Sign in to use this feature.

Years

Between: -

Subjects

remove_circle_outline
remove_circle_outline
remove_circle_outline
remove_circle_outline
remove_circle_outline
remove_circle_outline
remove_circle_outline

Journals

Article Types

Countries / Regions

Search Results (24)

Search Parameters:
Keywords = Plectropomus

Order results
Result details
Results per page
Select all
Export citation of selected articles as:
14 pages, 1691 KB  
Article
Freshness and Spoilage Patterns of Wild and Farmed Tropical Fish Species with Major Commercial Importance Originating from Saudi Arabian Waters
by Kriton Grigorakis, Dimitra Kogiannou, Mado Kotsiri, Ioannis Kleidas, Paulo H. de Mello, Salaheldeen Habiballah, Ali Alshaikhi, Youssef S. Alhafedh and Asaad H. W. Mohamed
Foods 2025, 14(4), 690; https://doi.org/10.3390/foods14040690 - 17 Feb 2025
Viewed by 1434
Abstract
Ice-stored farmed barramundi (Lates calcarifer), snubnose pompano (Trachinotus blochii) and sobaity bream (Sparidentex hasta), as well as wild-caught cobia (Rachycentron canadum), coral trout (Plectropomus leopardus), giant trevally (Caranx ignobilis), milkfish ( [...] Read more.
Ice-stored farmed barramundi (Lates calcarifer), snubnose pompano (Trachinotus blochii) and sobaity bream (Sparidentex hasta), as well as wild-caught cobia (Rachycentron canadum), coral trout (Plectropomus leopardus), giant trevally (Caranx ignobilis), milkfish (Chanos chanos) and mangrove red snapper (Lutjanus argentimaculatus), were compared for their freshness/spoilage using sensory, chemical and microbiological methods. Quality Index Method schemes were developed to determine alterations in the sensory freshness. The shelf lives ranged from 8 (coral trout) to 18 days (sobaity bream). The farmed species always exhibited a significantly longer shelf life than the wild-caught species. The adenosine triphosphate (ATP) breakdown followed different patterns in the studied species. The K-values at the time of sensory rejection ranged from 30 to 80% depending on the species, while the microbial load reached or exceeded a level of 6 log cfu/g. Although the shelf life duration was dependent on the origin of the fish (wild or farmed), the ATP breakdown scheme, as well as the K-values and microbial loads at the time of rejection, were species-dependent and independent of the origin. Full article
(This article belongs to the Special Issue Storage and Shelf-Life Assessment of Food Products)
Show Figures

Figure 1

19 pages, 10474 KB  
Article
The Effects of Acute Temperature Changes on Transcriptomic Responses in the Liver of Leopard Coral Groupers (Plectropomus leopardus)
by Yilan Guo, Chaofan Jin, Cun Wei, Kangning Zhong, Yurui Gao, Peiyu Li, Zhe Qu, Zhenmin Bao, Bo Wang and Jingjie Hu
Antioxidants 2025, 14(2), 223; https://doi.org/10.3390/antiox14020223 - 15 Feb 2025
Cited by 1 | Viewed by 1185
Abstract
The leopard coral grouper (Plectropomus leopardus) is a commercially significant tropical marine species. With the ongoing effects of global climate change, increasing attention has been focused on leopard coral grouper’s susceptibility to extreme cold weather. This study investigates the effects of [...] Read more.
The leopard coral grouper (Plectropomus leopardus) is a commercially significant tropical marine species. With the ongoing effects of global climate change, increasing attention has been focused on leopard coral grouper’s susceptibility to extreme cold weather. This study investigates the effects of acute cold exposure and temperature recovery on the liver of P. leopardus. Histological observations and enzyme activity assays revealed that temperature fluctuations caused significant disruptions to normal liver physiology, including lipid accumulation and alterations in antioxidant levels. Transcriptomic analysis of liver tissue identified 2744 differentially expressed genes (DEGs) across three experimental groups: 25 °C (control), 13 °C (cold exposure), and rewarming at 25 °C (R-25 °C). Functional enrichment analysis revealed that these DEGs were significantly associated with biological processes such as lipid metabolism and antioxidant defense, as well as pathways related to metabolism, fatty acid biosynthesis, and ferroptosis. Furthermore, dynamic regulation of lipid metabolism, immune responses, and oxidative stress pathways was observed in response to both cold stress and rewarming. Notably, several redox-related DEGs were identified, and their interactions with lipid metabolism were further explored. Additionally, representative DEGs associated with antioxidants and lipid metabolism, such as got1, gpx1a, gpt, and g6pcla.2, were validated by qRT-PCR and fluorescence in situ hybridization (FISH). Taken together, this study provides a systematic analysis of the effects of acute cold exposure and temperature recovery stress on the liver of the leopard coral grouper, laying the groundwork for further research on the temperature stress responses in teleost species. Full article
(This article belongs to the Special Issue The Role of Oxidative Stress in Aquaculture)
Show Figures

