Sign in to use this feature.

Years

Between: -

Subjects

remove_circle_outline
remove_circle_outline
remove_circle_outline
remove_circle_outline
remove_circle_outline
remove_circle_outline
remove_circle_outline
remove_circle_outline
remove_circle_outline

Journals

remove_circle_outline
remove_circle_outline
remove_circle_outline
remove_circle_outline
remove_circle_outline
remove_circle_outline
remove_circle_outline
remove_circle_outline
remove_circle_outline
remove_circle_outline

Article Types

Countries / Regions

remove_circle_outline
remove_circle_outline
remove_circle_outline
remove_circle_outline
remove_circle_outline
remove_circle_outline

Search Results (495)

Search Parameters:
Keywords = OWL

Order results
Result details
Results per page
Select all
Export citation of selected articles as:
17 pages, 602 KB  
Review
Artificial Intelligence Applications in Gastric Cancer Surgery: Bridging Early Diagnosis and Responsible Precision Medicine
by Silvia Malerba, Miljana Vladimirov, Aman Goyal, Audrius Dulskas, Augustinas Baušys, Tomasz Cwalinski, Sergii Girnyi, Jaroslaw Skokowski, Ruslan Duka, Robert Molchanov, Bojan Jovanovic, Francesco Antonio Ciarleglio, Alberto Brolese, Kebebe Bekele Gonfa, Abdi Tesemma Demmo, Zilvinas Dambrauskas, Adolfo Pérez Bonet, Mario Testini, Francesco Paolo Prete, Valentin Calu, Natale Calomino, Vikas Jain, Aleksandar Karamarkovic, Karol Polom, Adel Abou-Mrad, Rodolfo J. Oviedo, Yogesh Vashist and Luigi Maranoadd Show full author list remove Hide full author list
J. Clin. Med. 2026, 15(6), 2208; https://doi.org/10.3390/jcm15062208 - 13 Mar 2026
Viewed by 104
Abstract
Background: Artificial intelligence is emerging as a promising tool in surgical oncology, with growing evidence suggesting potential applications in diagnostic support, intraoperative guidance, and perioperative risk assessment. In gastric cancer surgery, emerging applications range from AI-assisted endoscopic detection to data-driven perioperative risk [...] Read more.
Background: Artificial intelligence is emerging as a promising tool in surgical oncology, with growing evidence suggesting potential applications in diagnostic support, intraoperative guidance, and perioperative risk assessment. In gastric cancer surgery, emerging applications range from AI-assisted endoscopic detection to data-driven perioperative risk prediction, while some technological developments, particularly in robotic autonomy, derive from broader surgical or experimental models that may inform future gastric procedures. Methods: A narrative review was conducted following established methodological standards, including the Scale for the Assessment of Narrative Review Articles (SANRA) and the Search–Appraisal–Synthesis–Analysis (SALSA) framework. English-language studies indexed in PubMed, Scopus, Embase, and Web of Science up to October 2025 were included. Evidence was synthesized thematically across five domains: AI-assisted anatomical recognition and lymphadenectomy support, autonomous robotic systems, early cancer detection, perioperative predictive and frailty models, and ethical and regulatory considerations. Results: AI-based computer vision and deep learning algorithms have demonstrated promising capabilities for real-time anatomical recognition, surgical phase classification, and intraoperative guidance, although evidence of direct patient-level benefit remains limited. In diagnostic settings, AI-assisted endoscopy and Raman spectroscopy have been shown to improve early lesion detection and reduce dependence on operator experience. Predictive models, including MySurgeryRisk and AI-driven frailty assessments, may support individualized prehabilitation planning and perioperative risk stratification. Persistent limitations include small and heterogeneous datasets, insufficient external validation, and unresolved concerns related to data privacy, algorithmic interpretability, and medico-legal responsibility. Conclusions: Artificial intelligence is progressively emerging as a promising tool in gastric cancer surgery, integrating automation, advanced analytics, and human clinical reasoning. Its safe and ethical adoption requires robust validation, transparent governance, and continuous surgeon oversight. When developed within human-centered and ethically grounded frameworks, AI can augment, rather than replace, surgical expertise, potentially advancing precision, safety, and equity in oncologic care. Full article
Show Figures

