Sign in to use this feature.

Years

Between: -

Subjects

remove_circle_outline
remove_circle_outline
remove_circle_outline
remove_circle_outline
remove_circle_outline
remove_circle_outline
remove_circle_outline
remove_circle_outline
remove_circle_outline

Journals

remove_circle_outline
remove_circle_outline
remove_circle_outline
remove_circle_outline
remove_circle_outline
remove_circle_outline
remove_circle_outline
remove_circle_outline
remove_circle_outline
remove_circle_outline
remove_circle_outline
remove_circle_outline
remove_circle_outline
remove_circle_outline
remove_circle_outline
remove_circle_outline
remove_circle_outline
remove_circle_outline
remove_circle_outline
remove_circle_outline
remove_circle_outline
remove_circle_outline

Article Types

Countries / Regions

remove_circle_outline
remove_circle_outline
remove_circle_outline
remove_circle_outline
remove_circle_outline

Search Results (2,765)

Search Parameters:
Keywords = NAC1

Order results
Result details
Results per page
Select all
Export citation of selected articles as:
15 pages, 1411 KB  
Article
Management of Nipple Necrosis and Wound Complications in Patients Undergoing Unilateral Skin-Sparing Mastectomy and Implant-Based Reconstruction for Breast Cancer: A Retrospective, Single-Center Study
by Simay Akyuz, Şevket Barış Morkavuk and Mehmet Ali Gülçelik
Medicina 2026, 62(3), 575; https://doi.org/10.3390/medicina62030575 - 19 Mar 2026
Abstract
Background and Objectives: The aim of this retrospective cohort study was to determine the frequency of early-stage nipple necrosis and wound complications in patients undergoing unilateral skin-sparing mastectomy (SSM) and direct implant-based reconstruction and describe the conservative/advanced wound care approaches used for these [...] Read more.
Background and Objectives: The aim of this retrospective cohort study was to determine the frequency of early-stage nipple necrosis and wound complications in patients undergoing unilateral skin-sparing mastectomy (SSM) and direct implant-based reconstruction and describe the conservative/advanced wound care approaches used for these complications. Materials and Methods: A retrospective review was made of the medical records of 84 patients who underwent same-session unilateral SSM and implant-based reconstruction in the Surgical Oncology Clinic between November 2019 and February 2024. Statistical analyses were performed using the Shapiro–Wilk test, Mann–Whitney U-test, and Chi-square/Fisher tests. Results: The mean age of the patients was 43.51 ± 6.5 years, 35.7% of the patients received neoadjuvant chemotherapy, and smoking prevalence was 7.1%. Wound complications developed in 16.7% of the patients, distributed as follows: wound dehiscence 6%, NAC necrosis 8.4%, infection 1.2%, and hematoma 1.2%. Interventions due to complications were performed at rates of 2.4% for areola excision, 2.4% for debridement, and 2.4% for implant excision. The only variable significantly associated with complication development was excision volume, which was higher in the complication group (p = 0.033). Logistic regression analysis showed that a one-unit increase in excision volume was associated with a statistically significant increase in the likelihood of complication development (O.R = 1.002; 95% CI: 1.000–1.004; p = 0.019). No significant association was found between age, height/weight, neoadjuvant therapy, smoking, breast side, pathology subtype, axillary approach, and the development of complications (p > 0.05). Advanced wound management was provided in 10 of the 14 cases (71.4%) that developed complications. Conclusions: Excision volume was found to be the only variable associated with wound complication development after implant-based reconstruction following unilateral SSM. Most complications were managed successfully with advanced wound care, minimizing the need for re-operation. For patients undergoing high-volume excision, risk-based early multidisciplinary, close follow-up is recommended. Full article
Show Figures

Figure 1

22 pages, 3397 KB  
Article
Upregulation of Three NAC Genes in Cucumber Grafted on Figleaf Gourd Contributes to Enhanced Resistance Against FOC Infection
by Hongjia Zhang, Yiwei Peng, Yue Xu, Kang Luo, Gengyun Li, Chao Song, Mingdong Ran, Huameng Huang, Zheng-An Yang, Jian-Xiang Liu, Shuilian He and Yun Zheng
Agriculture 2026, 16(6), 682; https://doi.org/10.3390/agriculture16060682 - 18 Mar 2026
Viewed by 129
Abstract
Cucumber Fusarium wilt, which is induced by the soil-borne pathogen Fusarium oxysporum f. sp. Cucumerinum (FOC), represents a highly destructive disease. Cucumber seedling grafted onto figleaf gourd (Cucurbita ficifolia Bouché) rootstock (CFC) demonstrated better resistance to FOC. However, the molecular mechanism [...] Read more.
Cucumber Fusarium wilt, which is induced by the soil-borne pathogen Fusarium oxysporum f. sp. Cucumerinum (FOC), represents a highly destructive disease. Cucumber seedling grafted onto figleaf gourd (Cucurbita ficifolia Bouché) rootstock (CFC) demonstrated better resistance to FOC. However, the molecular mechanism underlying this enhanced disease resistance capability is largely unknown. To elucidate this, we performed transcriptome, small RNA, and degradome sequencing for leaves from CFC and self-grafted cucumbers (SGC) as controls, with and without FOC infections, respectively. Our results indicated that three NAC genes, all predicted as targets of csa-miR164, were significantly up-regulated in CFC after FOC infection. Co-transformation assay in Nicotiana benthamiana confirmed that csa-miR164f directly inhibits NAC2, and transient overexpression of NAC2 in cucumber enhanced resistance to FOC, supporting its positive role in defense. Therefore, our results suggest that three NACs, upregulated in CFC, as an alternative pathway, enhance the reactive oxygen species burst and hypersensitive response, which further elevates the resistance to FOC infection. These results provide new insights into the molecular basis for improved FOC resistance in CFC. Full article
Show Figures

