Statistical and Geomatic Approaches to Typological Characterization and Susceptibility Mapping of Mass Movements in Northwestern Morocco’s Alpine Zone
Abstract
1. Introduction
- Lack of consideration for the broader geodynamic context: Many assessments fail to integrate factors such as seismicity, active tectonics, and irregular, intense rainfall within the watershed’s dynamics.
- Use of inadequate methods: Many studies rely on approaches based solely on expert opinion or experience, rather than rigorous quantitative methods [17].
- Poor selection of the mapping scale and predisposing factors: Incorrect methodological choices, including inappropriate scale and factor selection, lead to inaccurate susceptibility assessments.
2. Study Area
3. Materials and Methods
3.1. Data Preparation
3.1.1. Data Used
3.1.2. Inventory and Description of Mass Movements
3.2. Research Methodology
3.2.1. Logistic Regression Model
3.2.2. Correlational Analysis of Predisposing Factors
4. Results
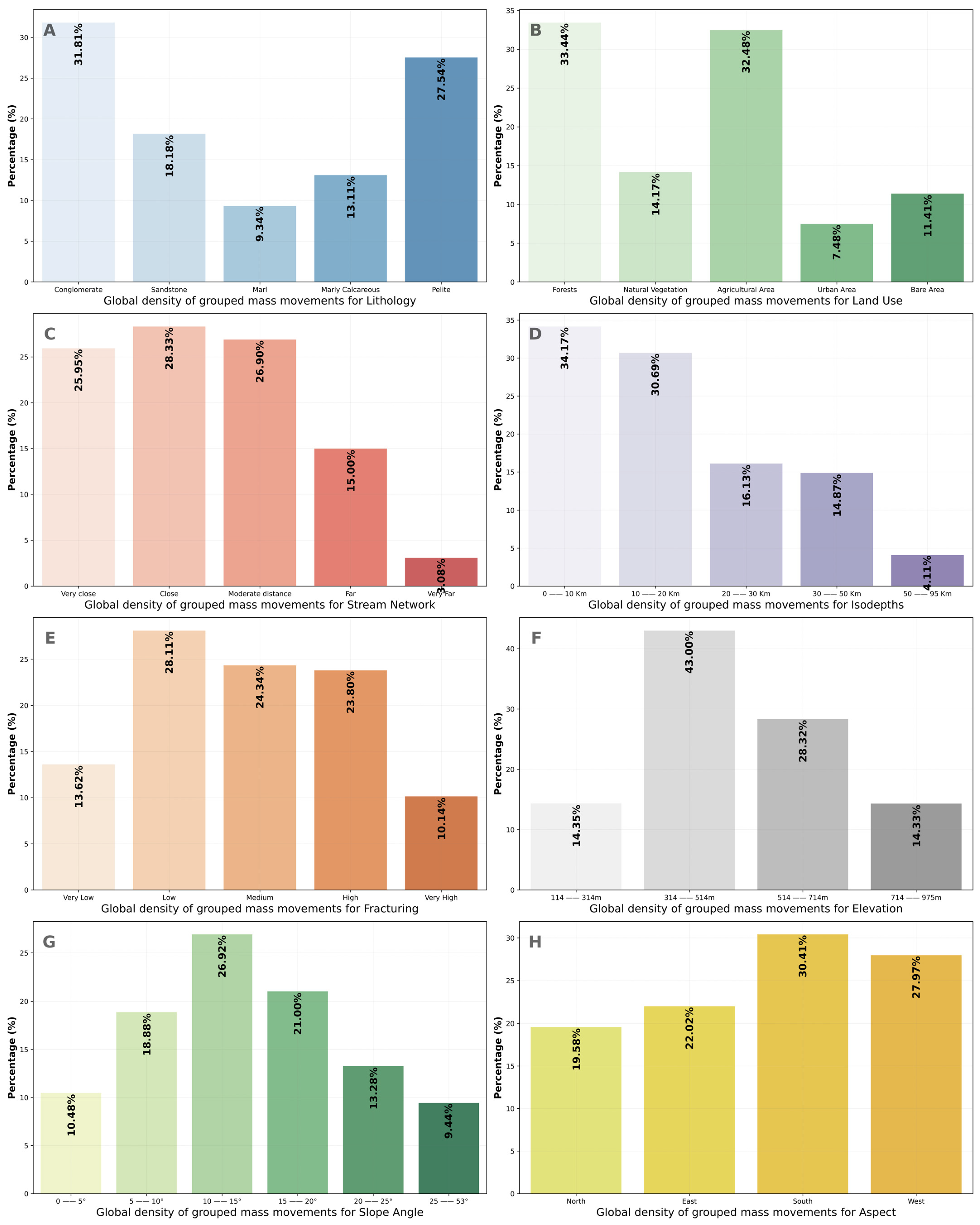
4.1. Analysis of Mass Movements Predisposing Factors
4.2. Geostatistical Analysis and Interpretation of Mass Movements Spatial Distribution
4.3. Susceptibility Mapping and Model Assessment
5. Discussion
6. Conclusions
Author Contributions
Funding
Institutional Review Board Statement
Informed Consent Statement
Data Availability Statement
Acknowledgments
Conflicts of Interest
Abbreviations
| MM | Mass Movements |
| MMS | Mass Movements Susceptibility |
| LR | Logistic Regression |
| GIS | Geographic Information System |
| ROC | Receiver operating characteristic |
| AUC | Area Under Curve |
| SND | Stream Network Density |
| SG | Slope Gradient |
| L | Lithology |
| LU | Land Use |
| FD | Fault Density |
| E | Elevation |
| EI | Earthquakes Isodepths |
| SA | Slope Aspect |
References
- United Nations Office for Disaster Risk Reduction (UNDRR). Global Assessment Report on Disaster Risk Reduction 2022: Our World at Risk—Transforming Governance for a Resilient Future, UNDRR (2022). Available online: https://www.undrr.org/publication/global-assessment-report-disaster-risk-reduction-2022 (accessed on 16 January 2024).
- Mastere, M.; El Fellah, B.; Maquaire, O. Landslide inventory map as a first step for hazard and risk assessment: Rif Mountains, Morocco. Bull. L’Institut Sci. Sect. Sci. Terre 2020, 2020, 49–62. [Google Scholar]
- Benzougagh, B.; Meshram, S.G.; Baamar, B.; Dridri, A.; Boudad, L.; Sadkaoui, D.; Mimich, K. Relationship between landslides and morpho-structural analysis: A case study in Northeast Morocco. Appl. Water Sci. 2020, 10, 175. [Google Scholar] [CrossRef]