Figure 1

18 pages, 23483 KB  
Article
DNA Methylation and Transcriptome Profiling Reveal the Role of the Antioxidant Pathway and Lipid Metabolism in Plectropomus leopardus Skin Color Formation
by Yang Liu, Linna Wang, Zhentong Li, Linlin Li, Tangtang Ding, Shuai Chen, Pengfei Duan, Xinyi Wang, Yishu Qiu, Xiaoyu Ding and Yongsheng Tian
Antioxidants 2025, 14(1), 93; https://doi.org/10.3390/antiox14010093 - 15 Jan 2025
Viewed by 1488
Abstract
Leopard coral grouper (Plectropomus leopardus), possessing a distinct red body color, is an important species in commercial markets; however, the high ratio of black individuals under intensive cultivation has limited the commercial value of the species. To dissect the regulatory mechanisms [...] Read more.
Leopard coral grouper (Plectropomus leopardus), possessing a distinct red body color, is an important species in commercial markets; however, the high ratio of black individuals under intensive cultivation has limited the commercial value of the species. To dissect the regulatory mechanisms underlying the red skin trait in P. leopardus, gene expression and DNA methylation modifications were compared between red and black skin tissues after astaxanthin treatment. Astaxanthin effectively increased the redness value a* and body weight. Multi-omics analyses revealed the crucial roles of pathways related to antioxidants and lipid metabolism, particularly “Tyrosine metabolism”, “Melanogenesis”, “Fatty acid metabolism”, “Fatty acid elongation”, and “Biosynthesis of unsaturated acids”, in red skin coloration. A molecular network for the regulation of red skin coloration in P. leopardus was constructed, and pmel, tyr, tyrp1a, tyrp1b, dct, slc24a5, wnt1, acsl4, elovl1, elovl6l.1, elovl6l.2, and elovl7 were identified as key genes. Notably, pmel, acsl4, and elovl7 were negatively regulated by differential DNA methylation. Our results provide new insight into the molecular and epigenetic mechanisms of body color variation, representing a significant step towards breeding for the red skin trait in P. leopardus. Full article
Show Figures

Figure 1

15 pages, 1900 KB  
Article
Effects of Different Light Spectra on Oxidative Stress and Nutritional Quality of the Fish Plectropomus leopardus
by Wensheng Li, Zheng Zhang, Baoliang Liu, Yingying Fang, Shuquan Cao, Wenyang Li, Yan Sun, Chengbin He, Chuanxin Zhang and Fan Fei
Fishes 2025, 10(1), 10; https://doi.org/10.3390/fishes10010010 - 28 Dec 2024
Cited by 1 | Viewed by 916
Abstract
This study investigated the impacts of light spectra on oxidative stress and nutrient quality of the fish Plectropomus leopardus in indoor recirculating aquaculture systems. The fish (100 g ± 0.45 g [wet weight]) were cultures in five different light spectra (full-spectrum (400–800 nm), [...] Read more.
This study investigated the impacts of light spectra on oxidative stress and nutrient quality of the fish Plectropomus leopardus in indoor recirculating aquaculture systems. The fish (100 g ± 0.45 g [wet weight]) were cultures in five different light spectra (full-spectrum (400–800 nm), blue (450 nm), green (530 nm), red (630 nm), and dark) for 60 days. After experimentation, blood and muscle tissue were collected and analyzed for biochemical variables and nutritional quality. We demonstrated that the total cholesterol, triglycerides activities of P. leopardus in the dark groups were substantially elevated, relative to other groups (p < 0.05). Glutathione and glutathione peroxidase activities were elevated in the green light group versus other red groups, and cortisol was drastically reduced in the red group relative to other groups (p < 0.05). The crude ash concentration in the blue and full-spectrum group was substantially more elevated than in other groups (p < 0.05). Thr, Glu, Cys, Val, Met, Ile, Leu, Phe, Lys, His, Arg were markedly higher in the blue light versus the red light group (p < 0.05). The muscle of P. leopardus was rich in lysine and its essential AA index was in the order of blue light, full-spectrum, green light, dark and red group. The content of total saturated fatty acids in the blue light group was drastically lower relative to the dark, green and red groups (p < 0.05), and the total polyunsaturated fatty acids and DHA + EPA contents in the blue light group were substantially elevated relative to the other groups (p < 0.05). These results revealed that different light environments had certain effects on blood biochemical, antioxidant capacity, nutrient composition and proportion of P. leopardus. A comprehensive evaluation found that the blue light environment had more positive effects on the physiological, biochemical and nutritional quality of P. leopardus. This result provides a theoretical reference for the lighting strategy of an indoor recirculating aquaculture system. Full article
(This article belongs to the Section Sustainable Aquaculture)
Show Figures

