Sign in to use this feature.

Years

Between: -

Subjects

remove_circle_outline
remove_circle_outline
remove_circle_outline
remove_circle_outline
remove_circle_outline
remove_circle_outline
remove_circle_outline

Journals

remove_circle_outline
remove_circle_outline
remove_circle_outline
remove_circle_outline
remove_circle_outline

Article Types

Countries / Regions

remove_circle_outline
remove_circle_outline
remove_circle_outline
remove_circle_outline

Search Results (355)

Search Parameters:
Keywords = MIR396d-p3

Order results
Result details
Results per page
Select all
Export citation of selected articles as:
18 pages, 3778 KB  
Article
Assessment of miRNA 106a-5p and 375-3p Expression in the Context of the Wnt/β-Catenin Pathway—Comparison of Prostate Adenocarcinoma and Benign Prostatic Hyperplasia Tissues
by Magdalena Smereczańska, Natalia Domian, Grzegorz Młynarczyk and Irena Kasacka
Int. J. Mol. Sci. 2025, 26(24), 12073; https://doi.org/10.3390/ijms262412073 - 15 Dec 2025
Viewed by 148
Abstract
Prostate adenocarcinoma is mainly diagnosed based on serum PSA levels, but elevated PSA levels can also be caused by BPH, which weakens its specificity. Recent scientific studies have demonstrated that specific microRNAs regulate cancer cell proliferation by modulating the Wnt/β-catenin pathway. To date, [...] Read more.
Prostate adenocarcinoma is mainly diagnosed based on serum PSA levels, but elevated PSA levels can also be caused by BPH, which weakens its specificity. Recent scientific studies have demonstrated that specific microRNAs regulate cancer cell proliferation by modulating the Wnt/β-catenin pathway. To date, no published literature has provided a comprehensive assessment of the interactions between miR-106a-5p and miR-375-3p and components of the Wnt/β-catenin pathway in prostate cancer. Therefore, the aim of the present study was to perform a pilot evaluation of the expression of miRNAs 106a-5p and 375-3p, as well as β-catenin, Fzd8, Wnt5a, and cyclin D1 in prostate adenocarcinoma compared with BPH. The study material consisted of samples collected from 30 patients with prostate cancer and 30 with BPH. Protein expression was analyzed using IHC and qRT-PCR methods, while miRNA levels were quantified by dPCR. Our study results revealed lower immunoreactivity and expression of genes encoding β-catenin, Fzd8, Wnt5a, and cyclin D1 and significantly higher fluorescence intensity of miRNA 106a-5p and 375-3p with prostate adenocarcinoma compared to BPH. These parallel alterations in miRNA expression and Wnt/β-catenin-related components reflect disease-specific expression patterns and warrant further investigation in larger cohorts to determine their potential utility as diagnostic biomarkers in prostate diseases. Full article
(This article belongs to the Section Molecular Oncology)
Show Figures

Graphical abstract

21 pages, 3476 KB  
Article
Multi-Level Profiling of MAPK-Associated Genes and MicroRNAs Uncovers Regulatory Networks in Breast Cancer Subtypes
by Katarzyna Król-Jatręga, Elżbieta Mitka-Krysiak, Kacper Boroń, Piotr Ossowski, Nikola Zmarzły, Paweł Ordon, Wojciech Kulej, Tomasz Sirek, Agata Sirek, Dariusz Boroń, Grzegorz Wyrobiec, Yuriy Prudnikov and Beniamin Oskar Grabarek
Int. J. Mol. Sci. 2025, 26(24), 11831; https://doi.org/10.3390/ijms262411831 - 7 Dec 2025
Viewed by 354
Abstract
Breast cancer (BC) comprises heterogeneous subtypes with distinct molecular drivers and clinical behaviors. Among the key signaling pathways implicated in BC progression is the mitogen-activated protein kinase (MAPK) cascade, which regulates cell proliferation, apoptosis, and stress responses. microRNAs (miRNAs), as post-transcriptional regulators, are [...] Read more.
Breast cancer (BC) comprises heterogeneous subtypes with distinct molecular drivers and clinical behaviors. Among the key signaling pathways implicated in BC progression is the mitogen-activated protein kinase (MAPK) cascade, which regulates cell proliferation, apoptosis, and stress responses. microRNAs (miRNAs), as post-transcriptional regulators, are increasingly recognized as modulators of MAPK-associated genes, yet their integrated role across BC subtypes remains incompletely understood. This study included 405 patients with histopathologically confirmed BC, stratified into luminal A (LumA), HER2-negative luminal B, HER2-positive luminal B, non-luminal HER2-positive, and triple-negative breast cancer (TNBC). Control tissues were obtained from matched surgical margins. We performed mRNA profiling (Affymetrix microarrays), reverse transcription-quantitative polymerase chain reaction (RT-qPCR), protein quantification (enzyme-linked immunosorbent assay (ELISA), and miRNA expression analysis. Predicted miRNA-mRNA interactions were analyzed using the miRDB database. Functional protein–protein interactions were explored using the STRING database. MAP3K1, MAP2K4, and TP53 were significantly downregulated across all subtypes, while PPM1D, LMTK3, and TGFB1 were upregulated, especially in TNBC. These alterations were supported by concordant changes at the protein level. Dysregulated miRNAs—miR-21-3p, miR-23c, miR-27a-3p, miR-205-3p, and miR-300—exhibited in-verse expression patterns relative to their predicted target genes. STRING analysis identified TP53 as a central hub, linking MAPK signaling with stress and apoptotic pathways. This integrated transcriptomic and miRNA profiling study reveals subtype-specific dysregulation of MAPK-associated genes and their miRNA regulators in BC, with TNBC exhibiting the most profound alterations. These findings provide insight into potential targets for personalized therapeutic strategies. Full article
(This article belongs to the Special Issue Breast Cancer: From Pathophysiology to Novel Therapies)
Show Figures

