Sign in to use this feature.

Years

Between: -

Subjects

remove_circle_outline
remove_circle_outline
remove_circle_outline
remove_circle_outline
remove_circle_outline
remove_circle_outline
remove_circle_outline
remove_circle_outline
remove_circle_outline

Journals

Article Types

Countries / Regions

remove_circle_outline
remove_circle_outline
remove_circle_outline

Search Results (115)

Search Parameters:
Keywords = Musa spp

Order results
Result details
Results per page
Select all
Export citation of selected articles as:
18 pages, 1781 KB  
Article
Phenolic Compounds, Phytohormones, and Biological Agents in the Post-Harvest Conservation of ‘Nanicão’ Banana Produced Under Deficit Irrigation
by Brencarla de Medeiros Lima, Valéria Fernandes de Oliveira Sousa, Lauriane Almeida dos Anjos Soares, Pedro Dantas Fernandes, Geovani Soares de Lima, Patrick Lima do Nascimento, Francisco Jean da Silva Paiva, Rafaela Aparecida Frazão Torres, Valeska Karolini Nunes Oliveira, Reynaldo Teodoro de Fátima, Luderlândio de Andrade Silva, Hans Raj Gheyi, Michack Djibo, Jessica Pedrosa de Lima and Evanilson Souza de Almeida
Horticulturae 2026, 12(3), 264; https://doi.org/10.3390/horticulturae12030264 - 25 Feb 2026
Viewed by 268
Abstract
Banana is a nutritious food of great global economic importance. However, water deficit negatively impacts banana plant development. Therefore, it is essential to study efficient water use and develop technologies capable of maintaining fruit quality after harvest, extending the shelf life, and reducing [...] Read more.
Banana is a nutritious food of great global economic importance. However, water deficit negatively impacts banana plant development. Therefore, it is essential to study efficient water use and develop technologies capable of maintaining fruit quality after harvest, extending the shelf life, and reducing losses. This study aimed to evaluate the efficiency of post-harvest applications of salicylic acid, gibberellic acid, and Trichoderma harzianum on ‘Nanicão’ banana fruits produced under controlled water deficit during different phenological stages, aiming to extend the shelf life and maintain nutritional quality. The experimental design was completely randomized in a 4 × 4 factorial scheme, comprising four irrigation management strategies based on crop evapotranspiration (ETc)—100% ETc throughout the cultivation cycle (E1) and 50% ETc during the juvenile stage (E2), fruiting stage (E3), and both juvenile/fruiting stages (E4)—and four post-harvest fruit conservation strategies: WC, control (distilled water); GA3, 200 mg L−1 of gibberellic acid; SA, 4.5 mM of salicylic acid; and TRIC, 1.5 mL L−1 of Trichoderma harzianum. There were four replications. The use of gibberellic acid at a concentration of 200 mg L−1 is the most effective strategy to extend the shelf life and maintain the post-harvest quality of ‘Nanicão’ banana fruits produced under water restrictions during the juvenile stage. Full article
(This article belongs to the Section Postharvest Biology, Quality, Safety, and Technology)
Show Figures

Figure 1

19 pages, 4016 KB  
Article
Species Composition, Natural Enemies, and Population Density of Pests in Greenhouse Banana Plantations of the Western Mediterranean Region of Türkiye
by Nurdan Topakcı
Insects 2026, 17(2), 214; https://doi.org/10.3390/insects17020214 - 18 Feb 2026
Viewed by 454
Abstract
Banana (Musa spp.) is an economically important crop whose relevance is steadily increasing in greenhouse-based production systems. This study aimed to determine pest and natural enemy species, and pest population densities in greenhouse banana fields in the Western Mediterranean Region of Türkiye. [...] Read more.
Banana (Musa spp.) is an economically important crop whose relevance is steadily increasing in greenhouse-based production systems. This study aimed to determine pest and natural enemy species, and pest population densities in greenhouse banana fields in the Western Mediterranean Region of Türkiye. Periodic studies were conducted every 15 days in 2.4 hectares for two consecutive years (2022–2023), while nonperiodic studies covered 128.9 hectares. Species were collected through visual inspection, sticky traps, and plant sampling. Seventeen pest species from four orders and eight families were recorded: Frankliniella intonsa (Trybom 1895), Thrips hawaiiensis (Morgan), Thrips tabaci Lindeman Hercinothrips femoralis (Reuter), Pentalonia nigronervosa Coquerel, Rhopalosiphum maidis (Fitch), Brachycaudus helichrysi (Kaltenbach), Tetranychus turkestani Ugarov & Nycolsky, Tetranychus urticae Koch, Spodoptera littoralis (Boisduval), Bemisia tabaci (Gennadius), Aleyrodes sp., Planococcus citri (Risso), Dysmicoccus brevipes (Cockerell), Ceroplastes rusci (L.), Coccus hesperidum L., and Chrysomphalus aonidum (L.). Twenty-two natural enemies from six orders and thirteen families were identified. This study also provides the first Turkish records of parasitoid Coccophagus shillongensis Hayat and Singh from C. hesperidum and Encarsia aurantii (Howard) from C. aonidum. The data showed that spider mites were the most abundant pests, while phytoseiid mites were their most abundant natural enemies. This study represents an important contribution to the scarce literature on insect and mite fauna associated with banana greenhouses in the Western Mediterranean Region. The findings are expected to contribute to the development of effective and sustainable pest management strategies for greenhouse banana production. Full article
(This article belongs to the Section Insect Pest and Vector Management)
Show Figures