Figure 1

15 pages, 3734 KB  
Article
Effect of Dietary Astragalus polysaccharides (APS) on the Growth Performance, Antioxidant Responses, Immunological Parameters, and Intestinal Microbiota of Coral Trout (Plectropomus leopardus)
by Xiaoqi Hao, Heizhao Lin, Ziyang Lin, Keng Yang, Jing Hu, Zhenhua Ma and Wei Yu
Microorganisms 2024, 12(10), 1980; https://doi.org/10.3390/microorganisms12101980 - 30 Sep 2024
Cited by 5 | Viewed by 1646
Abstract
The potential effects of Astragalus polysaccharides (APS) were evaluated in coral trout (Plectropomus leopardus). Five APS levels (0%, 0.05%, 0.10%, 0.15%, and 0.20%) were added to the diet of coral trout, and a 56-day growth trial (initial weight 18.62 ± 0.05 [...] Read more.
The potential effects of Astragalus polysaccharides (APS) were evaluated in coral trout (Plectropomus leopardus). Five APS levels (0%, 0.05%, 0.10%, 0.15%, and 0.20%) were added to the diet of coral trout, and a 56-day growth trial (initial weight 18.62 ± 0.05 g) was conducted. Dietary APS enhanced growth performance, with the highest improvement observed in fish fed the 0.15% APS diet. This concentration also enhanced the antioxidant capacity and immunomodulation of the fish by regulating the expression of genes associated with antioxidant enzymes and immune responses. Intestinal microbiota analysis revealed that APS supplementation significantly increased the Chao1 index and relative abundance of beneficial bacteria (Firmicutes and Bacillus). A high level of APS (0.20%) did not provide additional benefits for growth and health compared to a moderate level (0.15%). These findings indicate that an optimal APS dose promotes growth, enhances antioxidant activity, supports immune function, and improves intestinal microbiota in coral trout. Based on a cubic regression analysis of the specific growth rate, the optimal APS level for the maximal growth of coral trout was determined to be 0.1455%. Full article
(This article belongs to the Special Issue Aquatic Microorganisms and Their Application in Aquaculture)
Show Figures