Figure 1

12 pages, 731 KB  
Article
Procedural and Device Neutrality of Post-TAVI Renal Outcomes: A Multivariable Analysis of Valve Type, Size, and Anatomy
by Rosa Alba Pugliesi, Shu Fon Muna, Andreas H. Mahken, Nour Maalouf, Georgios Chatzis and Jonas Apitzsch
J. Clin. Med. 2026, 15(6), 2175; https://doi.org/10.3390/jcm15062175 - 12 Mar 2026
Viewed by 101
Abstract
Background: Renal dysfunction remains a frequent complication after transcatheter aortic valve implantation (TAVI). Although contrast exposure and baseline renal impairment are established risk factors, the influence of structural valve characteristics, including valve diameter and prosthesis platform, on early renal outcomes is not well [...] Read more.
Background: Renal dysfunction remains a frequent complication after transcatheter aortic valve implantation (TAVI). Although contrast exposure and baseline renal impairment are established risk factors, the influence of structural valve characteristics, including valve diameter and prosthesis platform, on early renal outcomes is not well defined. This study evaluated whether valve size and valve platform independently affect early post-procedural renal function. Methods: This retrospective cohort study included 410 consecutive patients undergoing TAVI between 2018 and 2021 with complete pre- and post-procedural renal biomarker data. Of these, 371 patients with complete covariate data were analyzed in multivariable models. Serum creatinine and estimated glomerular filtration rate (eGFR) were assessed within 72 h before and after TAVI. Renal function change was calculated as absolute differences. Acute kidney injury (AKI) was defined according to KDIGO criteria. Correlation analyses and multivariable linear and logistic regression models were performed. Results: Median valve diameter was 26 mm (IQR 26–29). Renal function remained largely stable, with a median creatinine change of −0.06 mg/dL and median eGFR change of +4.0 mL/min/1.73 m2. Valve diameter was not associated with creatinine change (ρ = −0.047, p = 0.330) or eGFR change (ρ = 0.053, p = 0.278). KDIGO-defined AKI occurred in 56 patients (13.7%) and did not differ by valve platform (p = 0.719) or diameter tertiles (p = 0.204). Conclusions: Valve diameter and platform were not independently associated with early renal outcomes after TAVI. Baseline renal function and contrast exposure were the principal determinants of post-procedural renal trajectory. Full article
Show Figures

Figure 1

10 pages, 772 KB  
Article
Nest Box Condition and Maintenance of Barn Owls (Tyto alba) in Tropical Oil Palm Plantations
by Sukanya Thongratsakul, Marnoch Yindee, Kriangsak Hamarit, Nirawat Sinnarong, Wallaya Manatchaiworakul, Worawidh Wajjwalku and Chaithep Poolkhet
Animals 2026, 16(6), 881; https://doi.org/10.3390/ani16060881 - 12 Mar 2026
Viewed by 108
Abstract
Barn owls (Tyto alba) are widely used as biological control agents in Southeast Asian agroecosystems, especially in oil palm plantations where rodent pests cause major yield losses. The success of such programs relies not only on nest box installation but also [...] Read more.
Barn owls (Tyto alba) are widely used as biological control agents in Southeast Asian agroecosystems, especially in oil palm plantations where rodent pests cause major yield losses. The success of such programs relies not only on nest box installation but also on maintaining the structural condition of these boxes. We analyzed monthly nest box monitoring data from January 2022 to May 2023 across five oil palm plantations (CPI1–CPI5) in Southern Thailand, including numbers of total, damaged, repaired, and unrepaired boxes. Substantial spatial variation was observed: CPI1 maintained the highest number of boxes (289) with a very low damage rate (~1.2%) and consistent repairs, whereas CPI4 showed the highest proportion of damaged boxes (~11%) and no repair activity. Chi-square and Kruskal–Wallis tests confirmed significant differences in damage rates among plantations (p < 0.001), although monthly variation was not statistically significant (p = 0.42). Visual inspection indicated increased deterioration during the wet season, suggesting weather-related stress on wooden structures. These results highlight the importance of maintaining nest box infrastructure as part of plantation management practices that support barn owl presence in oil palm agroecosystems. Keeping boxes functional throughout the year helps sustain a nature-based pest control service, reducing reliance on rodenticides and enhancing agroecosystem sustainability under humid tropical conditions. Full article
(This article belongs to the Section Birds)
Show Figures