Graphical abstract

10 pages, 827 KB  
Article
Valorization of Agro-Industrial Waste of Cajanus cajan Shell, Plantain Peels (Musa spp.) and Zea mays Cob Husk on Rumen Degradation Kinetics and Mitigation of Greenhouse Gases Production in Ruminants
by Jorge Quintana-Zamora, Verónica Andrade-Yucailla, Rocio Yagual-De La Cruz, Katherine Contreras-Barros, Marcos Barros-Rodríguez, Carlos Guishca-Cunuhay, Jorge Iraola and Andrés Pech-Cervantes
Ruminants 2026, 6(1), 11; https://doi.org/10.3390/ruminants6010011 - 2 Feb 2026
Viewed by 386
Abstract
The aim of this research was to evaluate the effect of agro-industrial waste from C. cajan shell, plantain peels (Musa spp.), and Zea mays cob husk on in situ ruminal degradation kinetics and in vitro gas production. Rumen degradation of DM in [...] Read more.
The aim of this research was to evaluate the effect of agro-industrial waste from C. cajan shell, plantain peels (Musa spp.), and Zea mays cob husk on in situ ruminal degradation kinetics and in vitro gas production. Rumen degradation of DM in the soluble fraction (A) was higher (p = 0.0001) in plantain peel (37.5%). The insoluble but potentially degradable fraction (B) was higher (p = 0.0001) in C. Cajan shell (71.7%). Regarding the degradation rate in percentage per hour (c: 0.13%/h), degradation potential (A + B: 86.3%) and effective degradation at the different passage rates (k) (0.02: 79.6%, 0.05: 72.4%, and 0.08: 67.3% k, respectively), it was higher (p < 0.05) in the plantain peels. Rumen NDF degradation was higher (p < 0.05) in plantain peels for all degradation parameters (A + B: 80.8, k: 0.02: 57.1%, 0.05: 44.9%, and 0.08: 37.6%, respectively). Total gas production kinetics (D; 333.3 mLgas/0.5 g degraded DM) and gas production at 24, 48, and 96 h were lower (p = 0.0001) in plantain peels. CH4 production was low (p = 0.0001) in plantain peels at all evaluated times (24 h: 32.7, 48 h: 37.9, and 96 h: 53.5 mL/0.5 g degraded DM). CO2 production was lower (p < 0.05) in C. Cajan and plantain peels at all evaluated times. Under the conditions of this study, it can be concluded that the use of plantain peels (Musa spp.) can be beneficial to animals when incorporated into the diet, as it contains a similar protein content to tropical forages, as well as low fiber content, high ruminal degradation, and secondary compounds that benefit energy maximization by mitigating enteric gas production in ruminants. Full article
Show Figures

