Sign in to use this feature.

Years

Between: -

Subjects

remove_circle_outline
remove_circle_outline
remove_circle_outline
remove_circle_outline
remove_circle_outline
remove_circle_outline
remove_circle_outline

Journals

Article Types

Countries / Regions

Search Results (27)

Search Parameters:
Keywords = Masquelet technique

Order results
Result details
Results per page
Select all
Export citation of selected articles as:
25 pages, 2782 KB  
Article
Cell Supported Single Membrane Technique for the Treatment of Large Bone Defects: Depletion of CD8+ Cells Enhances Bone Healing Mechanisms During the Early Bone Healing Phase
by Marissa Penna-Martinez, Lia Klausner, Andreas Kammerer, Minhong Wang, Alexander Schaible, René Danilo Verboket, Christoph Nau, Ingo Marzi and Dirk Henrich
Cells 2026, 15(3), 215; https://doi.org/10.3390/cells15030215 - 23 Jan 2026
Viewed by 417
Abstract
Introduction: The one-step membrane technique, derived from the Masquelet induced membrane technique, uses human acellular dermal matrix (hADM) that is wrapped around the bone defect to bypass membrane induction, reducing treatment time. Pre-colonization of hADM with bone marrow cells (BMC), particularly after CD8 [...] Read more.
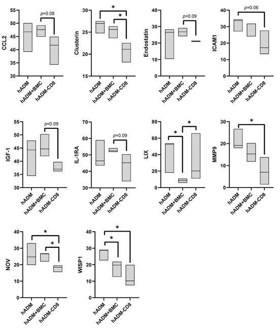
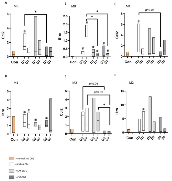
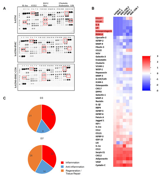
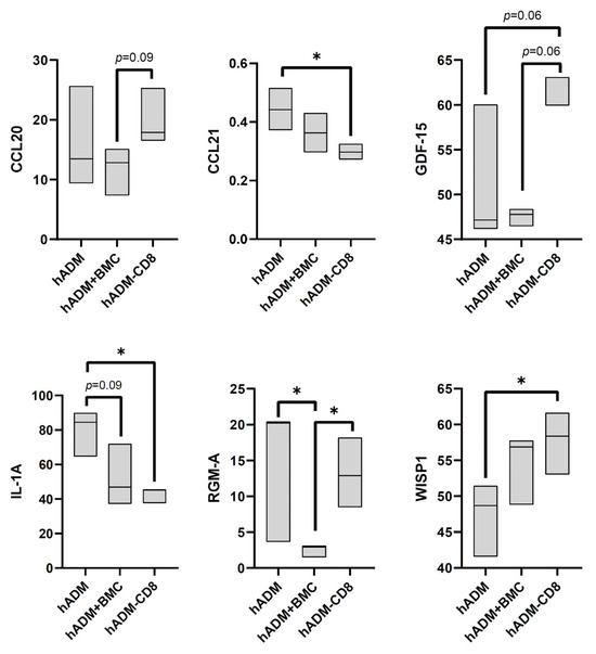
Introduction: The one-step membrane technique, derived from the Masquelet induced membrane technique, uses human acellular dermal matrix (hADM) that is wrapped around the bone defect to bypass membrane induction, reducing treatment time. Pre-colonization of hADM with bone marrow cells (BMC), particularly after CD8+ T cell depletion, enhances bone regeneration. This study examined how CD8+ T cell depletion alters the proteins accumulated in the hADM during early healing. Materials and Methods: Eighteen male Sprague-Dawley rats received 5 mm femoral defects filled with autologous bone chips and wrapped with hADM, hADM + BMC, or hADM + BMC-CD8. hADMs were recovered on days 3 and 7 (n = 3/group/timepoint), incubated ex vivo, and conditioned medium analyzed with a proteome profiler detecting 79 proteins. Results: The protein content of the hADM evolved dynamically. At day three, 41 proteins were detected, rising to 47 by day seven, with RGM-A, osteoprotegerin, LIF, IL-6, CCL20, and CCL17 emerging late, consistent with increased regenerative activity. CD8+ T cell depletion suppressed early inflammatory and pro-osteogenic mediators (e.g., CCL2, IGF-I, IL-1RA) while upregulating LIX. By day seven, regenerative mediators (CCL20, GDF-15, RGM-A) were enriched, whereas inflammatory factors (CCL21, IL-1a, WISP-1) declined. MMP-9, Galectin-1, and GDF-15 increased exclusively in the CD8-depleted group. Conclusions: The hADM protein content transitions from pro-inflammatory to pro-regenerative within one week after surgery. CD8+ T cell depletion accelerates this shift, highlighting hADM as a dynamic scaffold that contributes to the immune–regenerative crosstalk in bone healing. Full article
(This article belongs to the Special Issue New Advances in Tissue Engineering and Regeneration)
Show Figures