Figure 1

16 pages, 2156 KB  
Article
Molecular Pathways Affected by Sulfonylpurine Derivatives in 2D and 3D HeLa Cell Models
by Marijana Leventić, Josipa Matić, Dijana Pavlović Saftić, Željka Ban, Biserka Žinić and Ljubica Glavaš-Obrovac
Molecules 2025, 30(23), 4659; https://doi.org/10.3390/molecules30234659 - 4 Dec 2025
Viewed by 313
Abstract
This study investigates two sulfonylpurine derivatives, Pur-6-NH2-SS and Pur-6-Mor-SS, which contain amino and morpholino substituents, for their anticancer potential in 2D and 3D models of human cervical adenocarcinoma (HeLa) cells. Cell cycle distribution, apoptosis, mitochondrial membrane potential, and ROS accumulation were [...] Read more.
This study investigates two sulfonylpurine derivatives, Pur-6-NH2-SS and Pur-6-Mor-SS, which contain amino and morpholino substituents, for their anticancer potential in 2D and 3D models of human cervical adenocarcinoma (HeLa) cells. Cell cycle distribution, apoptosis, mitochondrial membrane potential, and ROS accumulation were evaluated by flow cytometry. Both Pur-6-NH2-SS and Pur-6-Mor-SS reduced the proportion of cells in the G0/G1 phase (to 39.65 ± 5.59% and 28.25 ± 1.20%, respectively) when compared with untreated cells. Pur-6-NH2-SS additionally increased the proportion of cells in the S phase (7.41 ± 0.32%), whereas Pur-6-Mor-SS increased the number of cells in subG0 (21.05 ± 6.15%). Additionally, Pur-6-NH2-SS triggered early apoptosis in 79.6 ± 8.5% of cells, accompanied by mitochondrial membrane depolarisation in 64.3 ± 9.0%. In comparison, Pur-6-Mor-SS elicited an even stronger apoptotic response, inducing early apoptosis in 87.4 ± 15.6% of cells and mitochondrial membrane potential disruption in 86.8 ± 9.0%, relative to untreated cells. RT-PCR analysis assessed the expression of key regulators, including miR-21, miR-210, and genes involved in survival and stress-response pathways (Akt, CAIX, caspase-3, and cytochrome C). In the 2D model, both derivatives increased CAIX, Akt, and Cyp C expression compared with untreated cells. In contrast, p53 expression remained unchanged in Pur-6-NH2-SS-treated cells and was slightly decreased in Pur-6-Mor-SS-treated cells. Casp3 expression was slightly elevated following Pur-6-NH2-SS treatment and remained nearly unchanged in Pur-6-Mor-SS-treated cells. In the 3D model, Pur-6-NH2-SS exerted a stronger inhibitory effect on CAIX, Akt, p53, Cyp C, and Casp3 expression than Pur-6-Mor-SS, which showed weaker inhibition overall. Both derivatives had a comparable impact on miR-21 and miR-210 expression in 2D and 3D HeLa models. These findings provide mechanistic insight into amino- and morpholino-substituted sulfonylpurine derivatives and highlight how 2D and 3D tumour models influence drug response, offering a basis for further development of purine-based anticancer agents. Full article
(This article belongs to the Section Organic Chemistry)
Show Figures

Graphical abstract

16 pages, 1469 KB  
Article
New Biomarkers in the Diagnosis and Prognosis of Dilated Cardiomyopathy: Pro-Resolving Lipids and miRNAs
by Rafael I. Jaén, Sergio Sánchez-García, María Fernández-Velasco, Irene Cuadrado, Beatriz de las Heras, Lisardo Boscá and Patricia Prieto
Cells 2025, 14(23), 1916; https://doi.org/10.3390/cells14231916 - 2 Dec 2025
Viewed by 406
Abstract
Dilated cardiomyopathy is a major cause of heart failure and is one of the most common forms of cardiomyopathy worldwide. Although there has been significant progress in its clinical management, early diagnosis and precise prognosis remain challenging due to the lack of specificity [...] Read more.
Dilated cardiomyopathy is a major cause of heart failure and is one of the most common forms of cardiomyopathy worldwide. Although there has been significant progress in its clinical management, early diagnosis and precise prognosis remain challenging due to the lack of specificity in current biomarkers. As inflammation plays a key role in DCM, we determined the levels of systemic inflammatory markers and specific pro-resolving lipid mediators (SPMs) in a cohort of DCM patients. Our data show that the levels of lipoxin A4 significantly increased in DCM patients (343 + 75.1 pg/mL in controls vs. 482.2 ± 159.1 pg/mL in DCM patients), whereas the opposite was observed for resolving D1 (57.18 ± 32.68 pg/mL in controls vs. 38.55 ± 25.13 pg/mL in DCM patients). These results may indicate that SPMs could be considered new biomarkers related to the progression of this pathology. Moreover, since microRNAs (miRNAs) are also considered potential biomarkers at the molecular level, we conducted comprehensive miRNA expression profiling using a high-throughput array platform in our cohort. Of the differentially expressed miRNAs identified, we chose to focus on two that were significantly upregulated (miR378-3p and miR486-5p; more than two-folds) or downregulated (miR142-3p and miR328-3p < 20% and 40% vs. the control, respectively) in DCM patients, all of them strongly associated with inflammatory pathways. The selected miRNAs showed considerable potential as biomarkers, exhibiting statistical significance after ROC analysis. In fact, improved performance was observed when combining both miR142-3p and miR328-3p, using a LASSO regression model. However, we found no correlation between miRNAs and traditional inflammatory markers or SPMs ruling out the possibility to proposing them as combined biomarkers in this case. The heterogeneity of DCM leads to the need to identify new biomarkers that, either individually or in combination, may improve the prognosis of affected individuals. In our study, we have identified that some of the main SPMs can provide valuable information about disease progression, in addition to the combination of certain circulating miRNAs, which show promising prognostic values in our cohort. Thus, we have identified novel biomarkers that integrate inflammatory profiles with specific circulating miRNA expression patterns is an important step towards more targeted patient stratification in DCM. This approach can improve DCM diagnosis and prognosis, supporting the development of personalized treatments through a multi-parameter panel of biomarkers that can be measured in peripheral blood and used in routine clinical practice. Such a strategy can enable earlier treatment, resulting in better patient outcomes and quality of life. Full article
Show Figures