Figure 1

30 pages, 6304 KB  
Review
The α-Gal Epitope (Galα1-3Galβ1-4GlcNAc) as Therapeutic Agent in Cancer Immunotherapy, Vaccine Effectiveness Amplification and Injured Tissue Regeneration
by Uri Galili
Int. J. Mol. Sci. 2026, 27(6), 2737; https://doi.org/10.3390/ijms27062737 - 17 Mar 2026
Viewed by 128
Abstract
The α-gal epitope is synthesized in non-primate mammals and New-World monkeys by the glycosylation enzyme α1,3galactosyltransferase (α1,3GT), encoded by the GGTA1 gene. Ancestral Old-World monkeys and apes synthesizing α-gal epitopes underwent extinction 20–30 million years ago. Their mutated offspring, with the inactivated GGTA1 [...] Read more.
The α-gal epitope is synthesized in non-primate mammals and New-World monkeys by the glycosylation enzyme α1,3galactosyltransferase (α1,3GT), encoded by the GGTA1 gene. Ancestral Old-World monkeys and apes synthesizing α-gal epitopes underwent extinction 20–30 million years ago. Their mutated offspring, with the inactivated GGTA1 gene, survived and produced the natural anti-Gal antibody, specifically binding α-gal epitopes. Anti-Gal protected the surviving offspring from lethal viruses presenting α-gal epitopes, which killed α-gal-synthesizing parental primates. Anti-Gal constitutes ~1% of human immunoglobulins and is also produced in Old-World monkeys and apes. α-Gal epitopes can serve as therapeutic agents in several clinical disciplines: 1. Cancer immunotherapy: Engineering cancer cells to express α-gal epitopes results in anti-Gal binding to these cells and localized activation of the complement system that kills these cancer cells and recruits the antigen-presenting cells (APCs) dendritic cells and macrophages. Anti-Gal bound to cancer cells targets them for robust uptake by APCs, which process internalized tumor antigens (TAs) and transport them to lymph nodes for activation of cytotoxic T-cells. These T-cells kill TA-presenting metastatic tumor cells. Clinical trials demonstrated that such engineering is achieved by intra-tumoral injection of α-gal glycolipids, the use of recombinant α1,3GT, or the use of oncolytic viruses containing the GGTA1 gene. 2. Viral vaccines: Inactivated whole-virus vaccines presenting α-gal epitopes bind anti-Gal, which targets them for extensive uptake by APCs, thereby increasing their immunogenicity by ~100-fold. 3. Injured-tissue regeneration: Anti-Gal binding to α-gal-presenting nanoparticles administered to wounds, into the post-myocardial infarction (MI) injured myocardium and into injured spinal cord, activates the complement system that recruits pro-regenerative macrophages, which orchestrate regeneration by recruiting stem cells and the secretion of pro-regenerative cytokines. All these findings suggest that α-gal/anti-Gal antibody interaction can serve as a novel therapeutic approach, applicable to various clinical settings. Full article
(This article belongs to the Special Issue Latest Insights into Glycobiology)
Show Figures

Figure 1

18 pages, 5296 KB  
Article
Identification and Validation of NAC Transcription Factors Enhancing Phenolic Acid Production in Perilla frutescens
by Jiayi Xu, Ping Wang, Junmei Lian, Linqiang Zhang, Xiaobi Zhang, Yan Sui, Jiankang Chen, Heng Wei, Yihan Wang, Rongde Cui, Wanying Li, Nanqi Zhang, Yan Yan, Jian Zhang and Peng Di
Plants 2026, 15(6), 922; https://doi.org/10.3390/plants15060922 - 17 Mar 2026
Viewed by 150
Abstract
Phenolic acids are the major bioactive compounds in Perilla frutescens (L.) Britt; however, the regulatory roles of NAC transcription factors (TFs) in their biosynthesis remain unclear. Here, we performed a genome-wide identification and characterization of the NAC family in P. frutescens and explored [...] Read more.
Phenolic acids are the major bioactive compounds in Perilla frutescens (L.) Britt; however, the regulatory roles of NAC transcription factors (TFs) in their biosynthesis remain unclear. Here, we performed a genome-wide identification and characterization of the NAC family in P. frutescens and explored their involvement in phenolic acid production. A total of 108 PfNAC genes were identified and classified into 17 subfamilies. Expression and promoter analyses suggested potential roles in secondary metabolism. PfNAC29 is located in the plasma membrane and necleus, while PfNAC40 and PfNAC80 are located in the nucleus.Yeast one-hybrid and dual-luciferase assays demonstrated that these TFs bind to the CATGTG motif in the PfC4H promoter and activate its transcription. Overexpression in transgenic hairy roots significantly increased rosmarinic acid, caffeic acid, and ferulic acid accumulation, accompanied by upregulation of key biosynthetic genes. These results indicate that PfNAC29, PfNAC40, and PfNAC80 act as positive regulators of phenolic acid biosynthesis and provide promising targets for metabolic engineering in medicinal plants. Full article
(This article belongs to the Special Issue Genomics and Transcriptomics for Plant Development and Improvement)
Show Figures

