Sign in to use this feature.

Years

Between: -

Subjects

remove_circle_outline
remove_circle_outline
remove_circle_outline
remove_circle_outline
remove_circle_outline
remove_circle_outline
remove_circle_outline

Journals

Article Types

Countries / Regions

Search Results (80)

Search Parameters:
Keywords = Polychaeta

Order results
Result details
Results per page
Select all
Export citation of selected articles as:
22 pages, 4774 KB  
Article
A Burning Issue: Interactions of the Bearded Fireworm Hermodice carunculata with Artisanal Fisheries—A Case Study from Malta (Central Mediterranean)
by Antonia Scicluna and Patrick J. Schembri
Oceans 2026, 7(1), 18; https://doi.org/10.3390/oceans7010018 - 16 Feb 2026
Viewed by 208
Abstract
The bearded fireworm Hermodice carunculata (Polychaeta) has become increasingly problematic in Mediterranean artisanal fisheries, yet remains understudied. This study provides a detailed analysis of interactions between H. carunculata and artisanal fishers in Marsaxlokk, Malta’s largest fishing village. Combining fisher interviews (local ecological knowledge) [...] Read more.
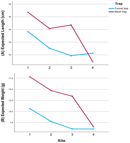
The bearded fireworm Hermodice carunculata (Polychaeta) has become increasingly problematic in Mediterranean artisanal fisheries, yet remains understudied. This study provides a detailed analysis of interactions between H. carunculata and artisanal fishers in Marsaxlokk, Malta’s largest fishing village. Combining fisher interviews (local ecological knowledge) and field data, the study reveals that fishing practices inadvertently sustain and amplify local fireworm populations by discarding worms and by-catch nearshore, thereby providing abundant food sources. The highest fisher activity correlated with significantly denser fireworm populations and smaller-sized individuals, indicating population growth driven by fisher practices. Fireworm predation significantly impacts fishers economically, causing an estimated direct loss of 52.5% of the expected profit across the five onboard sessions, due to damaged catch, along with additional indirect losses from reduced gear efficiency and increased labor. The worm’s painful sting adds further nuisance and discomfort for fishers who frequently handle infested gear. Despite awareness of fireworm behavior, fishers largely did not recognize their practices as exacerbating the issue, creating a feedback loop perpetuating the problem. Behavioral experiments suggested that modifying fishing practices and gear design might mitigate fireworm impacts. Addressing this socio-ecological challenge requires further targeted research, education, and policy support to break the cycle that benefits fireworm proliferation in the region to the detriment of fishers. Full article
Show Figures

Figure 1

60 pages, 64661 KB  
Article
Magelonidae Cunningham & Ramage, 1888 (Annelida, Polychaeta)—Worldwide Identification Keys and the Re-Establishment of Maea Johnston, 1865
by Kate Mortimer, Kimberley Mills and Craig M. Robertson
Taxonomy 2026, 6(1), 17; https://doi.org/10.3390/taxonomy6010017 - 14 Feb 2026
Viewed by 587
Abstract
Shovel head worms (Annelida: Magelonidae) have long presented challenges to polychaete systematists due to their unique morphology and relative uniformity. This has been compounded by a lack of taxonomic work across key biogeographic regions. However, over the past few decades, a series of [...] Read more.
Shovel head worms (Annelida: Magelonidae) have long presented challenges to polychaete systematists due to their unique morphology and relative uniformity. This has been compounded by a lack of taxonomic work across key biogeographic regions. However, over the past few decades, a series of studies has progressively addressed these issues, refining our understanding of magelonid taxonomy and making taxonomic revisions of several regions. Whilst a standardised framework for morphological characters across the family has been produced, a worldwide review of taxonomic knowledge has been warranted. The information is herein presented alongside the first worldwide identification key in over 50 years. The much-needed key is presented in two formats: a dichotomous key divided by marine realms, and a pictorial key based on putative morphological groups. The key is additionally supplemented by the provision of an interactive map providing type locality data and links to taxonomic works. The pictorial key provides additional support for the unique terminology historically applied to the group. The genus Maea Johnston, 1865 is herein re-established for fifteen species possessing long rounded prostomia without horns, but possessing mucronate chaetae of the ninth chaetiger, and lateral abdominal pouches. Full article
Show Figures