Figure 1

22 pages, 3658 KB  
Article
Animal Symbolism and Sacred Landscape from the Goddess Temple at Niuheliang: The Bear, Eagle, and Owl in Perspective
by Qian Wang
Religions 2026, 17(3), 333; https://doi.org/10.3390/rel17030333 - 6 Mar 2026
Viewed by 189
Abstract
The Goddess Temple at Niuheliang, located in Chaoyang City, Liaoning Province, is the earliest known temple excavated in China, offering profound insights into Neolithic religious architecture. Built during the Neolithic era, this sacred site reflects a deliberate integration of geographical features and early [...] Read more.
The Goddess Temple at Niuheliang, located in Chaoyang City, Liaoning Province, is the earliest known temple excavated in China, offering profound insights into Neolithic religious architecture. Built during the Neolithic era, this sacred site reflects a deliberate integration of geographical features and early spiritual beliefs. The temple demonstrates a mythologically inspired architectural landscape, shaped by the local terrain and animal symbolism. Its design principles are evident in three main aspects. First, the alignment of the temple along the central axis of Niuheliang Mountain and its bird-shaped architecture—resembling an eagle and an owl—may embody the belief in sacred birds as intermediaries between humans and deities. Second, the goddess head within the temple mirrors the contours of Bear-Headed Mountain (Xiongshoushan 熊首山), suggesting a deliberate visual alignment between the goddess image and the form of the mountain. Third, the bear-shaped clay sculpture inside the temple conceptually links to Bear-Headed Mountain, potentially reflecting a widespread belief in the Celestial Bear (Tianxiong 天熊). This fusion of topography and myth exemplifies a distinctive approach to constructing sacred space in early Chinese religious culture, where the natural environment was not merely a backdrop but an active medium for expressing cosmological ideas. The Niuheliang Goddess Temple thus stands as a purposefully created mythological world, revealing the ancestors’ complex and sophisticated engagement with the natural landscape and spiritual beliefs. Full article
(This article belongs to the Special Issue Temple Art, Architecture and Theatre)
Show Figures

Figure 1

21 pages, 7351 KB  
Article
Regionally Tailored Layup Design with Bio-Inspired Features for Enhanced Load-Bearing Capacity and Damage Tolerance of CFRP Rectangular Beams
by Jing Yan and Yi Li
Eng 2026, 7(3), 120; https://doi.org/10.3390/eng7030120 - 4 Mar 2026
Viewed by 220
Abstract
In nature, organisms have evolved unique structures that feature low weight, high strength, and damage resistance. The Eurasian eagle-owl serves as a representative example, with specialized feather architectures that enable stable flight in intense and turbulent airflow conditions. Herein, driven by classical design [...] Read more.
In nature, organisms have evolved unique structures that feature low weight, high strength, and damage resistance. The Eurasian eagle-owl serves as a representative example, with specialized feather architectures that enable stable flight in intense and turbulent airflow conditions. Herein, driven by classical design layup guidelines, and inspired by the distinctive fiber architecture of the feather shaft cortex, we propose a regionally tailored layup (RTL) design to enable mass-efficient composite beams with high load-bearing capacity and enhanced damage tolerance. The feather shaft reference lay-up rectangular beam (FSRB) adopts the RTL, and a flange overlap is introduced to preserve the integrity and strength of the flange–web interface; it is then manufactured using inner–outer matched molds in conjunction with vacuum bag molding. Three-point bending shows that the FSRB achieves a flexural strength of 180 MPa and a flexural modulus of 12.1 GPa. Relative to conventional axial (ALRB), Cross-ply (CPRB), single-helix (SLRB), and quasi-isotropic (QLRB) lay-up rectangular beams, the FSRB improves strength by 59.5%, 46.6%, 26.8%, and 21.2%, and increases modulus by 81.7%, 34.7%, 25.1%, and 10.8%, respectively. FEA and SEM observations confirm an RTL architecture in the rectangular beams, characterized by differentiated fiber arrangements in the flange and web. Flanges with an axially dominated layup provide high initial flexural strength and stiffness. The web, formed by a crossed-ply/axial hybrid layup, provides transverse support and redirects crack/delamination growth, thereby promoting progressive failure and enhancing energy dissipation. Overall, this RTL design enables concurrent improvements in load-carrying capacity and damage tolerance. This study offers a design perspective for high-performance load-bearing components. Full article
(This article belongs to the Section Materials Engineering)
Show Figures

