cancers, potentially enabling the repurposing of existing signal transduction pathways [58,65]. Many cancer-related hubs function as chaperones, rectifying misfolded proteins arising from mutations, thereby decoupling genetic variations (mutations) from phenotypic expression and isolating low-level fluctuations from high-level functionalities (phenotype variation) [50]. These resilience mechanisms are needed for sustaining or even enhancing tumor aggressiveness within their environment [58,66].
These considerations underscore the importance of evaluating biological systems using networks, particularly PPI networks, in the context of cancer. Entropy serves as a metric for assessing the structural and dynamic properties of networks, which is biologically relevant because the macroscopic resilience of a steady state correlates with the uncertainty in the underlying microscopic processes, a property quantifiable through entropy [53]. Given that cancer-related hubs exhibit topological properties associated with the key biological functions discussed earlier, their evaluation within sub-networks of malignant up-regulated genes is crucial for elucidating tumor characteristics. The overexpression of hubs significantly contributes to an elevation in the overall entropy rate [67]. However, entropy alone lacks significance without contextualization. Therefore, accurately examining its correlation with patient 5-year OS, a measure of cancer aggressiveness, becomes paramount [10].
The biological systems represented by tumors across 12 cancer types, ranging in aggressiveness from 20% to 98%, exhibit considerable complexity and variability. Sources of variance in RNA-seq include (i) the tissue origin of samples, (ii) sequencing technology, (iii) sequencing equipment, (iv) sequencing personnel, (v) sequencing coverage, (vi) read size, and (vii) differential expression profiles. These factors collectively influence workflow performance, prompting questions about whether (i) the workflow can consistently achieve high success rates across samples of such diverse complexity or (ii) it can demonstrate superior performance with specific sample types. Ideally, a workflow capable of delivering reliable results across a broad spectrum of biological complexities is preferred. Maximizing the correlation coefficient between entropy and aggressiveness across this diversity of biological contexts is akin to identifying the optimal combination of technologies that performs effectively across the spectrum of variability.
It is well acknowledged that multiple genomic clonal populations within a neoplasm arise from divergent evolution of progeny cells, leading to increased tumor heterogeneity over time [68,69,70,71,72,73]. Significant temporal changes in transcriptome profiling and chromatin accessibility have been observed due to the emergence of distinct cell populations [74].
Given that tumor aggressiveness is known to correlate positively with complexity [75,76,77,78], entropy emerges as a suitable metric for benchmarking RNA-seq workflows. Here, we consider tumor heterogeneity and complexity comprehensively, focusing solely on bulk RNA-seq. In bulk RNA-seq, up-regulated genes reflect the average expression levels conserved across the various cell lineages within the tumor sample being sequenced [79]. If this sample is representative of the entire tumor, one may hypothesize that up-regulated genes identified in bulk RNA-seq represent the primary determinants of cancer—those that render the tumor compatible with its environment. Expanding on this, the quantitative concept of aggressiveness can be defined as a secondary determinant of biological systems, stemming from their ability to more or less effectively exploit an ecological niche [80]. In the context of cancer, this niche exists between the tumor and its host tissue. In contrast to genes whose overexpression is consistently significant throughout the tumor, those that are selectively overexpressed in specific cell lineages without a discernible impact on the overall tumor level could be regarded as secondary determinants.
As highlighted by Baltazar et al. [81], “mean entropies represent the average contribution from individual hubs”. Consequently, given that aggressive tumors exhibit heightened complexity and molecular heterogeneity, and considering that networks accurately portray tumor biology, entropy emerges as a pertinent measure of network topology (i.e., complexity) and aggressiveness, as demonstrated by Conforte et al. [10]. Furthermore, hubs should be acknowledged as key components influencing network entropy [56]. Therefore, we advocate for the importance of leveraging the relationship between tumor entropy and 5-year OS (or any other measure of cancer aggressiveness) as a benchmark for evaluating RNA-seq processing methodologies. Ultimately, it is imperative to identify the optimal workflow for diagnosing hubs that are most suitable for theranostic applications.
According to Hu et al. [82], hubs show significant enrichment in the PPI network of 18 classes of diseases, including those of the stomatognathic, endocrine, digestive, respiratory, female urogenital, nervous, and musculoskeletal systems, as well as cancers. Therefore, it is plausible to anticipate a correlation between network topology and the specific characteristics of these diseases. However, we would expect that a RNA-seq workflow optimized for cancer should also be applicable to RNA-seq from other biological systems. The main divergence lies in the read mapping process, primarily due to the frequent occurrence of mutation, fusion, and indel events in genes affected by malignant processes. Given that cancer poses the most demanding scenario for extracting biological information via RNA-seq, there is no apparent reason why a workflow tailored for tumor samples would not be suitable for RNA-seq aimed at characterizing other biological contexts.