Graphical abstract

16 pages, 3748 KB  
Article
SpNAC089 Confers Cadmium Tolerance in Sedum plumbizincicola by Binding to and Activating SpREFl Promoter
by Ruoyu He, Chenjia Zheng, Tianheng Jiang, Renying Zhuo, Zhengquan He and Wenmin Qiu
Horticulturae 2026, 12(3), 366; https://doi.org/10.3390/horticulturae12030366 - 16 Mar 2026
Viewed by 111
Abstract
Cadmium (Cd) pollution has caused severe environmental hazards and human health risks. Phytoremediation, a green and sustainable approach, has emerged as a promising solution for Cd-contaminated soil remediation. Sedum plumbizincicola, a typical Cd hyperaccumulator, can efficiently uptake Cd from soil and translocate [...] Read more.
Cadmium (Cd) pollution has caused severe environmental hazards and human health risks. Phytoremediation, a green and sustainable approach, has emerged as a promising solution for Cd-contaminated soil remediation. Sedum plumbizincicola, a typical Cd hyperaccumulator, can efficiently uptake Cd from soil and translocate it to above-ground tissues, making it an ideal model for studying Cd tolerance mechanisms. Our preliminary studies demonstrated that the Rubber elongation factor (SpREFl) enhances Cd tolerance in S. plumbizincicola, and yeast one-hybrid screening identified SpNAC089 (NCBI accession number: PV553670.1) as a potential upstream transcription factor of SpREFl. In this study, we systematically investigated the regulatory mechanism of the SpNAC089 transcription factor on SpREFl. Subcellular localization assays showed that SpNAC089 is exclusively localized in the cell nucleus, and yeast transcriptional activation experiments confirmed its intrinsic transcriptional autoactivation activity. Transgenic S. alfredii overexpressing SpNAC089 exhibited significantly enhanced cadmium tolerance—with milder leaf yellowing and growth inhibition under Cd stress—and reduced Cd accumulation in roots, stems, and leaves compared to wild-type (WT) plants. Further mechanistic analyses revealed that SpNAC089 directly binds to the 1901–1950 bp region of the SpREFl promoter, which contains cis-acting elements (MBS and TCA motifs). This binding activates SpREFl transcription, thereby upregulating the activities of antioxidant enzymes (superoxide dismutase, SOD; peroxidase, POD) and reducing malondialdehyde (MDA) content under Cd stress, ultimately mitigating oxidative damage. These findings uncover a novel transcriptional regulatory pathway (SpNAC089-SpREFl) underlying Cd tolerance in S. plumbizincicola and highlight SpNAC089 as a candidate gene for optimizing phytoremediation strategies of Cd-polluted soils. Full article
(This article belongs to the Section Biotic and Abiotic Stress)
Show Figures

Figure 1

26 pages, 14535 KB  
Article
Comparative Transcriptomic Analysis of High- and Low-Protein Wheat Lines Reveals Differential Nitrogen Responses at the Seedling Stage
by Min Jeong Hong, Chul Soo Park and Dae Yeon Kim
Agronomy 2026, 16(6), 628; https://doi.org/10.3390/agronomy16060628 - 16 Mar 2026
Viewed by 133
Abstract
Nitrogen (N) availability is a critical determinant of grain yield and protein quality in wheat (Triticum aestivum L.). To elucidate the molecular mechanisms underlying nitrogen response associated with nitrogen use efficiency (NUE), a comparative transcriptomic analysis of high grain protein content (HP) [...] Read more.
Nitrogen (N) availability is a critical determinant of grain yield and protein quality in wheat (Triticum aestivum L.). To elucidate the molecular mechanisms underlying nitrogen response associated with nitrogen use efficiency (NUE), a comparative transcriptomic analysis of high grain protein content (HP) and low grain protein content (LP) wheat lines during N resupply at the seedling stage is conducted in this study, with sampling conducted at T1 (one day after treatment) and T3 (three days after treatment). Our results reveal that the HP line exhibits an early-responsive and well-coordinated metabolic pattern, whereas the LP line shows a distinct temporal response characterized by delayed adjustments. Integrated GSEA and KEGG analyses demonstrated that the HP line prioritized protein processing in the endoplasmic reticulum and diterpenoid biosynthesis, potentially associated with enhanced protein quality control and early signaling efficacy. This allows the HP line to synchronize its N assimilation machinery with the transient peak of N availability at T1 and establishes a robust foundation for protein accumulation. Conversely, the LP line redirected its metabolic resources toward glutathione metabolism and flavonoid biosynthesis to mitigate N-induced oxidative instability. This metabolic shift increases the energetic usage required for antioxidant defense and subsequently deviates resources away from productive N assimilation. These divergent metabolic landscapes were orchestrated by a hierarchical network of transcription factors (TFs). In leaves, the MYB and NAC families showed a more disciplined and immediate increase in the HP line, whereas the LP line demonstrated a delayed peak at T3. In root tissues, while Dof and NAC families were rapidly induced and concluded in the HP line, the LP line exhibited a sluggish sensing-to-response mechanism with prolonged or specific late-stage activation at T3. These results indicate that the capacity for rapid metabolic synchronization and disciplined transcriptomic mobilization is a key physiological indicator of high-protein potential in wheat. This insight provides essential molecular targets for breeding programs aimed at improving NUE and grain quality. Full article
Show Figures

