Sign in to use this feature.

Years

Between: -

Subjects

remove_circle_outline
remove_circle_outline
remove_circle_outline
remove_circle_outline
remove_circle_outline
remove_circle_outline
remove_circle_outline
remove_circle_outline
remove_circle_outline

Journals

Article Types

Countries / Regions

Search Results (36)

Search Parameters:
Keywords = Markov transfer matrix

Order results
Result details
Results per page
Select all
Export citation of selected articles as:
39 pages, 22038 KB  
Article
UIMM-Tracker: IMM-Based with Uncertainty Detection for Video Satellite Infrared Small-Target Tracking
by Yuanxin Huang, Xiyang Zhi, Zhichao Xu, Wenbin Chen, Qichao Han, Jianming Hu, Yi Sui and Wei Zhang
Remote Sens. 2025, 17(12), 2052; https://doi.org/10.3390/rs17122052 - 14 Jun 2025
Viewed by 693
Abstract
Infrared video satellites have the characteristics of wide-area long-duration surveillance, enabling continuous operation day and night compared to visible light imaging methods. Therefore, they are widely used for continuous monitoring and tracking of important targets. However, energy attenuation caused by long-distance radiation transmission [...] Read more.
Infrared video satellites have the characteristics of wide-area long-duration surveillance, enabling continuous operation day and night compared to visible light imaging methods. Therefore, they are widely used for continuous monitoring and tracking of important targets. However, energy attenuation caused by long-distance radiation transmission reduces imaging contrast and leads to the loss of edge contours and texture details, posing significant challenges to target tracking algorithm design. This paper proposes an infrared small-target tracking method, the UIMM-Tracker, based on the tracking-by-detection (TbD) paradigm. First, detection uncertainty is measured and injected into the multi-model observation noise, transferring the distribution knowledge of the detection process to the tracking process. Second, a dynamic modulation mechanism is introduced into the Markov transition process of multi-model fusion, enabling the tracking model to autonomously adapt to targets with varying maneuvering states. Additionally, detection uncertainty is incorporated into the data association method, and a distance cost matrix between trajectories and detections is constructed based on scale and energy invariance assumptions, improving tracking accuracy. Finally, the proposed method achieves average performance scores of 68.5%, 45.6%, 56.2%, and 0.41 in IDF1, MOTA, HOTA, and precision metrics, respectively, across 20 challenging sequences, outperforming classical methods and demonstrating its effectiveness. Full article
Show Figures

Figure 1

19 pages, 5342 KB  
Article
Spatio-Temporal Analysis of the Redundancies of Construction Land in the Beijing-Tianjin-Hebei Region (2000–2020)
by Ting Zhang, Rui Shen, Yongqing Xie, Haowen Gao and Weitong Lv
ISPRS Int. J. Geo-Inf. 2025, 14(4), 173; https://doi.org/10.3390/ijgi14040173 - 16 Apr 2025
Viewed by 516
Abstract
Excessive redundancy of construction land in county-level units within the Beijing-Tianjin-Hebei region has become a significant obstacle to achieving high-quality development. The objective of this study is to discover the spatial and temporal patterns of redundancy of construction land, with a view to [...] Read more.
Excessive redundancy of construction land in county-level units within the Beijing-Tianjin-Hebei region has become a significant obstacle to achieving high-quality development. The objective of this study is to discover the spatial and temporal patterns of redundancy of construction land, with a view to providing insights for promoting efficient land use. The study employs the SBM-DEA model, Markov transfer probability matrix analysis, and multiple regression analysis to analyze the spatial change characteristics, spatial differentiation, and influencing factors of construction land redundancy in this Beijing-Tianjin-Hebei county unit during the period of 2000–2020. The study shows that the Beijing-Tianjin-Hebei county unit has a serious oversupply of land and, combined with the reasons for redundancy in each sub-region, the degree of spatial redundancy has already formed a spatial lock-in effect. The degree of redundancy of construction land is affected by a variety of factors such as location, scale, economy, and facilities. Furthermore, the study puts forward suggestions for improving land use efficiency in Beijing-Tianjin-Hebei county units by adjusting the construction land supply and demand relationship, mechanisms to facilitate the flow of development factors, and strengthening land use supervision. These measures aim to reduce redundancy of construction land and support sustainable high-quality development in the region. Full article
Show Figures