4.2. Comparison of Gene-by-Gene and Population-Wide Approaches
The correlation observed between the entropy of up-regulated genes using the gene-by-gene approach and the 5-year OS (r = −0.91) with STAD, LUSC, LIHC, KIRC, KIRP, BRCA, THCA, and PRAD suggests that the PPI sub-network of up-regulated genes associated with aggressive cancer (LUSC, LIHC, and STAD) exhibits greater complexity. This complexity is characterized by an increased number of hubs and alternative pathways, providing higher redundancy when compared to less aggressive cancers (THCA, PRAD). The remarkably high correlation coefficient delineates three distinct groups of entropy versus aggressiveness, with KIRC, KIRP, and BRCA positioned in the middle. The heightened pathway redundancy observed in aggressive cancer serves as a mechanism for tumor resilience to therapeutics and a propensity for relapse. The negative correlation identified through the gene-by-gene approach corroborates findings from previous studies [10,37,83,84,85]. Notably, this correlation remains robust despite the various origins of the TCGA data, which were generated in different laboratories by disparate teams, using distinct sequencing technologies.
Moreover, the correlation level associated with the gene-by-gene approach underscores the relationship between the entropy of up-regulated genes and the 5-year OS, serving as an objective benchmark for refining bioinformatic pipelines and sequencing technologies. This benchmark aids in fine-tuning the pipelines to maximize the extraction of biological information from RNA-seq data with high precision, as detailed in this report.
The gene-by-gene approach extracts more up-regulated genes than the population-wide method because certain genes, which may be up-regulated by a factor of 2 in the tumor compared to control, might still exhibit low-level up-regulation on a population-wide scale. A filter for RPKM > 10 [7] did not change this picture significantly. In contrast, the difference in differential gene expression between the tumor and its paired reference is statistically greater than that obtained by the gene-by-gene approach.
We concluded from the above that the population-wide approach extracts fewer relevant genes in terms of up-regulation when compared to the gene-by-gene approach. However, the number of hubs taken into account by the population-wide approach is proportional to that of the gene-by-gene approach, which explains why the linear regression between entropy and 5-year OS remains consistent. The reason why the correlation coefficient is lower for the population-wide approach (r = −0.84) compared to the gene-by-gene approach (r = −0.91) is that the variance increases proportionally to the average gene expression. Since the average of gene expression is larger for the sample of up-regulated genes in the population-wide approach compared to the gene-by-gene one, it is expected that the correlation coefficient is lower for the population-wide approach than for the gene-by-gene one (given the average variance is larger); however, the linear regression is maintained.
When excluding the xlogx step from the RPKM pipeline, we observed a diminution of the correlation coefficient from r = −0.84 to r = −0.72. Since the diminution of the correlation coefficient is due to an increase in variance, we concluded the xlogx step has an effect on variance stabilization.
The median normalization produced a correlation with a lower correlation coefficient (r = −0.80) compared to RPKM, considering the gene-by-gene approach. However, when considering the population-wide approach, the median correlation disappeared (r = −0.16) even if the xlogx step was excluded from the pipeline (r = −0.17), which indicates that genes significantly up-regulated on a statistical basis are not suitably normalized by the Mednorm method. This suggests that a bias is introduced by this method of normalization in genes with extreme levels of gene expression.
4.3. Comparison of Normalization Methods and Differential Expression Determination Processes
By reference to entropy, we found that DESeq2 and edgeR were not effective in assessing the complexity of the biological network across a large cohort encompassing a 5-year OS aggressiveness rate ranging from 20 to 98%. From this finding, one might conclude that methods relying on negative binomial distribution and Benjamani–Hochberg procedure for false discovery rate (FDR) control are not optimal for extracting biological complexity from RNA-seq data. Conversely, normalization methods such as TPM, RLE, and TMM combined with log2 fold change appear suitable for this purpose.
4.4. The Relationship of Degree-Entropy and 5-Year OS
It is interesting to note the negative correlation between degree-entropy and 5-year OS, albeit this correlation diminishes notably when analyzing paired samples of 12 cancer types rather than eight. The underperformance of Med in this context indicates its inadequate adaptation to biological samples, characterized by significant topological complexity variation. This underscores the presence of overfitting in the previous analyses. The decrease in correlation observed for a larger set of cancer types suggests that tumors adjusted their gene up-regulation patterns to form more or less complex sub-networks depending on the cancer type and its environment. This consideration holds importance in guiding clinical decisions regarding optimal therapeutic strategies. For instance, therapies targeting hubs may be less effective in tumors exhibiting lower entropy levels.