Figure 1

11 pages, 892 KB  
Article
Prediagnostic Electrocardiographic Abnormalities in Transthyretin Amyloid Cardiomyopathy: A Longitudinal Observational Study
by Ashwin Venkateshvaran, Helin Mert Karaoglu and Björn Pilebro
J. Clin. Med. 2026, 15(6), 2201; https://doi.org/10.3390/jcm15062201 - 13 Mar 2026
Viewed by 172
Abstract
Background: Early diagnosis of transthyretin amyloid cardiomyopathy (ATTR-CM) remains challenging. Although ECG and morphological abnormalities at diagnosis are well-described, their temporal evolution has not been systematically evaluated. This study characterized the prevalence and longitudinal progression of electrical and structural cardiac abnormalities preceding ATTR-CM [...] Read more.
Background: Early diagnosis of transthyretin amyloid cardiomyopathy (ATTR-CM) remains challenging. Although ECG and morphological abnormalities at diagnosis are well-described, their temporal evolution has not been systematically evaluated. This study characterized the prevalence and longitudinal progression of electrical and structural cardiac abnormalities preceding ATTR-CM diagnosis. Methods: We retrospectively analyzed patients with confirmed ATTR-CM evaluated at a specialist amyloidosis center between 2006 and 2023. Diagnosis was established by grade 2–3 myocardial uptake on 99mTc-DPD scintigraphy. Standard 12-lead ECGs and transthoracic echocardiograms were reviewed at diagnosis and at baseline, 3–5 years earlier. Results: Sixty-three patients (79% men; mean age 77 ± 8 years) were studied, including 33 (52%) with hereditary ATTR (ATTRv) and 30 (48%) with wild-type ATTR (ATTRwt). Overall, 95% had a NAC score ≤ 2, consistent with less advanced disease at diagnosis. During the prediagnostic phase, 79% of patients exhibited pathological ECGs. Non-specific ST–T abnormalities (40%), prolonged QTc (38%), left-axis deviation (35%), first-degree AV block (33%) and anterior infarction pattern (33%) were each observed in at least one-third of patients. From baseline to diagnosis, significant prolongation was observed in the PR interval (+26 ms), QRS duration (+11 ms), and QTc interval (+22 ms) (p < 0.001 for all), and a leftward shift observed in the electrical axis (−12.03°, p = 0.011). Low voltage was uncommon at both time points. Although interventricular septal thickness increased significantly (+3.42 mm; p < 0.001), left ventricular ejection fraction and dimensions were relatively stable. Conclusions: In this proof-of-concept study, electrical remodeling precedes functional changes and outperforms low voltages to raise clinical suspicion of ATTR-CM. Full article
Show Figures