Figure 1

16 pages, 5461 KB  
Article
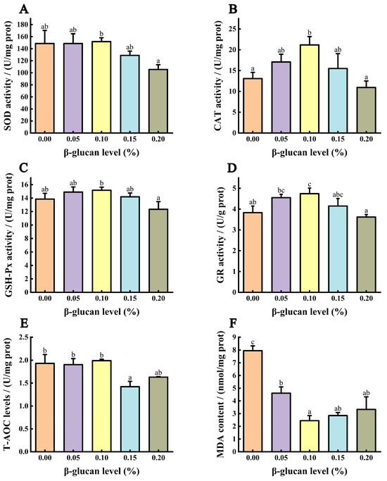
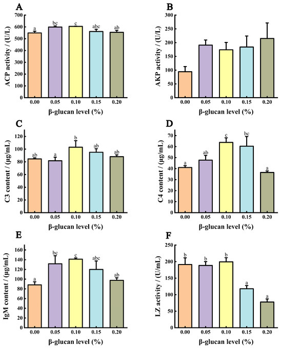
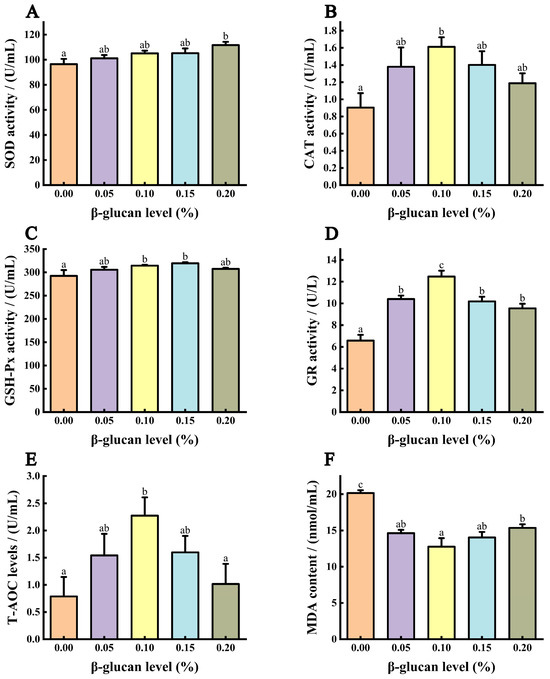
Effect of Dietary β-Glucan on Growth Performance, Antioxidant Responses, and Immunological Parameters of Coral Trout (Plectropomus leopardus)
by Xiaoqi Hao, Ziyang Lin, Zhenhua Ma, Yukai Yang, Chuanpeng Zhou, Jing Hu, Wei Yu and Heizhao Lin
Fishes 2024, 9(8), 298; https://doi.org/10.3390/fishes9080298 - 31 Jul 2024
Cited by 4 | Viewed by 2436
Abstract
Although β-glucan has diverse benefits for fish health, the potential adverse impacts of excessive supplementation are poorly understood. This study investigated the optimal dosage of β-glucan for coral trout and explored the adverse effects of excessive supplementation. The results revealed that moderate β-glucan [...] Read more.
Although β-glucan has diverse benefits for fish health, the potential adverse impacts of excessive supplementation are poorly understood. This study investigated the optimal dosage of β-glucan for coral trout and explored the adverse effects of excessive supplementation. The results revealed that moderate β-glucan supplementation (1) significantly enhanced the weight gain rate and specific growth rate (SGR); (2) significantly improved the intestinal villus length (0.10%), muscle thickness (0.05–0.15%), and α-amylase and chymotrypsin activities (0.05–0.15%); (3) significantly increased liver catalase (CAT), glutathione reductase (GR), alkaline phosphatase, complement 3, immunoglobulin M (IgM), lysozyme, serum superoxide dismutase, CAT, glutathione peroxidase, GR, total antioxidant capacity, acid phosphatase, complement 4, and IgM activities and significantly reduced malondialdehyde contents; (4) upregulated genes in the liver associated with copper-zinc superoxide dismutase (SOD-1), manganese superoxide dismutase (SOD-2), CAT, GSH-Px1a, ACP6, AKP, LZ-c, IgM, C3, and C4-b. However, 0.20% β-glucan significantly inhibited the growth performance of coral trout compared with 0.10% β-glucan. Thus, 0.10% β-glucan represents the optimal dosage for promoting growth, antioxidant activity, and immune responses in coral trout, while higher β-glucan levels weakened these beneficial effects. With an SGR established by a cubic regression analysis, the optimal level of β-glucan for maximal growth of coral trout is 0.082%. This study provides new insights into the health impacts of β-glucan on fish. Full article
(This article belongs to the Section Nutrition and Feeding)
Show Figures

Figure 1

15 pages, 7752 KB  
Article
Sws2 Gene Positively Regulates Melanin Production in Plectropomus leopardus Skin via Direct Regulation of the Synthesis of Retinoic Acid
by Haoran Yu, Huapeng Chen, Xinxin Wang, Yichun Zhang, Yafang Tan, Lei Wang, Junlong Sun, Jian Luo and Feibiao Song
Int. J. Mol. Sci. 2024, 25(14), 7513; https://doi.org/10.3390/ijms25147513 - 9 Jul 2024
Cited by 3 | Viewed by 1856
Abstract
Opsins are a class of transmembrane proteins encoded by opsin genes, and they play a variety of functional roles. Short wavelength-sensitive opsin 2 (sws2), one of the five classes of visual opsin genes, mainly senses blue light. Previous research has indicated [...] Read more.
Opsins are a class of transmembrane proteins encoded by opsin genes, and they play a variety of functional roles. Short wavelength-sensitive opsin 2 (sws2), one of the five classes of visual opsin genes, mainly senses blue light. Previous research has indicated that sws2 is essential for melanocyte formation in fish; however, its specific role in skin color differentiation remains to be elucidated. Here, we identified the sws2 gene in a prized reef-dwelling fish, Plectropomus leopardus. The full-length P. leopardus sws2 gene encodes a protein consisting of 351 amino acids, and exhibits substantial homology with other fish species. The expression of the sws2 gene was widespread across P. leopardus tissues, with high expression in eye and skin tissues. Through immunohistochemistry and in situ hybridization analyses, we discovered that the sws2 gene was primarily localized in the rod and cone cells of the retina, and epidermal cells of the skin. Furthermore, dsRNA interference was used for sws2 gene knockdown in living P. leopardus to elucidate its function in skin color differentiation. Black-color-related genes, melanin contents, and tyrosinase activity in the skin significantly decreased after sws2 knockdown (p < 0.05), but red-color-related genes and carotenoid and lutein contents significantly increased (p < 0.05). Retinoic acid injection produced the opposite results. Our results suggested that the sws2 gene influences P. leopardus skin color regulation by affecting vitamin synthesis and melanin-related gene expression levels. This study establishes a foundation for elucidating the molecular mechanisms by which sws2 regulates melanocyte formation in fish skin. Full article
(This article belongs to the Section Molecular Biology)
Show Figures