- Sbihi, A.; Mastere, M.; Benzougagh, B.; Ouchen, I.; Khedher, K.M.; Spalevic, V.; Sestras, P.; Jaufer, L.; Hughes, P.D.; Kader, S. Probabilistic modeling of earthquake recurrence and magnitude for enhanced geohazard assessment and infrastructure resilience. Eng. Geol. 2025, 356, 108269. [Google Scholar] [CrossRef]
- Varnes, D.J. Landslide Hazard Zonation: A Review of Principles and Practice; Natural Hazards, No. 3; UNESCO: Paris, France, 1984; 63p. [Google Scholar]
- Millies-Lacroix, A. Les glissements de terrains. Présentation d’une carte prévisionnelle des mouvements de masse dans le Rif (Maroc septentrional). Mines Géologie 1968, 27, 45–55. [Google Scholar]
- Selby, M.J. Hillslope Materials; Oxford University Press: Oxford, UK, 1993; 451p. [Google Scholar]
- Sharpe, C. Landslides and related phenomena: A study of the mass movements of soil and rock. Geogr. J. 1938, 92, 276. [Google Scholar] [CrossRef]
- Hutchinson, J. General Report: Morphological and Geotechnical Parameters of Landslides in Relation to Geology and Hydrogeology; A.A. Balkema: Rotterdam, The Netherlands, 1988. [Google Scholar]
- Nemčok, A.; Pašek, J.; Rybář, J. Classification of landslides and other mass movements. Rock Mech. Rock Eng. 1972, 4, 71–78. [Google Scholar] [CrossRef]
- Sassa, K. Geotechnical classification of landslides. Landslides Jpn. Landslide Soc. 1989, 3, 21–24. [Google Scholar]
- Varnes, D.J. Landslide types and processes Landslides and engineering practice. Highw. Res. Board Spec. Rep. 1958, 24, 20–47. [Google Scholar]
- Varnes, D.J. The Logic of Geological Maps, with Reference to Their Interpretation and Use for Engineering Purposes; US Government Printing Office: Washington, DC, USA, 1974; Volume 837. [Google Scholar]
- El Kharim, Y. Etude des Mouvements de Versants Dans la Région de Tetouan (Rif Occidental): Inventaire, Analyze et Cartographie. Ph.D. Thesis, Univ Abdelmalek Essaadi, Tétouan, Morocco, 2002; 219p. [Google Scholar]
- Sossey Alaoui, F. Traitement et Intégration des Données Satellitaires Optiques et Radar Dans un SIG en Vue de L’obtention de Carte de L’aléa Lié Aux Instabilités de Terrain dans la Péninsule de Tanger. Ph.D. Thesis, Université Mohamed V, Rabat, Morocco, 2005; 175p. [Google Scholar]
- Boukhres, N.; Fressard, M.; Thiery, Y.; Mastere, M.; Benzougagh, B.; Fellah, B.E. Mass movement inventory map of the Dhar Souk region and its main spatial morphometric characteristics. Bull. L’Institut Sci. Sect. Sci. Terre 2024, 46, 15–39. [Google Scholar]
- Ardizzone, F.; Cardinali, M.; Carrara, A.; Guzzetti, F.; Reichenbach, P. Uncertainty and errors in landslide mapping and hazard assessment. Nat. Hazards Earth Syst. Sci. 2002, 2, 3–14. [Google Scholar] [CrossRef]