Figure 1

23 pages, 3329 KB  
Article
Dynamic Evolution and Trend Forecasting of New Quality Productive Forces Development Levels in Chinese Urban Agglomerations
by Yufang Shi, Xin Wang and Tianlun Zhang
Sustainability 2025, 17(4), 1559; https://doi.org/10.3390/su17041559 - 13 Feb 2025
Cited by 2 | Viewed by 1432
Abstract
New quality productive forces serve as a catalyst for high-quality development and act as a critical driver of Chinese-style modernization. This study evaluated the degree of new quality productive force in China’s five major urban agglomerations between 2013 and 2022 using the entropy [...] Read more.
New quality productive forces serve as a catalyst for high-quality development and act as a critical driver of Chinese-style modernization. This study evaluated the degree of new quality productive force in China’s five major urban agglomerations between 2013 and 2022 using the entropy approach. Additionally, it utilized kernel density estimation, the Dagum Gini coefficient, and Markov chain analysis to explore the spatial and temporal dynamics of these forces and their evolutionary trends. The findings revealed the following: (1) Overall, the new quality productive forces in China’s five major urban agglomerations have exhibited a steady upward trend, although the overall level remains relatively low. Among these regions, the Pearl River Delta ranks the highest, followed by the Yangtze River Delta, Beijing–Tianjin–Hebei, Chengdu–Chongqing, and the Urban Cluster in the Middle Reaches of the Yangtze River. Nevertheless, significant potential for improvement persists. (2) The traditional Markov probability transfer matrix suggests that the new quality productive forces in these urban agglomerations are relatively stable, with evidence of “club convergence”. Meanwhile, the spatial Markov transfer probability matrix indicates that transfer probabilities are influenced by neighborhood contexts. (3) Over time, the new quality productive forces in Chinese urban agglomerations show a tendency to concentrate at higher levels, reflecting gradual improvement. The developmental state and evolutionary patterns of new quality productive forces in Chinese urban agglomerations are thoroughly evaluated in this paper, along with advice for accelerating their growth to promote Chinese-style modernization. Full article
(This article belongs to the Special Issue Advances in Economic Development and Business Management)
Show Figures

Figure 1

17 pages, 7446 KB  
Article
Study on Wetland Evolution and Landscape Pattern Changes in the Shaanxi Section of the Loess Plateau in the Past 40 Years
by Zhaona Xue, Yiyong Wang, Rong Huang and Linjia Yao
Land 2024, 13(8), 1268; https://doi.org/10.3390/land13081268 - 12 Aug 2024
Cited by 5 | Viewed by 1671
Abstract
The Shaanxi section is the central region of the Loess Plateau. Its unique wetland environment plays an indispensable role in regional ecological environment security. Clarifying the characteristics of wetland changes in the region is an important prerequisite for wetland management and protection. This [...] Read more.
The Shaanxi section is the central region of the Loess Plateau. Its unique wetland environment plays an indispensable role in regional ecological environment security. Clarifying the characteristics of wetland changes in the region is an important prerequisite for wetland management and protection. This study, based on the remote sensing data of the Shaanxi section of the Loess Plateau, analyzed the changes in the wetland area and type transfer in this region in 1980, 1990, 2000, 2010 and 2020 using the wetland dynamic degree model, the Markov transfer matrix, the landscape pattern index, and centroid analysis. The results showed that, from 1980 to 2020, the total wetland area and natural wetland area in the Shaanxi section of the Loess Plateau continued to shrink, decreasing by 79.35 km2 and 80.50 km2, respectively, while the artificial wetland area increased by 1.14 km2. Among the regions, Xi’an experienced the most significant reduction, with a total decrease of 83.04 km2 over 40 years, followed by Xianyang City, where the wetland area decreased by 6.50 km2. In contrast, the wetland areas of Yulin City, Weinan City, Yan’an City, Baoji City and Tongchuan City increased slightly. From 1980 to 2020, the change in the wetland types in the Shaanxi section of the Loess Plateau was mainly characterized by transfers between beach lands and river canals. River canals are the primary type of wetland in this region. The degree of fragmentation is the highest in reservoir potholes, while marshes have the largest clumpiness index. Over the same period, the centroid of the wetlands in the Shaanxi section of the Loess Plateau moved from south to north as a whole, although, between 1990 and 2000, the centroid position remained relatively stable. These results provide a theoretical basis and data support for wetland monitoring and protection in the Shaanxi section of the Loess Plateau and also provide a reference for the protection and sustainable development of other inland wetland resources in arid and semi-arid regions. Full article
Show Figures

