Heterologous Overexpression of NtNACa from Narcissus tazetta L. var. chinensis ‘Yunxiang’ Enhances Drought and Salt Stress Resistance in Arabidopsis thaliana
Abstract
1. Introduction
2. Materials and Methods
2.1. Narcissus Cultivation Conditions
2.2. Gene Cloning and qRT-PCR Analysis
2.3. Construction of pCAMBIA1300::NtNACa::GFP Recombinant Vector and Subcellular Localization Analysis in Tobacco
2.4. Floral Dip Transformation of A. thaliana with NtNACa-GFP Construct and Selection of Homozygous Transgenic Lines
2.5. ABA and NaCl Stress Assays in Wild-Type and Transgenic A. thaliana
2.6. Drought Stress Assays in Wild-Type and Transgenic A. thaliana
2.7. Statistical Analysis
3. Results
3.1. Tissue-Specific Expression of the NtNACa Gene in ‘Yunxiang’ Narcissus
3.2. Phylogenetic Analysis and Sequence Homology of NtNACa Proteins
3.3. Subcellular Localization of NtNACa
3.4. Transcriptional Response of NtNACa to Heat, NaCl, and ABA Treatments
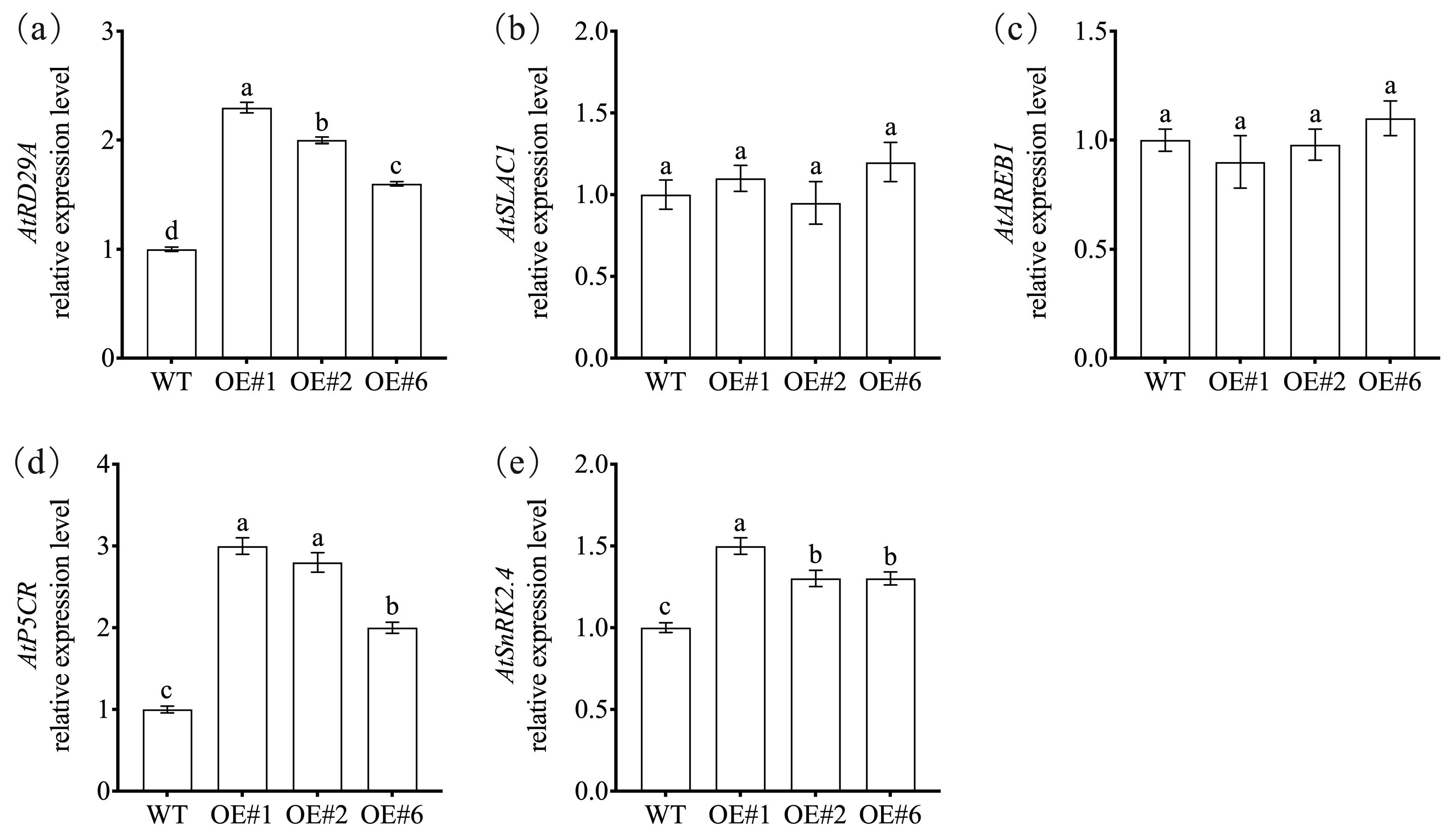
3.5. Stress Response Phenotypes and Transcriptional Regulation in NtNACa-Overexpressing Arabidopsis
4. Discussion
5. Conclusions
Author Contributions
Funding
Institutional Review Board Statement
Informed Consent Statement
Data Availability Statement
Conflicts of Interest
Abbreviations
| TF | Transcription factor |
| NLS | Nuclear localization signal |
| ORF | Open reading frame |
| OE | Overexpressing |
| qRT-PCR | Quantitative real-time polymerase chain reaction |
References
- Nelson, G.C.; van der Mensbrugghe, D.; Ahammad, H.; Blanc, E.; Calvin, K.; Hasegawa, T.; Havlik, P.; Heyhoe, E.; Kyle, P.; Lotze-Campen, H.; et al. Agriculture and climate change in global scenarios: Why don’t the models agree. Agric. Econ. 2014, 45, 85–101. [Google Scholar] [CrossRef]
- Farooq, M.; Wahid, A.; Kobayashi, N.; Fujita, D.; Basra, S.M.A. Plant drought stress: Effects, mechanisms and management. Agron. Sustain. Dev. 2009, 29, 185–212. [Google Scholar] [CrossRef]
- Prasad, P.V.V.; Pisipati, S.R.; Momčilović, I.; Ristic, Z. Independent and combined effects of high temperature and drought stress during grain filling on plant yield and chloroplast EF-Tu expression in spring wheat. J. Agron. Crop Sci. 2011, 197, 430–441. [Google Scholar] [CrossRef]
- Praba, M.L.; Cairns, J.E.; Babu, R.C.; Lafitte, H.R. Identification of physiological traits underlying cultivar differences in drought tolerance in rice and wheat. J. Agron. Crop Sci. 2009, 195, 30–46. [Google Scholar] [CrossRef]