- Elmoulat, M.; Brahim, L.A.; Mastere, M.; Jemmah, A.I. Mapping of mass movement susceptibility in the Zoumi Region using satellite image and GIS technology (Moroccan Rif). Int. J. Sci. Eng. Res. 2015, 6, 210–217. [Google Scholar]
- Li, L.; Jia, M.; Xu, C.; Tian, Y.; Ma, S.; Yang, J. Enhancing landslide susceptibility mapping by integrating neighboring information in slope units: A spatial logistic regression. Remote Sens. 2024, 16, 4475. [Google Scholar] [CrossRef]
- Prathom, K.; Sujitapan, C. Performance of logistic regression and support vector machine conjunction with the GIS and RS in the landslide susceptibility assessment: Case study in Nakhon Si Thammarat, southern Thailand. J. King Saud Univ. Sci. 2024, 36, 103306. [Google Scholar] [CrossRef]
- El Miloudi, Y.; El Kharim, Y.; El Hamdouni, R. A novel approach for rockfall susceptibility mapping: Transfer learning between boosting models and logistic regression. Environ. Earth Sci. 2025, 84, 447. [Google Scholar] [CrossRef]
- Khouz, A.; Trindade, J.; Oliveira, S.; Garcia, R.A.C.; Elbchari, F.; Chaibi, M.; Bougadir, B. Geomorphological 734 coastal slope instability and suscepbility mapping in Safi, Morocco. In Proceedings of the 10o Congresso Nacional de Geomorfologia. Dinâmicas 735 Geomorfológicas no Espaço e no Tempo, Coimbra, Portugal, 18–20 September 2024; pp. 122–128. [Google Scholar]
- Chalouan, A. Les Nappes Ghomarides (Rif Septentrional, Maroc), un Terrain Varisque Dans la Chaîne Alpine. Ph.D. Thesis, Université Louis Pasteur, Strasbourg, France, 1986. [Google Scholar]
- Lespinasse, P. Géologie des Zones Externes et des Flyschs Entre Chaouen et Zoumi (Centre de la Chaine Rifaine, Maroc). Ph.D. Thesis, Université Pierre et Marie Curie-Paris VI, Paris, France, 1975. [Google Scholar]
- Varnes, D.J. Slope movement types and processes. Spec. Rep. 1978, 176, e33. [Google Scholar]
- Martins-Campina, B. Le Rôle des Facteurs Géologiques et Mécaniques Dans le Déclenchement des Instabilités Gravitaires: Exemple de Deux Glissements de Terrain des Pyrénées Atlantiques (Vallée d’Ossau et Vallée d’Aspe). Ph.D. Dissertation, Université Sciences et Technologies-Bordeaux I, Bordeaux, France, 2005. [Google Scholar]
- Lee, S.; Sambath, T. Landslide susceptibility mapping in the Damrei Romel area, Cambodia using frequency ratio and logistic regression models. Environ. Geol. 2006, 50, 847–855. [Google Scholar] [CrossRef]
- Das, I.; Sahoo, S.; van Westen, C.; Stein, A.; Hack, R. Landslide susceptibility assessment using logistic regression and its comparison with a rock mass classification system, along a road section in the northern Himalayas (India). Geomorphology 2010, 114, 627–637. [Google Scholar] [CrossRef]
- Kendall, M.G.; Stuart, A. The Advanced Theory of Statistics. Biometrics 1969, 3, 435. [Google Scholar] [CrossRef]