Figure 1

18 pages, 1816 KB  
Article
A Biomass-Driven 3D Structural Model for Banana (Musa spp.) Fruit Fingers Across Genotypes
by Yongxia Liu, Ting Sun, Zhanwu Sheng, Bizun Wang, Lili Zheng, Yang Yang, Dao Xiao, Xiaoyan Zheng, Pingping Fang, Jing Cao and Wenyu Zhang
Agronomy 2026, 16(2), 204; https://doi.org/10.3390/agronomy16020204 - 14 Jan 2026
Viewed by 478
Abstract
Banana (Musa spp.) fruit morphology is a key determinant of yield and quality, yet modeling its 3D structural dynamics across genotypes remains difficult. To address this challenge, we developed a generic, biomass-driven 3D structural model for banana fruit fingers that quantitatively links [...] Read more.
Banana (Musa spp.) fruit morphology is a key determinant of yield and quality, yet modeling its 3D structural dynamics across genotypes remains difficult. To address this challenge, we developed a generic, biomass-driven 3D structural model for banana fruit fingers that quantitatively links growth and morphology. Field experiments were conducted over two growing seasons in Hainan, China, using three representative genotypes. Morphological traits, including outer and inner arc length, circumference, and pedicel length, along with dry (Wd) and fresh weight (Wf), were measured every 10 days after flowering until 110 days. Quantitative relationships between morphological traits and Wf, as well as between Wd and Wf, were fitted using linear or Gompertz functions with genotype-specific parameters. Based on these functions, a parameterized 3D reconstruction method was implemented in Python, combining biomass-driven growth equations, curvature geometry, and cross-sectional interpolation to simulate the fruit’s bending, tapering, and volumetric development. The resulting dynamic 3D models accurately reproduced genotype-specific differences in curvature, length, and shape with average fitting R2 > 0.95. The proposed biomass-driven 3D structural model provides a methodological framework for integrating banana fruit morphology into functional–structural plant models. Full article
(This article belongs to the Section Precision and Digital Agriculture)
Show Figures

Figure 1

22 pages, 3235 KB  
Article
Endophytic Bacteria from Alstonia scholaris (L.) R. Br Latex as Novel Biocontrol Agents Against Phytopathogens
by Sabiha Ramadani, Douglas J. H. Shyu, Endrika Widyastuti, Christoper Caesar Yudho Sutopo and Jue-Liang Hsu
Crops 2026, 6(1), 13; https://doi.org/10.3390/crops6010013 - 14 Jan 2026
Viewed by 436
Abstract
Latex-producing plants harbor unique microbial communities that may play important roles in host defense; however, their diversity and biocontrol potential remain largely unexplored. Characterizing these communities provides opportunities to identify novel microbial-derived antifungal agents for sustainable crop protection. Bacterial strains were isolated from [...] Read more.
Latex-producing plants harbor unique microbial communities that may play important roles in host defense; however, their diversity and biocontrol potential remain largely unexplored. Characterizing these communities provides opportunities to identify novel microbial-derived antifungal agents for sustainable crop protection. Bacterial strains were isolated from the latex of Alstonia scholaris (L.) R. Br. and identified using 16S rRNA gene sequencing. Antifungal activity was evaluated against four phytopathogens: Fusarium graminearum, Colletotrichum musae, Colletotrichum gloeosporioides, and Glomerella cingulata. Bioassay-guided fractionation, size-exclusion chromatography, SDS-PAGE, and LC-MS/MS were used to characterize antifungal proteins. Nine bacterial strains were isolated, including eight Bacillus spp. and one Enterococcus faecalis. Among them, Bacillus sp. AsL-2 exhibited the strongest broad-spectrum antifungal activity, inhibiting fungal growth by up to 80%. The antifungal activity of its crude extract remained stable over a wide temperature range. Further characterization identified a novel endo-β-1,3-1,4-glucanase enzyme (~23 kDa) as the major antifungal protein. This study reveals A. scholaris latex as an underexplored microbial niche and identifies Bacillus sp. AsL-2, affiliated with the B. velezensis–B. amyloliquefaciens species complex, as a promising biocontrol candidate. The identified antifungal enzyme represents a potential natural alternative to synthetic fungicides for sustainable agricultural disease management. Full article
(This article belongs to the Special Issue Molecular Mechanisms and Integrated Control of Pathogen Crops)
Show Figures