Figure 1

23 pages, 1320 KB  
Article
Personalized Hearing Loss Care Using SNOMED CT-Aligned Ontology and Random Forest Machine Learning: A Hybrid Decision-Support Framework
by Darine Kebsi, Chamseddine Barki, Ismail Dergaa, Riadh Gouider, Halil İbrahim Ceylan, Amina Maddouri, Abderrazak Jemai, Mourad Elloumi, Nicola Luigi Bragazzi and Hanene Boussi Rahmouni
Audiol. Res. 2026, 16(2), 37; https://doi.org/10.3390/audiolres16020037 - 2 Mar 2026
Viewed by 203
Abstract
Background: Hearing loss affects over 466 million individuals globally and is recognized as a major risk factor for Alzheimer’s disease, yet treatment personalization remains limited due to the complexity and diversity of underlying causes. Current diagnostic and therapeutic approaches lack standardized methods to [...] Read more.
Background: Hearing loss affects over 466 million individuals globally and is recognized as a major risk factor for Alzheimer’s disease, yet treatment personalization remains limited due to the complexity and diversity of underlying causes. Current diagnostic and therapeutic approaches lack standardized methods to accurately predict the most appropriate intervention for individual patients. The integration of medical ontologies with machine learning offers a promising solution for enhancing diagnostic accuracy and treatment personalization. Aim: Our study aimed to (i) develop a Systematized Nomenclature of Medicine—Clinical Terms (SNOMED CT)-aligned clinical ontology for hearing loss using Semantic Web Rule Language for automated reasoning; (ii) implement a Random Forest classifier trained on ontology-enriched patient data to classify hearing loss types (conductive, sensorineural, mixed, or normal); and (iii) predict optimal personalized treatments based on laterality, severity, audiometric thresholds, and medical history using real-world patient data. Methods: We developed a task ontology using Protégé 5.6.3 with Web Ontology Language (OWL), integrated SNOMED CT terminology alignment, and implemented Semantic Web Rule Language rules executed by the Pellet 2.2.0 reasoner. The framework was trained and evaluated on 3723 adult patients from the 2015–2016 National Health and Nutrition Examination Survey (NHANES) dataset with complete audiometric and clinical data. Random Forest models were developed using an 80–20 train-test split with stratified sampling and five-fold cross-validation. Performance was compared between K-Means clustering-based labeling and ontology-based semantic inference using accuracy, precision, recall, F1-score, and log loss metrics. Results: The ontology successfully generated semantic labels for all 3723 patients, enabling precise classification of hearing loss types, severity levels, and laterality. The Random Forest model with K-Means clustering achieved a test accuracy of 90.2% with a log loss of 0.2766 and a cross-validation mean accuracy of 91.22% (standard deviation 1.2%). Integration of ontology-based semantic enrichment significantly improved performance, achieving a test accuracy of 92.48% with a cross-validation mean accuracy of 92.80% (standard deviation 0.9%). F1-scores improved across all classes, with mixed hearing loss showing a notable increase from 0.86 to 0.92. Feature importance analysis identified audiometric thresholds, ontology-derived severity labels, and medical history as top predictors, enhancing clinical interpretability. Conclusions: This study demonstrates that combining SNOMED CT-aligned ontology with Random Forest classification achieves superior diagnostic accuracy and enables personalized treatment recommendations for hearing loss. The hybrid framework provides clinically interpretable decision support while ensuring semantic interoperability with electronic health records. Multi-institutional validation studies are necessary to assess generalizability across diverse populations before clinical deployment. Full article
Show Figures