- Gupta, A.; Rico-Medina, A.; Caño-Delgado, A.I. The physiology of plant responses to drought. Science 2020, 368, 266–269. [Google Scholar] [CrossRef]
- Su, B.D.; Huang, J.L.; Fischer, T.; Wang, Y.J.; Kundzewicz, Z.W.; Zhai, J.Q.; Sun, H.M.; Wang, A.Q.; Zeng, X.F.; Wang, G.J.; et al. Drought losses in China might double between the 1.5 °C and 2.0 °C warming. Proc. Natl. Acad. Sci. USA 2018, 115, 10600–10605. [Google Scholar] [CrossRef]
- Miller, S.H.; Browne, P.; Prigent-Combaret, C.; Combes-Meynet, E.; Morrissey, J.P.; O’Gara, F. Biochemical and genomic comparison of inorganic phosphate solubilization in Pseudomonas species. Environ. Microbiol. Rep. 2010, 2, 403–411. [Google Scholar] [CrossRef]
- Verslues, P.E.; Agarwal, M.; Katiyar-Agarwal, S.; Zhu, J.H.; Zhu, J.K. Methods and concepts in quantifying resistance to drought, salt and freezing, abiotic stresses that affect plant water status. Plant J. 2006, 45, 523–539. [Google Scholar] [CrossRef] [PubMed]
- Gill, S.S.; Tuteja, N. Reactive oxygen species and antioxidant machinery in abiotic stress tolerance in crop plants. Plant Physiol. Biochem. 2010, 48, 909–930. [Google Scholar] [CrossRef] [PubMed]
- Jaleel, C.A.; Manivannan, P.; Sankar, B.; Kishorekumar, A.; Gopi, R.; Somasundaram, R.; Panneerselvam, R. Induction of drought stress tolerance by ketoconazole in Catharanthus roseus is mediated by enhanced antioxidant potentials and secondary metabolite accumulation. Colloids Surf. B Biointerfaces 2007, 60, 201–206. [Google Scholar] [CrossRef] [PubMed]
- Cao, Y.Y.; Yang, W.B.; Ma, J.; Cheng, Z.Q.; Zhang, X.; Liu, X.M.; Wu, X.L.; Zhang, J.H. An integrated framework for drought stress in plants. Int. J. Mol. Sci. 2024, 25, 9347. [Google Scholar] [CrossRef]
- Fanourakis, D.; Makraki, T.; Spyrou, G.P.; Karavidas, I.; Tsaniklidis, G.; Ntatsi, G. Environmental drivers of fruit quality and shelf life in greenhouse vegetables: Species-specific insights. Agronomy 2025, 16, 48. [Google Scholar] [CrossRef]
- Zhang, H.; Zhao, J.; Zhang, T.X.; Wang, G.Y.; Han, Z.X.; Meng, Y.M.; Bi, J.R.; Ren, Y.C.; Yang, M.S. Research progress of NAC transcription factors in woody plants. Front. Plant Sci. 2025, 16, 1592898. [Google Scholar] [CrossRef]
- Jiang, D.G.; Zhou, L.Y.; Chen, W.T.; Ye, N.H.; Xia, J.X.; Zhuang, C.X. Overexpression of a microRNA-targeted NAC transcription factor improves drought and salt tolerance in Rice via ABA-mediated pathways. Rice 2019, 12, 76. [Google Scholar] [CrossRef] [PubMed]