Graphical abstract

29 pages, 738 KB  
Review
Occurrence and Management of Plant-Parasitic Nematodes in Mozambique: A Review
by Joaquim Cuvaca, Isabel Abrantes, Carla Maleita and Ivânia Esteves
Crops 2026, 6(1), 6; https://doi.org/10.3390/crops6010006 - 29 Dec 2025
Viewed by 977
Abstract
Plant-parasitic nematodes (PPNs) cause yield losses in various crops worldwide. Damage due to PPNs can be severe, causing billions of dollars of crop losses across the globe annually. Information about PPNs occurrence in Mozambique is limited. Based on the literature, twenty-five genera of [...] Read more.
Plant-parasitic nematodes (PPNs) cause yield losses in various crops worldwide. Damage due to PPNs can be severe, causing billions of dollars of crop losses across the globe annually. Information about PPNs occurrence in Mozambique is limited. Based on the literature, twenty-five genera of PPNs have been reported to affect several economically important crops, including root-knot nematodes (RKNs, Meloidogyne spp.), Scutellonema spp., root-lesion nematodes (RLNs, Pratylenchus spp.), spiral nematodes (Helicotylenchus spp.), and the dagger nematode (Xiphinema spp.), which are commonly associated with crops such as banana (Musa spp.), cassava (Manihot esculenta), cowpea (Vigna unguiculata), maize (Zea mays), sugarcane (Saccharum officinarum), and sunflower (Helianthus annuus). Dissemination of these nematodes is not yet fully understood, but the importation of plants, roots, rhizomes, and/or seeds likely contributes to the introduction and spread of PPNs. Although the implementation of PPN-mitigation strategies is crucial to crop production, their application is still limited in Mozambique, with quite a few reported uses of nematicides in the Manica and Maputo provinces. Therefore, adopting integrated management strategies that combine two or more practices, such as biological control, crop rotation, organic amendments, soil solarization, and, as a last resort, chemical nematicides, may be an option to effectively reduce the population of PPNs. This review gathers information on the occurrence and management of PPNs, as reported to date in Mozambique. Full article
Show Figures

Figure 1

16 pages, 4892 KB  
Article
Transcriptomics and Gene Family Identification of Cell Wall-Related Differentially Expressed Genes Reveal MaXTH32.5 Involved in Fruit Firmness During Banana Ripening
by Fengjie Yang, Kui Wan, Xiaoli Kang, Wanting Zhong, Jiasi Lv, Yiyao Lin, Jialing Wang, Zhongxiong Lai, Bin Liao and Yuling Lin
Plants 2025, 14(24), 3810; https://doi.org/10.3390/plants14243810 - 14 Dec 2025
Viewed by 547
Abstract
Banana (Musa spp.) is a typical climacteric fruit. Xyloglucan endotransglucosylase/hydrolase (XTH) is a key factor regulating plant cell wall dynamic remodeling and participates in fruit ripening. To clarify the core physiological traits of banana ripening, four ripening stages of banana [...] Read more.
Banana (Musa spp.) is a typical climacteric fruit. Xyloglucan endotransglucosylase/hydrolase (XTH) is a key factor regulating plant cell wall dynamic remodeling and participates in fruit ripening. To clarify the core physiological traits of banana ripening, four ripening stages of banana cultivar (Musa AAA ‘Minai No. 1’) fruits in the fully green stage (S1), green-yellow stage (S2), fully yellow stage (S3), and yellow with brown spots stage (S4) were used in this study’s experimental materials, to examine dynamic changes in key physiological–biochemical properties. The results showed that fruit firmness decreased continuously, starch content first increased then decreased, and soluble protein and total soluble solids (TSS) accumulated gradually during the ripening stages of banana fruits. Transcriptome analysis of the four stages found that there were 14,315 differentially expressed genes (DEGs) in S1 versus S4, the GO enrichment pathway is enriched in “protein dephosphorylation”, and the KEGG enrichment pathway is enriched in the “Protein processing in endoplasmic reticulum” and “Ubiquitin mediated proteolysis” pathways. The fruit ripening process involves the processing of numerous proteins. The heatmap revealed that MaXTH32.5 was significantly up-regulated during banana ripening and the result of RT-qPCR is consistent with the transcriptome data. A total of 989 XTH members across 16 Musa varieties of the XTH gene family were further identified. Among them, MaXTH32.5 localized at the chloroplast, and transient overexpression of MaXTH32.5 significantly reduced banana fruit firmness and may be involved in regulating ripening in banana fruits. This study indicated that the differential expression of XTH gene family members may regulate ripening-related processes in banana and MaXTH32.5 as a key candidate, providing insights into banana ripening mechanisms and a foundation for subsequent Musa XTH research. Full article
(This article belongs to the Special Issue Recent Advances in Horticultural Plant Genomics—2nd Edition)
Show Figures