Figure 1

13 pages, 1279 KB  
Article
Fault Distance Measurement in Distribution Networks Based on Markov Transition Field and Darknet-19
by Haozhi Wang, Wei Guo and Yuntao Shi
Mathematics 2024, 12(11), 1665; https://doi.org/10.3390/math12111665 - 27 May 2024
Cited by 4 | Viewed by 1268
Abstract
The modern distribution network system is gradually becoming more complex and diverse, and traditional fault location methods have difficulty in quickly and accurately locating the fault location after a single-phase ground fault occurs. Therefore, this study proposes a new solution based on the [...] Read more.
The modern distribution network system is gradually becoming more complex and diverse, and traditional fault location methods have difficulty in quickly and accurately locating the fault location after a single-phase ground fault occurs. Therefore, this study proposes a new solution based on the Markov transfer field and deep learning to predict the fault location, which can accurately predict the location of a single-phase ground fault in the distribution network. First, a new phase-mode transformation matrix is used to take the fault current of the distribution network as the modulus 1 component, avoiding complex calculations in the complex field; then, the extracted modulus 1 component of the current is transformed into a Markov transfer field and converted into an image using pseudo-color coding, thereby fully exploiting the fault signal characteristics; finally, the Darknet-19 network is used to automatically extract fault features and predict the distance of the fault occurrence. Through simulations on existing models and training and testing with a large amount of data, the experimental results show that this method has good stability, high accuracy, and strong anti-interference ability. This solution can effectively predict the distance of ground faults in distribution networks. Full article
(This article belongs to the Special Issue Complex Process Modeling and Control Based on AI Technology)
Show Figures

Figure 1

20 pages, 8025 KB  
Article
Impact of Urban Expansion on Carbon Emissions in the Urban Agglomerations of Yellow River Basin, China
by Zhenwei Wang, Yi Zeng, Xiaochun Wang, Tianci Gu and Wanxu Chen
Land 2024, 13(5), 651; https://doi.org/10.3390/land13050651 - 10 May 2024
Cited by 6 | Viewed by 2237
Abstract
Continued urban expansion (UE) has long been regarded as a huge challenge for climate change mitigation. However, much less is known about how UE affects carbon emissions (CEs), especially in the urban agglomerations of the Yellow River Basin (UAYRB), China. In this regard, [...] Read more.
Continued urban expansion (UE) has long been regarded as a huge challenge for climate change mitigation. However, much less is known about how UE affects carbon emissions (CEs), especially in the urban agglomerations of the Yellow River Basin (UAYRB), China. In this regard, this study introduced kernel density analysis, the Gini coefficient, and Markov chains to reveal the UE patterns and carbon emissions intensity (CEI) in the UAYRB at the county level, and explored the spatial heterogeneity of the impact of UE on CEI with the geographically and temporally weighted regression model. The results show that both CEI and UE in the UAYRB showed a steady growing trend during the study period. The kernel density of CEI and UE revealed that CEI in the UAYRB was weakening, while the UE rate continuously slowed down. The Gini coefficients of both CEI and UE in the UAYRB region were at high levels, indicating obvious spatial imbalance. The Markov transfer probability matrix for CEI with a time span of five years showed that CEI growth will still occur over the next five years, while that of UE was more obvious. Meanwhile, counties with a regression coefficient of UE on CEI higher than 0 covered the majority, and the distribution pattern remained quite stable. The regression coefficients of different urban landscape metrics on CEI in the UAYRB varied greatly; except for the landscape shape index, the regression coefficients of the aggregation index, interspersion and juxtaposition index, and patch density overall remained positive. These findings can advance the policy enlightenment of the high-quality development of the Yellow River Basin. Full article
Show Figures