Figure 1

17 pages, 1389 KB  
Article
Risk-Stratified Predictive Analysis of Docking Site Outcomes in Lower Extremity Bone Transport: Identifying High-Risk and Low-Risk Zones for Large Segmental Defect Management
by Gökmen Aktas, Jorge Mayor, Jan Clausen, Ricardo Ramon, Tilman Graulich, Schayan Tabrizi, Maximilian Koblenzer, Hür Özbek, Emmanouil Liodakis, Phillipp Mommsen, Stephan Sehmisch and Tarek Omar Pacha
J. Clin. Med. 2026, 15(2), 487; https://doi.org/10.3390/jcm15020487 - 8 Jan 2026
Viewed by 274
Abstract
Background: Reconstruction of limbs with extensive bone loss often requires complex surgical procedures, which can be technically demanding, time-consuming, and physically and psychologically burdensome for patients. Historically, the lack of alternatives for large bone defects often led to primary amputation. Modern musculoskeletal [...] Read more.
Background: Reconstruction of limbs with extensive bone loss often requires complex surgical procedures, which can be technically demanding, time-consuming, and physically and psychologically burdensome for patients. Historically, the lack of alternatives for large bone defects often led to primary amputation. Modern musculoskeletal practice allows for reconstruction using autologous or allogeneic bone grafts, or through more complex procedures such as the Masquelet technique or distraction osteogenesis. However, these methods share a common challenge: the need for a docking site procedure in cases of insufficient bony fusion of the transport segment. The aim of this study was to identify predictive factors for the need for a docking site procedure. Methods: A retrospective analysis was conducted on 93 patients treated for lower extremity bone defects between January 2013 and June 2023. Of these, 39 patients (41.9%) underwent segmental bone transport and formed the study cohort for the predictive model analysis. Patients of all ages and both genders were included, regardless of the etiology and size of the defect. The need for a docking site procedure was analyzed using logistic regression, ROC analysis, and ANOVA. Results: The study included 93 patients (73 male, 19 female) aged 7 to 83 years. The mean defect size was 76.46 mm (range: 12.1 to 225.1 mm). The mean transport duration was 149.97 days, with a mean transport speed of 0.61 mm/day. Among the 39 segmental transport patients, a docking site procedure was performed in 64.1% (n = 25). Logistic regression and ROC analysis were performed on this subgroup (n = 39, with 25 events). Significant predictors for the need for a docking site procedure were age (p = 0.024), vascular injury (p = 0.009), transport duration (p = 0.001), and transport speed (p < 0.001). ROC analysis demonstrated that transport speed (AUC = 0.931) and transport duration (AUC = 0.911) showed strong discriminative ability for predicting docking site procedure necessity, suggesting potential utility as clinical decision-support parameters. Conclusions: The study identified transport duration and speed as potentially valuable predictive factors in this retrospective cohort for the need of a docking site procedure, though prospective validation is required. A transport duration exceeding 290.5 days significantly increased the likelihood of requiring a docking site procedure. These findings can help optimize treatment planning and improve long-term limb preservation. Full article
(This article belongs to the Special Issue Orthopedic Trauma: Diagnosis, Treatment and Rehabilitation)
Show Figures

Figure 1

10 pages, 399 KB  
Article
Treatment of Post-Traumatic Diaphyseal and Distal Tibial Bone Defects by Distraction Osteogenesis: A Monocentric Experience
by Danilo Leonetti, Lorenza Siracusano, Viktor Dietrich Schick, Giovanni Marrara, Leone Larizza, Massimo Brigandì, Angela Alibrandi, Ilaria Sanzarello, Matteo Nanni and Biagio Zampogna
J. Clin. Med. 2025, 14(22), 7933; https://doi.org/10.3390/jcm14227933 - 8 Nov 2025
Viewed by 771
Abstract
Background: Distraction osteogenesis (DO) and the Masquelet technique are currently the preferred treatment options for bone defects larger than 5 cm. Methods: Between January 2019 and December 2023, 19 patients were treated with DO for post-traumatic tibial defects at our institution. The results [...] Read more.
Background: Distraction osteogenesis (DO) and the Masquelet technique are currently the preferred treatment options for bone defects larger than 5 cm. Methods: Between January 2019 and December 2023, 19 patients were treated with DO for post-traumatic tibial defects at our institution. The results were evaluated using the Association for the Study and Application of the Method of Ilizarov (ASAMI) scoring system. Results: Patients’ mean age was 32.42 years. The mean defect size was 4.8 cm (range 3.2–8.1 cm), and the mean external fixation time was 21.31 weeks. Bone union was reached on average after 25.9 weeks. The mean follow-up time was 3.7 years. The mean leg length discrepancy at the final follow-up was 0.83 cm. Using the ASAMI system, the functional results were excellent in eight patients, good in eight, and fair in two, with one case of failure; the bone results were excellent in ten patients, good in six, fair in two, and poor in one. Conclusions: DO for the treatment of tibial defects has the potential to yield favourable outcomes, provided that the method is performed correctly. Multicentre prospective studies would allow for more definitive conclusions to be made. Full article
(This article belongs to the Section Orthopedics)
Show Figures