Graphical abstract

7 pages, 2270 KB  
Brief Report
First Record of Amphitrite cirrata (Polychaeta: Terebellidae) in Association with the Barents Sea Red King Crab Paralithodes camtschaticus (Malacostraca: Lithodidae)
by Alexander G. Dvoretsky and Vladimir G. Dvoretsky
Animals 2026, 16(1), 78; https://doi.org/10.3390/ani16010078 - 26 Dec 2025
Viewed by 278
Abstract
The introduced red king crab Paralithodes camtschaticus holds significant commercial value in the Barents Sea. This species is recognized as a host for a wide variety of symbiotic organisms, including polychaetes. In July 2015 and 2025, a total of 12 specimens of the [...] Read more.
The introduced red king crab Paralithodes camtschaticus holds significant commercial value in the Barents Sea. This species is recognized as a host for a wide variety of symbiotic organisms, including polychaetes. In July 2015 and 2025, a total of 12 specimens of the marine terebellid polychaete Amphitrite cirrata were discovered inhabiting the gills of two red king crabs in Dalnezelenetskaya Bay, Barents Sea. This study represents the first documented occurrence of an association between these benthic species. Colonization of the red king crab by Amphitrite cirrata offers several advantages to the polychaetes by providing access to suitable feeding conditions, increased mobility, and protection from potential predators. However, this association poses disadvantages to the host crabs, as it results in tissue damage and an elevated concentration of sand particles within their gills. Full article
(This article belongs to the Section Ecology and Conservation)
Show Figures

Figure 1

20 pages, 11698 KB  
Article
Four New Records of Ampharetidae (Annelida, Terebellida) from Korea, with Systematic Clarifications and First Descriptions of Methyl Green Staining Patterns (MGSPs)
by Jong Rae Kim, Yu Bin Ham, Sunyoung Kim and Man-Ki Jeong
Diversity 2025, 17(12), 858; https://doi.org/10.3390/d17120858 - 15 Dec 2025
Viewed by 428
Abstract
The systematics of the polychaete family Ampharetidae in Korean waters have been marked by long-standing confusion and potential misidentifications of key species. This study presents a critical systematics re-assessment of Korean ampharetids, based on newly collected material and historical voucher specimens from the [...] Read more.
The systematics of the polychaete family Ampharetidae in Korean waters have been marked by long-standing confusion and potential misidentifications of key species. This study presents a critical systematics re-assessment of Korean ampharetids, based on newly collected material and historical voucher specimens from the National Marine Biodiversity Institute of Korea (MABIK). We used detailed morphological examinations, complemented by scanning electron microscopy (SEM) for the uncini structure and methyl green staining patterns (MGSPs) to reveal cryptic diagnostic characters. We provide the first records of four species from Korea: Amphicteis chinensis, Anobothrus nataliae, Auchenoplax worsfoldi, and Phyllocomus chinensis. Our re-examination of voucher specimens, including provisionally labeled MABIK material, corrects significant historical misidentifications. Notably, specimens previously identified as Ampharete arctica are shown to be Anobothrus nataliae, and historical records of Amphicteis gunneri are identified as a complex of other species, including A. chinensis. Furthermore, the detailed MGSPs for all four species are described for the first time, proving to be a valuable auxiliary diagnostic tool, especially for identifying cryptic structures like the thoracic ridges in A. nataliae. This research demonstrates that ampharetid diversity in Korea is significantly underestimated and establishes that a modern morphological framework, integrating the combined use of MGSP and SEM, is essential for the systematics of the family. Full article
(This article belongs to the Section Marine Diversity)
Show Figures

