Sign in to use this feature.

Years

Between: -

Subjects

remove_circle_outline
remove_circle_outline
remove_circle_outline
remove_circle_outline
remove_circle_outline
remove_circle_outline
remove_circle_outline
remove_circle_outline

Journals

Article Types

Countries / Regions

Search Results (14)

Search Parameters:
Keywords = Plant-O-Meter

Order results
Result details
Results per page
Select all
Export citation of selected articles as:
10 pages, 959 KB  
Article
An Experimental Study of the Emission Characteristics and Soot Emission of Fatty Acid Methyl Esters (FAME) in an Industrial Burner
by István Péter Kondor and Krisztián Kun
Fuels 2024, 5(4), 650-659; https://doi.org/10.3390/fuels5040035 - 17 Oct 2024
Viewed by 2291
Abstract
The aim of this research is to investigate the environmental emission effects and combustion properties of burning different types of FAME biodiesel fuels in an industrial oil burner. These burner heads are used in many areas of industry for heating various boilers and [...] Read more.
The aim of this research is to investigate the environmental emission effects and combustion properties of burning different types of FAME biodiesel fuels in an industrial oil burner. These burner heads are used in many areas of industry for heating various boilers and tube furnaces. The fuels used, the area of use, the emission norm values, and the climatic conditions are key factors in this investigation. In this research, two plant-based oils are examined, the properties of which have been compared to standard commercial heating oil. The raw material of the two tested bio-based components was rapeseed. The main gas emission parameters CO, THC, CO2, O2, HC, water content, and consumption data were measured. The measurements were performed in an AVL engine brake platform infrastructure, where gas emissions were measured with an AVL AMA i60 FTIR emission gas analyzer, fuel consumption was meticulously gauged using a fuel flow meter, fuel temperature was monitored using an AVL 745 fuel temperature conditioning system, and air consumption was measured with an AVL Flowsonix intake air flow meter. The measurement results showed that both tested biofuels can be burned stably in industrial oil burners, have favorable properties in terms of ignition and flame extinction tendencies, and there is no significant difference in emission parameters compared to standard fuel oil. Full article
Show Figures

Figure 1

16 pages, 3855 KB  
Article
Influence of Hydrogel and Zinc Oxide Nanoparticles on the Germination and Establishment of Chenopodium quinoa
by José Luis Soto-Gonzales, José Vulfrano González-Fernández, Diego David Pinzón-Moreno, Eder Clidio Vicuña-Galindo and María Verónica Carranza-Oropeza
Life 2024, 14(9), 1163; https://doi.org/10.3390/life14091163 - 13 Sep 2024
Cited by 2 | Viewed by 1789
Abstract
The aim of this study was to assess the influence of hydrogel and zinc oxide nanoparticles on quinoa germination and establishment. Various doses of a commercial potassium-based hydrogel (0, 5, 7, and 9 g), each dissolved in one liter of rainwater, were applied. [...] Read more.
The aim of this study was to assess the influence of hydrogel and zinc oxide nanoparticles on quinoa germination and establishment. Various doses of a commercial potassium-based hydrogel (0, 5, 7, and 9 g), each dissolved in one liter of rainwater, were applied. Additionally, 1.5 g of zinc oxide nanoparticles (ZnO-NP) and pre-crushed nitrogen fertilizer, at a rate of 1.6 kg/ha, were added to the solution to achieve a homogeneous mixture. Following the application of hydrogel in the 10-linear-meter rows corresponding to each treatment area in every block, 25 seeds per linear meter of the “Blanca de Juli” quinoa cultivar were sown with a 4 cm spacing between the seeds. Subsequently, a thin layer of soil, approximately 0.5 cm thick, was used to cover the seeds. Ten seedlings were randomly selected and labeled for subsequent evaluations. The experimental design employed in this research was a completely randomized block design. The collected data underwent an analysis of variance, and the means of all the treatments were compared using Tukey’s test with a 5% probability. Height and diameter evaluations of the plant neck were conducted every 45 days. The doses used in this study (5, 7, and 9 g of hydrogel per liter of water) significantly enhanced seed germination and increased the number of plants per linear meter (from 82.00 to 90.33) compared to the control dose without hydrogel (14.66), which resulted in an average of one plant per linear meter. Full article
(This article belongs to the Section Plant Science)
Show Figures