Figure 1

23 pages, 8773 KB  
Article
An Adaptive IMM Algorithm for a PD Radar with Improved Maneuvering Target Tracking Performance
by Wenwen Xu, Jiankang Xiao, Dalong Xu, Hao Wang and Jianyin Cao
Remote Sens. 2024, 16(6), 1051; https://doi.org/10.3390/rs16061051 - 15 Mar 2024
Cited by 8 | Viewed by 2151
Abstract
A pulse-Doppler (PD) radar has the advantage of strong anti-interference ability, and it is often used as a solution for maneuvering target tracking. In the application of target monitoring and tracking in PD radars, the interacting multiple model algorithm (IMM) has become the [...] Read more.
A pulse-Doppler (PD) radar has the advantage of strong anti-interference ability, and it is often used as a solution for maneuvering target tracking. In the application of target monitoring and tracking in PD radars, the interacting multiple model algorithm (IMM) has become the main and preferred choice due to its flexibility and high accuracy. However, the probability transfer matrix in classical IMM algorithms generally depends on constant prior knowledge, and if a PD radar is tracking a strong maneuvering target, it is inevitable to encounter some limitations, such as the possibility of target tracking trajectory deviation, and even a loss of the target. The Markov probability transfer matrix is proposed with an adaptive modification ability in real time to overcome the above problems in this paper. Additionally, for improving the speed of switching between the models, the fuzzy control system for secondary updating of model probability is adopted. By this means, the tracking accuracy of maneuvering targets is enhanced. Compared with the classical IMM algorithm, the corresponding simulation results for the PD radar indicate that the overall tracking accuracy of the proposed adaptive IMM algorithm is improved by 19.6%. In conclusion, the continuity and accuracy of the target trajectory can be effectively improved with the proposed adaptive IMM algorithm in PD radar cases. Full article
Show Figures

Graphical abstract

22 pages, 4771 KB  
Article
A Performance Prediction Method Utilizing Time-Dependent Subsystem Transfers between Family Systems
by Wei Cai, Zhuofang Li, Ming Zhu, Rui Guo, Jianwei Wang and Jingyi Zhao
Appl. Sci. 2024, 14(6), 2448; https://doi.org/10.3390/app14062448 - 14 Mar 2024
Cited by 1 | Viewed by 1086
Abstract
Based on cluster system theory and the Markov process, a performance prediction method utilizing time-dependent subsystem transfers between family systems is proposed in this paper. The family system is divided via the mean clustering method, with the key performance parameters of subsystems utilized [...] Read more.
Based on cluster system theory and the Markov process, a performance prediction method utilizing time-dependent subsystem transfers between family systems is proposed in this paper. The family system is divided via the mean clustering method, with the key performance parameters of subsystems utilized as identification parameters. According to the transition quantity of subsystems in the family systems, the transition probability of subsystems between family systems is described via the Markov process. The transition matrix between subsystems is established by dividing multiple intervals of key performance states. The inter-family transfer matrix and the current family system label of the subsystem are updated in real time. Thus, the transition probability of any subsystem and the total number of subsystems to be transferred to the failure-state family system can be judged, and the remaining life can be further determined. Using the real-world monitoring dataset from the FAST Telescope, the effectiveness and accuracy of the method are verified. Due to the representativeness of family systems to subsystems and the powerful transfer-describing ability of Markov processes, the proposed method shows superiority in online prediction and performance evaluation compared to the fault data-based method, such as improvements in rapidity and accuracy. In addition, the proposed method can be used to evaluate overall reliability without reference samples, thus making the prediction method more practical in complex, large systems with small or even zero sample conditions. Full article
Show Figures