Among the types of errors that could account for the correlation reduction across the 12 cancer types, it should be noted that the standard deviation associated with the x axis is unknown. Although 5-year OS is a statistical metric intended to ensure the robustness of the data on the x axis, uncertainties remain. Another factor to consider is that the efficacy of treatments for specific cancer types can vary independently of their aggressiveness. This variability can influence the 5-year OS, which has generally increased over time but at differing rates depending on the type of cancer.
5. Conclusions
In this report, we discuss the use of the negative correlation between the sub-network entropy of malignant up-regulated genes and 5-year OS as a benchmark to assess the efficiency of a workflow to extract information from raw-read counts. We believe the exercise is relevant because this negative correlation is a biological observation based on a cohort of 515 patients across 12 different cancer types that cumulates a variability that was not corrected. This exercise is interesting in the sense that it compares workflows covering different strategies and involving parametric and non-parametric normalization methods. We found that the pipeline incorporating TPM and RLE or TMM normalizations coupled with log2 fold change yielded the best correlation coefficient between cancer aggressiveness and tumor entropy. We also observed that the discrimination power of median normalization vanished for genes with high expression levels. The workflow configuration had a strong impact on the sub-network entropy of malignant up-regulated genes, consistent with biological observation. Here, we did not pretend to be exhaustive in method comparison, but rather to draw the readers’ attention to the potential of using this correlation to fine tune alternative workflows described in the literature.
Supplementary Materials
The following supporting information can be downloaded at: https://www.mdpi.com/article/10.3390/biology13070482/s1. Figure S1: Kaplan–Meier plots corresponding to the data from Table S1. These plots were obtained based on Table S1 of Liu et al. [43]. This table has two columns, “OS” and “OS.time”, that were used in GraphPad Prism software for survival curve analysis for BLCA (A), COAD (B), and UCS (C), indicating death/event as 1 and censored data as 0; Figure S2: RLE and PCA plots of DESeq2; Figure S3: RLE plots produced by NormSeq for six normalizing methods (UQ, Med, CPM, RLE, QN, and TMM) for STAD (A), LUSC (B), LIHC (C), KIRC (D), KIRP (E), BRCA (F), THCA (G), and PRAD (H). Cancer samples are plotted as blue and controls as red.; Figure S4: PCA plots produced by NormSeq for six normalizing methods (UQ, Med, CPM, RLE, QN, and TMM) for STAD (A), LUSC (B), LIHC (C), KIRC (D), KIRP (E), BRCA (F), THCA (G), and PRAD (H); Table S1: Rates of 6-year survival for BLCA, COAD, and UCS; Table S2: Lists of TCGA paired samples used to produce the degree-entropies of this study; Table S3: Lists of degree entropies per cancer type.
Funding
This research was funded by the National Institute for Science and Technology on Innovation on Diseases of Neglected Populations (INCT/IDPN, CNPq, 573642/2008-7) and Fundação Carlos Chagas Filho de Amparo à Pesquisa do Estado do Rio de Janeiro—FAPERJ (E-26/290.077/2017-227190).
Institutional Review Board Statement
Not applicable.
Informed Consent Statement
Not applicable.
Data Availability Statement
Data are contained within the article or Supplementary Material.
Acknowledgments
N.C. acknowledges Therezinha Rodrigues Ferreira and Alberto da Silva Dias for administrative support.
Conflicts of Interest
The author declares no conflicts of interest.
References