Figure 1

24 pages, 15371 KB  
Article
The Complete Genome of Rhizobium favelukesii LPU83T: Insights into Plastic pSym and Its Symbiotic Incompatibility with a Broad Range of Legume Hosts
by Abril Luchetti, Catalina D’Addona, Lucas G. Castellani, María Delfina Cabrera, Daniel Wibberg, Carolina Vacca, Linda Fenske, Jochen Blom, Anika Winkler, Tobias Busche, Christian Rückert-Reed, Jörn Kalinowski, Andreas Schlüter, Alfred Pühler, Karsten Niehaus, Antonio Lagares, María Florencia Del Papa, Mariano Pistorio and Gonzalo Torres Tejerizo
Agronomy 2026, 16(5), 523; https://doi.org/10.3390/agronomy16050523 - 27 Feb 2026
Viewed by 412
Abstract
Achieving completeness of multipartite bacterial genomes has been a difficult task, especially in rhizobia. In this study, we performed a deep bioinformatic analysis of the newly re-sequenced genome of Rhizobium favelukesii LPU83T. This strain was isolated from acid soils in Argentina [...] Read more.
Achieving completeness of multipartite bacterial genomes has been a difficult task, especially in rhizobia. In this study, we performed a deep bioinformatic analysis of the newly re-sequenced genome of Rhizobium favelukesii LPU83T. This strain was isolated from acid soils in Argentina and is capable of nodulating several leguminous plants, although it is unable to fix nitrogen efficiently in any of them. Oxford Nanopore sequencing allowed us to completely assemble the symbiotic plasmid of the strain, pRfaLPU83b, and we discovered that it harbors three intact prophages and a high density of insertion sequences (ISs). These characteristics show why it is often so difficult to complete the symbiotic plasmids of rhizobial strains and the importance of having long-read sequencing methods. Upon detailed analysis of this replicon, we identified a complete conjugation system with gene structure consistent with quorum sensing-associated systems that may have contributed to the genetic mosaic structure of the strain. Furthermore, we identified in the symbiotic plasmid of R. favelukesii LPU83T a large proportion of the symbiotic genes previously identified as essential for Biological Nitrogen Fixation (BNF) in symbiosis with alfalfa, with a high percentage of identity with respect to those of Sinorhizobium meliloti 2011. Among the determinants related to BNF, we found genes encoding the HrrP and SapA peptidases in the LPU83 genome, previously described and related to the degradation of nodule-specific cysteine-rich peptides. These peptides are essential for bacteroid differentiation and, therefore, efficient BNF. Our results show that despite having these genes, they are not directly responsible for the inefficient BNF phenotype of LPU83. Full article
(This article belongs to the Special Issue New Insights into Plant-Microbe Interaction)
Show Figures

Figure 1

24 pages, 7660 KB  
Article
Reasoning over Heterogeneous Geospatial Schemas: Aligning Authoritative Taxonomies and Collaborative Folksonomies Through Large Language Models
by Fabíola Andrade Souza and Silvana Philippi Camboim
ISPRS Int. J. Geo-Inf. 2026, 15(2), 87; https://doi.org/10.3390/ijgi15020087 - 18 Feb 2026
Viewed by 393
Abstract
Semantic interoperability remains a critical challenge in Spatial Data Infrastructures (SDIs), particularly when aligning authoritative taxonomies with collaborative folksonomies. Traditional alignment tools often fail to bridge the semantic and structural asymmetry between these schemas. This paper evaluates the capability of Large Language Models [...] Read more.
Semantic interoperability remains a critical challenge in Spatial Data Infrastructures (SDIs), particularly when aligning authoritative taxonomies with collaborative folksonomies. Traditional alignment tools often fail to bridge the semantic and structural asymmetry between these schemas. This paper evaluates the capability of Large Language Models (LLMs), specifically distinguishing between traditional architectures and emerging Large Reasoning Models (LRMs), to perform semantic alignment between the Brazilian national topographic data model standard (EDGV) and OpenStreetMap (OSM). Using a formal ontology as a prompting scaffold, we tested seven model versions (including ChatGPT 5, DeepSeek R1, and Gemini 2.5) on their ability to bridge the gap between rigid hierarchical classes and the dynamic, ‘long-tail’ vocabulary of the folksonomy. Results reveal a distinct trade-off: while traditional LLMs exhibited ‘lexical rigidity’ and popularity bias—failing to map low-frequency tags—Reasoning Models demonstrated significantly improved capacity for semantic expansion, correctly identifying complex many-to-one (n:1) relationships across linguistic barriers. However, this reasoning depth often came at the cost of ‘hallucination by over-specification’ and syntactic instability in generating OWL code. We conclude that a neuro-symbolic approach, positioning LRMs as ‘Semantic Catalysts’ within a Human-in-the-Loop (HITL) workflow, provides a viable pathway for interoperability, balancing generative power with the need for logical rigor and spatial validation. Full article
(This article belongs to the Special Issue LLM4GIS: Large Language Models for GIS)
Show Figures