Figure 1

27 pages, 6753 KB  
Article
Holistic Ecosystem Assessment of the Mangalia–Limanu Coastal Lake (Black Sea, Romania)
by Ana Bianca Pavel, Catalina Gavrila, Irina Catianis, Gabriel Iordache, Florina Radulescu, Adrian Teaca and Laura Dutu
Limnol. Rev. 2025, 25(4), 51; https://doi.org/10.3390/limnolrev25040051 - 23 Oct 2025
Viewed by 1367
Abstract
The Mangalia–Limanu coastal lake system, located in southeastern Romania along the Black Sea, represents a transitional aquatic environment shaped by the interplay between freshwater and marine influences. This study provides an integrated assessment of its physicochemical water parameters, sedimentological and geochemical properties, and [...] Read more.
The Mangalia–Limanu coastal lake system, located in southeastern Romania along the Black Sea, represents a transitional aquatic environment shaped by the interplay between freshwater and marine influences. This study provides an integrated assessment of its physicochemical water parameters, sedimentological and geochemical properties, and benthic macroinvertebrate communities, aiming to evaluate its current ecological status and environmental dynamics. Field measurements using a multiparameter sonde revealed a predominantly freshwater to oligohaline system with moderate spatial heterogeneity. DO levels frequently reached supersaturation (>180%), coupled with high pH (~9.1), indicating intense daytime photosynthetic activity. Conductivity, TDS, and salinity increased longitudinally toward the port water area, while nitrate concentrations showed stronger signals upstream. Sediments were dominated by organic matter (18–88%), with lower carbonate (3–53%) and siliciclastic (8–49%) contents. Organic-rich deposits prevailed in the western-central sector, where reduced hydrodynamics and submerged vegetation favor autochthonous organic accumulation, whereas the eastern sector, exposed to marine action, showed more siliciclastic-rich substrates. Geochemical analyses revealed localized exceedances of Cr, Ni, Cu, Zn, and Pb regulatory thresholds (Order 161/2006), suggesting potential contamination hotspots. Benthic communities included 26 taxa, dominated by polychaetas, gammarids, and gastropods, with moderate diversity (H′ < 2). The results highlight a system under moderate anthropogenic pressure but retaining transitional lagoon characteristics, emphasizing the need for continued ecological monitoring and integrated management measures. Full article
Show Figures

Figure 1

17 pages, 1962 KB  
Article
Effects of Commercially Available Plastics on Estuarine Sediment Dweller Polychaeta Hediste diversicolor
by David Daniel, João Pinto da Costa, Ana Violeta Girão and Bruno Nunes
Microplastics 2025, 4(3), 46; https://doi.org/10.3390/microplastics4030046 - 30 Jul 2025
Cited by 1 | Viewed by 1350
Abstract
Microplastics (MPs) are a major contaminant in aquatic environments. Due to their size, they are likely to cause deleterious effects. In this study, we assessed the effects of MPs obtained from two commercially available plastics (PP and PET) in the polychaeta Hediste diversicolor [...] Read more.
Microplastics (MPs) are a major contaminant in aquatic environments. Due to their size, they are likely to cause deleterious effects. In this study, we assessed the effects of MPs obtained from two commercially available plastics (PP and PET) in the polychaeta Hediste diversicolor after different periods (4 and 28 days). Toxic effects were assessed by measuring burrowing and spontaneous activities, phase I (CYP1A1, 1A2, and 3A4) activities), conjugation metabolism (GSTs), and antioxidant defense (CAT). Behavioral traits and phase I activities were nonresponsive to the presence of both plastics and for the two durations of exposure, indicating that these organisms are not affected by exposure to MPs and do not metabolize them. Conjugation metabolism was inhibited, which may be explained by the MPs’ capability of inhibiting certain enzymes. CAT activity was increased in animals acutely exposed to PP and decreased in animals chronically exposed to PET. This study shows that PP- and PET-MPs do not cause adverse effects on H. diversicolor. Full article
Show Figures

Figure 1

20 pages, 5053 KB  
Article
Epifaunal Assemblages of the Fan Mussel Atrina fragilis (Mollusca: Bivalvia) in the Sea of Marmara
by Melih Ertan Çinar, Mehmet Baki Yokeş, Deniz Erdogan-Dereli, Sermin Açik and Alper Evcen
Biology 2025, 14(8), 945; https://doi.org/10.3390/biology14080945 - 27 Jul 2025
Viewed by 1273
Abstract
Dense aggregations of species in the family Pinnidae give soft substrata a specific characterization. They may influence the biological and physical properties of the surrounding sediments. Bottom-trawl samplings performed in the Sea of Marmara revealed populations of a large pinnid species, particularly at [...] Read more.
Dense aggregations of species in the family Pinnidae give soft substrata a specific characterization. They may influence the biological and physical properties of the surrounding sediments. Bottom-trawl samplings performed in the Sea of Marmara revealed populations of a large pinnid species, particularly at depths of 40–45 m in soft substrata. Both morphological and DNA analyses confirmed the species’ taxonomic identity as Atrina fragilis. This species had a population density ranging from 31 to 469 ind.km−2, and the shell lengths ranged from 21.3 to 31 cm. A total of 47 macrozoobenthic species belonging to eight taxonomic groups were found on the shells of ten live and nine dead A. fragilis individuals. Polychaeta accounted for 53% of the total number of species and 75% of the total number of individuals. Among these species, Protula tubularia and Serpula concharum comprised almost 30% of all epifaunal populations. Community parameters changed according to the shell length and width. Different faunal assemblages were encountered on the shells. Given the ecological significance of A. fragilis as both a habitat-forming and sensitive benthic species, conservation measures should prioritize the protection of known habitats and the regulation of activities that lead to seabed disturbance. Full article
(This article belongs to the Special Issue Epibiosis in Aquatic Environments)
Show Figures