Graphical abstract

22 pages, 8429 KB  
Article
SOX18 and SOX30 in NSCLC: The Epigenetic Landscape of Methylation, miRNA Regulation, and Network Crosstalk in Tumor Progression
by Mateusz Olbromski, Aleksandra Piotrowska, Monika Mrozowska, Alicja Kmiecik, Natalia Glatzel-Plucinska, Agnieszka Gomulkiewicz, Aleksandra Stepien, Klaudia Krawczynska, Piotr Blasiak, Marzenna Podhorska-Okolow and Piotr Dziegiel
Int. J. Mol. Sci. 2025, 26(23), 11669; https://doi.org/10.3390/ijms262311669 - 2 Dec 2025
Viewed by 239
Abstract
SOX (SRY-related HMG-box) transcription factors are key regulators of embryogenesis and vascular development, with emerging roles in cancer biology. In non-small-cell lung cancer (NSCLC), the contributions of SOX18 and SOX30 remain insufficiently understood, particularly regarding their epigenetic regulation and network interactions with angiogenic [...] Read more.
SOX (SRY-related HMG-box) transcription factors are key regulators of embryogenesis and vascular development, with emerging roles in cancer biology. In non-small-cell lung cancer (NSCLC), the contributions of SOX18 and SOX30 remain insufficiently understood, particularly regarding their epigenetic regulation and network interactions with angiogenic and immune-modulatory pathways. We examined 800 NSCLC specimens (400 lung adenocarcinomas, 400 squamous cell carcinomas) using immunohistochemistry, RT-qPCR, Western blotting, and spatial transcriptomics to profile SOX18, SOX30, and related signaling partners (SOX7, SOX17, MEF2C—Myocyte Enhancer Factor 2C, VCAM1—Vascular Cell Adhesion Molecule 1, p-STAT3—Signal Transducer and Activator of Transcription 3). Epigenetic regulation was assessed via droplet digital methylation-specific PCR of promoter CpG islands, while functional validation employed adenoviral delivery of hsa-miR-24-3p in NSCLC cell lines and 3D spheroid cultures. SOX18 protein was markedly overexpressed in both NSCLC subtypes, despite reduced transcript levels and consistent promoter hypermethylation, suggesting post-transcriptional regulation. In contrast, SOX30 expression was uniformly downregulated at both mRNA and protein levels, frequently linked to promoter hypermethylation, especially in squamous carcinoma. Spatial transcriptomics revealed SOX18 enrichment at tumor cores and invasive borders, co-localizing with MEF2C, VCAM1, and p-STAT3 in vascular and stromal niches, while SOX30 expression remained low across all tumor regions. Functional assays demonstrated that hsa-miR-24-3p suppressed SOX18 expression and partially modulated SOX30 and MEF2C, reinforcing a miRNA-driven regulatory axis. In summary, SOX18 and SOX30 play divergent roles in NSCLC progression: SOX18 functions as a pro-oncogenic factor driving angiogenesis and tumor–stroma interactions, while SOX30 acts as an epigenetically silenced tumor suppressor. Regulation of SOX18 by miR-24-3p highlights a potential therapeutic vulnerability. These findings underscore the significance of SOX transcription factors as biomarkers and potential targets for novel treatment strategies in NSCLC. Full article
(This article belongs to the Special Issue Advancements in Cancer Biomarkers)
Show Figures