Figure 1

20 pages, 10907 KB  
Article
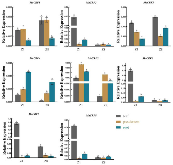
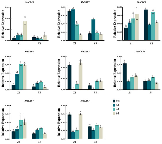
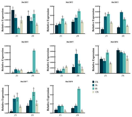
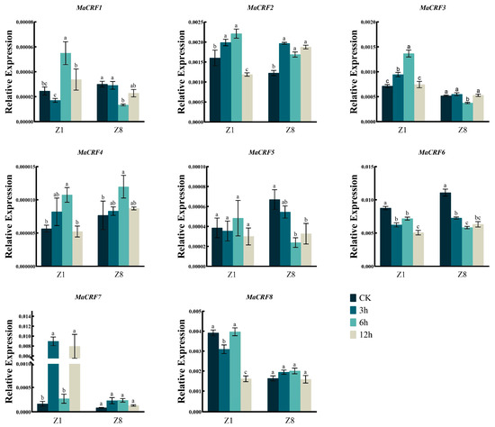
Genome-Wide Identification of Cytokinin Response Factors (CRFs) Involved in Stress Responses in Banana (Musa acuminata)
by Ruiyu Wang, Chunhua Hu, Zhixin Li, Yaoyao Li, Weidi He, Ou Sheng, Qiaosong Yang, Tongxin Dou, Cancan Liu, Huijun Gao, Tao Dong, Ganjun Yi, Shulan Sun and Guiming Deng
Int. J. Mol. Sci. 2025, 26(23), 11316; https://doi.org/10.3390/ijms262311316 - 23 Nov 2025
Viewed by 672
Abstract
Cytokinin response factors (CRFs), belonging to AP2/ERF transcription factor family, play pivotal roles in regulating plant growth, hormone signaling, and stress responses. While CRF genes have been functionally characterized in multiple plant species, their systematic analysis in banana (Musa spp.), a globally [...] Read more.
Cytokinin response factors (CRFs), belonging to AP2/ERF transcription factor family, play pivotal roles in regulating plant growth, hormone signaling, and stress responses. While CRF genes have been functionally characterized in multiple plant species, their systematic analysis in banana (Musa spp.), a globally important tropical fruit crop, remains unexplored. In this study, we identified eight putative MaCRF genes in the wild banana Musa acuminata ssp. malaccensis var. Pahang. Through comprehensive bioinformatic analyses, we characterized the MaCRF family and investigated their expression profiles across diverse tissues and under various biotic and abiotic stresses. Intriguingly, MaCRF4 exhibited contrasting expression patterns in response to Fusarium oxysporum f. sp. cubense tropical race 4 (Foc TR4) infection. MaCRF4 was strongly induced in the susceptible cultivar Z1 but transiently upregulated at early stages followed by downregulation in the resistant cultivar Z8. Furthermore, MaCRF3 and MaCRF4 were markedly induced by osmotic stress, low temperature, salinity, and ABA treatment. Our findings provide the systematic characterization of the MaCRF family in banana and offer valuable insights for future functional studies aimed at enhancing stress tolerance through molecular breeding strategies. Full article
(This article belongs to the Section Molecular Plant Sciences)
Show Figures

Figure 1

21 pages, 6955 KB  
Article
Dietary Intervention with Resistant Starch-Rich Unripe Plantain Flour Restores Gut Microbiome–Metabolome Axis and Ameliorates Type 2 Diabetes in Rats
by Jinfeng Fu, Cancan Liu, Shiyun Tu, Hongjie Liu, Zixin Liu, Weidi He, Lu Dong, Ganjun Yi, Yiji Xia, Juan Wang and Ou Sheng
Foods 2025, 14(23), 3996; https://doi.org/10.3390/foods14233996 - 21 Nov 2025
Viewed by 1523
Abstract
Plantain (Musa spp., AAB group) possesses a complex triploid genetics originating from interspecific hybridization, which underlies its agronomic traits and nutritional composition, making it a vital global staple food crop. Unripe plantain flour (UPF), a rich source of resistant starch (RS), has [...] Read more.
Plantain (Musa spp., AAB group) possesses a complex triploid genetics originating from interspecific hybridization, which underlies its agronomic traits and nutritional composition, making it a vital global staple food crop. Unripe plantain flour (UPF), a rich source of resistant starch (RS), has demonstrated anti-diabetic properties in diabetic rats, yet its mechanisms of action remain unclear. This study investigated whether unripe plantain flour attenuates type 2 diabetic traits in rats made diabetic with a high-fat diet plus streptozotocin through regulation of the gut microbiome–metabolome axis, including short-chain fatty acids and bile acids. We found that UPF intervention significantly ameliorated gut microbiota dysbiosis. It enriched beneficial bacteria, particularly SCFA producers (Lachnoclostridium, Blautia, Butyricicoccus) and others (Bifidobacterium, Akkermansia), while inhibiting harmful genera (Romboutsia, Allobaculum). Consequently, UPF altered bile-acid composition by lowering hydrophobic species (e.g., cholic acid and deoxycholic acid) while elevating hydrophilic species (e.g., ursodeoxycholic acid and tauroursodeoxycholic acid). It also enhanced the excretion of secondary bile acids (lithocholic acid). These coordinated changes in the gut ecosystem are conducive to improved glycolipid metabolism. Spearman correlation analysis further reinforced the close relationships between the altered microbiota and metabolites. Our results elucidate that UPF exerts its anti-diabetic effects by remodeling the gut microbiota and modulating its associated metabolites, highlighting a novel dietary intervention strategy for diabetes management. Full article
Show Figures