- Van Den Eeckhaut, M.; Vanwalleghem, T.; Poesen, J.; Govers, G.; Verstraeten, G.; Vandekerckhove, L. Prediction of landslide susceptibility using rare events logistic regression: A case-study in the Flemish Ardennes (Belgium). Geomorphology 2006, 76, 392–410. [Google Scholar] [CrossRef]
- Bai, S.-B.; Wang, J.; Lü, G.-N.; Zhou, P.-G.; Hou, S.-S.; Xu, S.-N. GIS-based logistic regression for landslide suscep-764 tibility mapping of the Zhongxian segment in the Three Gorges area, China. Geomorphology 2010, 115, 23–31. [Google Scholar] [CrossRef]
- Mahmood, S.H. Estimating Models and Evaluating their Efficiency under Multicollinearity in Multiple Linear Regression: A Comparative Study. Zanco J. Hum. Sci. 2024, 28, 264–277. [Google Scholar]
- Nakarmi, S.S. Multi-collinearity in Research and Wayforward. Kaladarpan 2024, 4, 85–91. [Google Scholar] [CrossRef]
- Owoyemi, Q.A.; Bolakale, A. Comparative analysis of some linear predictive models in the presence of multicollinearity. Int. J. Adv. Stat. Probab. 2024, 11, 20–28. [Google Scholar] [CrossRef]
- Delacour, H.; Servonnet, A.; Perrot, A.; Vigezzi, J.F.; Ramirez, J.M. March. La courbe ROC (receiver operating characteristic): Principes et principales applications en biologie clinique. Ann. Biol. Clin. 2005, 63, 145–154. [Google Scholar]
- Mastere, M. Mass Movement Hazard Assessment at a Medium Scale Using the Weight of Evidence Model and Neo-Predictive Variables Creation. In Mapping and Spatial Analysis of Socio-Economic and Environmental Indicators for Sustainable Development; Rebai, N., Mastere, M., Eds.; Advances in Science, Technology, and Innovation; Springer: Cham, Switzerland, 2020. [Google Scholar] [CrossRef]
- Sbihi, A.; Mastere, M.; Benzougagh, B.; Spalevic, V.; Sestras, P.; Radovic, M.; Marković, S.B.; Jaufer, L.; Kader, S. Assessing landslide susceptibility in northern Morocco: A geostatistical mapping approach in Al Hoceima-Ajdir. J. Afr. Earth Sci. 2024, 218, 105361. [Google Scholar] [CrossRef]
- van Westen, C.J.; van Duren, I.C.; Kruse, H.M.G.; Terlien, M.T.J. GISSIZ: Training Package for Geographic Information Systems in Slope Instability Zonation; ITC: Bern, Switzerland, 1993. [Google Scholar]
- Hewitt, K. Geomorphic hazards in mountainous environments. In Mountain Geomorphology; Routledge: London, UK, 2014; pp. 187–218. [Google Scholar]
- Mastere, M.; Van Vliet-Lanoe, B.; Brahim, L.A. Land use mapping and its relation to mass wasting and gullying in the North-Western Rif (Morocco). Geomorphol.-Relief Process. Environ. 2013, 3, 335–352. [Google Scholar] [CrossRef]