Graphical abstract

21 pages, 5449 KB  
Article
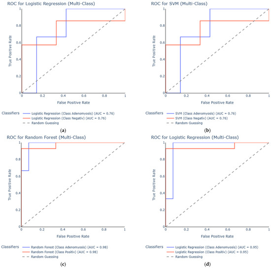
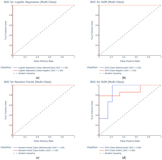
Urine and Serum miRNA Signatures for the Non-Invasive Diagnosis of Adenomyosis: A Machine Learning-Based Pilot Study
by Tomas Kupec, Julia Wittenborn, Chao-Chung Kuo, Rebecca Senger, Philipp Meyer-Wilmes, Laila Najjari, Elmar Stickeler and Jochen Maurer
Diagnostics 2025, 15(23), 3012; https://doi.org/10.3390/diagnostics15233012 - 26 Nov 2025
Viewed by 373
Abstract
Background: Adenomyosis remains difficult to diagnose non-invasively due to clinical overlap with endometriosis and the limited specificity of imaging techniques. This pilot study evaluated whether serum- and urine-derived microRNA (miRNA) profiles, combined with machine-learning approaches, could support non-invasive diagnosis. Methods: Serum and urine [...] Read more.
Background: Adenomyosis remains difficult to diagnose non-invasively due to clinical overlap with endometriosis and the limited specificity of imaging techniques. This pilot study evaluated whether serum- and urine-derived microRNA (miRNA) profiles, combined with machine-learning approaches, could support non-invasive diagnosis. Methods: Serum and urine samples were collected from 59 patients undergoing surgery for chronic pelvic pain at the Endometriosis Centre of RWTH Aachen University Hospital. Seven patients had isolated adenomyosis, 34 had histologically confirmed endometriosis, and 18 served as negative controls. miRNAs were profiled using next-generation sequencing. A structured feature-selection pipeline (variance filtering, univariate testing, mutual information, recursive feature elimination) was applied before training Logistic Regression, Random Forest, Support Vector Machine, and Decision Tree models using cross-validation. Model performance was evaluated using accuracy, precision, recall, F1 score, and ROC-AUC. Results: Distinct miRNA signatures were detected in both serum and urine, with urine-based models showing superior discriminatory performance. Logistic Regression and Support Vector Machine achieved excellent separation in urine datasets, although perfect AUC values must be interpreted cautiously due to the small number of adenomyosis cases. In serum, Random Forest achieved the highest AUC values (up to 0.98). Several miRNAs, including miR-183-3p, miR-320d-2, and miR-17, emerged as promising candidate biomarkers for differentiating adenomyosis from endometriosis and from negative controls. Conclusions: This pilot study demonstrates the feasibility of liquid-biopsy miRNA profiling combined with machine learning for non-invasive adenomyosis detection. Although results are preliminary and require validation in larger cohorts, urine miRNA profiles may represent a promising complementary tool to improve diagnostic accuracy and reduce diagnostic delay. Full article
(This article belongs to the Section Machine Learning and Artificial Intelligence in Diagnostics)
Show Figures

Figure 1

23 pages, 5680 KB  
Article
Decoding Potential Cuproptosis-Related Genes in Sarcopenia: A Multi-Omics Network Analysis
by Hongyu Yan, Long Shi, Yang Li and Zhiwen Zhang
Biology 2025, 14(12), 1642; https://doi.org/10.3390/biology14121642 - 21 Nov 2025
Viewed by 522
Abstract
Sarcopenia is a common age-related skeletal muscle disorder that lacks diagnostic and therapeutic options. Emerging evidence suggests that cuproptosis, a copper-dependent form of regulated cell death, contributes to muscle atrophy, yet the underlying associations remain poorly understood. To address this gap, we integrated [...] Read more.
Sarcopenia is a common age-related skeletal muscle disorder that lacks diagnostic and therapeutic options. Emerging evidence suggests that cuproptosis, a copper-dependent form of regulated cell death, contributes to muscle atrophy, yet the underlying associations remain poorly understood. To address this gap, we integrated two GEO datasets (GSE1428 and GSE25941) for differential expression analysis and applied weighted gene co-expression network analysis (WGCNA) to identify disease-related modules. Cuproptosis-related genes (CRGs) from GeneCards database were intersected with DEGs and WGCNA gene modules to obtain sarcopenia-associated cuproptosis DEGs (SAR-CUP DEGs). Functional enrichment was performed using GO, KEGG, GSEA and GSVA. Hub genes were further identified through three machine learning algorithms (LASSO, RF, and SVM). Regulatory networks were constructed via NetworkAnalyst and GeneMANIA database. A diagnostic model was also developed and later validated in an independent dataset (GSE136344). Experimental validation was performed in a D-galactose-induced sarcopenia cell model. We identified 367 DEGs and 7 co-expression modules, among which 14 SAR-CUP DEGs were mainly enriched in mitochondrial energy metabolism pathways. Machine learning methods highlighted SLC25A12 and PABPC4 as hub genes. Regulatory network analysis revealed key modulators, such as FOXC1, miR-16-5p, GOT2, and GOT1. Diagnostic performance analysis demonstrated strong predictive value for SLC25A12 (AUC = 0.879) and PABPC4 (AUC = 0.858), and RT-qPCR confirmed their downregulation in the sarcopenia cell model (p < 0.01). In conclusion, SLC25A12 and PABPC4 are promising biomarkers linking copper metabolism dysregulation with sarcopenia, offering potential targets for diagnosis and therapy. Full article
Show Figures