- Olsen, A.N.; Ernst, H.A.; Lo Leggio, L.; Skriver, K. NAC transcription factors: Structurally distinct, functionally diverse. Trends Plant Sci. 2005, 10, 79–87. [Google Scholar] [CrossRef] [PubMed]
- Mallory, A.C.; Dugas, D.V.; Bartel, D.P.; Bartel, B. MicroRNA regulation of NAC-domain targets is required for proper formation and separation of adjacent embryonic, vegetative, and floral organs. Curr. Biol. 2004, 14, 1035–1046. [Google Scholar] [CrossRef]
- Hao, Y.J.; Wei, W.; Song, Q.X.; Chen, H.W.; Zhang, Y.Q.; Wang, F.; Zou, H.F.; Lei, G.; Tian, A.G.; Zhang, W.K.; et al. Soybean NAC transcription factors promote abiotic stress tolerance and lateral root formation in transgenic plants. Plant J. 2011, 68, 302–313. [Google Scholar] [CrossRef]
- Jeong, J.S.; Kim, Y.S.; Baek, K.H.; Jung, H.; Ha, S.H.; Do Choi, Y.; Kim, M.; Reuzeau, C.; Kim, J.K. Root-specific expression of OsNAC10 improves drought tolerance and grain yield in rice under field drought conditions. Plant Physiol. 2010, 153, 185–197. [Google Scholar] [CrossRef]
- Dong, Y.; Yang, X.; Liu, J.; Wang, B.H.; Liu, B.L.; Wang, Y.Z. Pod shattering resistance associated with domestication is mediated by a NAC gene in soybeana. Nat. Commun. 2014, 5, 3352. [Google Scholar] [CrossRef]
- Li, Y.; Shi, Y.; Zhu, Z.D.; Chen, X.; Cao, K.W.; Li, J.T.; Liu, C.S.; Li, D. Transcriptome-wide excavation and expression pattern analysis of the NAC transcription factors in methyl jasmonate- and sodium chloride-induced Glycyrrhiza uralensis. Sci. Rep. 2025, 15, 6867. [Google Scholar] [CrossRef] [PubMed]
- Yang, Y.J.; He, M.Y.; Zhang, K.X.; Zhai, Z.Y.; Cheng, J.L.; Tian, Y.; Cao, X.; Liu, L. Genome-wide analysis of NAC transcription factor gene family in Morus atropurpurea. Plants 2025, 14, 1179. [Google Scholar] [CrossRef]
- Meng, X.; Feng, C.; Chen, Z.; Shah, F.A.; Zhao, Y.; Fei, Y.Z.; Zhao, H.F.; Ren, J. Genome-wide analyses of the NAC transcription factor gene family in Acer palmatum provide valuable insights into the natural process of leaf senescence. PeerJ 2025, 13, e18817. [Google Scholar] [CrossRef]
- Larkindale, J.; Vierling, E. Core genome responses involved in acclimation to high temperature. Plant Physiol. 2008, 146, 748–761. [Google Scholar] [CrossRef]
- Alshareef, N.O.; Otterbach, S.L.; Allu, A.D.; Woo, Y.H.; de Werk, T.; Kamranfar, I.; Mueller-Roeber, B.; Tester, M.; Balazadeh, S.; Schmöckel, S.M. NAC transcription factors ATAF1 and ANAC055 affect the heat stress response in Arabidopsis. Sci. Rep. 2022, 12, 11264. [Google Scholar] [CrossRef] [PubMed]