- Rajaneesh, A.; Logesh, N.; Vishnu, C.L.; Bouali, E.H.; Oommen, T.; Midhuna, V.; Sajinkumar, K.S. Monitoring and Mapping of Shallow Landslides in a Tropical Environment Using Persistent Scatterer Interferometry: A Case Study from the Western Ghats, India. Geomatics 2020, 1, 3–17. [Google Scholar] [CrossRef]
- Badapalli, P.K.; Nakkala, A.B.; Kottala, R.B.; Gugulothu, S.; Hasher, F.F.B.; Mishra, V.N.; Zhran, M. Landslide susceptibility level mapping in Kozhikode, Kerala, using machine learning-based random forest, remote sensing, and GIS techniques. Land 2025, 14, 1453. [Google Scholar] [CrossRef]
- Keefer, D.K. Landslides caused by earthquakes. Geol. Soc. Am. Bull. 1984, 95, 406–421. [Google Scholar] [CrossRef]
- Keefer, D.K. Investigating landslides caused by earthquakes: A historical review. Surv. Geophys. 2002, 23, 473–510. [Google Scholar] [CrossRef]
- Boukhres, N.; Mastere, M.; Thiery, Y.; Maquaire, O.; El Fellah, B.; Costa, S. A comparative modeling of landslides susceptibility at a meso-scale using frequency ratio and analytic hierarchy process models in geographic information system: The case of African Alpine Mountains (Rif, Morocco). Model. Earth Syst. Environ. 2022, 9, 1949–1975. [Google Scholar] [CrossRef]
- Mastere, M.; Achbun, A.; El Fellah, B. Open Remote Sensing Image Classification Using NDVI and Thermal Bands. In Mapping and Spatial Analysis of Socio-Economic and Environmental Indicators for Sustainable Development; Rebai, N., Mastere, M., Eds.; Advances in Science, Technology, and Innovation; Springer: Cham, Switzerland, 2020. [Google Scholar] [CrossRef]
- Allison, P.D. Logistic Regression Using the SAS System: Theory and Application; SAS Institute: Cary, NC, USA, 1999; 288p. [Google Scholar]
- Menard, S. Applied Logistic Regression Analysis; SAGE Publications: Thousand Oaks, CA, USA, 2001. [Google Scholar]
- Zhao, P.; Wang, Y.; Xie, Y.; Uddin, M.G.; Xu, Z.; Chang, X.; Zhang, Y. Landslide susceptibility assessment using information quantity and machine learning integrated models: A case study of Sichuan province, southwestern China. Earth Sci. Inform. 2025, 18, 190. [Google Scholar] [CrossRef]
- Benchelha, S.; Aoudjehane, H.C.; Hakdaoui, M.; El Hamdouni, R.; Mansouri, H.; Benchelha, T.; Alaoui, M. Landslide susceptibility mapping in the commune of Oudka, Taounate Province, North Morocco: A comparative analysis of the logistic regression, multivariate adaptive regression spline, and artificial neural network models. Environ. Eng. Geosci. 2020, 26, 185–200. [Google Scholar] [CrossRef]
- El-Fengour, A.; Motaki, H.E.; Bouzidi, A.E. Landslides susceptibility modeling using multivariate logistic regression model in the Sahla Watershed in northern Morocco. Soc. Nat. 2021, 33, e59124. [Google Scholar] [CrossRef]
















