Sign in to use this feature.

Years

Between: -

Subjects

remove_circle_outline
remove_circle_outline
remove_circle_outline
remove_circle_outline
remove_circle_outline
remove_circle_outline
remove_circle_outline
remove_circle_outline
remove_circle_outline

Journals

remove_circle_outline
remove_circle_outline
remove_circle_outline
remove_circle_outline
remove_circle_outline
remove_circle_outline
remove_circle_outline
remove_circle_outline
remove_circle_outline
remove_circle_outline

Article Types

Countries / Regions

remove_circle_outline
remove_circle_outline
remove_circle_outline
remove_circle_outline
remove_circle_outline
remove_circle_outline
remove_circle_outline
remove_circle_outline

Search Results (1,663)

Search Parameters:
Keywords = MAE parameters

Order results
Result details
Results per page
Select all
Export citation of selected articles as:
20 pages, 4141 KB  
Article
A Data-Driven Predictive Fuzzy Adaptive Control for Nonlinearly Parameterized Systems with Unknown Disturbance
by Hongyun Yue, Dongpeng Xue, Yi Zhao and Jiaqi Wang
Mathematics 2026, 14(8), 1271; https://doi.org/10.3390/math14081271 (registering DOI) - 11 Apr 2026
Abstract
Problem: Controlling nonlinearly parameterized systems with unknown disturbances remains challenging because classical adaptive approaches rely on separation-of-variables and reparameterization techniques, leading to increased parameter dimensions, conservative stability bounds, and implementation complexity. Objective: This paper develops a data-driven predictive fuzzy adaptive control (DD-PFAC) framework [...] Read more.
Problem: Controlling nonlinearly parameterized systems with unknown disturbances remains challenging because classical adaptive approaches rely on separation-of-variables and reparameterization techniques, leading to increased parameter dimensions, conservative stability bounds, and implementation complexity. Objective: This paper develops a data-driven predictive fuzzy adaptive control (DD-PFAC) framework that eliminates the need for separation techniques while achieving superior tracking performance and formally certified stability. Novelty: The key innovation is a two-layer architecture. Layer 1 provides direct fuzzy approximation of composite nonlinear functions (system dynamics plus disturbance bound) without parameter reparameterization, reducing parameter complexity from O(qn) to O(nN). Layer 2 employs Hankel matrix-based predictive optimization to adaptively tune both control gains ci(k) and adaptation rates γi(k) online using 80–150 recent input–output samples. Methodology: A Lyapunov function augmented with a prediction-error term is used to prove uniform ultimate boundedness of all closed-loop signals. A projection-based recursive least-squares algorithm updates the gain parameters online while guaranteeing ci(k)cmin>0 at all times. Results: Comparative simulations demonstrate 31.4% reduction in integral square error, 27.8% reduction in mean absolute error, and 37.4% reduction in steady-state error versus traditional adaptive fuzzy control. A four-group ablation study confirms that adaptive gain scheduling contributes 27.7% and predictive compensation contributes 6.5% to the total MAE improvement. Robustness tests validate consistent 28–32% performance advantage across sinusoidal, pulse, step, and large-disturbance scenarios. Full article
51 pages, 55715 KB  
Article
A Novel Method for Motion Blur Detection and Quantification Using Signal Analysis on a Controlled Empirical Image Dataset
by Woottichai Nonsakhoo and Saiyan Saiyod
Sensors 2026, 26(8), 2360; https://doi.org/10.3390/s26082360 (registering DOI) - 11 Apr 2026
Abstract
Motion blur degrades single-frame imaging when relative motion occurs during sensor exposure; yet, quantitative validation is difficult because ground-truth motion parameters are rarely available in real images. This paper presents an interpretable, measure-first framework for detecting, localizing, and quantifying motion blur in single-frame [...] Read more.
Motion blur degrades single-frame imaging when relative motion occurs during sensor exposure; yet, quantitative validation is difficult because ground-truth motion parameters are rarely available in real images. This paper presents an interpretable, measure-first framework for detecting, localizing, and quantifying motion blur in single-frame grayscale images under a validated operating condition of one-dimensional horizontal uniform motion. The method analyzes each image row as a one-dimensional spatial signal, where Movement Artifact denotes the scanline-level imprint of motion blur retained in the legacy algorithm names MAPE and MAQ. The pipeline combines three stages: Movement Artifact Position Estimation (MAPE) using scanline self-similarity, Reference Origin Point Estimation (ROPE) using robust structural trends, and Movement Artifact Quantification (MAQ), which summarizes blur magnitude as an average horizontal spatial displacement after adaptive filtering. The pipeline is evaluated on a controlled empirical dataset of 110 images of a high-contrast marker acquired at known tangential velocities from 0.0 to 1.0 m/s in 0.1 m/s increments (10 images per level). MAPE achieves 70–90% detection rates across velocities, and ROPE localizes reference origins with 97–99% detection. An empirical polynomial mapping from MAQ to velocity attains R2=0.9900 with RMSE 0.0229 m/s and MAE 0.0221 m/s over 0.0–0.7 m/s, enabling calibrated velocity estimates from blur measurements within the validated regime. An extended additive-noise robustness analysis further shows that severe perturbation can preserve candidate self-similarity responses while progressively destabilizing reference-origin localization and MAQ pairing, thereby clarifying the empirical boundary of the current controlled single-marker regime. The approach is not claimed to generalize to uncontrolled scenes, non-uniform blur, or multi-dimensional and non-rigid motion. Full article