Figure 1

18 pages, 4793 KB  
Article
Assessment of Ecological Quality Status in Shellfish Farms in South Korea Using Multiple Benthic Indices
by Se-Hyun Choi, Jian Liang and Chae-Woo Ma
Animals 2025, 15(14), 2086; https://doi.org/10.3390/ani15142086 - 15 Jul 2025
Viewed by 3012
Abstract
South Korea is one of the world’s major centers for marine shellfish aquaculture. Since the industry’s rapid expansion began in the 1980s, concerns have grown regarding its environmental impacts on coastal marine ecosystems. Evaluating the benthic ecological quality status (EcoQs) of shellfish farms [...] Read more.
South Korea is one of the world’s major centers for marine shellfish aquaculture. Since the industry’s rapid expansion began in the 1980s, concerns have grown regarding its environmental impacts on coastal marine ecosystems. Evaluating the benthic ecological quality status (EcoQs) of shellfish farms using benthic indices provides a scientific foundation for the sustainable management of aquaculture areas. In our study, five benthic indices (AZTI’s marine biotic index, BENTIX, benthic opportunistic polychaeta amphipoda index, benthic pollution index, and multivariate AMBI) and one composite index were selected to assess EcoQs of shellfish farms in Gangjin Bay, South Korea. Our results revealed significant differences in macrobenthic community structure and EcoQs between November and December in Gangjin Bay. Spearman correlation analysis and principal coordinates analysis (PCoA) demonstrated that the multivariate AMBI (M-AMBI) exhibited the best overall performance among indices. However, considering the ecological complexity, variability in farming practices, and site-specific conditions typical of shellfish aquaculture environments, the use of five benthic indices and a composite index is recommended to ensure a more comprehensive and robust evaluation of EcoQs in Korean shellfish farms. Full article
(This article belongs to the Section Aquatic Animals)
Show Figures

Figure 1

14 pages, 1685 KB  
Article
Benthic Infauna in the Shallow-Water Hydrothermal System of Banderas Bay, Mexico: A Two-Period Comparison
by María Carolina Rodríguez-Uribe, Rosa María Chávez-Dagostino, Patricia Salazar-Silva, Jani Jarquín-González, Alma Rosa Raymundo-Huizar and Fátima Maciel Carrillo-González
Diversity 2025, 17(7), 440; https://doi.org/10.3390/d17070440 - 20 Jun 2025
Viewed by 1170
Abstract
At a depth of approximately 9 m off the coast of Banderas Bay, hydrothermal activity occurs through various seabed vents, discharging liquids and gases that reach temperatures of up to 89 °C and pH values lower than the surrounding seawater. This study examines [...] Read more.
At a depth of approximately 9 m off the coast of Banderas Bay, hydrothermal activity occurs through various seabed vents, discharging liquids and gases that reach temperatures of up to 89 °C and pH values lower than the surrounding seawater. This study examines the composition of the benthic infauna inhabiting the sediments of this hydrothermal system in two time periods: November 2017 (previously reported) and September 2023 (recorded for this study). In total, for both samplings, we identified 17 benthic infaunal groups—amphipods, isopods, cumaceans, tanaidaceans, crabs, shrimps, copepods, snails, limpets, caecids, chitons, bivalves, scaphopods, polychaetes, amphioxus, ophiuroids, and bryozoans—belonging to these ten taxonomic classes: Malacostraca, Maxillopoda, Gastropoda, Polyplacophora, Bivalvia, Scaphopoda, Polychaeta, Leptocardii, Ophiuroidea, and Stenolaemata. Additionally, we identified galleries of polychaetes, vermetids, and peracarids. Despite the stressful hydrothermal conditions, statistical analyses of both sampling campaigns revealed no significant differences in abundance, highlighting the potential persistence and adaptability of benthic communities in hydrothermally influenced habitats. Full article
(This article belongs to the Section Microbial Diversity and Culture Collections)
Show Figures