Figure 1

20 pages, 3826 KB  
Article
MicroRNA Signatures in Serous Ovarian Cancer: A Comparison of Prognostic Marker Targets in African Americans and Caucasians
by Jane M. Muinde, Celina Romi Yamauchi, Joseph Cruz, Alena A. McQuarter, Kyah Miller, Umang Sharma, Skyler Schiff, Isaac Kremsky, Saied Mirshahidi, Cody S. Carter and Salma Khan
Diseases 2025, 13(11), 360; https://doi.org/10.3390/diseases13110360 - 6 Nov 2025
Viewed by 642
Abstract
Background: Ovarian cancer (OC) is the second most common gynecologic malignancy in the United States and remains the leading cause of death among cancers of the female reproductive system. Alarmingly, mortality rates have risen disproportionately among women of African ancestry compared to those [...] Read more.
Background: Ovarian cancer (OC) is the second most common gynecologic malignancy in the United States and remains the leading cause of death among cancers of the female reproductive system. Alarmingly, mortality rates have risen disproportionately among women of African ancestry compared to those of European or Asian descent. Identifying microRNA (miRNA) signatures that contribute to these disparities may enhance prognostic accuracy and inform personalized therapeutic strategies. Methods: In this study, we identified prognostic markers of overall survival in serous ovarian cancer (SOC) using data from The Cancer Genome Atlas (TCGA) and the Human Protein Atlas. Integrative bioinformatic analyses revealed three key prognostic genes—TIMP3 (Tissue Inhibitor of Metalloproteinases-3), BRAF (v-raf murine sarcoma viral oncogene homolog B), and ITGB1 (Integrin Beta-1)—as critical molecular determinants associated with survival in patients with SOC. Candidate miRNAs regulating these genes were predicted using TargetScanHuman v8.0, identifying a core regulatory set comprising miR-192, miR-30d, miR-16-5p, miR-143-3p, and miR-20a-5p. To validate their clinical relevance, formalin-fixed, paraffin-embedded (FFPE) and fresh SOC tumor samples were obtained from African American and Caucasian patients who underwent surgery at Loma Linda University (LLU) between 2010 and 2023. Results and Discussion: Among all these, ITGB1 (p = 0.00033), TIMP3 (p = 0.0035), and BRAF (p = 0.026) emerged as statistically significant predictors. Following total RNA extraction, cDNA synthesis, and quantitative reverse transcription PCR (qRT-PCR), the expression levels of these miRNAs and their target genes were quantified. In the LLU cohort, ITGB1 and TIMP3 were significantly upregulated in African American patients compared to Caucasian patients (p < 0.01 and p < 0.02, respectively). Among the miRNAs, miR-192-5p was particularly noteworthy, showing marginally differential expression in LLU samples (p = 0.0712) but strong statistical significance in the TCGA cohort (p = 0.00013), where elevated expression correlated with poorer overall survival (p = 0.021). Pathway enrichment and gene ontology analyses (miRTargetLink2.0, Enrichr) revealed interconnected regulatory networks linking miR-192, miR-16-5p, miR-143-3p, and miR-20a-5p to ITGB1; miR-143-3p/miR-145-5p to BRAF; and miR-16-5p and miR-30c/d to TIMP3. Conclusions: Collectively, these findings identify distinct miRNA–mRNA regulatory signatures—particularly the miR-192-5p–ITGB1/TIMP3 axis—as potential clinically relevant biomarkers that may contribute to racial disparities and disease progression in ovarian cancer. Full article
Show Figures

Figure 1

11 pages, 749 KB  
Communication
Strong Association Between MiRNA Gene Variants and Type 2 Diabetes Mellitus in a Caucasian Population
by Eleni Manthou, Xanthippi Tsekmekidou, Fotis Tsetsos, Theocharis Koufakis, Maria Grammatiki, Pantelitsa Rakintzi, Eirini Melidou, Georgios Karaliolios, Peristera Paschou, Nikolaos Papanas and Kalliopi Kotsa
Int. J. Mol. Sci. 2025, 26(21), 10447; https://doi.org/10.3390/ijms262110447 - 28 Oct 2025
Viewed by 512
Abstract
MicroRNAs (miRNAs), small non-coding RNAs, have emerged as promising diagnostic and prognostic biomarkers for various diseases. However, their role in the pathogenesis of type 2 diabetes mellitus (T2DM) remains insufficiently defined. This case–control study investigated associations between genetic variants in miRNA genes and [...] Read more.
MicroRNAs (miRNAs), small non-coding RNAs, have emerged as promising diagnostic and prognostic biomarkers for various diseases. However, their role in the pathogenesis of type 2 diabetes mellitus (T2DM) remains insufficiently defined. This case–control study investigated associations between genetic variants in miRNA genes and susceptibility to T2DM in a Greek population. A total of 716 individuals with T2DM and 569 controls (HbA1c < 6.5% and fasting plasma glucose < 126 mg/dL) were included. Genomic DNA was extracted from whole blood and genotyped using the Illumina Infinium PsychArray platform. Polymorphisms in MIR124a, MIR27a, MIR146a, MIR34a, MIRLET7A2, MIR128a, MIR196a2, MIR499a, MIR4513, and MIR149 were analyzed, with all SNPs within 20 kb upstream and downstream of each gene assessed. Allele frequencies were compared between cases and controls using PLINK. Significant associations with increased T2DM risk were observed for rs1531212 (OR = 1.375, p = 0.018) in MIR23aHG (containing MIR27a) and rs6120777 (OR = 1.27, p = 0.018) in MYH7B, upstream of MIR499a. Conversely, rs2425012 (OR = 0.794, p = 0.018) upstream of MIR27a, as well as rs883517 (OR = 0.728, p = 0.024) and rs2961920 (OR = 0.80, p = 0.041) upstream of MIR146a, appeared protective. Under the dominant model, two additional associations emerged: rs3746435 (OR = 1.239, p = 0.025) in MYH7B (upstream of MIR499a) and rs3746444 (OR = 1.235, p = 0.046) in MIR499a. In conclusion, this study identifies three novel genetic variants near MIR27a and MIR499a that may influence susceptibility to T2DM. These findings warrant validation in larger cohorts and functional studies to clarify their role in T2DM pathogenesis. Full article
(This article belongs to the Special Issue Role of MicroRNAs in Human Diseases: 2nd Edition)
Show Figures