(This article belongs to the Special Issue Innovative Sensing Methods for Motion and Behavior Analysis)
15 pages, 1264 KB  
Article
ES2-LeafSeg: Lightweight State Space Modeling-Driven Agricultural Leaf Segmentation
by Hao Wang, Zhiyang Li, Pengsen Zhao and Jinlong Yu
Appl. Sci. 2026, 16(8), 3745; https://doi.org/10.3390/app16083745 - 10 Apr 2026
Abstract
Agricultural robots and unmanned farmland management require real-time and precise parsing of crop leaves at the edge to support variable application of pesticides, seedling condition monitoring, and phenotypic analysis. However, the field environment features drastic changes in light, leaf occlusion, and interference from [...] Read more.
Agricultural robots and unmanned farmland management require real-time and precise parsing of crop leaves at the edge to support variable application of pesticides, seedling condition monitoring, and phenotypic analysis. However, the field environment features drastic changes in light, leaf occlusion, and interference from background weeds, which can cause semantic fragmentation and boundary artifacts in lightweight models. This paper presents ES2-LeafSeg, a lightweight framework for leaf semantic segmentation tailored for edge deployment. The method employs EfficientNetV2 as the backbone encoder and introduces the State Space Semantic Enhancement Module (S2FEM) on skip connection features, modeling long-range dependencies and suppressing local texture noise through SSM pooling in row and column directions. Meanwhile, a cross-scale decoder (CSD) and a global context transformation (GCT) are designed to achieve multi-scale semantic fusion and boundary refinement. On the three-class segmentation task of the SoyCotton dataset, ES2-LeafSeg achieved mIoU of 0.817, mDice of 0.869, Fβw of 0.925, and MAE of 0.011, outperforming multiple classic and recent baselines while maintaining 23.67 M parameters and 49.62 FPS. Ablation experiments further verified the complementary contributions of S2FEM and GCT to regional consistency and boundary quality. Full article
(This article belongs to the Section Computing and Artificial Intelligence)
20 pages, 702 KB  
Article
Tree Height Prediction Using a Double Hidden-Layer Neural Network and a Mixed-Effects Model
by Jianbo Shen, Xiangdong Lei, Yutang Li, Yuehong Pan and Gongming Wang
Plants 2026, 15(8), 1176; https://doi.org/10.3390/plants15081176 - 10 Apr 2026
Abstract
The double hidden-layer neural network has increasingly been applied in tree height modeling due to its superior performance. To improve the precision of tree height estimation, this study compared the performance of a double hidden-layer neural network with that of a nonlinear mixed-effects [...] Read more.
The double hidden-layer neural network has increasingly been applied in tree height modeling due to its superior performance. To improve the precision of tree height estimation, this study compared the performance of a double hidden-layer neural network with that of a nonlinear mixed-effects model, aiming to provide a new method for tree height prediction. Taking the Larix olgensis forest plantation in Jilin Province as the research object, a double hidden-layer back propagation (BP) neural network was established for tree height prediction by adopting trial and error, k-fold cross-validation, and near-domain optimization strategies. In constructing the nonlinear mixed-effects model, the overall and local differences in forest growth data, as well as the autocorrelation among the various levels of data, were considered. Accordingly, after determining the base model, random effects were introduced, the correlation variance–covariance matrix was calculated, and random parameters were estimated to compare the predictive performance of the two aforementioned models. For the mixed-effects model, the coefficient of determination R2 was 0.8590, the root mean square error (RMSE) was 1.6230, and the mean absolute error (MAE) was 2.2658. For the double hidden-layer BP neural network, the R2 reached 0.9068 (an increase of 5.56%), the RMSE was 1.3197 (a decrease of 18.69%), and the MAE was 1.2736 (a decrease of 43.79%). The results demonstrate that the double hidden-layer BP neural network is superior to the nonlinear mixed-effects model for tree height prediction. Therefore, the results provide a more accurate method for tree height prediction. Full article
(This article belongs to the Special Issue AI-Driven Machine Vision Technologies in Plant Science)
Show Figures