Figure 1

16 pages, 7290 KB  
Article
Heterologous Overexpression of NtNACa from Narcissus tazetta L. var. chinensis ‘Yunxiang’ Enhances Drought and Salt Stress Resistance in Arabidopsis thaliana
by Peng-Fei Li, Yong Wu, Xiang-Yun Rui, Xiao-Jing Chen, Ming-Yue Wei and Huan Li
Genes 2026, 17(3), 316; https://doi.org/10.3390/genes17030316 - 13 Mar 2026
Viewed by 163
Abstract
Background/Objectives: NAC transcription factors are key regulators of stress responses, yet their roles in Narcissus tazetta L. var. chinensis remain uncharacterized. This study aimed to isolate and functionally analyze NtNACa, a NAC gene from the ‘Yunxiang’ narcissus variety, to evaluate its potential [...] Read more.
Background/Objectives: NAC transcription factors are key regulators of stress responses, yet their roles in Narcissus tazetta L. var. chinensis remain uncharacterized. This study aimed to isolate and functionally analyze NtNACa, a NAC gene from the ‘Yunxiang’ narcissus variety, to evaluate its potential in enhancing abiotic stress tolerance. Methods: NtNACa was cloned and its expression pattern under heat, salt, and ABA treatments was assessed via qRT-PCR. Subcellular localization was determined using GFP fusion in tobacco. NtNACa was overexpressed in Arabidopsis thaliana through floral dip transformation, and transgenic lines were subjected to NaCl, ABA, and drought stress assays. Results: The results showed that NtNACa has high homology with monocot NAC family members and possesses typical NAC transcription factor features. Further analyses revealed that NtNACa localizes to the nucleus, and tissue-specific expression analysis indicated that it is highly expressed in leaves, followed by roots and bulbs. The transcriptional expression of NtNACa is differentially regulated in response to 100 mM NaCl, 100 μM ABA, and 50 °C temperature stress. Overexpression of NtNACa in A. thaliana produced transgenic lines with significantly higher germination rates under ABA and NaCl treatments. Soil-grown transgenic A. thaliana plants overexpressing NtNACa showed markedly increased drought stress. Moreover, NtNACa confers drought resilience by coordinately suppressing oxidative damage (via reduced O2· production rate and MDA accumulation and elevated AtCAT2 expression), enhancing osmotic adjustment (through AtP5CR-mediated proline biosynthesis), and activating core stress-signaling components such as AtRD29A and AtSnRK2.4. Conclusions: Taken together, these results indicate that heterologous overexpression of NtNACa from ‘Yunxiang’ (N. tazetta) confers enhanced drought and salt tolerance in A. thaliana. Full article
(This article belongs to the Special Issue 5Gs in Crop Genetic and Genomic Improvement: 2025–2026)
Show Figures

Figure 1

25 pages, 15185 KB  
Article
Integrated Metabolomics and Transcriptomics Analysis Reveals the Biosynthetic Mechanism of Isoquinoline Alkaloids in Different Tissues of Hypecoum erectum L.
by Sainan Wang, Yan Du and Meiqing Yang
Curr. Issues Mol. Biol. 2026, 48(3), 309; https://doi.org/10.3390/cimb48030309 - 13 Mar 2026
Viewed by 156
Abstract
Hypecoum erectum L. is a medicinal plant known for its high content of isoquinoline alkaloids (IQAs), a class of compounds with diverse pharmacological activities. To elucidate the biosynthetic mechanisms and tissue-specific accumulation of IQAs, we integrated HPLC-MS/MS-based metabolomic analysis with RNA sequencing (RNA-seq) [...] Read more.
Hypecoum erectum L. is a medicinal plant known for its high content of isoquinoline alkaloids (IQAs), a class of compounds with diverse pharmacological activities. To elucidate the biosynthetic mechanisms and tissue-specific accumulation of IQAs, we integrated HPLC-MS/MS-based metabolomic analysis with RNA sequencing (RNA-seq) transcriptomic profiling across the roots, stems, and leaves of H. erectum. Metabolomic analysis identified twenty-six IQAs as differentially accumulated metabolites (DAMs) among the three tissues, while transcriptomic analysis revealed twenty-two categories of differentially expressed genes (DEGs) involved in IQA biosynthesis. KEGG pathway enrichment analysis demonstrated that nine DAMs and twenty categories of DEGs were co-enriched in the IQA biosynthetic pathway of Hypecoum erectum. Notably, seven key DAMs—Stylopine, Protopine, Magnoflorine, Corydaline, Tetrahydropalmatine, Sanguinarine, and Palmatine—preferentially accumulated in the root, concomitant with the elevated expression of eleven root-specific DEGs, including GOT1, CYP719A14, SMT, CYP719A1_2_3_13, PSOMT1, E2.1.1.116, CYP80B1, E2.1.1.128, NCS, ASP5, and BBE1. Gene–metabolite correlation network analysis further identified nine DAMs and fifteen DEGs closely associated with IQA biosynthesis, highlighting key enzymatic regulators of alkaloid accumulation. Additionally, several transcription factor (TF) families, including bHLH, NAC, and ERF families, were predicted to participate in the transcriptional regulation of IQA-related genes. Collectively, these findings demonstrate that roots are the primary site of IQA biosynthesis in H. erectum and provide a molecular framework for understanding the regulation and utilization of its medicinally active components. Full article
Show Figures