Figure 1

17 pages, 5196 KB  
Article
Theoretical Analysis and Expression Profiling of 17β-Hydroxysteroid Dehydrogenase Genes in Gonadal Development and Steroidogenesis of Leopard Coral Grouper (Plectropomus leopardus)
by Mingjian Liu, Hui Ding, Chaofan Jin, Mingyi Wang, Peiyu Li, Zhenmin Bao, Bo Wang and Jingjie Hu
Int. J. Mol. Sci. 2024, 25(4), 2180; https://doi.org/10.3390/ijms25042180 - 11 Feb 2024
Cited by 7 | Viewed by 2878
Abstract
The differentiation and developmental trajectory of fish gonads, significantly important for fish breeding, culture, and production, has long been a focal point in the fields of fish genetics and developmental biology. However, the mechanism of gonadal differentiation in leopard coral grouper (Plectropomus [...] Read more.
The differentiation and developmental trajectory of fish gonads, significantly important for fish breeding, culture, and production, has long been a focal point in the fields of fish genetics and developmental biology. However, the mechanism of gonadal differentiation in leopard coral grouper (Plectropomus leopardus) remains unclear. This study investigates the 17β-Hydroxysteroid Dehydrogenase (Hsd17b) gene family in P. leopardus, with a focus on gene characterization, expression profiling, and functional analysis. The results reveal that the P. leopardus’s Hsd17b gene family comprises 11 members, all belonging to the SDR superfamily. The amino acid similarity is only 12.96%, but conserved motifs, such as TGxxxGxG and S-Y-K, are present in these genes. Hsd17b12a and Hsd17b12b are unique homologs in fish, and chromosomal localization has confirmed that they are not derived from different transcripts of the same gene, but rather are two independent genes. The Hsd17b family genes, predominantly expressed in the liver, heart, gills, kidneys, and gonads, are involved in synthesizing or metabolizing sex steroid hormones and neurotransmitters, with their expression patterns during gonadal development categorized into three distinct categories. Notably, Hsd17b4 and Hsd17b12a were highly expressed in the testis and ovary, respectively, suggesting their involvement in the development of reproductive cells in these organs. Fluorescence in situ hybridization (FISH) further indicated specific expression sites for these genes, with Hsd17b4 primarily expressed in germ stem cells and Hsd17b12a in oocytes. This comprehensive study provides foundational insights into the role of the Hsd17b gene family in gonadal development and steroidogenesis in P. leopardus, contributing to the broader understanding of fish reproductive biology and aquaculture breeding. Full article
(This article belongs to the Special Issue Fish Genomics and Developmental Biology)
Show Figures

Figure 1

31 pages, 8355 KB  
Article
Untangling the Complexity of Small-Scale Fisheries: Building an Understanding of Grouper-Snapper Fisheries Dynamics in Saleh Bay, West Nusa Tenggara, Indonesia
by Yudi Herdiana, Budy Wiryawan, Sugeng Hari Wisudo, James Richard Tweedley, Irfan Yulianto, Heidi Retnoningtyas and Neil Randell Loneragan
Fishes 2024, 9(1), 2; https://doi.org/10.3390/fishes9010002 - 19 Dec 2023
Cited by 7 | Viewed by 3541
Abstract
Small-scale tropical fisheries are complex systems that utilize multiple fishing gears to target various species. In this study, we investigated small-scale reef and demersal fisheries in Saleh Bay, Indonesia, using catch and effort data from 2016 to 2019, where 57.7 percent of the [...] Read more.
Small-scale tropical fisheries are complex systems that utilize multiple fishing gears to target various species. In this study, we investigated small-scale reef and demersal fisheries in Saleh Bay, Indonesia, using catch and effort data from 2016 to 2019, where 57.7 percent of the catch was grouper (serranids) and snapper (lutjanids). Despite the complexity (75 documented species and eight fishing methods), this fishery is characterized by the catches of four dominant species: leopard coral grouper (Plectropomus leopardus), orange-spotted-grouper (Epinephelus coioides), spotted coral grouper (P. maculatus), and malabar blood snapper (Lutjanus malabaricus). The species caught varied among fishing methods. Over 90% of the catch was attributed to three primary fishing methods: bottom longline, speargun, and handline. Multivariate analyses found that fishing depth, season, and/or year significantly influenced the catch composition for each of these fishing methods. Fishing activities exhibit a temporal pattern influenced by monsoonal seasons. Results also suggest that fishers employ specialized fishing tactics by targeting high-value species to maximize their profits. This study recommends a management strategy of focusing on monitoring and managing the three main fishing gears and four important species during their peak seasons to reduce some of the complexity and management costs. Full article
Show Figures