Figure 1

12 pages, 8878 KB  
Article
Introduction of a European Central-South-Eastern West Nile Virus Lineage 2 Strain in Italy in 2023: Evidence from the First Locally Acquired Neuroinvasive Case in the Calabria Region
by Simone Malago, Antonio Mori, Michela Deiana, Maria Vittoria Mauro, Valeria Vangeli, Giuliana Guadagnino, Silvia Accordini, Natasha Gianesini, Lorena Maria Chesini, Samuele Cheri, Sonia Greco, Francesca Greco, Jesse Julian Waggoner, Chiara Piubelli, Federico Giovanni Gobbi, Concetta Castilletti and Antonio Mastroianni
Int. J. Mol. Sci. 2026, 27(4), 1809; https://doi.org/10.3390/ijms27041809 - 13 Feb 2026
Viewed by 230
Abstract
West Nile virus lineage 2 (WNV-2) is a growing public health concern in Europe causing West Nile fever or West Nile neuroinvasive disease (WNND) with substantial morbidity and mortality; however, genomic data from southern Italy are limited despite recent expansion of autochthonous transmission. [...] Read more.
West Nile virus lineage 2 (WNV-2) is a growing public health concern in Europe causing West Nile fever or West Nile neuroinvasive disease (WNND) with substantial morbidity and mortality; however, genomic data from southern Italy are limited despite recent expansion of autochthonous transmission. The aim of the study was to characterize the phylogenetic and molecular features of the WNV-2 strain responsible for the first autochthonous human infection reported in Calabria (2023), and two more additional WNND cases detected in 2024. Full WNV-2 genomes were generated from the three cases. Phylogenetic analysis was performed using all publicly available WNV sequences up to September 2025. Amino acid changes in the polyprotein were compared with known WNV-2 lineage and sub-lineage signatures. The three sequences formed a monophyletic group within sub-lineage WNV-2a, clustering with strains circulating in Central-South-Eastern Europe and showing closest affinity to Hungarian sequences. Non-synonymous substitutions characteristic of the Hungary 578/10 strain (NS2B-119I, NS4B-14G, NS4B-49A, and NS5-298A) were identified and were absent from Central-Northern-Western European and previously reported Italian sequences. Additional substitutions (E-159T, E-399R, and NS3-249P) corresponded to signatures from a fatal WNV-2 infection in a Great Grey Owl in Slovakia. Our study provides the first report of Central-South-Eastern European WNV-2 circulation outside Eastern Europe, supporting its likely spread through the Balkans into Italy by 2022. These findings underscore the rapid spread of WNV-2 in newly affected areas and highlight the critical need for sustained molecular surveillance. Full article
Show Figures

Figure 1

32 pages, 54794 KB  
Article
CB-OWL-ViT: A Multimodal Cost-Effective Framework for Contagious Disease Monitoring
by Mohammad Fatahi, Danial Sadrian Zadeh, Ali Noormohammadi-Asl, Behzad Moshiri, Otman A. Basir, Ebrahim Navid Sadjadi, Jesús García-Herrero and José M. Molina
Mathematics 2026, 14(4), 647; https://doi.org/10.3390/math14040647 - 12 Feb 2026
Viewed by 322
Abstract
The rapid spread of diseases like COVID-19 highlights the need for adaptable monitoring systems to support public health measures such as mask compliance and social distancing. This study presents the CB-OWL-ViT framework: a Cluster-Based Open-World Localization Vision Transformer for mask detection and social [...] Read more.
The rapid spread of diseases like COVID-19 highlights the need for adaptable monitoring systems to support public health measures such as mask compliance and social distancing. This study presents the CB-OWL-ViT framework: a Cluster-Based Open-World Localization Vision Transformer for mask detection and social distance estimation. It incorporates homography-based distance estimation for effective deployment with monocular cameras. The innovative integration of open-world vision-language detection with a clustering-based strategy enhances mask-wearing assessments, enabling adaptability without retraining. Evaluations on datasets including Kaggle, Roboflow, and a new dataset from the University of Waterloo show that CB-OWL-ViT improves mask detection precision by 0.37 and F1-score by 0.2 compared to the baseline. The homography module achieves a Mean Absolute Error of 0.1116 in distance estimation, and real-world tests demonstrate a recall of 0.98 for detecting noncompliance in the “Without Mask” class. This framework is a practical solution for large-scale disease monitoring across various settings. Full article
Show Figures