Figure 1

13 pages, 622 KB  
Article
Immune-Related Adverse Events in Breast Cancer Patients Who Received Neoadjuvant Chemotherapy with Pembrolizumab: What Needs to Be Managed Before Surgery
by Jeeyeon Lee, Byeongju Kang, Joon Suk Moon, Taegyu Um, Jung Eun Choi, Moohyun Lee, Yee Soo Chae, Soo Jung Lee, In Hee Lee, Soo Jung Lee, Su Hwan Kang, Sung Ae Koh, Sun Hee Kang, Keon Uk Park, Hyera Kim and Ho Yong Park
Cancers 2026, 18(6), 919; https://doi.org/10.3390/cancers18060919 - 12 Mar 2026
Viewed by 172
Abstract
Background: Pembrolizumab is a novel immunotherapy agent that improves oncological outcomes for various cancers. This study aimed to investigate immune-related adverse events (irAEs) that occurred after neoadjuvant chemotherapy (NAC) with pembrolizumab for triple-negative breast cancer (TNBC) and to identify fatal irAEs that should [...] Read more.
Background: Pembrolizumab is a novel immunotherapy agent that improves oncological outcomes for various cancers. This study aimed to investigate immune-related adverse events (irAEs) that occurred after neoadjuvant chemotherapy (NAC) with pembrolizumab for triple-negative breast cancer (TNBC) and to identify fatal irAEs that should be addressed before surgery under general anesthesia. Methods: A total of 82 patients who received NAC with pembrolizumab followed by surgery were reviewed based on their medical records. All irAEs during NAC were evaluated and classified into nine categories: systemic, dermatologic, central nervous, musculoskeletal, endocrine, gastrointestinal, respiratory, ocular, and hematologic systems. Clinicopathologic characteristics were compared between patients with and without irAEs, and cases in which surgery was postponed due to irAEs were reviewed and analyzed. Results: Fifty-nine patients (72.0%) experienced irAEs after NAC with pembrolizumab. The mean NAC period was 140.3 days, with a 39.8-day window to surgery. The most common and second most common irAEs were myalgia (n = 33, 40.3%) and skin rash/dermatitis (n = 31, 37.8%), respectively. There were 1 case (1.2%) of adrenal insufficiency and 16 cases (19.5%) of thyroid dysfunction as irAEs. In 6 cases (7.3%), surgery was postponed due to irAEs [systemic (n = 2, 33.3%); endocrine (n = 3, 50.0%); increased transaminase (n = 1, 16.7%)], with a mean delay of 64.5 days (range, 57–80 days). Conclusions: IrAEs following NAC with pembrolizumab in TNBC were diverse and included those severe enough to affect the timing of surgery under general anesthesia. These irAEs should be monitored continuously during NAC and detected early to address them when they occur. Full article
Show Figures

Figure 1

34 pages, 1930 KB  
Review
Molecular and Physiological Regulation of Premature Leaf Senescence in Rice
by Yifan Sun, Jing Wang, Yanchun Yu, Limin Wu and Banpu Ruan
Plants 2026, 15(6), 869; https://doi.org/10.3390/plants15060869 - 11 Mar 2026
Viewed by 334
Abstract
Premature leaf senescence is a major constraint on rice (Oryza sativa L.) productivity and yield stability, particularly under increasingly frequent environmental stresses. Unlike developmentally programmed senescence, premature senescence is characterized by early and uncontrolled activation of senescence pathways, leading to accelerated chlorophyll [...] Read more.
Premature leaf senescence is a major constraint on rice (Oryza sativa L.) productivity and yield stability, particularly under increasingly frequent environmental stresses. Unlike developmentally programmed senescence, premature senescence is characterized by early and uncontrolled activation of senescence pathways, leading to accelerated chlorophyll degradation, oxidative damage, impaired photosynthesis, and reduced grain filling. Recent studies have revealed that premature senescence in rice is governed by a complex regulatory network integrating reactive oxygen species (ROS) homeostasis, phytohormone signaling, transcriptional regulation, and environmental cues. Central signaling hubs involving abscisic acid, ethylene, jasmonic acid, cytokinins, and gibberellins interact extensively with ROS metabolism to fine-tune senescence onset and progression. These upstream signals converge on key transcription factor families, particularly NAC and WRKY proteins, which directly regulate senescence-associated genes responsible for chloroplast dismantling, nutrient remobilization, and programmed cell death. Moreover, abiotic stresses such as drought, salinity, temperature extremes, and nitrogen deficiency commonly trigger premature senescence through a shared ABA–ROS signaling module. This review systematically summarizes recent advances in the physiological characteristics, molecular mechanisms, and environmental regulation of premature leaf senescence in rice, and discusses emerging genetic and agronomic strategies to delay senescence. A deeper understanding of senescence regulatory networks will facilitate the development of rice cultivars with prolonged photosynthetic duration, improved stress resilience, and enhanced yield stability under changing climatic conditions. Full article
(This article belongs to the Special Issue Crop Yield Improvements Through Genetic and Biological Breeding)
Show Figures