Figure 1

20 pages, 3629 KB  
Article
An Autologous Human Adipose Stem Cell-Derived 3D Osteogenic Implant for Bone Grafting: From Development to First-in-Human Experience
by Torsten Gerich, Pierre-Louis Docquier, John A. Carrino, Mikael Boesen, Nadine Schmid, Ginny Hsu, Ji-Hye Yea, Aaron James, Judy Ashworth, Hara Episkopou and Denis Dufrane
J. Clin. Med. 2025, 14(18), 6436; https://doi.org/10.3390/jcm14186436 - 12 Sep 2025
Viewed by 1054
Abstract
Background: NVD003 is an autologous, adipose tissue-derived stem cell-based tissue-engineered bone graft substitute with pro-osteogenic, anti-resorptive, and pro-angiogenic properties. Here, we describe highlights from the NVD003 preclinical development program as well as early clinical experience. Methods: NVD003 is produced in a Good Manufacturing [...] Read more.
Background: NVD003 is an autologous, adipose tissue-derived stem cell-based tissue-engineered bone graft substitute with pro-osteogenic, anti-resorptive, and pro-angiogenic properties. Here, we describe highlights from the NVD003 preclinical development program as well as early clinical experience. Methods: NVD003 is produced in a Good Manufacturing Practice-controlled process from adipose stem cells collected during a minimally invasive liposuction procedure. The final implant is a ready-to-use moldable putty with fixed mineral content and predefined physiologic ranges of osteogenic cells and bioactive growth factors. Preclinical pharmacology studies were conducted in nude rats using a paravertebral implantation model, and subsequently, in a femoral critical-sized bone defect (CSBD) model. In a first-in-human Phase 1b/2a study, NVD003 was used for fracture osteosynthesis with classical fixation material in nine adults with recalcitrant lower limb non-union. NVD003 was also used at the discretion of treating physicians in four pediatric patients surgically treated for congenital pseudarthrosis of the tibia (CPT) with the Masquelet technique. Efficacy was evaluated as clinical healing and in terms of bone formation, bone union, and bone remodeling on radiographs and computed tomography using the extended Lane and Sandhu Scale. Results: Preclinical studies indicated that NVD003 requires cellularity for its bioactivity and moreover facilitates bone union when used as a graft material in femoral CSBD. In the clinical study, nine adult participants were successfully grafted with NVD003 and completed study follow-up to 24 months, with extended safety follow-up to 5 years ongoing. No adverse events were considered related to NVD003. Maximal bone formation occurred between 3 and 12 months post-implantation; the mean time to clinical healing was 6 months and the mean time to radiological union was 17 months. Ultimately, 89% (8/9) of patients achieved bone union without refracture. All four pediatric patients with CPT also achieved lasting bone union following grafting with NVD003. No safety signals were observed over a mean follow-up of 62.1 months. Conclusions: NVD003 represents a safe, autologous bone graft substitute product without side effects of heterotopic ossification or bone resorption. NVD003 facilitated bone union in adult and pediatric patients even under severe pathophysiological conditions. Full article
(This article belongs to the Special Issue Clinical Therapeutic Advances in Bone Fractures)
Show Figures

Figure 1

13 pages, 3669 KB  
Article
The “Bone Block Technique”: Reconstruction of Bone Defects Caused by Osteomyelitis Using Corticocancellous Bone Blocks from the Iliac Crest and the Induced Membrane Technique
by Marc Hückstädt, Christian Fischer, Alexander Weissmann, Steffen Langwald, Patrick Schröter, Friederike Klauke, Thomas Mendel, Gunther O. Hofmann, Philipp Kobbe and Sandra Schipper
Life 2025, 15(9), 1340; https://doi.org/10.3390/life15091340 - 25 Aug 2025
Viewed by 1239
Abstract
Background: The Induced Membrane Technique (IMT), commonly known as the Masquelet Technique (MT), has shown promising results in the reconstruction of bone defects caused by osteomyelitis. However, it is not a standardized surgical protocol but a treatment concept that has undergone various modifications, [...] Read more.
Background: The Induced Membrane Technique (IMT), commonly known as the Masquelet Technique (MT), has shown promising results in the reconstruction of bone defects caused by osteomyelitis. However, it is not a standardized surgical protocol but a treatment concept that has undergone various modifications, often yielding heterogeneous outcomes. Methods: This retrospective, single-center clinical cohort study included 49 patients treated with the Bone Block Technique (BBT) between 2013 and 2019 for bone defects resulting from osteomyelitis. The primary outcomes were time to bone healing, reinfection rate, and time to full weight-bearing. Additionally, infectious disease parameters, surgical site complications (SSCs), and epidemiological data were evaluated. Results: Data from 49 patients (mean age: 51 years, range: 17.6–76.9; 28.6% female) were analyzed, with a mean follow-up of 6.1 years (range: 4–10.5). The average bone defect length was 4.2 cm (range: 2.1–8.4 cm), predominantly involving the lower extremity. Primary bone consolidation was achieved in 93%, and secondary consolidation (requiring additional surgery) in 7%. Revision surgery due to recurrent infection was necessary in 16.6% of cases. The average time to full weight-bearing was 101.3 days. Conclusions: The BBT, as a modified approach based on the original IMT, represents a viable and reproducible option for bone defect reconstruction. When applied in accordance with the principles of the Diamond Concept, this technique facilitates reliable primary consolidation with a low complication rate. Full article
(This article belongs to the Section Medical Research)
Show Figures