Graphical abstract

16 pages, 635 KB  
Article
Field Evaluation of Spent Pleurotus ostreatus Substrate Reveals Limited Suppression of Fusarium Wilt in Banana
by Walter Ocimati, Geofrey Ogwal, Elizabeth Kearsley and Guy Blomme
J. Fungi 2025, 11(11), 816; https://doi.org/10.3390/jof11110816 - 18 Nov 2025
Viewed by 667
Abstract
Fusarium oxysporum f. sp. cubense (Foc), the causal agent of Fusarium wilt of banana, can persist in the soil for extended periods as chlamydospores or endophytes in weeds, complicating control measures. No single control strategy is effective. Biological agents present an increasingly important [...] Read more.
Fusarium oxysporum f. sp. cubense (Foc), the causal agent of Fusarium wilt of banana, can persist in the soil for extended periods as chlamydospores or endophytes in weeds, complicating control measures. No single control strategy is effective. Biological agents present an increasingly important control option. This study explored the potential of the spent P. ostreatus substrates (SPoS) to suppress Foc R1 in a field with high Foc inoculum, following laboratory and greenhouse studies that highlighted the potential of P. ostreatus as a biocontrol agent against Foc. A susceptible cultivar ‘Sukali Ndizi’ and a resistant cultivar ‘Mpologoma’ were used for the study. SPoS was compared with farmyard manure (FYM), a combination of SPoS with FYM and a control without treatment. A one-time application of the treatments at planting did not consistently and significantly (p > 0.05) reduce the prevalence and severity of leaf symptoms, pseudostem splitting and corm damage in the mother and ratoon plants of the susceptible cultivar. No symptoms occurred in ‘Mpologoma’. SPoS applications at planting and after every two months over an 8-month period did not significantly reduce leaf symptoms and corm damage in ‘Sukali Ndizi’, while it increased pseudostem splitting. The marginal and irregular reductions in FW could be due to an observed high weevil damage in SPoS treatments and other confounding factors such as weather, SPoS quality, and pathogen load in the field. Further research on weevil–SPoS interactions, use of P. ostreatus mycelium-rich substrate, and other confounding factors is crucial for fine tuning P. ostreatus use. Full article
(This article belongs to the Section Fungi in Agriculture and Biotechnology)
Show Figures

Figure 1

21 pages, 1253 KB  
Article
Customized Nutrient Standards to Diagnose Nutrient Imbalance in Fertigated ‘Nanica’ Banana Groves
by Antonio João de Lima Neto, José Aridiano Lima de Deus, Danilo Eduardo Rozane, Márcio Cleber de Medeiros Corrêa, William Natale, Essi Parent and Léon Etienne Parent
Horticulturae 2025, 11(11), 1327; https://doi.org/10.3390/horticulturae11111327 - 4 Nov 2025
Cited by 1 | Viewed by 1112
Abstract
Banana (Musa spp.) is an important fruit production in Brazil, but crop productivity is still too low. The ‘Nanica’ cultivar and fertigation have been introduced, but more accurate guidelines are needed to support fertilization decisions at the orchard scale. This study aimed [...] Read more.
Banana (Musa spp.) is an important fruit production in Brazil, but crop productivity is still too low. The ‘Nanica’ cultivar and fertigation have been introduced, but more accurate guidelines are needed to support fertilization decisions at the orchard scale. This study aimed to develop customized nutrient standards for fertigated ‘Nanica’. A commercial ‘Nanica’ orchard provided 129 observations on yield and foliar nutrient concentrations from 2010 to 2017 in eight groves of 3.26 ha each. Plant density averaged 1479 plants ha−1. The diagnostic leaf was analyzed for 13 elements. Concentration values were transformed into centered log ratios (clr), weighted log ratios (wlr), and isometric log ratios (ilr) to account for nutrient interactions and normalize the data. Yield cutoff between low- and high yielders was set at 27 t ha−1 semester−1. The XGBoost classification models relating yield to tissue composition returned an area under curve averaging 0.715 for log ratio expressions. Nutrient standards were expressed as clr, wlr, and raw concentration means and standard deviations of performing specimens. The clr and wlr diagnoses of a low-yielding and imbalanced specimen against a benchmark specimen (Euclidean distance = 2.5) or the performing subpopulation (Mahalanobis distance = 37.6, p < 0.01) indicated Mn shortage and Na excess. Sufficiency concentration ranges may not agree with log ratio diagnoses, especially for Mn. The clr and wlr nutrient standards were site-specific, supporting precision farming. The concept developed in this paper is applicable to endogenous research conducted by stakeholders in orchards worldwide. Full article
Show Figures