Figure 1

16 pages, 1842 KB  
Article
Effects of Rodent Isolation on Plant Community Structure and Greenhouse Gas Emission in the Alpine Grassland of the Qinghai–Tibet Plateau
by Hongbao Wu, Ya Chen, Hasbagan Ganjurjav and Jianrong Zhao
Sustainability 2024, 16(12), 4943; https://doi.org/10.3390/su16124943 - 9 Jun 2024
Cited by 3 | Viewed by 1727
Abstract
As one of the dominant species of the alpine grassland on the Qinghai–Tibet Plateau, the activities (e.g., gnawing, burrowing, and grass storage) of plateau pikas (Ochotona curzoniae) directly alter the plant community structure of the grassland ecosystem and affect livestock production [...] Read more.
As one of the dominant species of the alpine grassland on the Qinghai–Tibet Plateau, the activities (e.g., gnawing, burrowing, and grass storage) of plateau pikas (Ochotona curzoniae) directly alter the plant community structure of the grassland ecosystem and affect livestock production and greenhouse gas emission. In order to investigate the effects of rodent isolation (RI) on plant community structure and greenhouse gas emission in the alpine grassland of the Qinghai–Tibet Plateau, we established plots of rodent isolation and rodent activity (i.e., the control sample (CK)) in the 14th village, Seni District, Nagqu City in May 2018. From July 2019 to September, the numbers, sizes, and total damaged area of effective holes; the height, coverage, and aboveground plant biomass; and the methane (CH4) and nitrous oxide (N2O) emissions of the alpine grassland were monitored by the quadrat survey method and static closed-chamber method. The results show that the invasion and tunneling of Ochotona curzoniae resulted in the destruction of alpine grassland measuring 0.064 m2 per square meter, while the rodent isolation plots showed that 97.9% of the alpine grassland remained unaltered; such unaffected land implies that the economic income of herdsmen could increase by 140 CNY hm−2. The rodent isolation plots also show that the height and proportion of grasses and sedges in the alpine grassland increased, while the proportion of poisonous weeds decreased. Moreover, the rodent isolation plots also showed a significantly increased coverage of aboveground biomass (p < 0.05), although species richness showed no significant effect based on the Shannon–Weiner, Simpson, and Pielou indices (p > 0.05). The soil uptake of CH4 and N2O was 204.99 ± 50.23 μg m−2 h−1 and 4.48 ± 1.02 μg m−2 h−1 in the rodent isolation plots, significantly higher by 465.75% and 3001.4% relative to the rodent activity plots, respectively (p < 0.05). Therefore, the establishment of rodent isolation areas can effectively alleviate the degree of damage to alpine grasslands in the short run and slow down the greenhouse gas emission rate to some extent. However, excessive rodent control may also have negative effects on grassland ecosystems, so more attention should be paid in future studies to determining the disturbance threshold of plateau pika in this area. These results provide theoretical guidance for rodent control, grassland protection, and ecological environment management on the Qinghai–Tibet Plateau. Full article
Show Figures

Figure 1

21 pages, 3576 KB  
Article
A Polysaccharide-Based Integrated Nutrient Management System Enhances the Antioxidant Properties in Origanum dictamnus (Lamiaceae), a Valuable Local Endemic Plant of Crete
by Konstantinos Paschalidis, Dimitrios Fanourakis, Georgios Tsaniklidis, Vasileios A. Tzanakakis, Ioanna Kardamaki, Fotis Bilias, Eftihia Samara, Ioannis Ipsilantis, Katerina Grigoriadou, Theodora Matsi, Georgios Tsoktouridis and Nikos Krigas
Polysaccharides 2024, 5(1), 28-48; https://doi.org/10.3390/polysaccharides5010003 - 26 Feb 2024
Cited by 1 | Viewed by 2889
Abstract
Origanum dictamnus L. (Lamiaceae), a local endemic plant of Crete (Greece), creates polysaccharide-containing subcuticular compartments presenting biological activity against phytopathogenic fungi, and, among others, significantly affects the fungal cell wall polysaccharides. This field study introduces a fertilization scheme for O. dictamnus, which [...] Read more.
Origanum dictamnus L. (Lamiaceae), a local endemic plant of Crete (Greece), creates polysaccharide-containing subcuticular compartments presenting biological activity against phytopathogenic fungi, and, among others, significantly affects the fungal cell wall polysaccharides. This field study introduces a fertilization scheme for O. dictamnus, which was developed and refined to optimize the yield as well as critical herbal quality aspects. Five fertilization schemes were investigated, based on a polysaccharide-based Integrated Nutrient Management (INM), a mixture of conventional inorganic fertilizers (ChF) and two biostimulants (not algae) via foliar and soil application. Plant growth, together with leaf chlorophyll fluorescence and color (SPAD meter, DA meter, Chroma Meter) were determined. The leaf content of chlorophyll, three critical antioxidant compounds (carotenoids, flavonoids, phenols) and nutrients were also assessed. Considering all three antioxidants together, the enhanced efficiency, non-toxic, water-soluble, polysaccharide-based INM by foliar application was the most stimulatory scheme, playing an important role in plant growth and development. The present field study provides, for the first time, baseline fertilization data improving key herbal quality features in O. dictamnus and unravels the attainment of high antioxidant properties. The latter may be exploited in favor of its further utilization as a raw material for tea preparation, medicinal purposes, natural food flavoring and/or food preservative. Full article
Show Figures