Figure 1

23 pages, 7930 KB  
Article
The Diversity and Phylogenetic Relationships of a Chaetopterus Symbiont Community in Djibouti, with Redescription of Chaetopterus djiboutiensis Gravier, 1906 Stat. Nov. (Annelida: Chaetopteridae)
by Shannon D. Brown, Tullia I. Terraneo, Jenna M. Moore, Gustav Paulay, Kristine N. White, Michael L. Berumen and Francesca Benzoni
Diversity 2025, 17(5), 366; https://doi.org/10.3390/d17050366 - 21 May 2025
Cited by 1 | Viewed by 1547
Abstract
The tubes of polychaetes of the genus Chaetopterus (Annelida: Chaetopteridae) provide habitat for cryptic, symbiotic organisms that are often overlooked when examining diversity. Our study employed molecular phylogenetics to examine the diversity of symbiont species associated with Chaetopterus djiboutiensis stat. nov., collected from [...] Read more.
The tubes of polychaetes of the genus Chaetopterus (Annelida: Chaetopteridae) provide habitat for cryptic, symbiotic organisms that are often overlooked when examining diversity. Our study employed molecular phylogenetics to examine the diversity of symbiont species associated with Chaetopterus djiboutiensis stat. nov., collected from the Gulf of Tadjoura, Djibouti. A total of 15 Chaetopterus hosts and their associated symbionts were collected from nine coastal sites. Four genetic regions were targeted for PCR amplification: the mitochondrial cytochrome oxidase subunit I and 16S rDNA and the nuclear 18S rDNA and Histone H3. Chaetopterus djiboutiensis was redescribed from topotypic material and elevated to species rank, and a neotype specimen was designated. Phylogenetic and morphological analysis confirmed five species associated with C. djiboutiensis in Djibouti: two porcelain crabs, Polyonyx pedalis and Polyonyx socialis; one nudibranch, Tenellia chaetopterana; one fish, Onuxodon sp.; and one amphipod, Leucothoe sp. A. As only the fourth comprehensive study on Chaetopterus symbionts, our study highlights the diversity and community patterns of symbionts associated with these unique tubicolous marine polychaetes. Full article
Show Figures

Figure 1

29 pages, 6779 KB  
Article
Seasonal Macrofaunal Diversity in the Shells of Dead Pinna nobilis Linnaeus, 1758 in Southern Istria
by Petra Burić, Neven Iveša, Adrian Brajković, Ante Žunec, Iris Matulja, Ines Kovačić, Andrej Jaklin, Gioconda Millotti, Paolo Paliaga, Emina Pustijanac, Tin Matulja and Moira Buršić
Oceans 2025, 6(2), 26; https://doi.org/10.3390/oceans6020026 - 7 May 2025
Cited by 2 | Viewed by 2338
Abstract
The shells of dead Pinna nobilis individuals are important habitats in sedimentary coastal ecosystems, yet their ecological role is poorly understood. This study investigated macrofaunal communities associated with 80 P. nobilis shells from Soline Bay and Valovine Bay, northern Adriatic, analyzing variations in [...] Read more.
The shells of dead Pinna nobilis individuals are important habitats in sedimentary coastal ecosystems, yet their ecological role is poorly understood. This study investigated macrofaunal communities associated with 80 P. nobilis shells from Soline Bay and Valovine Bay, northern Adriatic, analyzing variations in species abundance and biodiversity between shell orientations (vertical and horizontal) and across seasons. Shell dimensions were recorded, with larger shells and higher faunal abundance observed in Soline Bay compared to Valovine Bay. A total of 2225 individuals representing 183 species across 19 taxonomic groups were identified, with Malacostraca, Bivalvia, and Polychaeta being the most abundant. Vertically positioned shells hosted significantly more organisms than horizontally positioned ones, likely due to greater available surface area for settlement. Seasonal changes influenced organism abundance, with peaks in winter for Valovine Bay and spring for Soline Bay, correlating with environmental factors such as eutrophication. The most frequent species associated with the shells of dead individuals were the polychaete Sabella spallanzanii and the bivalve Rocellaria dubia, which can impact shell degradation. Despite their temporary nature, the shells of dead P. nobilis provide vital refuge and enhance biodiversity. The findings underscore the ecological importance of P. nobilis shells as biodiversity hotspots and highlight the need for their conservation and further study. Full article
Show Figures