Figure 1

20 pages, 8950 KB  
Article
Essential Oils as an Antifungal Alternative to Control Several Species of Fungi Isolated from Musa paradisiaca: Part II
by Maritza D. Ruiz Medina and Jenny Ruales
Microorganisms 2025, 13(11), 2477; https://doi.org/10.3390/microorganisms13112477 - 29 Oct 2025
Cited by 2 | Viewed by 883
Abstract
Essential oils (EOs) from oregano (Origanum vulgare), rosemary (Salvia rosmarinus), clove (Syzygium aromaticum), thyme (Thymus vulgaris), cinnamon (Cinnamomum verum), and basil (Ocimum basilicum) possess antifungal properties. This study aimed to evaluate [...] Read more.
Essential oils (EOs) from oregano (Origanum vulgare), rosemary (Salvia rosmarinus), clove (Syzygium aromaticum), thyme (Thymus vulgaris), cinnamon (Cinnamomum verum), and basil (Ocimum basilicum) possess antifungal properties. This study aimed to evaluate their ability to inhibit the growth of fungi isolated from the rot of banana peel (Musa paradisiaca) to control or reduce fungal growth in bananas. The methodology involved preparing dilutions of EOs and inoculating them onto Potato Dextrose Agar (PDA) medium amended with chloramphenicol to prevent bacterial contamination. Fungal species, including Trichoderma spp., Aspergillus spp., Penicillium spp., and Fusarium spp., were isolated, purified, and characterized macroscopically and microscopically. Their growth was assessed ex vivo and the inhibition percentage was measured in vitro. The ex vivo analysis revealed that the severity of fungal infection, ranked from highest to lowest, was as follows: Penicillium spp., Trichoderma spp., Fusarium spp., and Aspergillus spp. The results showed that rosemary and basil oils did not inhibit fungal growth, whereas clove oil, cinnamon, and oregano were effective against the four tested fungi at 800, 400, and 200 ppm, respectively. These findings suggest that certain EOs, including clove, cinnamon, and oregano, have strong antifungal potential and could serve as eco-friendly alternatives to synthetic fungicides in banana postharvest disease management. Full article
(This article belongs to the Special Issue Current Pattern in Epidemiology and Antifungal Resistance)
Show Figures

Figure 1

20 pages, 5442 KB  
Article
Genome-Wide Identification of the ANP Gene Family in Banana (Musa spp.) and Analysis of MaNPK1 Response to Drought Stress Induced by Piriformospora indica
by Tong Lin, Wanlong Wu, Xu Feng, Jinbing Xie, Zhongxiong Lai, Lixiang Miao and Yuji Huang
Agronomy 2025, 15(10), 2410; https://doi.org/10.3390/agronomy15102410 - 17 Oct 2025
Viewed by 878
Abstract
Banana is a globally important food crop. As a large herbaceous plant with a shallow root system, its yield is highly susceptible to drought stress. ANP family genes play crucial roles in plant drought resistance. However, the ANP gene family has not been [...] Read more.
Banana is a globally important food crop. As a large herbaceous plant with a shallow root system, its yield is highly susceptible to drought stress. ANP family genes play crucial roles in plant drought resistance. However, the ANP gene family has not been systematically studied in bananas, and how Piriformospora indica (P. indica) induces its expression remains unclear. A comprehensive identification of the ANP family is thus a necessary foundation for functional studies. In this study, we systematically identified 13 ANP family members in banana for the first time through genome-wide analysis. Using bioinformatics, RT-qPCR and subcellular localization techniques, we characterized their structural features, phylogenetic relationships, and the expression patterns of MaNPK1 under drought stress and P. indica colonization. The results revealed that banana ANP family members are highly evolutionarily conserved. MaNPK1-1 was specifically induced and upregulated by P. indica under drought conditions and subcellular localization showed that it played a role in the nucleus. This research provides theoretical insights into the function of the banana ANP family and its regulatory role in the P. indica mediated drought stress response, offering potential applications for breeding stress resistant banana varieties. Full article
(This article belongs to the Section Plant-Crop Biology and Biochemistry)
Show Figures