Figure 1

15 pages, 3165 KB  
Article
Indoor Plant Soil-Plant Analysis Development (SPAD) Prediction Based on Multispectral Indices and Soil Electroconductivity: A Deep Learning Approach
by Dorijan Radočaj, Irena Rapčan and Mladen Jurišić
Horticulturae 2023, 9(12), 1290; https://doi.org/10.3390/horticulturae9121290 - 30 Nov 2023
Cited by 5 | Viewed by 4054
Abstract
Leaf Soil-Plant Analysis Development (SPAD) prediction is a crucial measure of plant health and is essential for optimizing indoor plant management. The deep learning methods offer advanced tools for precise evaluations but their adaptation to the heterogeneous indoor plant ecosystem presents distinct challenges. [...] Read more.
Leaf Soil-Plant Analysis Development (SPAD) prediction is a crucial measure of plant health and is essential for optimizing indoor plant management. The deep learning methods offer advanced tools for precise evaluations but their adaptation to the heterogeneous indoor plant ecosystem presents distinct challenges. This study assesses how accurately deep neural network (DNN) predicts SPAD values in leaves on indoor plants when compared to well-established machine learning techniques, including Random Forest (RF) and Extreme Gradient Boosting (XGB). The covariates for prediction were based on low-cost multispectral and soil electro-conductivity (EC) sensors, enabling a non-destructive sensing approach. The study also strongly emphasized multicollinearity analysis quantified by the Variance Inflation Factor (VIF) and two independent indices, as well as its effect on prediction accuracy using deep and machine learning methods. DNN resulted in higher accuracy to RF and XGB, also performing better using filtered data after multicollinearity analysis based on the coefficient of determination (R2), root mean square error (RMSE) and mean absolute error (MAE) (R2 = 0.589, RMSE = 11.68, MAE = 9.52) in comparison to using all input covariates (R2 = 0.476, RMSE = 12.90, MAE = 10.94). Overall, DNN was proven as a more accurate prediction method than the conventional machine learning approach for the prediction of leaf SPAD values in indoor plants, despite using heterogenous plant types and input covariates. Full article
(This article belongs to the Special Issue Smart Horticulture: Latest Advances and Prospects)
Show Figures