- Hong, M.; Tao, S.; Zhang, L.; Diao, L.T.; Huang, X.; Huang, S.; Xie, S.J.; Xiao, Z.D.; Zhang, H. RNA sequencing: New technologies and applications in cancer research. J. Hematol. Oncol. 2020, 13, 166. [Google Scholar] [CrossRef]
- Kasi, P.M.; Smirnova, S.; Nikulin, V.; Brown, J.H.; Almog, N.; Ogloblina, A.; Yam, C.; Peguero, J.A.; Pandya, D.M.; Kerr, D.; et al. RNA sequencing as a confirmatory assay and its impact on patient care in multiple cancer types. J. Clin. Oncol. 2023, 41, e15058. [Google Scholar] [CrossRef]
- Nagalakshmi, U.; Wang, Z.; Waern, K.; Shou, C.; Raha, D.; Gerstein, M.; Snyder, M. The transcriptional landscape of the yeast genome defined by RNA sequencing. Science 2008, 320, 1344–1349. [Google Scholar] [CrossRef]
- Holt, R.A.; Jones, S.J. The new paradigm of flow cell sequencing. Genome Res. 2008, 18, 839–846. [Google Scholar] [CrossRef]
- Li, X.; Wang, C.Y. From bulk, single-cell to spatial RNA sequencing. Int. J. Oral. Sci. 2021, 13, 36. [Google Scholar] [CrossRef]
- Everaert, C.; Luypaert, M.; Maag, J.L.V.; Cheng, Q.X.; Dinger, M.E.; Hellemans, J.; Mestdagh, P. Benchmarking of RNA-sequencing analysis workflows using whole-transcriptome RT-qPCR expression data. Sci. Rep. 2017, 7, 1559. [Google Scholar] [CrossRef]
- Koch, C.M.; Chiu, S.F.; Akbarpour, M.; Bharat, A.; Ridge, K.M.; Bartom, E.T.; Winter, D.R. A Beginner’s guide to analysis of RNA sequencing data. Am. J. Respir. Cell Mol. Biol. 2018, 59, 145–157. [Google Scholar] [CrossRef]
- Evans, C.; Hardin, J.; Stoebel, D.M. Selecting between-sample RNA-seq normalization methods from the perspective of their assumptions. Brief. Bioinform. 2018, 19, 776–792. [Google Scholar] [CrossRef]
- Gerard, D. Data-based RNA-seq simulations by binomial thinning. BMC Bioinform. 2020, 21, 206. [Google Scholar] [CrossRef]
- Conforte, A.J.; Tuszynski, J.A.; da Silva, F.A.B.; Carels, N. Signaling complexity measured by Shannon entropy and its application in personalized medicine. Front. Genet. 2019, 10, 930. [Google Scholar] [CrossRef]
- Pires, J.G.; da Silva, G.F.; Weyssow, T.; Conforte, A.J.; Pagnoncelli, D.; da Silva, F.A.B.; Carels, N. Galaxy and MEAN Stack to create a user-friendly workflow for the rational optimization of cancer chemotherapy. Front. Genet. 2021, 12, 624259. [Google Scholar] [CrossRef]
- Abrams, Z.B.; Johnson, T.S.; Huang, K.; Payne, P.R.O.; Coombes, K. A protocol to evaluate RNA sequencing normalization methods. BMC Bioinform. 2019, 20 (Suppl. S24), 679. [Google Scholar] [CrossRef]
- Roberts, A.; Trapnell, C.; Donaghey, J.; Rinn, J.L.; Pachter, L. Improving RNA-seq expression estimates by correcting for fragment bias. Genome Biol. 2011, 12, R22. [Google Scholar] [CrossRef]
- Dillies, M.A.; Rau, A.; Aubert, J.; Hennequet-Antier, C.; Jeanmougin, M.; Servant, N.; Keime, C.; Marot, G.; Castel, D.; Estelle, J.; et al. A comprehensive evaluation of normalization methods for Illumina high-throughput RNA sequencing data analysis. Brief. Bioinform. 2013, 14, 671–683. [Google Scholar] [CrossRef] [PubMed]
- Conesa, A.; Madrigal, P.; Tarazona, S.; Gomez-Cabrero, D.; Cervera, A.; McPherson, A.; Szcześniak, M.W.; Gaffney, D.J.; Elo, L.L.; Zhang, X.; et al. A survey of best practices for RNA-seq data analysis. Genome Biol. 2016, 17, 13. [Google Scholar] [CrossRef] [PubMed]
- Everett, L.J.; Mav, D.; Phadke, D.P.; Balik-Meisner, M.R.; Shah, R.R. Impact of aligner, normalization method, and sequencing depth on TempO-seq accuracy. Bioinform. Biol. Insights 2022, 16, 11779322221095216. [Google Scholar] [CrossRef]
- Goll, J.B.; Bosinger, S.E.; Jensen, T.L.; Walum, H.; Grimes, T.; Tharp, G.K.; Natrajan, M.S.; Blazevic, A.; Head, R.D.; Gelber, C.E.; et al. The Vacc-SeqQC project: Benchmarking RNA-seq for clinical vaccine studies. Front. Immunol. 2023, 13, 1093242. [Google Scholar] [CrossRef] [PubMed]
- Ge, S.X.; Son, E.W.; Yao, R. iDEP: An integrated web application for differential expression and pathway analysis of RNA-Seq data. BMC Bioinform. 2018, 19, 534. [Google Scholar] [CrossRef] [PubMed]