Figure 1

15 pages, 4551 KB  
Article
Banana and Plantain Starches: Exploring Differences and Potential Applications
by Jaciene Lopes de Jesus Assis, Magali Leonel, Eliseth de Souza Viana, Edson Perito Amorim, Ronielli Cardoso Reis, Carlos Wanderlei Piler de Carvalho, Palmira de Jesus Neta and Sarita Leonel
Horticulturae 2025, 11(10), 1214; https://doi.org/10.3390/horticulturae11101214 - 9 Oct 2025
Cited by 1 | Viewed by 1408
Abstract
The diversification of cultivars and sustainable production in banana and plantain cultivation, with a view to reducing losses and differentiating derivative products, are of great importance for productive advances linked to sustainable development. In this study, the morphological, physicochemical, and functional characteristics of [...] Read more.
The diversification of cultivars and sustainable production in banana and plantain cultivation, with a view to reducing losses and differentiating derivative products, are of great importance for productive advances linked to sustainable development. In this study, the morphological, physicochemical, and functional characteristics of starches isolated from four dessert cultivars of Prata subgroup (BRS Platina, Gorutuba Biocell, Prata-Anã, BRS Gerais) and plantain cultivars (Tipo Velhaca, Mongolo, and BRS Terra-Anã) were evaluated. All starches exhibited a B-type crystalline pattern, with variations in granule shape and in amylose and resistant starch contents, which particularly differentiated plantains. Differences in viscosity and gelatinization properties highlighted the potential of certain cultivars for specific industrial applications. Multivariate analysis emphasized the diversity among starches, reinforcing their importance as versatile and sustainable raw materials for industry, with the potential to add value and reduce losses in the production chain. Full article
Show Figures

Figure 1

19 pages, 12926 KB  
Article
Mapping Banana and Peach Palm in Diversified Landscapes in the Brazilian Atlantic Forest with Sentinel-2
by Victória Beatriz Soares, Taya Cristo Parreiras, Danielle Elis Garcia Furuya, Édson Luis Bolfe and Katia de Lima Nechet
Agriculture 2025, 15(19), 2052; https://doi.org/10.3390/agriculture15192052 - 30 Sep 2025
Cited by 2 | Viewed by 1403
Abstract
Mapping banana and peach palm in heterogeneous landscapes remains challenging due to spatial heterogeneity, spectral similarities between crops and native vegetation, and persistent cloud cover. This study focused on the municipality of Jacupiranga, located within the Ribeira Valley region and surrounded by the [...] Read more.
Mapping banana and peach palm in heterogeneous landscapes remains challenging due to spatial heterogeneity, spectral similarities between crops and native vegetation, and persistent cloud cover. This study focused on the municipality of Jacupiranga, located within the Ribeira Valley region and surrounded by the Atlantic Forest, which is home to one of Brazil’s largest remaining continuous forest areas. More than 99% of Jacupiranga’s agricultural output in the 21st century came from bananas (Musa spp.) and peach palms (Bactris gasipaes), underscoring the importance of perennial crops to the local economy and traditional communities. Using a time series of vegetation indices from Sentinel-2 imagery combined with field and remote data, we used a hierarchical classification method to map where these two crops are cultivated. The Random Forest classifier fed with 10 m resolution images enabled the detection of intricate agricultural mosaics that are typical of family farming systems and improved class separability between perennial and non-perennial crops and banana and peach palm. These results show how combining geographic information systems, data analysis, and remote sensing can improve digital agriculture, rural management, and sustainable agricultural development in socio-environmentally important areas. Full article
(This article belongs to the Section Artificial Intelligence and Digital Agriculture)
Show Figures

Figure 1

Back to TopTop