Figure 1

15 pages, 1291 KB  
Article
Impact of Initial Population Density of the Dubas Bug, Ommatissus lybicus (Hemiptera: Tropiduchidae), on Oviposition Behaviour, Chlorophyll, Biomass and Nutritional Response of Date Palm (Phoenix dactylifera)
by Nasser Al-Abri, Suad Al-Raqami, Maryam Al-Hashemi, Rashid Al-Shidi, Salim Al-Khatri and Rumiana V. Ray
Insects 2023, 14(1), 12; https://doi.org/10.3390/insects14010012 - 22 Dec 2022
Cited by 1 | Viewed by 2937
Abstract
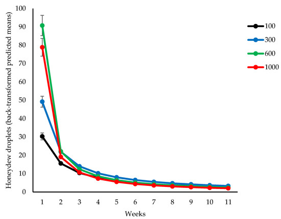
The Dubas bug (Ommatissus lybicus) is an economically significant pest of date palms. In this study, the effect of the population density of O. lybicus on chlorophyll, measured by the soil plant analysis development (SPAD) chlorophyll meter, palm biomass, and the [...] Read more.
The Dubas bug (Ommatissus lybicus) is an economically significant pest of date palms. In this study, the effect of the population density of O. lybicus on chlorophyll, measured by the soil plant analysis development (SPAD) chlorophyll meter, palm biomass, and the nutritional composition of date palms, were investigated. A further objective was to determine significant relationships between the population density of O. lybicus, the number of honeydew droplets, and oviposited eggs. Reductions of up to 8–11% and 29–34% in chlorophyll content and plant biomass, respectively, were caused by infestations exceeding 300 nymphs per palm seedling. Increasing the population density of O. lybicus to 600 insects per palm decreased oviposition by females, suggesting intraspecific competition for resources. There was a significant relationship between honeydew droplets produced by the pest population and chlorophyll content in the rachis, suggesting that treatment can be triggered at 3–6 nymphs/leaflet. Egg oviposition was preferentially on the rachis. Ca, Mg, K, and P were the main nutrients affected by the activity of the pest. Mg content was associated with reduced chlorophyll content under increasing pest density, suggesting that supplemental nutrition can be potentially utilized to sustain chlorophyll and increase palm tolerance to pest infestation. Full article
(This article belongs to the Section Insect Pest and Vector Management)
Show Figures

Figure 1

23 pages, 9149 KB  
Article
The Handsome Cross Grasshopper Oedaleus decorus (Germar, 1825) (Orthoptera: Acrididae) as a Neglected Pest in the South-Eastern Part of West Siberian Plain
by Kristina V. Popova, Natalya S. Baturina, Vladimir V. Molodtsov, Oxana V. Yefremova, Vasily D. Zharkov and Michael G. Sergeev
Insects 2022, 13(1), 49; https://doi.org/10.3390/insects13010049 - 1 Jan 2022
Cited by 14 | Viewed by 4152
Abstract
Oedaleus decorus is a widely distributed acridid over the Eurasian semi-arid territories, from the Atlantic coast to the Pacific coast. In many semi-arid territories, O. decorus was and is the most important pest, but in the south-eastern part of West Siberian Plain, it [...] Read more.
Oedaleus decorus is a widely distributed acridid over the Eurasian semi-arid territories, from the Atlantic coast to the Pacific coast. In many semi-arid territories, O. decorus was and is the most important pest, but in the south-eastern part of West Siberian Plain, it was not considered a pest until the 1960s. We compared two sets of data on the acridid distribution in the region: before 1960 and from 1961 until 2021. Until the 1960s, the species occurred mainly in the southern steppes. Since the 1960s, its distribution changed significantly. Nowadays, it occupies almost all local steppes and the southern part of the forest-steppes and can be also found on the eastern side of the Ob River. These shifts may be explained by both climatic changes and changes in human activities. During upsurges the densities of O. decorus were often more than one to two adults per square meter. It is often abundant in the same habitats and in the same periods as the Italian locust (Calliptamus italicus)—one of the most important acridid pests. This means during joint outbreaks these two species can simultaneously damage almost all spectrum of plants. Full article
Show Figures

Figure 1

17 pages, 3269 KB  
Article
Pilot Cultivation of the Local Endemic Cretan Marjoram Origanum microphyllum (Benth.) Vogel (Lamiaceae): Effect of Fertilizers on Growth and Herbal Quality Features
by Dimitrios Fanourakis, Konstantinos Paschalidis, Georgios Tsaniklidis, Vasileios A. Tzanakakis, Fotis Bilias, Eftihia Samara, Eleftheria Liapaki, Manal Jouini, Ioannis Ipsilantis, Eleni Maloupa, Georgios Tsoktouridis, Theodora Matsi and Nikos Krigas
Agronomy 2022, 12(1), 94; https://doi.org/10.3390/agronomy12010094 - 30 Dec 2021
Cited by 17 | Viewed by 3175
Abstract
Wild phytogenetic resources are threatened by overexploitation. This pressure on species and natural ecosystems can be alleviated in part by recruiting and domesticating wild-growing species under pilot cultivation with tailor-made fertilization schemes. This study focused on the pilot cultivation of Origanum microphyllum—a [...] Read more.
Wild phytogenetic resources are threatened by overexploitation. This pressure on species and natural ecosystems can be alleviated in part by recruiting and domesticating wild-growing species under pilot cultivation with tailor-made fertilization schemes. This study focused on the pilot cultivation of Origanum microphyllum—a critically endangered local endemic plant of Crete, Greece—investigating the effect of conventional and integrated nutrient management (ΙΝΜ) fertilizers by foliar or root application and biostimulant. Above-ground biomass together with leaf chlorophyll fluorescence and color (SPAD meter, DA meter, Chroma Meter) were determined. Leaf chlorophyll, antioxidant compound (carotenoids, phenols, flavonoids), and nutrient contents were also assessed. The results showed that fertilization did not significantly affect plant growth and leaf nutrient content. Root fertilization was associated with greener leaves compared to foliar. The same trend was generally evident for antioxidant compound content. The small size of leaves may have impeded the efficiency of the foliar application. In conclusion, root application of conventional or INM fertilizers seems more suitable to promote visual quality and herbal antioxidant profile of O. microphyllum, than the foliar one. Full article
Show Figures