- Le, G.B.H.H.; Steenwyk, J.L.; Manske, N.; Smolin, M.; Abdulali, A.; Kamat, A.; Kanchana, R.; Giffin, K.; Andere, A.; Workman, K. Latch Verified Bulk-RNA Seq toolkit: A cloud-based suite of workflows for bulk RNA-seq quality control, analysis, and functional enrichment. bioRxiv 2022. [Google Scholar] [CrossRef]
- Etoh, K.; Nakao, M. A web-based integrative transcriptome analysis, RNAseqChef, uncovers the cell/tissue type-dependent action of sulforaphane. J. Biol. Chem. 2023, 299, 104810. [Google Scholar] [CrossRef]
- Scheepbouwer, C.; Hackenberg, M.; van Eijndhoven, M.A.J.; Gerber, A.; Pegtel, M.; Gómez-Martín, C. NORMSEQ: A tool for evaluation, selection and visualization of RNA-Seq normalization methods. Nucleic Acids Res. 2023, 51, W372–W378. [Google Scholar] [CrossRef] [PubMed]
- Costa-Silva, J.; Domingues, D.; Lopes, F.M. RNA-Seq differential expression analysis: An extended review and a software tool. PLoS ONE 2017, 12, e0190152. [Google Scholar] [CrossRef] [PubMed]
- Zhao, Y.; Wong, L.; Goh, W.W.B. How to do quantile normalization correctly for gene expression data analyses. Sci. Rep. 2020, 10, 15534. [Google Scholar] [CrossRef] [PubMed]
- Wang, D.; Cheng, L.; Wang, M.; Wu, R.; Li, P.; Li, B.; Zhang, Y.; Gu, Y.; Zhao, W.; Wang, C.; et al. Extensive increase of microarray signals in cancers calls for novel normalization assumptions. Comput. Biol. Chem. 2011, 35, 126–130. [Google Scholar] [CrossRef]
- Corchete, L.A.; Rojas, E.A.; Alonso-López, D.; De Las Rivas, J.; Gutiérrez, N.C.; Burguillo, F.J. Systematic comparison and assessment of RNA-seq procedures for gene expression quantitative analysis. Sci. Rep. 2020, 10, 19737. [Google Scholar] [CrossRef] [PubMed]
- Teng, M.; Love, M.I.; Davis, C.A.; Djebali, S.; Dobin, A.; Graveley, B.R.; Li, S.; Mason, C.E.; Olson, S.; Pervouchine, D.; et al. A benchmark for RNA-seq quantification pipelines. Genome Biol. 2016, 17, 74. [Google Scholar] [CrossRef] [PubMed]
- Sampathkumar, N.K.; Sundaram, V.K.; Danthi, P.S.; Barakat, R.; Solomon, S.; Mondal, M.; Carre, I.; El Jalkh, T.; Padilla-Ferrer, A.; Grenier, J.; et al. RNA-seq is not required to determine stable reference genes for qPCR normalization. PLoS Comput. Biol. 2022, 18, e1009868. [Google Scholar] [CrossRef] [PubMed]
- Baik, B.; Yoon, S.; Nam, D. Benchmarking RNA-seq differential expression analysis methods using spike-in and simulation data. PLoS ONE 2020, 15, e0232271. [Google Scholar] [CrossRef] [PubMed]
- Risso, D.; Ngai, J.; Speed, T.P.; Dudoit, S. Normalization of RNA-seq data using factor analysis of control genes or samples. Nat. Biotechnol. 2014, 32, 896–902. [Google Scholar] [CrossRef]
- Mortazavi, A.; Williams, B.A.; McCue, K.; Schaeffer, L.; Wold, B. Mapping and quantifying mammalian transcriptomes by RNA-seq. Nat. Methods 2008, 5, 621–628. [Google Scholar] [CrossRef]
- Zhao, S.; Ye, Z.; Stanton, R. Misuse of RPKM or TPM normalization when comparing across samples and sequencing protocols. RNA 2020, 26, 903–909. [Google Scholar] [CrossRef] [PubMed]
- Love, M.I.; Huber, W.; Anders, S. Moderated estimation of fold change and dispersion for RNA-seq data with DESeq2. Genome Biol. 2014, 15, 550. [Google Scholar] [CrossRef] [PubMed]
- Anders, S.; Huber, W. Differential expression analysis for sequence count data. Genome Biol. 2010, 11, R106. [Google Scholar] [CrossRef] [PubMed]
- Carels, N.; Tilli, T.; Tuszynski, J.A. A computational strategy to select optimized protein targets for drug development toward the control of cancer diseases. PLoS ONE 2015, 10, e0115054. [Google Scholar] [CrossRef] [PubMed]
- Tilli, T.M.; Castro, C.S.; Tuszynski, J.A.; Carels, N. A strategy to identify housekeeping genes suitable for analysis in breast cancer diseases. BMC Genom. 2016, 17, 639. [Google Scholar] [CrossRef]