Figure 1

15 pages, 16359 KB  
Article
Analysis and Simulation of Land Use Changes and Their Impact on Carbon Stocks in the Haihe River Basin by Combining LSTM with the InVEST Model
by Yanzhen Lin, Lei Chen, Ying Ma and Tingting Yang
Sustainability 2024, 16(6), 2310; https://doi.org/10.3390/su16062310 - 11 Mar 2024
Cited by 8 | Viewed by 1810
Abstract
The quantitative analysis and prediction of spatiotemporal patterns of land use in Haihe River Basin are of great significance for land use and ecological planning management. To reveal the changes in land use and carbon stock, the spatial–temporal pattern of land use data [...] Read more.
The quantitative analysis and prediction of spatiotemporal patterns of land use in Haihe River Basin are of great significance for land use and ecological planning management. To reveal the changes in land use and carbon stock, the spatial–temporal pattern of land use data in the Haihe River Basin from 2000 to 2020 was studied via Mann–Kendall (MK) trend analysis, the transfer matrix, and land use dynamic attitude. Through integrating the models of the Integrated Valuation of Ecosystem Services and Trade-offs (InVEST) and the Long Short-Term Memory (LSTM), the results of the spatial distribution of land use and carbon stock were obtained and compared with Cellular Automation (CA-Markov), and then applied to predict the spatial distribution in 2025. The results show the following: (1) The land use and land cover (LULC) changes in the Haihe River Basin primarily involve an exchange between cultivated land, forest, and grassland, as well as the conversion of cultivated land to built-up land. This transformation contributes to the overall decrease in carbon storage in the basin, which declined by approximately 1.20% from 2000 to 2020. (2) The LULC prediction accuracy of LSTM is nearly 2.00% higher than that of CA-Markov, reaching 95.01%. (3) In 2025, the area of grassland in Haihe River Basin will increase the most, while the area of cultivated land will decrease the most. The spatial distribution of carbon stocks is higher in the northwest and lower in the southeast, and the changing areas are scattered throughout the study area. However, due to the substantial growth of grassland and forest, the carbon stocks in the Haihe River Basin in 2025 will increase by about 10 times compared with 2020. The research results can provide a theoretical basis and reference for watershed land use planning, ecological restoration, and management. Full article
Show Figures

Figure 1

22 pages, 5765 KB  
Article
The Impact of Groundwater Burial Depth on the Vegetation of the Dariyabui Oasis in the Central Desert
by Yunbao Bai, Yuchuan Guo, Huijing Wang, Ning Wang, Xuan Wei, Mingtong Zhou, Tiantian Lu and Zihui Zhang
Sustainability 2024, 16(1), 378; https://doi.org/10.3390/su16010378 - 31 Dec 2023
Cited by 4 | Viewed by 1704
Abstract
Vegetation and groundwater are important components of the ecological environment of oases in desert hinterlands and their relationship is crucial to ecosystem stability. In this study, Sentinel-2 data for 2016–2022 and measured groundwater burial depths were analysed for the Dariyabui Oasis in the [...] Read more.
Vegetation and groundwater are important components of the ecological environment of oases in desert hinterlands and their relationship is crucial to ecosystem stability. In this study, Sentinel-2 data for 2016–2022 and measured groundwater burial depths were analysed for the Dariyabui Oasis in the hinterland of the Taklamakan Desert. The spatial and temporal changes in vegetation and groundwater burial depth from 2019 to 2022 were analysed based on the image–element dichotomous model of the normalised difference vegetation index, utilising the inverse distance weight interpolation method, cubic curve regression, image–element difference, slope trend analysis, and the Markov transfer matrix for determining the temporal and spatial response law between the two. Finally, the threshold value of groundwater burial depth for different vegetation cover types was clarified. The fractional vegetation cover of the Dariyabui Oasis showed a slight increase from 2016 to 2022. Vegetation in the northwest and southeast of the oasis increased, whereas vegetation decreased in the mid-north and northeast regions; 5.14% of the total area experienced increased coverage, whereas 3.35% experienced decreased coverage. The depth of groundwater in the oasis showed a pattern of gradual increase from the entrance to the end of the oasis, that is, south to north. The depth of groundwater in the oasis from 2019 to 2022 was stable, with a 4-year average depth of 4.1069 m and a maximum fluctuation of 0.4560 m. The interannual changes in the groundwater level showed an increasing trend in January–April, while groundwater levels showed a decreasing trend in May–July and August–October and remained constant in June–July and October–December. Oasis vegetation cover showed a negative correlation with groundwater depth, with a depth interval for the highest low-cover vegetation distribution of 3–6 m, and an ultimate depth threshold of 7 m. The depth interval with the highest medium-cover vegetation distribution was 3–4 m, that with the highest high-cover distribution was 2–4 m, and the ultimate depth threshold was 6 m. The depth of the oasis ranged from 3 to 6 m and the ultimate depth threshold was 7 m. Full article
(This article belongs to the Section Sustainability in Geographic Science)
Show Figures