Figure 1

17 pages, 4763 KB  
Article
Accentuating the Role of Nitrogen to Phosphorus Ratio on the Growth and Yield of Wheat Crop
by Maria Mussarat, Muhammad Shair, Dost Muhammad, Ishaq Ahmad Mian, Shadman Khan, Muhammad Adnan, Shah Fahad, Eldessoky S. Dessoky, Ayman EL Sabagh, Afia Zia, Bushra Khan, Haroon Shahzad, Shazma Anwar, Haroon Ilahi, Manzoor Ahmad, Hamida Bibi, Muhammad Adnan and Farmanullah Khan
Sustainability 2021, 13(4), 2253; https://doi.org/10.3390/su13042253 - 19 Feb 2021
Cited by 26 | Viewed by 5185
Abstract
Nitrogen (N) and Phosphorus (P) deficiency is a major yield limiting factor across the globe and their proper management plays a vital role in optimizing crop yield. This field experiment was conducted to assess the impact of soil and plant nitrogen N and [...] Read more.
Nitrogen (N) and Phosphorus (P) deficiency is a major yield limiting factor across the globe and their proper management plays a vital role in optimizing crop yield. This field experiment was conducted to assess the impact of soil and plant nitrogen N and P ratio on the growth and yield of wheat (Triticum aestivum L.) in alkaline calcareous soil. The study consisted of various levels of nitrogen (0, 40, 80, and 160 kg ha−1 as urea) and phosphorus (0, 30, 60, and 90 kg P2O5 ha−1 as diammonium phosphate), and was carried out in randomized complete block design (RCBD) with factorial arrangement having three replications. The result showed that the addition of 160 kg N ha−1 significantly improved biological yield (10,052 kg ha−1), grain weight (3120 kg ha−1), chlorophyll content at tillering stage soil plant analysis development (SPAD) value (35.38), N uptake in straw (33.42 kg ha−1), and K uptake in straw (192 kg ha−1) compared to other N levels. In case of P, 90 kg P2O5 ha−1 had resulted maximum biological yield (9852 kg ha−1), grain yield (3663 kg ha−1), chlorophyll content at tillering stage (SPAD value 34.36), P (6.68 mg kg−1) and K (171 kg ha−1) uptake in straw. The sole use of N and P have positively influenced the biological and grain yield but their interaction didn’t response to biological yield. The present study reveals that SPAD value (chlorophyll meter) is the better choice for determining plant N and P concentrations to estimate the yield potential. Full article
Show Figures