- Barbosa-Silva, A.; Magalhães, M.; da Silva, G.F.; da Silva, F.A.B.; Carneiro, F.R.G.; Carels, N. A data science approach for the identification of molecular signatures of aggressive cancers. Cancers 2022, 14, 2325. [Google Scholar] [CrossRef] [PubMed]
- Breitkreutz, D.; Hlatky, L.; Rietman, E.; Tuszynski, J.A. Molecular signaling network complexity is correlated with cancer patient survivability. Proc. Natl. Acad. Sci. USA 2012, 109, 9209–9212. [Google Scholar] [CrossRef]
- Li, B.; Dewey, C.N. RSEM: Accurate transcript quantification from RNA-Seq data with or without a reference genome. BMC Bioinform. 2011, 12, 323. [Google Scholar] [CrossRef] [PubMed]
- Bullard, J.H.; Purdom, E.; Hansen, K.D.; Dudoit, S. Evaluation of statistical methods for normalization and differential expression in mRNA-Seq experiments. BMC Bioinf. 2010, 11, 94. [Google Scholar] [CrossRef]
- Bolstad, B.M.; Irizarry, R.A.; Åstrand, M.; Speed, T.P. A comparison of normalization methods for high density oligonucleotide array data based on variance and bias. Bioinformatics 2003, 19, 185–193. [Google Scholar] [CrossRef]
- Robinson, M.D.; Oshlack, A. A scaling normalization method for differential expression analysis of RNA-seq data. Genome Biol. 2010, 11, R25. [Google Scholar] [CrossRef] [PubMed]
- Robinson, M.D.; McCarthy, D.J.; Smyth, G.K. edgeR: A Bioconductor package for differential expression analysis of digital gene expression data. Bioinformatics 2010, 26, 139–140. [Google Scholar] [CrossRef] [PubMed]
- Liu, J.; Lichtenberg, T.; Hoadley, K.; Poisson, L.; Lazar, A.; Cherniack, A.D.; Kovatich, A.J.; Benz, C.C.; Levine, D.A.; Lee, A.V.; et al. An integrated TCGA pan-cancer clinical data resource to drive high-quality survival outcome analytics. Cell 2018, 173, 400–416. [Google Scholar] [CrossRef] [PubMed]
- Zenil, H.; Kiani, N.A.; Tegnér, J. A review of graph and network complexity from an algorithmic information perspective. Entropy 2018, 20, 551. [Google Scholar] [CrossRef] [PubMed]
- Orchard, S.; Ammari, M.; Aranda, B.; Breuza, L.; Briganti, L.; Broackes-Carter, F.; Campbell, N.H.; Chavali, G.; Chen, C.; del-Toro, N.; et al. The MIntAct project—IntAct as a common curation platform for 11 molecular interaction databases. Nucleic Acids Res. 2014, 42, D358–D363. [Google Scholar] [CrossRef]
- Jolicoeur, P. Bivariate allometry: Interval estimation of the slopes of the ordinary and standardized normal major axes and structural relationship. J. Theor. Biol. 1990, 144, 275–285. [Google Scholar] [CrossRef]
- Gandolfo, L.C.; Speed, T.P. RLE plots: Visualizing unwanted variation in high dimensional data. PLoS ONE 2018, 13, e0191629. [Google Scholar] [CrossRef]
- Yewdall, N.A.; Mason, A.F.; van Hest, J.C.M. The hallmarks of living systems: Towards creating artificial cells. Interface Focus 2018, 8, 20180023. [Google Scholar] [CrossRef]
- Chen, B.-S.; Li, C.-W. On the interplay between entropy and robustness of gene regulatory networks. Entropy 2010, 12, 1071–1101. [Google Scholar] [CrossRef]
- Zitnik, M.; Sosič, R.; Feldman, M.W.; Leskovec, J. Evolution of resilience in protein interactomes across the tree of life. Proc. Natl. Acad. Sci. USA 2019, 116, 4426–4433. [Google Scholar] [CrossRef]
- Crespi, E.; Burnap, R.; Chen, J.; Das, M.; Gassman, N.; Rosa, E.; Simmons, R.; Wada, H.; Wang, Z.Q.; Xiao, J.; et al. Resolving the rules of robustness and resilience in biology across scales. Integr. Comp. Biol. 2022, 61, 2163–2179. [Google Scholar] [CrossRef]
- Kharrazi, A.; Yu, Y.; Jacob, A.; Vora, N.; Fath, B.D. Redundancy, diversity, and modularity in network resilience: Applications for international trade and implications for public policy. Curr. Res. Environ. Sustain. 2020, 2, 100006. [Google Scholar] [CrossRef] [PubMed]
- Manke, T.; Demetrius, L.; Vingron, M. An entropic characterization of protein interaction networks and cellular robustness. J. R. Soc. Interface 2006, 3, 843–850. [Google Scholar] [CrossRef]