- Wang, G.Q.; Yang, B.Y.; Wu, J.C.; Luo, P.; Anwar, M.; Allan, A.C.; Kui, L.W.; Espley, R.V.; Zeng, L.H. Identification of genes involved in flavonoid biosynthesis of chinese narcissus (Narcissus tazetta L. var. chinensis). Plant Mol. Biol. Rep. 2018, 36, 812–821. [Google Scholar] [CrossRef]
- Livak, K.J.; Schmittgen, T.D. Analysis of relative gene expression data using real-time quantitative PCR and the 2−ΔΔCT method. Methods 2001, 25, 402–408. [Google Scholar] [CrossRef]
- Li, P.F.; He, Q.Y.; Jin, J.F.; Liu, Y.; Wen, Y.X.; Zhao, K.; Mao, G.Q.; Fan, W.; Yang, J.L. Tomato oxalyl-CoA synthetase degrades oxalate and affects fruit quality. Front. Plant Sci. 2022, 13, 951386. [Google Scholar] [CrossRef] [PubMed]
- Jin, J.F.; Zhu, H.H.; He, Q.Y.; Li, P.F.; Fan, W.; Xu, J.M.; Yang, J.L.; Chen, W.W. The tomato transcription factor SlNAC063 is required for aluminum tolerance by regulating SlAAE3-1 expression. Front. Plant Sci. 2022, 13, 826954. [Google Scholar] [CrossRef]
- Clough, S.J.; Bent, A.F. Floral dip:: A simplified method for Agrobacterium-mediated transformation of Arabidopsis thaliana. Plant J. 1998, 16, 735–743. [Google Scholar] [CrossRef]
- Wei, M.-Y.; Liu, J.-Y.; Li, H.; Hu, W.-J.; Shen, Z.-J.; Qiao, F.; Zhu, C.-Q.; Chen, J.; Liu, X.; Zheng, H.-L. Proteomic analysis reveals the protective role of exogenous hydrogen sulfide against salt stress in rice seedlings. Nitric Oxide 2021, 111–112, 14–30. [Google Scholar] [CrossRef]
- Lv, C.T.; Li, H.; Hua, R.M. Physiological and transcriptomic analyses unveil the preservation mechanism of Streptomyces albulus Ah11601 fermentation broth on ‘Shine Muscat’ grapes. Genes 2025, 16, 468. [Google Scholar] [CrossRef] [PubMed]
- Xu, J.M.; Wang, Z.Q.; Wang, J.Y.; Li, P.F.; Jin, J.F.; Chen, W.W.; Fan, W.; Kochian, L.V.; Zheng, S.J.; Yang, J.L. Low phosphate represses histone deacetylase complex1 to regulate root system architecture remodeling in Arabidopsis. New Phytol. 2020, 225, 1732–1745. [Google Scholar] [CrossRef] [PubMed]
- Nakashima, K.; Tran, L.S.P.; Nguyen, D.V.; Fujita, M.; Maruyama, K.; Todaka, D.; Ito, Y.; Hayashi, N.; Shinozaki, K.; Yamaguchi-Shinozaki, K. Functional analysis of a NAC-type transcription factor OsNAC6 involved in abiotic and biotic stress-responsive gene expression in rice. Plant J. 2007, 51, 617–630. [Google Scholar] [CrossRef]