Figure 1

13 pages, 655 KB  
Article
Gene Expression Profiles Associated with Molecular Subtypes and Pathological Response to Neoadjuvant Treatment in Surgical Breast Cancer
by Sonia Baulies, Miguel Angel Molina-Vila, Francesc Tresserra, Ignacio Rodríguez, Yannick Hurni, Ana Giménez-Capitán, Silvia Cabrera and Rafael Fábregas
Int. J. Mol. Sci. 2026, 27(6), 2564; https://doi.org/10.3390/ijms27062564 - 11 Mar 2026
Viewed by 175
Abstract
Chemotherapy has significantly improved survival in breast cancer and, in the neoadjuvant setting, contributes to tumor downstaging and increased rates of breast-conserving surgery while enabling in vivo assessment of tumor biology and chemosensitivity. Pathological complete response (pCR) is a key endpoint associated with [...] Read more.
Chemotherapy has significantly improved survival in breast cancer and, in the neoadjuvant setting, contributes to tumor downstaging and increased rates of breast-conserving surgery while enabling in vivo assessment of tumor biology and chemosensitivity. Pathological complete response (pCR) is a key endpoint associated with favorable outcomes; however, tumor heterogeneity highlights the need for reliable predictive biomarkers. This study evaluated the mRNA expression of 13 candidate genes in relation to molecular subtypes and pathological response to neoadjuvant chemotherapy (NAC) to identify potential predictive and prognostic markers. Pretreatment core biopsies from 92 patients receiving NAC were analyzed by quantitative RT-PCR. Molecular subtypes were determined by immunohistochemistry (ER, PR, HER2, Ki67), and pathological response was classified using the Miller–Payne scale as good (MP 4/5) or poor (MP 1–3). Multivariate logistic regression assessed associations between gene expression, subtype, and pCR. Hormone receptor-positive tumors showed significantly higher expression of AXL, FGFR1, RAP80, GAS6, BTRCP, and ZNF217. Significant associations with pCR were observed for AXL, FGFR1, YAP, and BRCA1. Low AXL and BRCA1 expression levels were independently associated with pCR. In addition, their combined low expression was associated most strongly with breast pCR in this cohort. These findings should be interpreted as exploratory and require validation in independent cohorts. Full article
Show Figures

Figure 1

22 pages, 1415 KB  
Review
Potential Therapeutic Strategies for Steatosis, Oxidative Stress, Inflammation, and Fibrosis in Liver Disease
by Pablo Muriel, Eduardo E. Vargas-Pozada, Linda Vanessa Márquez-Quiroga and Erika Ramos-Tovar
Int. J. Mol. Sci. 2026, 27(6), 2546; https://doi.org/10.3390/ijms27062546 - 10 Mar 2026
Viewed by 208
Abstract
Liver disease encompasses a wide range of conditions, each requiring tailored therapeutic approaches. This review describes and critically discusses treatments with robust evidence for improving liver health. Ursodeoxycholic acid (UDCA) is a drug approved by the Food and Drug Administration of the USA [...] Read more.
Liver disease encompasses a wide range of conditions, each requiring tailored therapeutic approaches. This review describes and critically discusses treatments with robust evidence for improving liver health. Ursodeoxycholic acid (UDCA) is a drug approved by the Food and Drug Administration of the USA to treat primary biliary cholangitis (PBC). In addition, UDCA has been demonstrated to protect against metabolic dysfunction-associated steatohepatitis, fibrosis, and drug-induced liver injury (DILI). The mechanism of action of UDCA has been attributed not only to decreasing the effects of toxic bile acids but also to protecting mitochondrial integrity and function, as well as to antioxidant, anti-inflammatory, and anti-apoptotic activities. UDCA can scavenge reactive oxygen species (ROS) and activate the nuclear factor-E2-related factor-2 (Nrf2) pathway, thereby exerting antioxidant activity. The anti-inflammatory activity of UDCA is associated with its ability to inhibit the nuclear factor-κB pathway. Pirfenidone is a well-recognized antifibrotic drug for the treatment of idiopathic pulmonary fibrosis; its effects on liver fibrosis have also been demonstrated. Pirfenidone exerts anti-inflammatory effects by attenuating the nucleotide-binding oligomerization domain-like receptor 3 inflammasome signaling pathway. The antioxidant actions of pirfenidone are associated with its ability to upregulate the Nrf2 pathway. Both the anti-inflammatory and antioxidant properties of pirfenidone act together to attenuate lung and liver fibrosis, decreasing transforming growth factor-β levels, inhibiting profibrogenic hepatic stellate cell activation, and increasing extracellular matrix degradation. Methyltransferases utilize S-adenosyl-L-methionine (SAM) as a methyl donor for most transmethylation reactions in the body. SAM increases reduced glutathione (GSH) levels, exerting important antioxidant effects. Evidence indicates that SAM prevents fibrosis and attenuates hepatocellular carcinoma development, improving patient survival. N-acetylcysteine (NAC) is a precursor to L-cysteine and GSH and is used in clinical settings to treat cancer, nephropathy, heart disease, pulmonary fibrosis, polycystic ovary syndrome, and influenza. Regarding the liver, NAC is the most accepted treatment for DILI, especially after paracetamol overdose. Owing to its antioxidant and anti-inflammatory actions, NAC has been successfully used to treat chronic liver injuries, including hepatosteatosis and fibrosis. Therefore, ursodeoxycholic acid, pirfenidone, S-adenosyl-L-methionine, and N-acetylcysteine could represent therapeutic strategies for the treatment of liver pathologies. Full article
(This article belongs to the Section Molecular Pathology, Diagnostics, and Therapeutics)
Show Figures