- Biggs, C.R.; Yeager, L.A.; Bolser, D.G.; Bonsell, C.; Dichiera, A.M.; Hou, Z.; Keyser, S.R.; Khursigara, A.J.; Lu, K.; Muth, A.F.; et al. Does functional redundancy affect ecological stability and resilience? A review and meta-analysis. Ecosphere 2020, 11, e03184. [Google Scholar] [CrossRef]
- Yu, H.; Kim, P.M.; Sprecher, E.; Trifonov, V.; Gerstein, M. The importance of bottlenecks in protein networks: Correlation with gene essentiality and expression dynamics. PLoS Comput. Biol. 2007, 3, e59. [Google Scholar] [CrossRef]
- Albert, R.; Jeong, H.; Barabási, A.L. Error and attack tolerance of complex networks. Nature 2000, 406, 378–382. [Google Scholar] [CrossRef] [PubMed]
- Jeong, H.; Mason, S.P.; Barabási, A.L.; Oltvai, Z.N. Lethality and centrality in protein networks. Nature 2001, 411, 41–42. [Google Scholar] [CrossRef]
- Kitano, H. Biological robustness. Nat. Rev. Genet. 2004, 5, 826–837. [Google Scholar] [CrossRef]
- O’Reilly, K.E.; Rojo, F.; She, Q.B.; Solit, D.; Mills, G.B.; Smith, D.; Lane, H.; Hofmann, F.; Hicklin, D.J.; Ludwig, D.L.; et al. mTOR inhibition induces upstream receptor tyrosine kinase signaling and activates Akt. Cancer Res. 2006, 66, 1500–1508. [Google Scholar] [CrossRef]
- Kennedy, S.A.; Jarboui, M.A.; Srihari, S.; Raso, C.; Bryan, K.; Dernayka, L.; Charitou, T.; Bernal-Llinares, M.; Herrera-Montavez, C.; Krstic, A.; et al. Extensive rewiring of the EGFR network in colorectal cancer cells expressing transforming levels of KRASG13D. Nat. Commun. 2020, 11, 499. [Google Scholar] [CrossRef]
- Bergholz, J.S.; Zhao, J.J. How compensatory mechanisms and adaptive rewiring have shaped our understanding of therapeutic resistance in cancer. Cancer Res. 2021, 81, 6074–6077. [Google Scholar] [CrossRef]
- Burkhardt, D.B.; San Juan, B.P.; Lock, J.G.; Krishnaswamy, S.; Chaffer, C.L. Mapping phenotypic plasticity upon the cancer cell state landscape using manifold learning. Cancer Discov. 2022, 12, 1847–1859. [Google Scholar] [CrossRef]
- Kar, G.; Gursoy, A.; Keskin, O. Human cancer protein-protein interaction network: A structural perspective. PLoS Comput. Biol. 2009, 5, e1000601. [Google Scholar] [CrossRef]
- Gurova, K. Can aggressive cancers be identified by the “aggressiveness” of their chromatin? Bioessays 2022, 44, e2100212. [Google Scholar] [CrossRef]
- McLennan, D.A. The concept of co-option: Why evolution often looks miraculous. Evol. Educ. Outreach 2008, 1, 247–258. [Google Scholar] [CrossRef]
- Cremers, C.G.; Nguyen, L.K. Network rewiring, adaptive resistance and combating strategies in breast cancer. Cancer Drug. Resist. 2019, 19, 1106–1126. [Google Scholar] [CrossRef] [PubMed]
- Teschendorff, A.E.; Banerji, C.R.; Severini, S.; Kuehn, R.; Sollich, P. Increased signaling entropy in cancer requires the scale-free property of protein interaction networks. Sci. Rep. 2015, 5, 9646. [Google Scholar] [CrossRef]
- El-Deiry, W.S.; Taylor, B.; Neal, J.W. Tumor evolution, heterogeneity, and therapy for our patients with advanced cancer: How far have we come? Am. Soc. Clin. Oncol. Educ. Book 2017, 37, e8–e15. [Google Scholar] [CrossRef]
- La Rosa, S.; Rubbia-Brandt, L.; Scoazec, J.-Y.; Weber, A. Editorial: Tumor Heterogeneity. Front. Med. 2019, 6, 156. [Google Scholar] [CrossRef]
- Janiszewska, M. The microcosmos of intratumor heterogeneity: The space-time of cancer evolution. Oncogene 2020, 39, 2031–2039. [Google Scholar] [CrossRef] [PubMed]
- Martínez-Gregorio, H.; Rojas-Jiménez, E.; Mejía-Gómez, J.C.; Díaz-Velásquez, C.; Quezada-Urban, R.; Vallejo-Lecuona, F.; de la Cruz-Montoya, A.; Porras-Reyes, F.I.; Pérez-Sánchez, V.M.; Maldonado-Martínez, H.A.; et al. The evolution of clinically aggressive triple-negative breast cancer shows a large mutational diversity and early metastasis to lymph nodes. Cancers 2021, 13, 5091. [Google Scholar] [CrossRef] [PubMed]