Figure 1

21 pages, 4187 KB  
Article
Temporal and Spatial Changes and Trend Predictions of Forest Carbon Sequestration Efficiency in China Based on the Carbon Neutrality Goal
by Sixue Zhao, Wei Shi, Fuwei Qiao, Chengyuan Wang, Yi An and Luyao Zhang
Forests 2023, 14(12), 2387; https://doi.org/10.3390/f14122387 - 7 Dec 2023
Cited by 4 | Viewed by 1756
Abstract
Forestry’s high-quality development is crucial for China’s sustainable ecological, economic, and social progress. To elevate the efficiency of carbon sequestration in forestry, continuously improve the increment of carbon sinks, and contribute to achieving carbon neutrality, it is crucial to accurately assess the level [...] Read more.
Forestry’s high-quality development is crucial for China’s sustainable ecological, economic, and social progress. To elevate the efficiency of carbon sequestration in forestry, continuously improve the increment of carbon sinks, and contribute to achieving carbon neutrality, it is crucial to accurately assess the level of carbon sequestration efficiency in China’s forestry and explore its long-term evolution trend. In this paper, a super-efficiency SBM model, which combines the SBM model with the super-efficiency method and considers the relaxation variables, was selected to evaluate the forestry carbon sequestration efficiency of 31 provinces in China; likewise, the temporal development features of the efficacy of Chinese forests in sequestering carbon were examined using the nuclear density estimation method. Secondly, the study constructed traditional and spatial Markov probability transfer matrices to further explore the spatiotemporal evolution of carbon sequestration efficiency within Chinese forestry. Finally, combined with the Markov chain infinite distribution matrix, the future trajectory of carbon sequestration efficiency in China’s forestry was scientifically forecasted. The findings indicate that: (1) The average carbon sequestration efficiency of forestry in China showed a stable increase with fluctuations and reached the optimal state in 2018. The carbon sequestration efficiency level of various forest regions was always portrayed as southwest forest region > southern forest region > northeast forest region > northern forest region. From 2003 to 2018, there were significant differences in forestry carbon sequestration efficiency among provinces. The distribution of forestry carbon sequestration efficiency exhibited a “three-pillar” distribution pattern with Xizang, Zhejiang, and Heilongjiang as the core, and the marginal regions continuously promoted the carbon sequestration efficiency to the inland. (2) The type of transfer of forestry carbon sequestration efficiency in China is stable, and it is difficult to achieve cross-stage transfer in the short term. Moreover, the forestry carbon sequestration efficiency of each province tended to converge to a high (low) level over time, showing a “bimodal distribution” of low efficiency and high efficiency, indicating the existence of the obvious “club convergence phenomenon”. (3) Forecasting from a long-term evolution trend perspective, the outlook for the future evolution of forestry carbon sequestration efficiency in China is optimistic, and the overall trend was concentrated in the high-value area. Therefore, future forestry development in China should contemplate both internal structure optimization and coordinated regional development. Attention should be placed on forestry carbon sequestration’s role while considering the distinctive endowments of each region and developing reasonable, differentiated, and collaborative forestry management strategies. Full article
(This article belongs to the Section Forest Inventory, Modeling and Remote Sensing)
Show Figures