Figure 1

17 pages, 6063 KB  
Review
Detection of Arsenic, Chromium, Cadmium, Lead, and Mercury in Fish: Effects on the Sustainable and Healthy Development of Aquatic Life and Human Consumers
by Athanasia K. Tolkou, Dimitra K. Toubanaki and George Z. Kyzas
Sustainability 2023, 15(23), 16242; https://doi.org/10.3390/su152316242 - 23 Nov 2023
Cited by 30 | Viewed by 9956
Abstract
Heavy metals are among the most important pollutants that threaten the aquatic environment when their concentrations exceed certain limits. Some of these metals and metalloids are beneficial and necessary for fish, but others, such as arsenic (As), chromium (Cr), cadmium (Cd), lead (Pb) [...] Read more.
Heavy metals are among the most important pollutants that threaten the aquatic environment when their concentrations exceed certain limits. Some of these metals and metalloids are beneficial and necessary for fish, but others, such as arsenic (As), chromium (Cr), cadmium (Cd), lead (Pb) and mercury (Hg), are non-essential and toxic. In reviewing the recent relevant literature, 4 different continents, 13 different countries, and more than 50 different fish species were analyzed in terms of As, Cr, Cd, Pb and Hg concentrations. According to the comparative results, it was found that in Tercan Dam Lake, Turkey, the highest concentration of Cr was detected in Capoeta umbla (2.455 mg/kg), and of As in Ctenopharyngodon idella (0.774 mg/kg) species. Greater values than the permissible limits of FAO/WHO in terms of As were also found in Andalusia, Southern Spain, in Mullus surmuletus (0.427 mg/kg), and Sardina pilchardus (0.561 mg/kg) and in Sprattus sprattus (0.636 mg/kg) in the Baltic Sea, but a remarkably high content of As (8.48 mg/kg) was determined in Penaeus notialis, found in Guinea, Africa. Moreover, Cd concentration was low to nil in almost all cases, with the exception of Amblyceps mangois species collected from the Dhaleshwari River in Bangladesh, which showed the highest value (0.063 mg/kg). Finally, extremely high levels of Pb were found in Plectropomus pessuliferus (5.05 mg/kg) and Epinephelus summana (2.80 mg/kg) in Jeddah, Saudi Arabia. The Hg content in fish was under the permissible limit in almost all cases, with megrim and red mullet from the Andalusian Sea exhibiting a relatively higher content (0.091 and 0.067 mg/kg). In general, the sequence of accumulation of toxic elements in fish was As > Cr > Pb > Cd > Hg. Full article
Show Figures

Figure 1

26 pages, 5166 KB  
Article
Application of the Method Evaluation and Risk Assessment Tool for a Small-Scale Grouper Fishery in Indonesia
by Yudi Herdiana, Budy Wiryawan, Sugeng H. Wisudo, James R. Tweedley, Irfan Yulianto, Mohamad Natsir, Siska Agustina, Adrian Hordyk and Neil R. Loneragan
Fishes 2023, 8(10), 498; https://doi.org/10.3390/fishes8100498 - 5 Oct 2023
Cited by 2 | Viewed by 3527
Abstract
Management strategy evaluation using the Method Evaluation and Risk Assessment (MERA) platform was used to evaluate management procedures (MPs) for improving the management of the leopard coral grouper (Plectropomus leopardus) fishery in Saleh Bay, Indonesia. This grouper is a valuable species [...] Read more.
Management strategy evaluation using the Method Evaluation and Risk Assessment (MERA) platform was used to evaluate management procedures (MPs) for improving the management of the leopard coral grouper (Plectropomus leopardus) fishery in Saleh Bay, Indonesia. This grouper is a valuable species currently under high fishing pressure. It is targeted by small-scale fisheries using a wide range of fishing methods; hence, management recommendations are needed to ensure sustainability. A suite of MPs for data-limited conditions were evaluated for their ability to achieve limit and target biomass reference points (B/BMSY = 0.5 and B/BMSY = 1, respectively), while maintaining a target yield of at least 0.5 MSY. The simulation results suggest that the currently implemented harvest control rules (HCRs) in Saleh Bay (size limit and spatial closure) may not be effective in achieving the management objective to attain the target biomass reference point due to relatively low compliance with the size limit regulation (320 mm total length) and the very small proportion of existing MPA no-take areas (~2.2%). This study recommends that the fisheries management authority explores the feasibility of implementing the total allowable catch (TAC) and seasonal closure in addition to the existing fishing regulations for P. leopardus in Saleh Bay. Full article
(This article belongs to the Special Issue Diagnosis and Management of Small-Scale and Data-Limited Fisheries)
Show Figures