Figure 1

21 pages, 5744 KB  
Article
Oxidative Stress Signaling and Regenerative Responses in a Larval Zebrafish Model of Retinal Light Damage
by Ignacio Babiloni-Chust, Luigi Donato, Samuele Sartori, Matthias Carl, Darin Zerti, Carmela Rinaldi, Vincenzo Flati, Marco Feligioni, Rosalia D’Angelo, Rita Maccarone and Lucia Poggi
Antioxidants 2026, 15(3), 348; https://doi.org/10.3390/antiox15030348 - 10 Mar 2026
Viewed by 251
Abstract
The zebrafish (Danio rerio) is a widely used model for studying retinal regeneration. In adults, light-induced retinal damage (LIRD) serves as an environmental phototoxic stressor that induces photoreceptor degeneration and regenerative responses, whereas larval models remain comparatively underexplored. In this study, [...] Read more.
The zebrafish (Danio rerio) is a widely used model for studying retinal regeneration. In adults, light-induced retinal damage (LIRD) serves as an environmental phototoxic stressor that induces photoreceptor degeneration and regenerative responses, whereas larval models remain comparatively underexplored. In this study, we validate a larval LIRD paradigm as a versatile system for studying acute phototoxic injury and early regeneration-associated transcriptomic responses. Using high-throughput RNA sequencing, we profiled retinal transcriptional changes 48 h post-LIRD and complemented these findings with targeted pharmacological modulation of redox signaling. Larval LIRD induced robust activation of canonical apoptotic and regeneration-associated pathways, recapitulating key features of adult LIRD models while engaging previously underexplored gene-regulatory networks. Among these, pathways related to oxidative stress responses, antioxidant enzymes, and oxygen metabolism were prominently regulated. Functional attenuation of oxidative stress using the N-acetylcysteine reduced phototoxic injury-induced apoptosis and proliferation, while inflammatory markers remained largely unaffected. Conversely, subtoxic intra-retinal hydrogen peroxide exposure was sufficient to induce proliferative markers without eliciting apoptosis response. At the signaling level, modulation of oxidative stress influenced components of growth-associated signaling pathways activated during early injury response. Together, these findings support a role for oxidative stress as a key component of early injury-associated signaling in larval retinal regeneration. This study integrates histological, transcriptomic, and pharmacological analyses to interrogate early regenerative programs and provides a comprehensive transcriptomic resource for exploring redox-associated mechanisms in retinal injury and repair. Full article
(This article belongs to the Special Issue Reactive Oxygen Species Signalling and Oxidative Stress in Fish)
Show Figures

Figure 1

16 pages, 812 KB  
Article
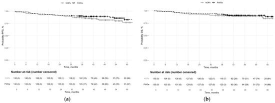
Obesity and Tolerance to Neoadjuvant Chemotherapy in Breast Cancer: A Retrospective Cohort Study
by Madalena Silveira Machado, Madalena P. Santos, Catarina Relvas, Margarida Quinto Pereira, Mafalda Sousa, Eugénia Santos, Bernardo Alves Pereira, Joana Parreira, Susana Esteves, Paula Ravasco, Fátima Vaz and Hugo Nunes
Cancers 2026, 18(6), 889; https://doi.org/10.3390/cancers18060889 - 10 Mar 2026
Viewed by 184
Abstract
Background: Obesity is increasingly prevalent and has been associated with poorer outcomes and higher toxicity in breast cancer treatment. Its impact on tolerance to neoadjuvant chemotherapy (NAC) remains understudied. Objectives: This study aimed to determine the prevalence of overweight and obesity among patients [...] Read more.
Background: Obesity is increasingly prevalent and has been associated with poorer outcomes and higher toxicity in breast cancer treatment. Its impact on tolerance to neoadjuvant chemotherapy (NAC) remains understudied. Objectives: This study aimed to determine the prevalence of overweight and obesity among patients with high-risk early-stage breast cancer (BC) treated with NAC. It evaluated the association between obesity and clinically significant chemotherapy-related toxicities. Pathological complete response (pCR), progression-free survival (PFS), and overall survival (OS) were explored. Methods: This is a retrospective cohort study on stage I–III BC assigned for NAC between January 2020 and December 2022. Patients were categorized by body mass index. Patients with obesity were compared with an age-matched non-obese cohort (1:1). The toxicities evaluated were hospitalization, dose reduction, treatment delay, or treatment discontinuation. Multivariable logistic regression models were performed, adjusting for age, comorbidity burden, and carboplatin use. Results: Of 487 eligible patients, 31.2% were overweight and 27.7% were obese. Peripheral neuropathy was more frequent and severe in obese patients (63.7% vs. 36.3%, p < 0.001). In multivariable analysis, obesity was independently associated with increased odds of global toxicity (OR = 1.83; 95% CI: 1.08–3.15; p = 0.027) and treatment discontinuation (OR = 2.30; 95% CI: 1.18–4.59; p = 0.016). Conclusions: Obesity is highly prevalent among high-risk early BC patients. It is independently associated with increased treatment-related toxicity, particularly discontinuation. These findings highlight the need for closer toxicity monitoring in patients with obesity. Reliance on BMI alone may be insufficient, underscoring the potential value of incorporating body composition assessment into clinical practice. Full article
(This article belongs to the Special Issue Neoadjuvant Therapy of Breast Cancer)
Show Figures

Graphical abstract

Back to TopTop