Figure 1

24 pages, 2943 KB  
Article
Serum miR-34a as Indicator of Impaired Fibrinolytic Capacity in Pediatric Thrombosis Through Inadequate Regulation of the ACE/PAI-1 Axis
by Iphigenia Gintoni, Kleoniki Baldouni, Athina Dettoraki, Aikaterini Michalopoulou, Ioanna Papathanasiou, Aspasia Tsezou, Dimitrios Vlachakis, Helen Pergantou, George P. Chrousos and Christos Yapijakis
Int. J. Mol. Sci. 2025, 26(20), 10110; https://doi.org/10.3390/ijms262010110 - 17 Oct 2025
Viewed by 437
Abstract
Pediatric thrombosis (PT) represents a rare condition that can manifest from neonatal life to adolescence, encompassing life-threatening complications. Its pathogenesis is attributed to immature hemostasis in conjunction with environmental and genetic factors, predominantly including those resulting in increased levels of plasminogen activator inhibitor [...] Read more.
Pediatric thrombosis (PT) represents a rare condition that can manifest from neonatal life to adolescence, encompassing life-threatening complications. Its pathogenesis is attributed to immature hemostasis in conjunction with environmental and genetic factors, predominantly including those resulting in increased levels of plasminogen activator inhibitor 1 (PAI-1), the principal inhibitor of fibrinolysis, which is subject to upstream regulation by angiotensin-converting enzyme (ACE). Although the implication of microRNAs (miRNAs), epigenetic modulators of gene expression, has been demonstrated in adult thrombosis, evidence is lacking in the pediatric setting. Here, we investigated the involvement of two miRNA regulators of PAI-1 (SERPINE1 gene) in PT, in relation to clinical and genetic parameters that induce PAI-1 fluctuations. Following bioinformatic target-prediction, miRNA expression was assessed by quantitative real-time PCR in serum-samples of 19 pediatric patients with thrombosis (1–18 months post-incident), and 19 healthy controls. Patients were genotyped for the SERPINE1-4G/5G and ACE-I/D polymorphisms by PCR-based assays. Genotypic and thrombosis-related clinical data were analyzed in relation to miRNA-expression. Two miRNAs (miR-145-5p, miR-34a-5p) were identified to target SERPINE1 mRNA, with miR-34a additionally targeting the mRNA of ACE. The expression of miR-34a was significantly decreased in patients compared to controls (p = 0.029), while no difference was observed in miR-145 expression. Within patients, miR-34a expression demonstrated a peak 1–3 months post-thrombosis and was diminished upon treatment completion (p = 0.031), followed by a slight long-term increase. MiR-34a levels differed significantly by thrombosis site (p = 0.019), while a significant synergistic interaction between site and onset type (provoked/unprovoked) was detected (p = 0.016). Finally, an epistatic modification was observed in cerebral cases, since double homozygosity (4G/4G + D/D) led to a miR-34 decrease, with D/D carriership reversing the 4G/4G-induced upregulation of miR-34a (p = 0.006). Our findings suggest that in pediatric thrombosis, downregulation of miR-34a is indicative of impaired fibrinolytic capacity, attributed to deficient regulation of the inhibitory ACE/PAI-1 axis. Full article
(This article belongs to the Collection Feature Papers Collection in Biochemistry)
Show Figures

Figure 1

18 pages, 1726 KB  
Article
Circulating miR-122 and miR-139-3p: Association with Lipid, Inflammatory, and Glycemic Profile in Adolescents with Insulin-Resistant and Overweight
by Tanyara Baliani Payolla, Paula Nascimento Brandão-Lima, Gabrielli Barbosa de Carvalho, Flávia Mori Sarti, Regina Mara Fisberg and Marcelo Macedo Rogero
Endocrines 2025, 6(4), 51; https://doi.org/10.3390/endocrines6040051 - 15 Oct 2025
Viewed by 687
Abstract
Background/Objectives: Insulin resistance (IR) in adolescents contributes to the development of metabolic and immunological alterations. These alterations can lead to chronic, systemic, low-grade inflammation in adulthood. Evidence suggests that alterations in miRNA expression play a significant role in the onset of IR by [...] Read more.
Background/Objectives: Insulin resistance (IR) in adolescents contributes to the development of metabolic and immunological alterations. These alterations can lead to chronic, systemic, low-grade inflammation in adulthood. Evidence suggests that alterations in miRNA expression play a significant role in the onset of IR by influencing insulin signaling pathways. Therefore, identifying specific miRNAs may aid in the early diagnosis of cardiometabolic risk, particularly during the transition from adolescence to adulthood. Methods: This population-based study aimed to analyze the expression of 21 miRNAs in the plasma of adolescents. We considered IR status, overweight, sex, and age for the analyses. The study measured miRNA expression in plasma samples from 187 adolescents aged 12 to 19 years from the cross-sectional study of the 2015 São Paulo Health Survey (ISA-Nutrition). MiRNA expression was assessed using Exiqon® assays on Fluidigm® technology (Les Ulis, France). Statistical analyses were performed to identify differences in miRNA expression and correlations between variables, using a complex research design to ensure representativeness at the population level. Results: The incidence of IR and overweight was high in adolescents (44% and 33%, respectively). High-sensitivity C-reactive protein (hs-CRP) concentration was higher in overweight adolescents. IR was correlated with higher plasma expression of miR-122 and miR-139-3p. Furthermore, miR-486, miR-363, miR-30d, miR-28, miR-223, miR-21, miR-146, miR-130b, miR-126, miR-122, and miR-139-3p showed specific correlations with individual risk for IR, sex, and adolescent stage. Conclusions: The miRNAs showed differential expression according to sex and adolescent stage, and were correlated with cardiometabolic risk factors, suggesting their potential utility for early screening in adolescents. The study highlights age- and sex-related differences in miRNA levels between adolescents with IR and overweight. The cross-sectional design is a limitation of this study, as we cannot infer causality for the associations observed here. Full article
(This article belongs to the Section Obesity, Diabetes Mellitus and Metabolic Syndrome)
Show Figures