Figure 1

21 pages, 3671 KB  
Article
Polychaetes Associated with Calcareous Red Algae Corallina officinalis in the Northern Adriatic Sea
by Valentina Pitacco, Moira Buršić, Ante Žunec, Petra Burić, Neven Iveša, Ines Kovačić, Emina Pustijanac, Ljiljana Iveša, Tanja Vojvoda Zeljko and Borut Mavrič
Diversity 2025, 17(5), 302; https://doi.org/10.3390/d17050302 - 22 Apr 2025
Viewed by 1687
Abstract
Polychaetes are important marine invertebrates that contribute to sediment bioturbation, nutrient recycling, and food web dynamics. This study examines the diversity and structure of the polychaete assemblages associated with the red algae Corallina officinalis in areas with different levels of anthropogenic pressures of [...] Read more.
Polychaetes are important marine invertebrates that contribute to sediment bioturbation, nutrient recycling, and food web dynamics. This study examines the diversity and structure of the polychaete assemblages associated with the red algae Corallina officinalis in areas with different levels of anthropogenic pressures of the Northeastern Adriatic Sea. Sampling was performed in the intertidal zones. Altogether, 54 species from 13 families were found, with Syllidae being the most abundant. Polychaete richness, relative abundance and diversity at sampling locations with and without anthropogenic pressures showed no significant difference. Multivariate analyses revealed significant differences in species composition between sites under anthropogenic pressures and those without, with key species such as Sphaerosyllis pirifera, Syllis rosea, Syllis prolifera, Syllis gerundensis, and Platynereis dumerilii playing significant roles. Syllis rosea was the most abundant in locations without anthropogenic pressures, while S. pirifera was the most abundant in locations under anthropogenic pressures. These results suggest that while polychaete communities are resilient, anthropogenic pressures are causing shifts in species composition. This pattern is consistent with the results of related studies, indicating a broader ecological trend. The shifts observed here should raise concern among conservation ecologists, underscoring the importance of long-term monitoring to understand and mitigate the impacts of human activities on coastal ecosystems. Full article
(This article belongs to the Section Marine Diversity)
Show Figures

Figure 1

21 pages, 2255 KB  
Article
Where Meiofauna? An Assessment of Interstitial Fauna at a Belgian Beach
by Jill Monnissen, Sofie Thijs, Tom Artois, Philippe Jouk, Emma Van de Reydt, Thomas Van Dijck and Marlies Monnens
Diversity 2025, 17(4), 287; https://doi.org/10.3390/d17040287 - 18 Apr 2025
Cited by 1 | Viewed by 1340
Abstract
Meiofauna are frequently overlooked in biodiversity assessments, resulting in a lack of understanding regarding their current status, the potential impact of anthropogenic activities, and climate change. This study on the intertidal zone of the Small Beach of Ostend marks a new effort to [...] Read more.
Meiofauna are frequently overlooked in biodiversity assessments, resulting in a lack of understanding regarding their current status, the potential impact of anthropogenic activities, and climate change. This study on the intertidal zone of the Small Beach of Ostend marks a new effort to characterize meiofaunal communities along the Belgian coast. Sampling was carried out on five separate occasions throughout the year, with abiotic data collected during each event. Collected specimens were sorted according to their taxonomic group, resulting in a retrieval of 1742 organisms. Among these, Platyhelminthes and Nematoda were most abundant. Through metabarcoding of the 18S ribosomal region, a biodiversity assessment was conducted, yielding a total of 106 Amplicon Sequence Variants (ASVs). After filtering out rare reads, 65 metazoan ASVs were retained: 18 representing Platyhelminthes, 16 Nematoda, 15 Copepoda, 12 Polychaeta, and 4 Acoela. Identification of the ASVs through blasting generated 23 unique species-level identifications. The highest species richness was observed among Proseriata and Nematoda, each comprising six different species. Additionally, four different species of Polychaeta and Copepoda, two species of Acoela, and one species of Rhabdocoela were identified. Compared to findings on similar beaches along the Belgian coast from about 40 years ago, the meiofaunal communities on this beach exhibit an overall low species richness. Finding fewer and other species might be linked to the potential impact of beach nourishments, human trampling, and climate change. However, confirming this hypothesis requires future research. Full article
(This article belongs to the Special Issue DNA Barcodes for Evolution and Biodiversity—2nd Edition)
Show Figures