Figure 1

15 pages, 7953 KB  
Case Report
The Use of the Masquelet Technique in the Treatment of Pathological Distal Third Femoral Fracture Secondary to Chronic Osteomyelitis
by Razvan Cosmin Tudor, Daniel Vasile Timofte, Norin Forna, Oana Viola Badulescu, Liliana Savin, Tudor Pinteala, Dan Mihailescu, Tudor Ciobotariu, Alin Ciobica, Mihnea Theodor Sirbu, Paul Dan Sirbu, Serban Dragosloveanu, Bogdan Sorin Capitanu, Romica Cergan and Cristian Scheau
Life 2025, 15(4), 537; https://doi.org/10.3390/life15040537 - 25 Mar 2025
Cited by 1 | Viewed by 1984
Abstract
Introduction: Chronic osteomyelitis is a persistent infection of the bone that poses significant challenges, particularly when associated with pathological fractures and extensive bone defects. This case report highlights the application of Masquelet’s induced membrane technique (MIMT) in managing a complex distal femur defect [...] Read more.
Introduction: Chronic osteomyelitis is a persistent infection of the bone that poses significant challenges, particularly when associated with pathological fractures and extensive bone defects. This case report highlights the application of Masquelet’s induced membrane technique (MIMT) in managing a complex distal femur defect in a 50-year-old male with a long-standing history of chronic osteomyelitis. The patient presented with a non-union fracture, severe osseous destruction, and infection, requiring a multidisciplinary approach. Case report: The first stage involved radical debridement of necrotic tissue and stabilization with a titanium plate and an antibiotic-impregnated polymethylmethacrylate spacer to induce a bioactive membrane. The second stage, performed 30 days later, after infection resolution, entailed removing the spacer, harvesting an autologous iliac crest bone graft, and filling the defect within the preserved membrane. Postoperative care included a tailored antibiotic regimen and gradual weight-bearing, leading to favorable clinical and radiological outcomes. Conclusions: This case demonstrates the utility of MIMT in reconstructing extensive bone defects while addressing infection. The technique provides a reliable and effective alternative to amputation, offering high success rates and functional restoration in complex cases. Full article
(This article belongs to the Section Medical Research)
Show Figures

Figure 1

11 pages, 584 KB  
Systematic Review
Custom-Made 3D-Printed Titanium Implants for Managing Segmental Distal Tibial Bone Defects: A Systematic Literature Review
by Viktor Dietrich Schick, Biagio Zampogna, Giovanni Marrara, Lorenza Siracusano, Leone Larizza, Salvatore Calaciura, Ilaria Sanzarello, Andrea Marinozzi and Danilo Leonetti
J. Clin. Med. 2025, 14(6), 1796; https://doi.org/10.3390/jcm14061796 - 7 Mar 2025
Cited by 8 | Viewed by 2414
Abstract
Background: The management of diaphyseal and distal tibial defects and non-unions is a significant challenge. Traditional treatments, such as distraction osteogenesis or Masquelet, are characterized by extended treatment times and elevated complication rates. Innovative approaches, such as customized 3D-printed titanium implants, are often [...] Read more.
Background: The management of diaphyseal and distal tibial defects and non-unions is a significant challenge. Traditional treatments, such as distraction osteogenesis or Masquelet, are characterized by extended treatment times and elevated complication rates. Innovative approaches, such as customized 3D-printed titanium implants, are often required to restore structural integrity and function. This systematic review aimed to analyze the results achieved to date with this technique. Methods: A systematic review of the literature written in English was performed in PubMed, Scopus, and Cochrane to identify all cases of tibial non-unions or defects treated with customized 3D-printed titanium implants, excluding defects from tumor resection. Studies with a minimum of 12 months of follow-up were included. Results: The causes of treatment were infection in 10 patients, non-union in 6 patients, and severe bone loss after trauma in 3 cases. The size of the defect ranged from 3 to 8.5 cm. Osteointegration was 100% in all studies. The mean time to union was 5.3 months. The complication rate was 16%. Conclusions: Good results were reported in most patients. However, the data are insufficient to define the role of customized 3D-printed implants compared to traditional techniques. Further studies comparing them are needed to draw explicit guidelines. Full article
(This article belongs to the Section Orthopedics)
Show Figures