Figure 1

17 pages, 3749 KB  
Article
Exploring Low Energy Excitations in the d5 Iridate Double Perovskites La2BIrO6 (B = Zn, Mg)
by Abhisek Bandyopadhyay, Dheeraj Kumar Pandey, Carlo Meneghini, Anna Efimenko, Marco Moretti Sala and Sugata Ray
Condens. Matter 2025, 10(4), 53; https://doi.org/10.3390/condmat10040053 - 6 Oct 2025
Viewed by 1098
Abstract
We experimentally investigate the structural, magnetic, transport, and electronic properties of two d5 iridate double perovskite materials La2BIrO6 (B = Mg, Zn). Notably, despite similar crystallographic structure, the two compounds show distinctly different magnetic behaviors. The M [...] Read more.
We experimentally investigate the structural, magnetic, transport, and electronic properties of two d5 iridate double perovskite materials La2BIrO6 (B = Mg, Zn). Notably, despite similar crystallographic structure, the two compounds show distinctly different magnetic behaviors. The M = Mg compound shows an antiferromagnetic-like linear field-dependent isothermal magnetization below its transition temperature, whereas the M = Zn counterpart displays a clear hysteresis loop followed by a noticeable coercive field, indicative of ferromagnetic components arising from a non-collinear Ir spin arrangement. The local structure studies authenticate perceptible M/Ir antisite disorder in both systems, which complicates the magnetic exchange interaction scenario by introducing Ir-O-Ir superexchange pathways in addition to the nominal Ir-O-B-O-Ir super-superexchange interactions expected for an ideally ordered structure. While spin–orbit coupling (SOC) plays a crucial role in establishing insulating behavior for both these compounds, the rotational and tilting distortions of the IrO6 (and MO6) octahedral units further lift the ideal cubic symmetry. Finally, by measuring the Ir-L3 edge resonant inelastic X-ray scattering (RIXS) spectra for both the compounds, giving evidence of spin–orbit-derived low-energy inter-J-state (intra t2g) transitions (below ~1 eV), the charge transfer (O 2p → Ir 5d), and the crystal field (Ir t2geg) excitations, we put forward a qualitative argument for the interplay among effective SOC, non-cubic crystal field, and intersite hopping in these two compounds. Full article
(This article belongs to the Section Quantum Materials)
Show Figures

Figure 1

12 pages, 1166 KB  
Article
Differential MicroRNA Expression in the Anterior Lens Capsule of Patients with Glucocorticoid-Induced Cataracts: A Preliminary Study
by Yeji Yeon, Soo Rack Ryu, Min-Ji Cha, Won June Lee, Han Woong Lim, Ji Hong Kim and Yu Jeong Kim
J. Clin. Med. 2025, 14(19), 6909; https://doi.org/10.3390/jcm14196909 - 29 Sep 2025
Viewed by 437
Abstract
Background/Objectives: To investigate microRNA (miRNA) expression profiles in the anterior lens capsules of patients with glucocorticoid-induced cataracts (GIC) and to identify miRNAs potentially associated with glucocorticoid (GC) exposure and posterior subcapsular cataract (PSC) formation. Methods: A total of 33 participants were [...] Read more.
Background/Objectives: To investigate microRNA (miRNA) expression profiles in the anterior lens capsules of patients with glucocorticoid-induced cataracts (GIC) and to identify miRNAs potentially associated with glucocorticoid (GC) exposure and posterior subcapsular cataract (PSC) formation. Methods: A total of 33 participants were divided into four groups based on their GC usage history and cataract type: GIC (n = 10), age-related PSC (n = 6), GC-treated age-related cataract (ARC) (n = 7), and normal control (n = 10). Anterior lens capsule samples were obtained during cataract surgery and total RNA was extracted for quantitative real-time polymerase chain reaction (qRT-PCR). The expression levels of 12 selected miRNAs were quantified using a customized miScript miRNA PCR array. Results: Among the twelve miRNAs analyzed, seven (let-7a-5p, let-7d-5p, miR-15a-5p, miR-16-5p, miR-23b-3p, miR-26a-5p, and miR-125a-5p) were significantly differentially expressed among the groups (p < 0.05). In the GIC group, let-7a-5p, miR-23b-3p, miR-26a-5p, and miR-125a-5p were significantly upregulated, whereas let-7d-5p, miR-15a-5p and miR-16-5p were significantly downregulated compared to that in the normal control group. No significant differences in miRNA expression were observed between the GIC and age-related PSC groups or between the GIC and GC-treated ARC groups. Conclusions: This study demonstrates distinct miRNA expression patterns in the anterior lens capsules of patients with GIC. Altered expression of specific miRNAs may be linked to the pathogenesis of GC-induced PSC formation. These findings provide a molecular basis for further investigation into the regulatory roles of miRNAs in GC-associated cataracts. Full article
(This article belongs to the Section Ophthalmology)
Show Figures