- Choi, J.H.; Lee, B.S.; Jang, J.Y.; Lee, Y.S.; Kim, H.J.; Roh, J.; Shin, Y.S.; Woo, H.G.; Kim, C.H. Single-cell transcriptome profiling of the stepwise progression of head and neck cancer. Nat. Commun. 2023, 14, 1055. [Google Scholar] [CrossRef] [PubMed]
- García-Montaño, L.A.; Licón-Muñoz, Y.; Martinez, F.J.; Keddari, Y.R.; Ziemke, M.K.; Chohan, M.O.; Piccirillo, S.G.M. Dissecting intra-tumor heterogeneity in the glioblastoma microenvironment using fluorescence-guided multiple sampling. Mol. Cancer Res. 2023, 21, 755–767. [Google Scholar] [CrossRef]
- Brady, N.J.; Bagadion, A.M.; Singh, R.; Conteduca, V.; Van Emmenis, L.; Arceci, E.; Pakula, H.; Carelli, R.; Khani, F.; Bakht, M.; et al. Temporal evolution of cellular heterogeneity during the progression to advanced AR-negative prostate cancer. Nat. Commun. 2021, 12, 3372. [Google Scholar] [CrossRef]
- Mullins, J.K.; Kaouk, J.H.; Bhayani, S.; Rogers, C.G.; Stifelman, M.D.; Pierorazio, P.M.; Tanagho, Y.S.; Hillyer, S.P.; Kaczmarek, B.F.; Chiu, Y.; et al. Tumor complexity predicts malignant disease for small renal masses. J. Urol. 2012, 188, 2072–2076. [Google Scholar] [CrossRef]
- Ciriello, G.; Miller, M.L.; Aksoy, B.A.; Senbabaoglu, Y.; Schultz, N.; Sander, C. Emerging landscape of oncogenic signatures across human cancers. Nat. Genet. 2013, 45, 1127–1133. [Google Scholar] [CrossRef]
- Kwon, S.M.; Budhu, A.; Woo, H.G.; Chaisaingmongkol, J.; Dang, H.; Forgues, M.; Harris, C.C.; Zhang, G.; Auslander, N.; Ruppin, E.; et al. Functional genomic complexity defines intratumor heterogeneity and tumor aggressiveness in liver cancer. Sci. Rep. 2019, 9, 16930. [Google Scholar] [CrossRef] [PubMed]
- Kalasekar, S.M.; VanSant-Webb, C.H.; Evason, K.J. Intratumor heterogeneity in hepatocellular carcinoma: Challenges and opportunities. Cancers 2021, 13, 5524. [Google Scholar] [CrossRef]
- Wang, X.; Park, J.; Susztak, K.; Zhang, N.R.; Li, M. Bulk tissue cell type deconvolution with multi-subject single-cell expression reference. Nat. Commun. 2019, 10, 380. [Google Scholar] [CrossRef]
- Yoder, O.C. Toxins in pathogenesis. Annu. Rev. Phythopathol. 1980, 18, 103–129. [Google Scholar] [CrossRef]
- Baltazar, C.A.; Guinle, M.I.B.; Caron, C.J.; Amaro, E., Jr.; Machado, B.S. Connective core structures in cognitive networks: The role of hubs. Entropy 2019, 21, 961. [Google Scholar] [CrossRef]
- Hu, G.; Wu, Z.; Uversky, V.N.; Kurgan, L. Functional analysis of human hub proteins and their interactors involved in the intrinsic disorder-enriched interactions. Int. J. Mol. Sci. 2017, 18, 2761. [Google Scholar] [CrossRef] [PubMed]
- van Wieringen, W.N.; van der Vaart, A.W. Statistical analysis of the cancer cell’s molecular entropy using high-throughput data. Bioinformatics 2011, 27, 556–563. [Google Scholar] [CrossRef] [PubMed]
- Winterbach, W.; Mieghem, P.; Reinders, M.; Wang, H.; de Ridder, D. Topology of molecular interaction networks. BMC Syst. Biol. 2013, 7, 90. [Google Scholar] [CrossRef]
- Banerji, C.R.S.; Severini, S.; Caldas, C.; Teschendorff, A.E. Intra-tumour signalling entropy determines clinical outcome in breast and lung cancer. PLoS Comput. Biol. 2015, 11, e1004115. [Google Scholar] [CrossRef]
Disclaimer/Publisher’s Note: The statements, opinions and data contained in all publications are solely those of the individual author(s) and contributor(s) and not of MDPI and/or the editor(s). MDPI and/or the editor(s) disclaim responsibility for any injury to people or property resulting from any ideas, methods, instructions or products referred to in the content. |
© 2024 by the author. Licensee MDPI, Basel, Switzerland. This article is an open access article distributed under the terms and conditions of the Creative Commons Attribution (CC BY) license (https://creativecommons.org/licenses/by/4.0/).