Figure 1

10 pages, 6393 KB  
Article
Introducing the Pearl-String Technique: A New Concept in the Treatment of Large Bone Defects
by Christian Fischer, Steffen Langwald, Friederike Klauke, Philipp Kobbe, Thomas Mendel and Marc Hückstädt
Life 2025, 15(3), 414; https://doi.org/10.3390/life15030414 - 7 Mar 2025
Cited by 2 | Viewed by 1538
Abstract
The reconstruction of long bone defects after the primary traumatic, secondary infectious, or tumor-related loss of substance continues to represent a surgical challenge. Distraction osteogenesis using segmental transport, vascularized bone transfer, and the induced membrane technique (IMT) are established methods of reconstruction. IMT [...] Read more.
The reconstruction of long bone defects after the primary traumatic, secondary infectious, or tumor-related loss of substance continues to represent a surgical challenge. Distraction osteogenesis using segmental transport, vascularized bone transfer, and the induced membrane technique (IMT) are established methods of reconstruction. IMT has become increasingly popular in recent decades due to its practicability, reproducibility, and reliability. At the same time, the original technique has undergone numerous modifications. The results are correspondingly heterogeneous. This article is intended to provide an overview of the current principles and modifications of IMT, outline the causes of failure of the IMT, and introduce the pearl-string technique (PST). The PST developed in our hospital is based on the pearl-string-like arrangement of thermodisinfected, decorticated femoral heads (TDFHs) in combination with a mechanically stable osteosynthetic construct. The TDFHs are biologically activated with either an RIA or autologous iliac crest bone graft. To gain a better understanding of these variations, the surgical technique of both procedures is illustrated step-by-step in this article. Full article
(This article belongs to the Special Issue Reconstruction of Bone Defects)
Show Figures

Figure 1

16 pages, 692 KB  
Systematic Review
Post-Traumatic Segmental Tibial Defects Management: A Systematic Review of the Literature
by Giovanni Marrara, Biagio Zampogna, Viktor Dietrich Schick, Leone Larizza, Paolo Rizzo, Ilaria Sanzarello, Matteo Nanni and Danilo Leonetti
Appl. Sci. 2025, 15(1), 64; https://doi.org/10.3390/app15010064 - 25 Dec 2024
Cited by 5 | Viewed by 2448
Abstract
Introduction: Segmental tibial defects pose significant challenges in orthopedic surgery due to their complexity and high complication rates. This systematic review aimed to evaluate both the effectiveness and outcomes of distraction osteogenesis (D.O.) and the Masquelet technique in treating post-traumatic segmental tibial defects. [...] Read more.
Introduction: Segmental tibial defects pose significant challenges in orthopedic surgery due to their complexity and high complication rates. This systematic review aimed to evaluate both the effectiveness and outcomes of distraction osteogenesis (D.O.) and the Masquelet technique in treating post-traumatic segmental tibial defects. Materials and Methods: A literature search was performed on PubMed, Scopus, and Cochrane. Relevant retrospective and prospective observational studies with a minimum of 12 months follow-up were included. The primary outcome was bone union rate; the secondary outcomes were the type and rate of complications and the clinical and radiological outcomes. Results: Twenty-seven studies met the inclusion criteria, 18 studies reported data on D.O. and 9 on the Masquelet technique. D.O. demonstrated an overall union rate of 79.4% across 422 patients, and the Masquelet technique demonstrated an overall bone union rate of 85% across 113 patients. For D.O., on average, there was one complication per patient, and with the Masquelet technique, there were 0.5 complications per patient. Conclusions: D.O. and the Masquelet technique are the main treatment options for post-traumatic segmental tibial defects. Although union rates are similar, the Masquelet technique showed fewer complications. Treatment choice should consider patient-specific factors and more comparative studies are needed. Full article
Show Figures