- Tran, L.S.P.; Nakashima, K.; Sakuma, Y.; Simpson, S.D.; Fujita, Y.; Maruyama, K.; Fujita, M.; Seki, M.; Shinozaki, K.; Yamaguchi-Shinozaki, K. Isolation and functional analysis of Arabidopsis stress-inducible NAC transcription factors that bind to a drought-responsive cis-element in the early responsive to dehydration stress 1 promoter. Plant Cell 2004, 16, 2481–2498. [Google Scholar] [CrossRef] [PubMed]
- Han, K.J.; Zhao, Y.; Sun, Y.H.; Li, Y. NACs, generalist in plant life. Plant Biotechnol. J. 2023, 21, 2433–2457. [Google Scholar] [CrossRef]
- Puranik, S.; Sahu, P.P.; Srivastava, P.S.; Prasad, M. NAC proteins: Regulation and role in stress tolerance. Trends Plant Sci. 2012, 17, 369–381. [Google Scholar] [CrossRef]
- Yang, Q.; Chen, Y.; Tang, X.H.; Zuo, X.Q.; Li, J.; Li, M.Y.; Sui, S.Z.; Liu, D.F. Genome-wide identification of NAC transcription factors in Chimonanthus praecox and transgene CpNAC30 affects salt and drought tolerance in Arabidopsis. Horticulturae 2024, 10, 595. [Google Scholar] [CrossRef]
- Luke, L.P.; Sathik, M.B.M.; Thomas, M.; Kuruvilla, L.; Sumesh, K.V. Expression of NAC transcription factor is altered under intermittent drought stress and re-watered conditions in Hevea brasiliensis. J. Plant Biotechnol. 2017, 44, 142–148. [Google Scholar] [CrossRef]
- Zhang, X.; Long, Y.; Chen, X.X.; Zhang, B.L.; Xin, Y.F.; Li, L.Y.; Cao, S.L.; Liu, F.H.; Wang, Z.G.; Huang, H.; et al. A NAC transcription factor OsNAC3 positively regulates ABA response and salt tolerance in rice. BMC Plant Biol. 2021, 21, 546. [Google Scholar] [CrossRef]
- Liu, S.X.; Liu, X.H.; Zhang, X.M.; Chang, S.J.; Ma, C.; Qin, F. Co-expression of ZmVPP1 with ZmNAC111 confers robust drought resistance in maize. Genes 2023, 14, 8. [Google Scholar] [CrossRef]
- Fujita, M.; Fujita, Y.; Maruyama, K.; Seki, M.; Hiratsu, K.; Ohme-Takagi, M.; Tran, L.S.P.; Yamaguchi-Shinozaki, K.; Shinozaki, K. A dehydration-induced NAC protein, RD26, is involved in a novel ABA-dependent stress-signaling pathway. Plant J. 2004, 39, 863–876. [Google Scholar] [CrossRef] [PubMed]
- Sun, Y.M.; Jiang, C.X.; Jiang, R.Q.; Wang, F.Y.; Zhang, Z.G.; Zeng, J.J. A novel NAC transcription factor from Eucalyptus, EgNAC141, positively regulates lignin biosynthesis and increases lignin deposition. Front. Plant Sci. 2021, 12, 642090. [Google Scholar] [CrossRef] [PubMed]
- Zhu, Z.; Quan, R.; Chen, G.; Yu, G.; Li, X.; Han, Z.; Xu, W.; Li, G.; Shi, J.; Li, B. An R2R3-MYB transcription factor VyMYB24, isolated from wild grape Vitis yanshanesis J. X. Chen., regulates the plant development and confers the tolerance to drought. Front. Plant Sci. 2022, 13, 966641. [Google Scholar] [CrossRef] [PubMed]