Graphical abstract

21 pages, 2309 KB  
Article
Dynamic Evolution of High-Quality Economic Development Levels: Regional Differences and Distribution in West China
by Jinhuang Mao, Zhenyu Wang and Tianyang Ma
Land 2023, 12(11), 1975; https://doi.org/10.3390/land12111975 - 26 Oct 2023
Cited by 8 | Viewed by 2505
Abstract
A comprehensive and scientific system for measuring the quality of economic development will provide the basis for and guarantee high-quality economic development (HQED) in China. In this paper, we constructed an indicator-evaluating system for the high-quality development of the western region’s economy according [...] Read more.
A comprehensive and scientific system for measuring the quality of economic development will provide the basis for and guarantee high-quality economic development (HQED) in China. In this paper, we constructed an indicator-evaluating system for the high-quality development of the western region’s economy according to a new development concept and the relevant requirements of western development and measured the composite index and sub-dimension index of its HQED from 2000 to 2020 using the entropy method; revealed the regional differences and sources of western HQED using the Dagum Gini index (GI) decomposition method; and analyzed the evolution of HQED using kernel density estimation and the Markov probability transfer matrix. The study showed that western HQED was on the rise year by year, but there was a large gap between the 11 provinces, characterized by “high in the middle and low on the edge” values in general; inter-regional differences constituted the main source of overall differences; and western HQED showed “club convergence” in a steady state, with upward shifts more likely than downward shifts. Full article
(This article belongs to the Special Issue Urban Sprawl: Spatial Planning, Vision Making and Externalities)
Show Figures

Figure 1

20 pages, 3366 KB  
Article
Analysis and Forecast of Land Use and Carbon Sink Changes in Jilin Province, China
by Mengqi Wei, Chong Du and Xuege Wang
Sustainability 2023, 15(19), 14040; https://doi.org/10.3390/su151914040 - 22 Sep 2023
Cited by 3 | Viewed by 1861
Abstract
Based on the land use data changes in Jilin Province in 2011, 2014, 2017, and 2020, this paper analyzes the land use changes during 2011–2020 through the land use transfer matrix, calculates the changes in carbon sinks of recent years, and then uses [...] Read more.
Based on the land use data changes in Jilin Province in 2011, 2014, 2017, and 2020, this paper analyzes the land use changes during 2011–2020 through the land use transfer matrix, calculates the changes in carbon sinks of recent years, and then uses the CA–Markov model to predict the land use types and carbon sinks in Jilin Province in 2030 and discusses the driving factors. The results show that cultivated land and forest land are the two major land use types in Jilin Province, and the area of cultivated land, water bodies, and artificial ground in the province increased from 2011 to 2020; the increased area of artificial ground was mainly converted from cultivated land, accounting for 70.34% of the total converted area. The area of forest land is mainly converted along with the area of cultivated land, and grassland is mainly converted to arable areas, accounting for 84.96% of the total converted area. Water bodies and wasteland are mainly converted to cropland and artificial ground, and the area of artificial ground undergoing transfer is smaller. The change in carbon sinks mainly comes from woodland carbon sinks and grassland carbon sinks. In 2030, compared with 2020, the area of woodland, grassland, and wasteland and the corresponding carbon sink is predicted to decrease, among which the area and carbon sink of woodland decrease the most. The factors for land use type change include the slope factor, road factor, township center, and socio-economic drivers. Full article
Show Figures