Figure 1

12 pages, 3079 KB  
Article
Variation in the Physiological Condition of Common Coral Trout (Plectropomus leopardus) Unrelated to Coral Cover on the Great Barrier Reef, Australia
by Morgan S. Pratchett, Ciemon F. Caballes, Jean-Paul A. Hobbs, Joseph D. DiBattista, Brock Bergseth, Peter Waldie, Curtis Champion, Samuel P. Mc Cormack and Andrew S. Hoey
Fishes 2023, 8(10), 497; https://doi.org/10.3390/fishes8100497 - 5 Oct 2023
Cited by 1 | Viewed by 2992
Abstract
There are a wide variety of fishes that occur exclusively on coral reefs, though it is unclear to what extent these species (especially larger-bodied fisheries target species) are reliant on the specific reef habitat provided by corals. This study explored variation in the [...] Read more.
There are a wide variety of fishes that occur exclusively on coral reefs, though it is unclear to what extent these species (especially larger-bodied fisheries target species) are reliant on the specific reef habitat provided by corals. This study explored variation in the physiological condition of common coral trout (Plecropomus leopardus) on Australia’s Great Barrier Reef, explicitly testing whether fish condition varied with local coral cover in the aftermath of severe mass bleaching and coral loss. Both the physiological condition (specifically, the length–weight relationships, hepatocyte vacuolation, and electrical phase angle) of P. leopardus and the live cover of habitat-forming corals varied greatly among the sites considered in this study, but there was little correspondence between these factors. Fish condition was largely influenced by fish size and varied with latitude. While there was no apparent effect of recent coral bleaching and coral loss on the physiological condition of P. leopardus, this does not mean that these key fisheries species will be unaffected by further changes to the environmental conditions and reef habitat. It is important, therefore, that fisheries managers remain vigilant to apparent effects of climate change and other anthropogenic pressures on fisheries stocks. Full article
Show Figures

Figure 1

14 pages, 10943 KB  
Article
Effects of Water Velocity on Growth, Physiology and Intestinal Structure of Coral Trout (Plectropomus leopardus)
by Zhenjia Qian, Jincheng Xu, Andong Liu, Jianjun Shan, Chenglin Zhang and Huang Liu
J. Mar. Sci. Eng. 2023, 11(4), 862; https://doi.org/10.3390/jmse11040862 - 19 Apr 2023
Cited by 6 | Viewed by 2953
Abstract
This study aimed to investigate the effects of different water velocities on the growth performance, blood physiology, and digestive capacity of coral trout (Plectropomus leopardus) in a Recirculating aquaculture system (RAS). One hundred and twenty healthy, uniformly sized coral trout (body [...] Read more.
This study aimed to investigate the effects of different water velocities on the growth performance, blood physiology, and digestive capacity of coral trout (Plectropomus leopardus) in a Recirculating aquaculture system (RAS). One hundred and twenty healthy, uniformly sized coral trout (body mass (92.01 ± 8.04) g; body length (15.40 ± 0.65) cm) were randomly assigned to three flow velocity groups (1 bl/s, 2 bl/s, and 2.5 bl/s) and one control group (0 bl/s). The results show that the weight gain rate (WGR) and specific growth rate (SGR) of coral trout in the 2.5 bl/s water flow velocity group were significantly lower than those in the control group and 1 bl/s water flow velocity group (p < 0.05), while their feed coefficient (FC) values were significantly higher than those of the control group and 1 bl/s water flow velocity group (p < 0.05). The blood glucose (GLU) concentration of coral trout in the 2 bl/s water flow velocity group and the 2.5 bl/s water flow velocity group significantly decreased compared to those in the control group (p < 0.05), while the lactic acid (LD) concentration increased. As the cortisol (COR) concentration and lipase (LPS) enzyme activity of coral trout did not significantly change (p > 0.05), the α- AMS enzyme activity significantly decreased (p < 0.05). Under 2.5 bl/s water flow velocity, the intestinal structure of coral trout changed, and the number of goblet cells decreased. High-water flow velocities affect the physiological homeostasis and intestinal digestion of coral trout, resulting in a decrease in their growth performance, indicating that coral trout is more sensitive to high-water flow velocities. In actual RAS aquaculture, the flow rate should be controlled within 1 bl/s. Full article
(This article belongs to the Special Issue New Techniques in Marine Aquaculture)
Show Figures