Figure 1

28 pages, 2025 KB  
Article
DL-ReasonSuite: A Benchmark for Evaluating Description Logic Reasoning in Large Language Models
by Müge Oluçoğlu and Okan Bursa
Appl. Sci. 2026, 16(4), 1821; https://doi.org/10.3390/app16041821 - 12 Feb 2026
Viewed by 428
Abstract
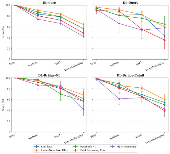
Large language models (LLMs) have shown remarkable progress in general reasoning and understanding, but their ability to perform formal logical reasoning remains under-explored. In this paper, we introduce DLReasonSuite, a novel benchmark designed to rigorously evaluate LLMs on reasoning tasks grounded in Description [...] Read more.
Large language models (LLMs) have shown remarkable progress in general reasoning and understanding, but their ability to perform formal logical reasoning remains under-explored. In this paper, we introduce DLReasonSuite, a novel benchmark designed to rigorously evaluate LLMs on reasoning tasks grounded in Description Logic (DL). DL-ReasonSuite comprises 4740 tasks spanning seven distinct task types and organized into three reasoning tracks: (1) DLCore, covering fundamental ontology reasoning tasks (consistency checking, subsumption, and instance checking); (2) DLQuery, focusing on answering entailment-aware SPARQL queries; and (3) DLBridge, bridging natural language and formal logic (bidirectional NL ↔ OWL translation and tool-augmented entailment resolution). We detail the methodology for designing and implementing this benchmark, including task construction, automatic evaluation metrics and validation using reliable OWL reasoners. Then, we present an empirical evaluation of five leading reasoning LLMs as stateofart models: Kimi k1.5, LlamaNemotron Ultra, DeepSeekR1, Phi4 Reasoning Plus, and Phi4 Reasoning on the full suite of tasks. Our results reveal significant variability in LLM performance on formal reasoning was observed. While the best model, Phi4 Reasoning Plus, achieves an overall accuracy of 85% and excels especially in tool-augmented tasks, other models struggle notably with complex query reasoning for DL and precise OWL translation. We analyze the strengths and weaknesses of each model across different DL metrics and task categories, providing insights into current limitations of LLM reasoning such as handling SPARQL queries and maintaining logical consistency and the benefits of neuro-symbolic techniques. DL-ReasonSuite is a comprehensive framework for assessing and advancing LLMs’ Description Logic reasoning capabilities aiming to bridge the gap between natural language understanding and formal knowledge representation. Full article
(This article belongs to the Section Computing and Artificial Intelligence)
Show Figures

Figure 1

20 pages, 1587 KB  
Article
Loss of ABCC6 in Human Mesenchymal Stem Cells Leads to Elevated Reactive Oxygen Species Formation and a Senescence-like Phenotype
by Michel R. Osterhage, Cornelius Knabbe and Doris Hendig
Antioxidants 2026, 15(2), 241; https://doi.org/10.3390/antiox15020241 - 12 Feb 2026
Viewed by 323
Abstract
Pseudoxanthoma elasticum (PXE) is an autosomal-recessive disorder caused by mutations in ATP-binding cassette subfamily C member 6 (ABCC6). In addition to the calcification and fragmentation of elastic fibers as the pathomechanistic cause of PXE, systemic and cellular oxidative stress have been reported. Human [...] Read more.
Pseudoxanthoma elasticum (PXE) is an autosomal-recessive disorder caused by mutations in ATP-binding cassette subfamily C member 6 (ABCC6). In addition to the calcification and fragmentation of elastic fibers as the pathomechanistic cause of PXE, systemic and cellular oxidative stress have been reported. Human mesenchymal stem cells (hMSCs) with an ABCC6 knockdown were chosen to further investigate the oxidative stress associated with ABCC6 deficiency. The cells were treated with hydrogen peroxide to mimic external oxidative stress and the antioxidant Trolox to examine the cells’ reaction to decreased oxidative stress. The level of different types of reactive species (RS) like nitric oxide and reactive oxygen species, the senescent phenotype, oxidative damage and mRNA expression of oxidative stress-related genes were evaluated. Knockdown of ABCC6 was shown to increase RS levels in hMSCs, induce a p53-dependent senescence-like phenotype and increase oxidative damage, while the mRNA expression of oxidative defense genes was elevated. The ABCC6-deficient cells exhibited an altered reaction to additional oxidative stress and the incubation with Trolox reversed these changes induced by ABCC6 knockdown. Our findings provide further evidence linking ABCC6-deficiency to oxidative stress and a senescence-like phenotype, while pointing towards antioxidants as part of a potential treatment for PXE. Full article
(This article belongs to the Special Issue Oxidative Stress in Human Diseases—4th Edition)
Show Figures