Figure 1

13 pages, 6421 KB  
Article
Clinical Observations of the Effectiveness of the Masquelet Induced Membrane Technique in the Treatment of Critical Long-Bone Defects of the Lower and Upper Extremities
by Kamil Kołodziejczyk, Aleksander Ropielewski, Rafał Garlewicz, Marcin Złotorowicz and Jarosław Czubak
Medicina 2024, 60(12), 1933; https://doi.org/10.3390/medicina60121933 - 24 Nov 2024
Cited by 6 | Viewed by 4116
Abstract
Background and Objectives: Successful treatment of severe trauma and fractures of the long bones with successful healing and bone union is still a significant challenge for surgeons. Unfortunately, up to 10% of long-bone fractures develop bone healing disorders. The aim of this study [...] Read more.
Background and Objectives: Successful treatment of severe trauma and fractures of the long bones with successful healing and bone union is still a significant challenge for surgeons. Unfortunately, up to 10% of long-bone fractures develop bone healing disorders. The aim of this study was to evaluate the results of treating bone defects with different etiologies in the upper and lower extremities using the induced membrane technique. Materials and Methods: We prospectively evaluated the radiological and clinical outcomes of 45 patients with severe bone defects treated with the induced membrane technique during the period from May 2021 to October 2023. The time to bone defect regeneration, size of the bone defect, and the cost of treatment were evaluated. Functional outcomes were assessed using the Disabilities of the Arm Shoulder and Hand (DASH) scale, SF-36, and the Lower Limb Functional Index (LLFI). Results: The mean follow-up time was 31 months (12–35). There were 20 patients with upper extremity bone defects and 25 with lower extremity bone defects. The mean defect length was 7.9 cm for the upper extremity (3.5–18) and 5.3 cm for the lower extremity (3–11). The mean times to achieve bone union and remodeling were 6.0 months (3–12) and 9 months (3–13) for the upper and lower limbs, respectively. Clinical evaluation at the end of treatment (achieving bone union) showed statistically significant improvements in the DASH, SF-36, and LLFI scales for pre- and postoperative outcomes. There was no statistical significance in the SF-36 clinical scale scores after surgical treatment compared to reconstructive treatment of upper and lower extremity bone defects. Results: The presented reconstructive approach to the treatment of bone defects and healing disorders and extensive analysis demonstrate the effectiveness of the induced membrane technique in a short follow-up period, with a relatively high level of patient comfort and good clinical results in the treatment of severe bone defects with particularly infectious etiologies. Full article
Show Figures

Figure 1

14 pages, 4448 KB  
Article
The Impact of Defect Size on Bone Healing in Critical-Size Bone Defects Investigated on a Rat Femur Defect Model Comparing Two Treatment Methods
by Andreas Kammerer, Frederik Alexander Hartmann, Christoph Nau, Maximilian Leiblein, Alexander Schaible, Jonas Neijhoft, Dirk Henrich, René Verboket and Maren Janko
Bioengineering 2024, 11(3), 287; https://doi.org/10.3390/bioengineering11030287 - 19 Mar 2024
Cited by 12 | Viewed by 5164
Abstract
Critical-size bone defects up to 25 cm can be treated successfully using the induced membrane technique established by Masquelet. To shorten this procedure, human acellular dermis (HAD) has had success in replacing this membrane in rat models. The aim of this study was [...] Read more.
Critical-size bone defects up to 25 cm can be treated successfully using the induced membrane technique established by Masquelet. To shorten this procedure, human acellular dermis (HAD) has had success in replacing this membrane in rat models. The aim of this study was to compare bone healing for smaller and larger defects using an induced membrane and HAD in a rat model. Using our established femoral defect model in rats, the animals were placed into four groups and defects of 5 mm or 10 mm size were set, either filling them with autologous spongiosa and surrounding the defect with HAD or waiting for the induced membrane to form around a cement spacer and filling this cavity in a second operation with a cancellous bone graft. Healing was assessed eight weeks after the operation using µ-CT, histological staining, and an assessment of the progress of bone formation using an established bone healing score. The α-smooth muscle actin used as a signal of blood vessel formation was stained and counted. The 5 mm defects showed significantly better bone union and a higher bone healing score than the 10 mm defects. HAD being used for the smaller defects resulted in a significantly higher bone healing score even than for the induced membrane and significantly higher blood vessel formation, corroborating the good results achieved by using HAD in previous studies. In comparison, same-sized groups showed significant differences in bone healing as well as blood vessel formation, suggesting that 5 mm defects are large enough to show different results in healing depending on treatment; therefore, 5 mm is a viable size for further studies on bone healing. Full article
(This article belongs to the Special Issue Biomaterials for Bone Repair and Regeneration)
Show Figures