Figure 1

19 pages, 1299 KB  
Article
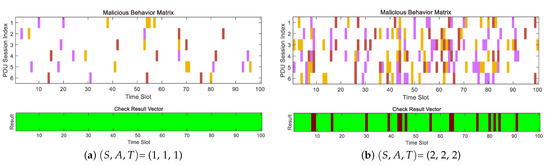
LERMS: A Low-Latency and Reliable Downlink Packet-Level Encoding Transmission Method in Untrusted 5GA Edge Network
by Zhongfu Guo, Xinsheng Ji, Wei You, Mingyan Xu, Yu Zhao, Zhimo Cheng, Deqiang Zhou and Lingwei Wang
Entropy 2023, 25(7), 966; https://doi.org/10.3390/e25070966 - 21 Jun 2023
Cited by 1 | Viewed by 1647
Abstract
The increasing demand for end-to-end low-latency and high-reliability transmissions between edge computing nodes and user elements in 5G Advance edge networks has brought new challenges to the transmission of data. In response, this paper proposes LERMS, a packet-level encoding transmission scheme designed for [...] Read more.
The increasing demand for end-to-end low-latency and high-reliability transmissions between edge computing nodes and user elements in 5G Advance edge networks has brought new challenges to the transmission of data. In response, this paper proposes LERMS, a packet-level encoding transmission scheme designed for untrusted 5GA edge networks that may encounter malicious transmission situations such as data tampering, discarding, and eavesdropping. LERMS achieves resiliency against such attacks by using 5GA Protocol data unit (PDU) coded Concurrent Multipath Transfer (CMT) based on Lagrangian interpolation and Raptor’s two-layer coding, which provides redundancy to eliminate the impact of an attacker’s malicious behavior. To mitigate the increased queuing delay resulting from encoding in data blocks, LERMS is queue-aware with variable block length. Its strategy is modeled as a Markov chain and optimized using a matrix method. Numerical results demonstrate that LERMS achieves the optimal trade-off between delay and reliability while providing resiliency against untrusted edge networks. Full article
(This article belongs to the Section Information Theory, Probability and Statistics)
Show Figures

Figure 1

18 pages, 15603 KB  
Article
Effects and Spatial Spillover of Manufacturing Agglomeration on Carbon Emissions in the Yellow River Basin, China
by Dan Wang, Yan Liu and Yu Cheng
Sustainability 2023, 15(12), 9386; https://doi.org/10.3390/su15129386 - 11 Jun 2023
Cited by 9 | Viewed by 1877
Abstract
Manufacturing agglomeration is an important manifestation for cities to enhance their competitiveness, and the resource and environmental effects caused by agglomeration have become a hot topic. Based on the relevant data of prefecture-level cities in the Yellow River Basin from 2006 to 2019, [...] Read more.
Manufacturing agglomeration is an important manifestation for cities to enhance their competitiveness, and the resource and environmental effects caused by agglomeration have become a hot topic. Based on the relevant data of prefecture-level cities in the Yellow River Basin from 2006 to 2019, this study used a Markov transition matrix to study the characteristics of carbon emission transfer and constructed an SDM model to analyze the effect of manufacturing agglomeration on carbon emissions and spatial spillover; the study drew the following conclusions: carbon emissions and the concentrations of manufacturing industries in the Yellow River Basin are on the rise, with carbon emissions showing a distribution pattern of “downstream > midstream > upstream”. Manufacturing agglomeration has a significant positive influence on carbon emissions, reflecting the necessity for the green transformation of manufacturing agglomeration. Manufacturing agglomeration has a spatial spillover effect on carbon emissions. The direct effect is positive, and the indirect effect is negative. The polarization effect caused by agglomeration weakens the development degree of neighboring areas, which may reflect the technological spillover effect of manufacturing agglomeration on neighboring areas. Manufacturing agglomeration has regional heterogeneity in carbon emissions. Compared with the middle and lower reaches of the Yellow River Basin, the effect is more obvious in the upper reaches. The study proposes countermeasures in terms of optimizing the spatial pattern of the manufacturing industry and other aspects to provide references for promoting the transformation development of the manufacturing industry in the Yellow River Basin. Full article
(This article belongs to the Special Issue Economic Growth and the Environment II)
Show Figures

Figure 1

Back to TopTop