Figure 1

18 pages, 2179 KB  
Article
A Standard Methodology for Evaluation of Mechanical Maize Seed Meters for Smallholder Farmers Comparing Devices from Latin America, Sub-Saharan Africa, and Asia
by Jelle Van Loon, Timothy J. Krupnik, Jesús A. López-Gómez, Jagadish Timsina and Bram Govaerts
Agronomy 2020, 10(8), 1091; https://doi.org/10.3390/agronomy10081091 - 28 Jul 2020
Cited by 14 | Viewed by 5871
Abstract
Precision planting represents an opportunity for farmers to increase income. Seeders and associated seed meters are prerequisite to achieve optimal plant density. However, to assure seed meter performance in smallholder conditions, a comprehensive procedure is lacking. This study develops a methodology for mechanical [...] Read more.
Precision planting represents an opportunity for farmers to increase income. Seeders and associated seed meters are prerequisite to achieve optimal plant density. However, to assure seed meter performance in smallholder conditions, a comprehensive procedure is lacking. This study develops a methodology for mechanical maize meter evaluation that compares diverse meters in terms of seed singulation, seed damage, and spatial distribution. An experiment assessed 10 m, representing roller types, and inclined, vertical, and horizontal plates collected from various continents and representative of commonly used devices by smallholders. A conveyer-belt setup allowed for seed distribution analysis and the influence of vibration and topography on the seed singulation was determined. Results revealed that a rotational velocity of 20 revolutions per minute (RPM) was optimum for most meters, while all complied with the norm NMX-O-168-SCFI-2009 in terms of seed damage. Independent of the singulation mechanism, devices with the ability to adjust to seed size performed better. The Fitarelli horizontal plate, followed by the BARI-9 inclined plate meter, are considered ‘best-bet’ performers. Although, considering absolute efficiency, two inclined plate devices worked at near-perfect performance with large seeds. Our study develops a low-cost methodology, easily replicated and implemented, and provides a baseline for continued research on seed meter evaluation. Full article
(This article belongs to the Section Agricultural Biosystem and Biological Engineering)
Show Figures

Figure 1

15 pages, 8940 KB  
Article
Geopolymer Technologies for Stabilization of Basic Oxygen Furnace Slags and Sustainable Application as Construction Materials
by Wei-Hao Lee, Ta-Wui Cheng, Kuan-Yu Lin, Kae-Long Lin, Chia-Cheng Wu and Chih-Ta Tsai
Sustainability 2020, 12(12), 5002; https://doi.org/10.3390/su12125002 - 18 Jun 2020
Cited by 24 | Viewed by 3905
Abstract
The basic oxygen furnace slag is a major waste by-product generated from steel-producing plants. It possesses excellent characteristics and can be used as a natural aggregate. Chemically, the basic oxygen furnace slag encloses free CaO and free MgO, which is the main reason [...] Read more.
The basic oxygen furnace slag is a major waste by-product generated from steel-producing plants. It possesses excellent characteristics and can be used as a natural aggregate. Chemically, the basic oxygen furnace slag encloses free CaO and free MgO, which is the main reason for the expansion crisis since these free oxides of alkaline earth metals react with water to form their hydroxide yields. The objective of the present research study is to stabilize the basic oxygen furnace slag by using innovative geopolymer technology, as their matrix contains a vast quantity of free silicon, which can react with free CaO and free MgO to form stable silicate compounds resulting in the prevention of the basic oxygen furnace slag expansion predicament. Lab-scale and ready-mixed plant pilot-scale experimental findings revealed that the compressive strength of fine basic oxygen furnace slag-based geopolymer mortar can achieve a compressive strength of 30–40 MPa after 28 days, and increased compressive strength, as well as the expansion, can be controlled less than 0.5% after ASTM C151 autoclave testing. Several pilot-scale cubic meters basic oxygen furnace slag-based geopolymer concrete blocks were developed in a ready-mixed plant. The compressive strength and autoclave expansion test results demonstrated that geopolymer technology does not merely stabilize the basic oxygen furnace slag production issue totally, but also turns the slags into value-added products. Full article
Show Figures

Figure 1

20 pages, 8404 KB  
Article
Design of a Real-Time Gas-Exchange Measurement System for Crop Stands in Environmental Scenarios
by Hans-Peter Kläring and Oliver Körner
Agronomy 2020, 10(5), 737; https://doi.org/10.3390/agronomy10050737 - 20 May 2020
Cited by 7 | Viewed by 4914
Abstract
In contrast to conducting measurements on single plants, canopy gas exchange monitored continuously and for large batches of plants can give high-value data for crop physiological models. To this end, a system including eight airtight greenhouse cabins with a ground area of 28.8 [...] Read more.
In contrast to conducting measurements on single plants, canopy gas exchange monitored continuously and for large batches of plants can give high-value data for crop physiological models. To this end, a system including eight airtight greenhouse cabins with a ground area of 28.8 m2 and a volume of 107.8 m3 each was designed for measuring the CO2 and H2O gas exchange of crop stands following the general principle of semi-open chambers. The measuring facility consists of a set of mass flow meters allowing air exchange rates between 0.5 h−1 and 19 h−1 (i.e., m3 gas per m3 greenhouse air per hour) and CO2 supply rates up to 4 L min−1 (i.e., ca. 14.9 g m−2 greenhouse h−1) and sensors for measuring the concentrations of CO2 and H2O. There are four separated belowground troughs per cabin for the root environment that can be operated as individual gas exchange chambers measuring the belowground gas exchange for example root zone respiration. This paper outlines a demonstration of the possibilities and constraints for measuring crop gas exchange in combination with crop model validation for larger crop stands under various conditions and discusses them along with examples. Full article
Show Figures