Figure 1

13 pages, 2890 KB  
Proceeding Paper
Design and Implementation of Interactive Teaching Materials for Core Blockchain Concepts on OwlSpace Platform as a Capstone Project
by Chin-Ling Chen, Kuang-Wei Zeng, Wei-Ying Li, Tzu-Chuen Lu, Chin-Feng Lee and Ling-Chun Liu
Eng. Proc. 2025, 120(1), 63; https://doi.org/10.3390/engproc2025120063 - 11 Feb 2026
Viewed by 232
Abstract
Blockchain technology, with special features of decentralization, immutability, consensus mechanisms, and smart contracts, has been integrated into different areas of digital applications recently. However, its abstract concepts present a steep learning curve for beginners, especially in the absence of online resources that offer [...] Read more.
Blockchain technology, with special features of decentralization, immutability, consensus mechanisms, and smart contracts, has been integrated into different areas of digital applications recently. However, its abstract concepts present a steep learning curve for beginners, especially in the absence of online resources that offer dynamic, hands-on learning experiences. In response to this problem, we developed a digital interactive teaching tool using the OwlSpace platform to explain what blockchain truly is in its four core foundational concepts. Interactive operations, guided workflows, and visual simulations are applied in the system to assist the learner in interpreting decentralized architectures, immutability of data interactively, the consensus formation process, and the mechanics behind smart contract operation. The system has also put a focus on conceptual understanding and gamified experiences rather than competitive ones, providing a practical and engineering-focused tool for introductory information engineering students. Full article
(This article belongs to the Proceedings of 8th International Conference on Knowledge Innovation and Invention)
Show Figures

Figure 1

27 pages, 1079 KB  
Review
Optical Waveguide Lightmode Spectroscopy: A Versatile Technique for Real-Time, Label-Free Biosensing
by Jeremy J. Ramsden
Sensors 2026, 26(4), 1183; https://doi.org/10.3390/s26041183 - 11 Feb 2026
Viewed by 449
Abstract
Optical waveguide lightmode spectroscopy (OWLS) is an integrated-optical technique for probing structures at the solid/gas and solid/liquid interface. Spatial resolution perpendicular to the interface is sub-ångström. Thanks to good time resolution, processes involving structural change can also be investigated. This review covers the [...] Read more.
Optical waveguide lightmode spectroscopy (OWLS) is an integrated-optical technique for probing structures at the solid/gas and solid/liquid interface. Spatial resolution perpendicular to the interface is sub-ångström. Thanks to good time resolution, processes involving structural change can also be investigated. This review covers the fundamentals of the technique, the various measurement configurations that are used, interpretation of the primary data received, applications in biosensing, and future prospects. Full article
(This article belongs to the Special Issue Feature Review Papers in Biosensors Section 2025)
Show Figures

Graphical abstract

23 pages, 4671 KB  
Article
Impaired TGFβ Signaling in Plaque-Associated Microglia
by Oliver Krzyzan, Angela Kuhla, Björn Spittau and Natascha Vidovic
Biomolecules 2026, 16(2), 248; https://doi.org/10.3390/biom16020248 - 4 Feb 2026
Viewed by 467
Abstract
Aging and Alzheimer’s disease (AD) are associated with profound changes in glial cell morphology and signaling. This study investigates the three-dimensional morphology of microglia and the intracellular localization of phosphorylated SMAD proteins as downstream effectors of transforming growth factor β (TGF-β) signaling in [...] Read more.
Aging and Alzheimer’s disease (AD) are associated with profound changes in glial cell morphology and signaling. This study investigates the three-dimensional morphology of microglia and the intracellular localization of phosphorylated SMAD proteins as downstream effectors of transforming growth factor β (TGF-β) signaling in the amyloid precursor protein and presenilin-1 (APP/PS1) transgenic mouse model of Alzheimer’s disease. Using confocal microscopy and Simple Neurite Tracer software, we reconstructed and quantitatively analyzed glial cell morphology in aged wild-type and APP/PS1 mice. Immunofluorescence staining revealed altered pSMAD2 distribution in microglia, suggesting impaired canonical TGF-β signaling. Our findings indicate a disturbed glial morphology and dysfunctional TGF-β signaling cascade in the APP/PS1 model, underlining their potential role in Alzheimer’s disease pathogenesis. Full article
Show Figures

Figure 1

Back to TopTop