- Liu, W.S.; Sikora, E.; Park, S.W. Plant growth-promoting rhizobacterium, Paenibacillus polymyxa CR1, upregulates dehydration-responsive genes, RD29A and RD29B, during priming drought tolerance in Arabidopsis. Plant Physiol. Biochem. 2020, 156, 146–154. [Google Scholar] [CrossRef]
- Chang, H.-C.; Tsai, M.-C.; Wu, S.-S.; Chang, I.-F. Regulation of ABI5 expression by ABF3 during salt stress responses in Arabidopsis thaliana. Bot. Stud. 2019, 60, 16. [Google Scholar] [CrossRef]
- Hasan, M.M.; Liu, X.D.; Waseem, M.; Yao, G.Q.; Alabdallah, N.M.; Jahan, M.S.; Fang, X.W. ABA activated SnRK2 kinases: An emerging role in plant growth and physiology. Plant Signal. Behav. 2022, 17, e2071024. [Google Scholar] [CrossRef]








Disclaimer/Publisher’s Note: The statements, opinions and data contained in all publications are solely those of the individual author(s) and contributor(s) and not of MDPI and/or the editor(s). MDPI and/or the editor(s) disclaim responsibility for any injury to people or property resulting from any ideas, methods, instructions or products referred to in the content. |
© 2026 by the authors. Licensee MDPI, Basel, Switzerland. This article is an open access article distributed under the terms and conditions of the Creative Commons Attribution (CC BY) license.
Share and Cite
Li, P.-F.; Wu, Y.; Rui, X.-Y.; Chen, X.-J.; Wei, M.-Y.; Li, H. Heterologous Overexpression of NtNACa from Narcissus tazetta L. var. chinensis ‘Yunxiang’ Enhances Drought and Salt Stress Resistance in Arabidopsis thaliana. Genes 2026, 17, 316. https://doi.org/10.3390/genes17030316
Li P-F, Wu Y, Rui X-Y, Chen X-J, Wei M-Y, Li H. Heterologous Overexpression of NtNACa from Narcissus tazetta L. var. chinensis ‘Yunxiang’ Enhances Drought and Salt Stress Resistance in Arabidopsis thaliana. Genes. 2026; 17(3):316. https://doi.org/10.3390/genes17030316
Chicago/Turabian StyleLi, Peng-Fei, Yong Wu, Xiang-Yun Rui, Xiao-Jing Chen, Ming-Yue Wei, and Huan Li. 2026. "Heterologous Overexpression of NtNACa from Narcissus tazetta L. var. chinensis ‘Yunxiang’ Enhances Drought and Salt Stress Resistance in Arabidopsis thaliana" Genes 17, no. 3: 316. https://doi.org/10.3390/genes17030316
APA StyleLi, P.-F., Wu, Y., Rui, X.-Y., Chen, X.-J., Wei, M.-Y., & Li, H. (2026). Heterologous Overexpression of NtNACa from Narcissus tazetta L. var. chinensis ‘Yunxiang’ Enhances Drought and Salt Stress Resistance in Arabidopsis thaliana. Genes, 17(3), 316. https://doi.org/10.3390/genes17030316