Graphical abstract

12 pages, 1331 KB  
Article
Obesity Alters the microRNA Expression Profile Related to Metabolic Disorders in Peripheral Blood Mononuclear Cells: Preliminary Results
by Samar Sultan and Marwah Maashi
Curr. Issues Mol. Biol. 2025, 47(10), 799; https://doi.org/10.3390/cimb47100799 - 26 Sep 2025
Viewed by 696
Abstract
Obesity is a major global health issue associated with an increased risk of early-onset metabolic disorders and chronic inflammation. Identifying the epigenetic mechanisms that contribute to obesity-related metabolic and inflammatory dysregulation is crucial for developing effective prevention and treatment strategies. This pilot study [...] Read more.
Obesity is a major global health issue associated with an increased risk of early-onset metabolic disorders and chronic inflammation. Identifying the epigenetic mechanisms that contribute to obesity-related metabolic and inflammatory dysregulation is crucial for developing effective prevention and treatment strategies. This pilot study aimed to investigate the effects of obesity on the expression of microRNAs (miRNAs) related to metabolic disorders in human peripheral blood mononuclear cells from metabolically healthy obese subjects and non-obese controls. Differentially expressed miRNAs in TaqMan human miRNA arrays were quantified using quantitative PCR. To validate the robustness and generalizability of our findings, we performed cross-validation using the publicly available GSE155096 dataset. The expression of miR-145-5p was significantly increased (4.913-fold change) in obese individuals compared to the non-obese control group. Two miRNAs, miR-27b-3p and miR-17-5p, were downregulated 2.207- and 1.448-fold, respectively, approaching significance. A positive correlation was established between miR-145-5p and free triiodothyronine, eosinophils, and vitamin D. A cross-validation analysis confirmed the direction of change for these key miRNAs. The data suggest that miR-145-5p, miR-27b-3p, and miR-17-5p could be implicated in the progression of obesity in causing metabolic abnormalities, clarifying how molecular factors cause the metabolic deregulation associated with obesity. Full article
(This article belongs to the Section Biochemistry, Molecular and Cellular Biology)
Show Figures

Figure 1

16 pages, 913 KB  
Article
Circulating MicroRNA Profiles in Pregnant South African Women with Different Types of Diabetes Mellitus
by Matladi Masete, Stephanie Dias, Nompumelelo Malaza, Sumaiya Adam, Hygon Mutavhatsindi, Carmen Valverde-Tercedor, Begoña Vega-Guedes, Ana Maria Wägner and Carmen Pheiffer
Int. J. Mol. Sci. 2025, 26(19), 9337; https://doi.org/10.3390/ijms26199337 - 24 Sep 2025
Viewed by 798
Abstract
Diabetes in pregnancy increases the risk of adverse perinatal outcomes for mother and child, with severity influenced by the type of diabetes and degree of hyperglycemia. This study aimed to identify circulating microRNAs (miRNAs) associated with different types of diabetes in pregnancy. Serum [...] Read more.
Diabetes in pregnancy increases the risk of adverse perinatal outcomes for mother and child, with severity influenced by the type of diabetes and degree of hyperglycemia. This study aimed to identify circulating microRNAs (miRNAs) associated with different types of diabetes in pregnancy. Serum miRNAs were profiled in pregnant South African women with type 1 diabetes (T1DM), type 2 diabetes (T2DM), gestational diabetes (GDM), and normoglycemia using PCR arrays (n = 15). Differentially expressed miRNAs were validated in pregnant South African women (n = 167), and a separate cohort of Spanish pregnant women with T1DM and T2DM (n = 48). PCR arrays showed significant differential expression for miR-19b-3p (↓ 9.8-fold; p = 0.033) in GDM, miR-20a-5p (↓ 4.5-fold; p = 0.047) in T1DM, and miR-29a-3p (↑ 1.8-fold; p = 0.002) in T2DM compared to normoglycemia. Screening in the larger cohort showed lower expression of miR-20a-5p (↓ 2-fold; p = 0.013) in GDM and miR-30d-5p (↓ 2.1-fold; p = 0.032) in T1DM compared to normoglycemia. Additionally, miR-20a-5p levels were higher in women with T2DM compared to those with GDM (↑ 2.5-fold; p = 0.019). Our findings show that miRNA profiles are largely consistent across different types of diabetes in pregnancy, suggesting that hyperglycemia plays a key role in shaping miRNA expressions. Moreover, the identification of several shared gene targets suggests common underlying pathophysiological mechanisms. Full article
Show Figures

Figure 1

Back to TopTop