Figure 1

12 pages, 2415 KB  
Article
Application of Chemical Crystallization Circulating Pellet Fluidized Beds for Softening and Saving Circulating Water in Thermal Power Plants
by Ruizhu Hu, Tinglin Huang, Tianwei Wang, Huixin Wang and Xiao Long
Int. J. Environ. Res. Public Health 2019, 16(22), 4576; https://doi.org/10.3390/ijerph16224576 - 19 Nov 2019
Cited by 13 | Viewed by 3701
Abstract
The circulating pellet fluidized bed (CPFB) softening method is a highly efficient and environmentally friendly softening technology that can be used to reduce water hardness during the pretreatment process of circulating water in thermal power plants. The performance of chemical crystallization CPFB reactors [...] Read more.
The circulating pellet fluidized bed (CPFB) softening method is a highly efficient and environmentally friendly softening technology that can be used to reduce water hardness during the pretreatment process of circulating water in thermal power plants. The performance of chemical crystallization CPFB reactors was tested for increasing the concentration ratio and softening the circulating water in a thermal power plant in Dingzhou, Hebei. The results show that usage of CPFB reactors removed water hardness and Ca2+ ions with efficiencies exceeding 60% and 90%, respectively. The size of the particles discharged from the reactors was approximately 1–3 mm, and the content of CaO in these particles was found to be greater than 50%. All the discharged particles were reused in the desulfurization system in the power plant. The operational cost of the CPFB system is US$0.074 per cubic meter of water. After adopting the proposed CPFB softening method in the Dingzhou Power Plant, the concentration ratio of the circulation cooling water was increased from 4.5 to more than 9. In addition, the amount of replenished water and sewage discharge were both reduced by 150 m3/h, and the amount of scale inhibitor used in the system was reduced by more than 30%. These improvements contribute to approximately US$200,000 in annual savings in the power plant. In summary, the CPFB softening method demonstrated a high hardness removal rate, strong economic benefits, and remarkable environmental and social benefits. Therefore, this method seems ideal for softening replenished circulating cooling water, increasing the concentration ratio of the water and achieving zero liquid discharge (ZLD) in thermal power plants. Full article
Show Figures

Graphical abstract

13 pages, 5368 KB  
Article
A Rapid One-Step Process for Fabrication of Biomimetic Superhydrophobic Surfaces by Pulse Electrodeposition
by Shuzhen Jiang, Zhongning Guo, Guixian Liu, Glenn Kwabena Gyimah, Xiaoying Li and Hanshan Dong
Materials 2017, 10(11), 1229; https://doi.org/10.3390/ma10111229 - 25 Oct 2017
Cited by 14 | Viewed by 4970
Abstract
Inspired by some typical plants such as lotus leaves, superhydrophobic surfaces are commonly prepared by a combination of low surface energy materials and hierarchical micro/nano structures. In this work, superhydrophobic surfaces on copper substrates were prepared by a rapid, facile one-step pulse electrodepositing [...] Read more.
Inspired by some typical plants such as lotus leaves, superhydrophobic surfaces are commonly prepared by a combination of low surface energy materials and hierarchical micro/nano structures. In this work, superhydrophobic surfaces on copper substrates were prepared by a rapid, facile one-step pulse electrodepositing process, with different duty ratios in an electrolyte containing lanthanum chloride (LaCl3·6H2O), myristic acid (CH3(CH2)12COOH), and ethanol. The equivalent electrolytic time was only 10 min. The surface morphology, chemical composition and superhydrophobic property of the pulse electrodeposited surfaces were fully investigated with SEM, EDX, XRD, contact angle meter and time-lapse photographs of water droplets bouncing method. The results show that the as-prepared surfaces have micro/nano dual scale structures mainly consisting of La[CH3(CH2)12COO]3 crystals. The maximum water contact angle (WCA) is about 160.9°, and the corresponding sliding angle is about 5°. This method is time-saving and can be easily extended to other conductive materials, having a great potential for future applications. Full article
Show Figures

Figure 1

Back to TopTop