Figure 1

12 pages, 2553 KB  
Article
Use of Autologous Bone Graft with Bioactive Glass as a Bone Substitute in the Treatment of Large-Sized Bone Defects of the Femur and Tibia
by Sebastian Findeisen, Niklas Gräfe, Melanie Schwilk, Thomas Ferbert, Lars Helbig, Patrick Haubruck, Gerhard Schmidmaier and Michael Tanner
J. Pers. Med. 2023, 13(12), 1644; https://doi.org/10.3390/jpm13121644 - 24 Nov 2023
Cited by 9 | Viewed by 2823
Abstract
Background: Managing bone defects in non-union surgery remains challenging, especially in cases of large defects exceeding 5 cm in size. Historically, amputation and compound osteosynthesis with a remaining PMMA spacer have been viable and commonly used options. The risk of non-union after fractures [...] Read more.
Background: Managing bone defects in non-union surgery remains challenging, especially in cases of large defects exceeding 5 cm in size. Historically, amputation and compound osteosynthesis with a remaining PMMA spacer have been viable and commonly used options. The risk of non-union after fractures varies between 2% and 30% and is dependent on various factors. Autologous bone grafts from the iliac crest are still considered the gold standard but are limited in availability, prompting consideration of artificial grafts. Objectives: The aims and objectives of the study are as follows: 1. To evaluate the radiological outcome of e.g., the consolidation and thus the stability of the bone (three out of four consolidated cortices/Lane-Sandhu-score of at least 3) by using S53P4-type bioactive glass (BaG) as a substitute material for large-sized bone defects in combination with autologous bone using the RIA technique. 2. To determine noticeable data-points as a base for future studies. Methods: In our clinic, 13 patients received bioactive glass (BaG) as a substitute in non-union therapy to promote osteoconductive aspects. BaG is a synthetic material composed of sodium, silicate, calcium, and phosphate. The primary endpoint of our study was to evaluate the radiological consolidation of bone after one and two years. To assess bone stabilization, we used a modified Lane-Sandhu score, considering only radiological criteria. A bone was considered stabilized if it achieved a minimum score of 3. For full consolidation (all four cortices consolidated), a minimum score of 4 was required. Each bone defect exceeded 5 cm in length, with an average size of 6.69 ± 1.92 cm. Results: The mean follow-up period for patients without final bone consolidation was 34.25 months, with a standard deviation of 14.57 months, a median of 32.00 months and a range of 33 months. In contrast, patients with a fully consolidated non-union had an average follow-up of 20.11 ± 15.69 months and a range of 45 months. Overall, the mean time from non-union surgery to consolidation for patients who achieved final union was 14.91 ± 6.70 months. After one year, six patients (46.2%) achieved complete bone consolidation according to the Lane-Sandhu score. Three patients (23.1%) displayed evident callus formation with expected stability, while three patients (23.1%) did not develop any callus, and one patient only formed a minimal callus with no expected stability. After two years, 9 out of 13 patients (69.2%) had a score of 4. The remaining four patients (30.8%) without expected stability either did not heal within two years or required a revision during that time. Conclusions: Bioactive glass (BaG) in combination with autologous bone (RIA) appears to be a suitable filler material for treating extensive non-unions of the femur and tibia. This approach seems to show non-inferiority to treatment with Tricalcium Phosphate (TCP). To ensure the success of this treatment, it is crucial to validate the procedure through a randomized controlled trial (RCT) with a control group using TCP, which would provide higher statistical power and more reliable results. Full article
(This article belongs to the Special Issue New Concepts in Musculoskeletal Medicine)
Show Figures

Figure 1

15 pages, 3231 KB  
Review
Current Management of Diaphyseal Long Bone Defects—A Multidisciplinary and International Perspective
by Steffen Bernd Rosslenbroich, Chang-Wug Oh, Thomas Kern, John Mukhopadhaya, Michael Johannes Raschke, Ulrich Kneser and Christian Krettek
J. Clin. Med. 2023, 12(19), 6283; https://doi.org/10.3390/jcm12196283 - 29 Sep 2023
Cited by 6 | Viewed by 4021
Abstract
The treatment of defects of the long bones remains one of the biggest challenges in trauma and orthopedic surgery. The treatment path is usually very wearing for the patient, the patient’s environment and the treating physician. The clinical or regional circumstances, the defect [...] Read more.
The treatment of defects of the long bones remains one of the biggest challenges in trauma and orthopedic surgery. The treatment path is usually very wearing for the patient, the patient’s environment and the treating physician. The clinical or regional circumstances, the defect etiology and the patient´s condition and mental status define the treatment path chosen by the treating surgeon. Depending on the patient´s demands, the bony reconstruction has to be taken into consideration at a defect size of 2–3 cm, especially in the lower limbs. Below this defect size, acute shortening or bone grafting is usually preferred. A thorough assessment of the patient´s condition including comorbidities in a multidisciplinary manner and her or his personal demands must be taken into consideration. Several techniques are available to restore continuity of the long bone. In general, these techniques can be divided into repair techniques and reconstructive techniques. The aim of the repair techniques is anatomical restoration of the bone with differentiation of the cortex and marrow. Currently, classic, hybrid or all-internal distraction devices are technical options. However, they are all based on distraction osteogenesis. Reconstructive techniques restore long-bone continuity by replacing the defect zone with autologous bone, e.g., with a vascularized bone graft or with the technique described by Masquelet. Allografts for defect reconstruction in long bones might also be described as possible options. Due to limited access to allografts in many countries and the authors’ opinion that allografts result in poorer outcomes, this review focuses on autologous techniques and gives an internationally aligned overview of the current concepts in repair or reconstruction techniques of segmental long-bone defects. Full article
(This article belongs to the Special Issue Advances in Trauma and Orthopedic Surgery)
Show Figures