Figure 1

20 pages, 2370 KB  
Article
Effects of Natural and Synthetic Astaxanthin on Growth, Body Color, and Transcriptome and Metabolome Profiles in the Leopard Coralgrouper (Plectropomus leopardus)
by Junpeng Zhang, Changxu Tian, Kecheng Zhu, Yong Liu, Can Zhao, Mouyan Jiang, Chunhua Zhu and Guangli Li
Animals 2023, 13(7), 1252; https://doi.org/10.3390/ani13071252 - 4 Apr 2023
Cited by 24 | Viewed by 5587
Abstract
Natural and synthetic astaxanthin can promote pigmentation in fish. In this study, the effects of dietary astaxanthin on growth and pigmentation were evaluated in leopard coralgrouper (Plectropomus leopardus). Fish were assigned to three groups: 0% astaxanthin (C), 0.02% natural astaxanthin (HP), [...] Read more.
Natural and synthetic astaxanthin can promote pigmentation in fish. In this study, the effects of dietary astaxanthin on growth and pigmentation were evaluated in leopard coralgrouper (Plectropomus leopardus). Fish were assigned to three groups: 0% astaxanthin (C), 0.02% natural astaxanthin (HP), and 0.02% synthetic astaxanthin (AS). Brightness (L*) was not influenced by astaxanthin. However, redness (a*) and yellowness (b*) were significantly higher for fish fed astaxanthin-containing diets than fish fed control diets and were significantly higher in the HP group than in the AS group. In a transcriptome analysis, 466, 33, and 32 differentially expressed genes (DEGs) were identified between C and HP, C and AS, and AS and HP, including various pigmentation-related genes. DEGs were enriched for carotenoid deposition and other pathways related to skin color. A metabolome analysis revealed 377, 249, and 179 differential metabolites (DMs) between C and HP, C and AS, and AS and HP, respectively. In conclusion, natural astaxanthin has a better coloration effect on P. leopardus, which is more suitable as a red colorant in aquaculture. These results improve our understanding of the effects of natural and synthetic astaxanthin on red color formation in fish. Full article
(This article belongs to the Section Animal Genetics and Genomics)
Show Figures

Figure 1

20 pages, 1295 KB  
Article
Model of the Origin of a Ciguatoxic Grouper (Plectropomus leopardus)
by Michael J. Holmes and Richard J. Lewis
Toxins 2023, 15(3), 230; https://doi.org/10.3390/toxins15030230 - 21 Mar 2023
Cited by 8 | Viewed by 2749
Abstract
Published data were used to model the transfer of ciguatoxins (CTX) across three trophic levels of a marine food chain on the Great Barrier Reef (GBR), Australia, to produce a mildly toxic common coral trout (Plectropomus leopardus), one of the most [...] Read more.
Published data were used to model the transfer of ciguatoxins (CTX) across three trophic levels of a marine food chain on the Great Barrier Reef (GBR), Australia, to produce a mildly toxic common coral trout (Plectropomus leopardus), one of the most targeted food fishes on the GBR. Our model generated a 1.6 kg grouper with a flesh concentration of 0.1 µg/kg of Pacific-ciguatoxin-1 (P-CTX-1 = CTX1B) from 1.1 to 4.3 µg of P-CTX-1 equivalents (eq.) entering the food chain from 0.7 to 2.7 million benthic dinoflagellates (Gambierdiscus sp.) producing 1.6 pg/cell of the P-CTX-1 precursor, P-CTX-4B (CTX4B). We simulated the food chain transfer of ciguatoxins via surgeonfishes by modelling Ctenochaetus striatus feeding on turf algae. A C. striatus feeding on ≥1000 Gambierdiscus/cm2 of turf algae accumulates sufficient toxin in <2 days that when preyed on, produces a 1.6 kg common coral trout with a flesh concentration of 0.1 µg/kg P-CTX-1. Our model shows that even transient blooms of highly ciguatoxic Gambierdiscus can generate ciguateric fishes. In contrast, sparse cell densities of ≤10 Gambierdiscus/cm2 are unlikely to pose a significant risk, at least in areas where the P-CTX-1 family of ciguatoxins predominate. The ciguatera risk from intermediate Gambierdiscus densities (~100 cells/cm2) is more difficult to assess, as it requires feeding times for surgeonfish (~4–14 days) that overlap with turnover rates of turf algae that are grazed by herbivorous fishes, at least in regions such as the GBR, where stocks of herbivorous fishes are not impacted by fishing. We use our model to explore how the duration of ciguatoxic Gambierdiscus blooms, the type of ciguatoxins they produce, and fish feeding behaviours can produce differences in relative toxicities between trophic levels. Our simple model indicates thresholds for the design of risk and mitigation strategies for ciguatera and the variables that can be manipulated to explore alternate scenarios for the accumulation and transfer of P-CTX-1 analogues through marine food chains and, potentially, for other ciguatoxins in other regions, as more data become available. Full article
(This article belongs to the Special Issue Ciguatoxins 2022–2023)
Show Figures

Figure 1

Back to TopTop