Graphical abstract

30 pages, 18447 KB  
Article
Four New Species of Hesionidae (Annelida, Polychaeta, Phyllodocida) from Eastern Pacific Chemosynthetic Habitats and Reinstatement of Vrijenhoekia
by Rachel Kroesche and Greg W. Rouse
Diversity 2025, 17(2), 121; https://doi.org/10.3390/d17020121 - 8 Feb 2025
Cited by 2 | Viewed by 2023
Abstract
Hesionid polychaetes are well known at hydrothermal vents, methane seeps, and unusual habitats such as whale falls. In 1985, Sirsoe grasslei was the first hesionid to be named from a hydrothermal vent. Vrijenhoekia was erected in 2008 for a closely related species from [...] Read more.
Hesionid polychaetes are well known at hydrothermal vents, methane seeps, and unusual habitats such as whale falls. In 1985, Sirsoe grasslei was the first hesionid to be named from a hydrothermal vent. Vrijenhoekia was erected in 2008 for a closely related species from a whale fall. Further species of Sirsoe and Vrijenhoekia were described in the following decade and the genera were recovered as reciprocally monophyletic with DNA data. However, Sirsoe was made a senior synonym of Vrijenhoekia when 10 further new species from the clade were named from off the coast of Brazil. To further evaluate the status of Sirsoe and Vrijenhoekia, we present the first DNA data for the type species of Sirsoe, S. grasslei. Our results allow the reinstatement of Vrijenhoekia and emended diagnoses for Sirsoe and Vrijenhoekia. Four new species, three in Sirsoe and one in Vrijenhoekia, are also described. Full article
(This article belongs to the Special Issue 2024 Feature Papers by Diversity’s Editorial Board Members)
Show Figures

Graphical abstract

14 pages, 1950 KB  
Article
The Complete Mitochondrial Genome of the Korean Endemic Polychaete Phyllodoce koreana (Lee & Jae, 1985) from Jindong Bay, Korea, with Additional Morphological and Ecological Features
by Dae-Hun Kim, So Jin Ryu, Jong Rae Kim, Seong-il Eyun and Man-Ki Jeong
J. Mar. Sci. Eng. 2025, 13(2), 223; https://doi.org/10.3390/jmse13020223 - 25 Jan 2025
Cited by 1 | Viewed by 1913
Abstract
Phyllodoce koreana was first described in 1985 in Gwangyang Bay, a semi-enclosed bay in Korea affected by significant organic input from the Seomjin River and dredging activities near the Gwangyang Port. Since then, this Korean endemic species has received limited attention in taxonomic [...] Read more.
Phyllodoce koreana was first described in 1985 in Gwangyang Bay, a semi-enclosed bay in Korea affected by significant organic input from the Seomjin River and dredging activities near the Gwangyang Port. Since then, this Korean endemic species has received limited attention in taxonomic and ecological studies. Phyllodoce koreana is known for its resilience to mild disturbances but is vulnerable to severe environmental changes. In this study, P. koreana specimens were collected from organically polluted Asian stalked tunicate aquaculture farms at eight sites in Jindong Bay, a location with environmental conditions similar to those of Gwangyang Bay, over the course of five sampling events from March to November. Both bays experience benthic hypoxia in summer due to elevated water temperatures and organic matter accumulation. Phyllodocid specimens were primarily collected in March and November 2023, non-hypoxic periods, suggesting potential seasonal adaptations to environmental fluctuations. The morphological features of the collected specimens were consistent with the original description of P. koreana, confirming their identification. Additionally, we reported previously overlooked morphological details, contributing to a more comprehensive taxonomic understanding of the species. We also present, for the first time, the complete mitochondrial genome of this species, comprising 15,559 bp, which provides essential genetic data for future taxonomic and phylogenetic studies. The phylogenetic analysis of protein-coding genes shows that, among 17 related polychaete species, P. koreana (family Phyllodocidae) is closely related to the family Goniadidae. Future research should expand our knowledge of polychaete taxonomy by integrating additional mitochondrial genomes and investigating the role of conserved gene synteny within Polychaeta. Full article
Show Figures

Figure 1

Back to TopTop