Figure 1

6 pages, 262 KB  
Editorial
Questions about Using the Induced Membrane Technique to Manage Cases of Congenital Tibial Pseudarthrosis
by Céline Klein, Florelle Gindraux, Alain-Charles Masquelet, Romuald Mentaverri and Richard Gouron
Cells 2023, 12(14), 1918; https://doi.org/10.3390/cells12141918 - 24 Jul 2023
Viewed by 1994
Abstract
The induced membrane technique is an innovative approach for repairing critical bone defects and has been applied recently in patients with congenital pseudarthrosis of the tibia (CPT). CPT is frequently associated with neurofibromatosis type 1 (NF1). Here, we briefly describe the clinical results [...] Read more.
The induced membrane technique is an innovative approach for repairing critical bone defects and has been applied recently in patients with congenital pseudarthrosis of the tibia (CPT). CPT is frequently associated with neurofibromatosis type 1 (NF1). Here, we briefly describe the clinical results of the induced membrane technique in NF1-deficient patients with CPT and in an animal model of CPT. Furthermore, we discuss the hypotheses used to explain inconsistent outcomes for the induced membrane technique in CPT–especially when associated with NF1. Full article
(This article belongs to the Special Issue Mineralized Tissues Repair and Regeneration 2.0)
35 pages, 13678 KB  
Review
The Concept of Scaffold-Guided Bone Regeneration for the Treatment of Long Bone Defects: Current Clinical Application and Future Perspective
by Markus Laubach, Frank Hildebrand, Sinduja Suresh, Michael Wagels, Philipp Kobbe, Fabian Gilbert, Ulrich Kneser, Boris M. Holzapfel and Dietmar W. Hutmacher
J. Funct. Biomater. 2023, 14(7), 341; https://doi.org/10.3390/jfb14070341 - 27 Jun 2023
Cited by 99 | Viewed by 12788
Abstract
The treatment of bone defects remains a challenging clinical problem with high reintervention rates, morbidity, and resulting significant healthcare costs. Surgical techniques are constantly evolving, but outcomes can be influenced by several parameters, including the patient’s age, comorbidities, systemic disorders, the anatomical location [...] Read more.
The treatment of bone defects remains a challenging clinical problem with high reintervention rates, morbidity, and resulting significant healthcare costs. Surgical techniques are constantly evolving, but outcomes can be influenced by several parameters, including the patient’s age, comorbidities, systemic disorders, the anatomical location of the defect, and the surgeon’s preference and experience. The most used therapeutic modalities for the regeneration of long bone defects include distraction osteogenesis (bone transport), free vascularized fibular grafts, the Masquelet technique, allograft, and (arthroplasty with) mega-prostheses. Over the past 25 years, three-dimensional (3D) printing, a breakthrough layer-by-layer manufacturing technology that produces final parts directly from 3D model data, has taken off and transformed the treatment of bone defects by enabling personalized therapies with highly porous 3D-printed implants tailored to the patient. Therefore, to reduce the morbidities and complications associated with current treatment regimens, efforts have been made in translational research toward 3D-printed scaffolds to facilitate bone regeneration. Three-dimensional printed scaffolds should not only provide osteoconductive surfaces for cell attachment and subsequent bone formation but also provide physical support and containment of bone graft material during the regeneration process, enhancing bone ingrowth, while simultaneously, orthopaedic implants supply mechanical strength with rigid, stable external and/or internal fixation. In this perspective review, we focus on elaborating on the history of bone defect treatment methods and assessing current treatment approaches as well as recent developments, including existing evidence on the advantages and disadvantages of 3D-printed scaffolds for bone defect regeneration. Furthermore, it is evident that the regulatory framework and organization and financing of evidence-based clinical trials remains very complex, and new challenges for non-biodegradable and biodegradable 3D-printed scaffolds for bone regeneration are emerging that have not yet been sufficiently addressed, such as guideline development for specific surgical indications, clinically feasible design concepts for needed multicentre international preclinical and clinical trials, the current medico-legal status, and reimbursement. These challenges underscore the need for intensive exchange and open and honest debate among leaders in the field. This goal can be addressed in a well-planned and focused stakeholder workshop on the topic of patient-specific 3D-printed scaffolds for long bone defect regeneration, as proposed in this perspective review. Full article
(This article belongs to the Special Issue Advanced Functional Biomaterials in Regenerative Medicine)
Show Figures

Figure 1

Back to TopTop