| Factors | Sources of Data | Description |
|---|---|---|
| Lithology | Geological maps | Conglomerate Marl Marly Calcareous Pelite Sandstone |
| Density of Tectonic structures | Very Low Low Moderate High Very High | |
| Slope gradient | Satellite image (DEM and Landsat 8 OLI) | 0–5° 5–10° 10–15° 15–20° 20–25° 25–53° |
| Slope aspect | North East South West | |
| Altitude | 114–314 314–514 514–714 714–975 | |
| Density of Stream Networks | Very Low Low Moderate High Very High | |
| Land Cover/Land Use | Urban Area Forests Natural Vegetation Nacked Area Agricultural Area | |
| Seismic isodepth | USGS database | 0–10 m 10–20 m 20–30 m 30–50 m 50–95 m |
Disclaimer/Publisher’s Note: The statements, opinions and data contained in all publications are solely those of the individual author(s) and contributor(s) and not of MDPI and/or the editor(s). MDPI and/or the editor(s) disclaim responsibility for any injury to people or property resulting from any ideas, methods, instructions or products referred to in the content. |
© 2025 by the authors. Licensee MDPI, Basel, Switzerland. This article is an open access article distributed under the terms and conditions of the Creative Commons Attribution (CC BY) license (https://creativecommons.org/licenses/by/4.0/).
Share and Cite
Mastere, M.; Sbihi, A.; El Ouali, A.; Bekkali, S.; Arab, O.; Nel Sanders, D.; Taj, B.; Ouchen, I.; Rebai, N.; Bounab, A. Statistical and Geomatic Approaches to Typological Characterization and Susceptibility Mapping of Mass Movements in Northwestern Morocco’s Alpine Zone. Geomatics 2025, 5, 51. https://doi.org/10.3390/geomatics5040051
Mastere M, Sbihi A, El Ouali A, Bekkali S, Arab O, Nel Sanders D, Taj B, Ouchen I, Rebai N, Bounab A. Statistical and Geomatic Approaches to Typological Characterization and Susceptibility Mapping of Mass Movements in Northwestern Morocco’s Alpine Zone. Geomatics. 2025; 5(4):51. https://doi.org/10.3390/geomatics5040051
Chicago/Turabian StyleMastere, Mohamed, Ayyoub Sbihi, Anas El Ouali, Sanae Bekkali, Oussama Arab, Danielle Nel Sanders, Benyounes Taj, Ibrahim Ouchen, Noamen Rebai, and Ali Bounab. 2025. "Statistical and Geomatic Approaches to Typological Characterization and Susceptibility Mapping of Mass Movements in Northwestern Morocco’s Alpine Zone" Geomatics 5, no. 4: 51. https://doi.org/10.3390/geomatics5040051
APA StyleMastere, M., Sbihi, A., El Ouali, A., Bekkali, S., Arab, O., Nel Sanders, D., Taj, B., Ouchen, I., Rebai, N., & Bounab, A. (2025). Statistical and Geomatic Approaches to Typological Characterization and Susceptibility Mapping of Mass Movements in Northwestern Morocco’s Alpine Zone. Geomatics, 5(4), 51. https://doi.org/10.3390/geomatics5040051