Figure 1

19 pages, 15598 KB  
Article
Heuristic Algorithm Optimization of CNN–BiLSTM–Attention for Reference Crop Evapotranspiration Forecasting Under Limited Meteorological Data Availability
by Yongping Gao, Tonglin Fu, Mingzhu He, Fengzhen Yang and Xiaojun Li
Atmosphere 2026, 17(4), 382; https://doi.org/10.3390/atmos17040382 - 9 Apr 2026
Abstract
Accurate prediction of reference evapotranspiration (ET0) using integrated deep learning approaches with limited meteorological data is highly significant for efficient water resource utilization and management in arid regions. Nevertheless, parameter optimization is frequently overlooked in current research, leading to unsatisfactory estimation [...] Read more.
Accurate prediction of reference evapotranspiration (ET0) using integrated deep learning approaches with limited meteorological data is highly significant for efficient water resource utilization and management in arid regions. Nevertheless, parameter optimization is frequently overlooked in current research, leading to unsatisfactory estimation accuracy that cannot meet practical application requirements. To overcome this limitation, a CNN–BiLSTM–attention hybrid model is constructed by combining the powerful feature-extraction capability of CNN and excellent sequence-processing performance of BiLSTM, followed by the integration of an attention mechanism. Five metaheuristic algorithms, namely the osprey optimization algorithm (OOA), grey wolf optimization (GWO), whale optimization algorithm (WOA), particle swarm optimization (PSO), and northern goshawk optimization (NGO), are adopted to optimize the key parameters of the proposed model. The developed hybrid models are then applied to ET0 estimation in Linze County, China. The results demonstrate that the error indices of these models vary within the ranges of MAPE [14.28%, 14.48%], MAE [0.4270, 0.4482], RMSE [0.5596, 0.5844], and NMSE [0.0490, 0.0577]. Overall, the OOA–CNN–BiLSTM–attention model exhibited the most robust and consistent estimation performance across multiple evaluation metrics among the investigated models. Full article
(This article belongs to the Section Biometeorology and Bioclimatology)
Show Figures

Figure 1

32 pages, 5560 KB  
Article
MTEC-SOC: A Multi-Physics Aging-Aware Model for Smartphone Battery SOC Estimation Under Diverse User Behaviors
by Yuqi Zheng, Yao Li, Liang Song and Xiaomin Dai
Batteries 2026, 12(4), 130; https://doi.org/10.3390/batteries12040130 - 8 Apr 2026
Viewed by 109
Abstract
State-of-charge (SOC) estimation for lithium-ion batteries in smartphones is complicated by nonlinear load variation, electro-thermal coupling, aging effects, and heterogeneous user behaviors. This study proposes a multi-physics coupled SOC estimation framework, termed the Multi-Physics Thermo-Electrochemical Coupled SOC Model (MTEC-SOC), to characterize battery behavior [...] Read more.
State-of-charge (SOC) estimation for lithium-ion batteries in smartphones is complicated by nonlinear load variation, electro-thermal coupling, aging effects, and heterogeneous user behaviors. This study proposes a multi-physics coupled SOC estimation framework, termed the Multi-Physics Thermo-Electrochemical Coupled SOC Model (MTEC-SOC), to characterize battery behavior under representative user-load conditions within controlled ambient thermal boundaries. The model combines system-level power profiling, thermal evolution, voltage dynamics, and aging-related capacity correction within a unified framework. To support model development and validation, a dual-source dataset is established using laboratory battery characterization data and real-world smartphone behavioral data, from which users are classified into light, heavy, and mixed usage patterns. Comparative results against four benchmark models (M1–M4) show that MTEC-SOC achieves the highest overall accuracy, with average MAE, RMSE, and TTE error values of 0.0091, 0.0118, and 0.08 h, respectively. The results suggest distinct degradation tendencies across user types: calendar aging dominates under prolonged high-voltage dwell in light-use scenarios, whereas, within the tested thermal range, heavy-use scenarios exhibit stronger voltage sag, relative temperature rise, and polarization-related stress; mixed-use scenarios are characterized by transient responses induced by abrupt load switching. Sensitivity analysis further indicates that the predictive behavior of the model is strongly scenario-dependent, with higher-load operation within the calibrated range amplifying parameter perturbations. Overall, the proposed MTEC-SOC framework provides accurate SOC estimation and physically interpretable insight within the evaluated dataset and operating conditions, offering potential guidance for battery management and energy optimization in intelligent mobile terminals. Full article
Show Figures

Figure 1

24 pages, 5257 KB  
Article
Research on Colorization Algorithm for γ-Photon Flow Field Images Using the SECN Model
by Hui Xiao, Liying Hou, Jiantang Liu and Shengjun Huang
Entropy 2026, 28(4), 414; https://doi.org/10.3390/e28040414 - 4 Apr 2026
Viewed by 198
Abstract
γ-photon tomography, which leverages the high penetration and electrical neutrality of high-energy γ-photons, offers a promising non-contact approach for industrial flow field monitoring. However, γ-photon flow-field images are inherently grayscale and exhibit probabilistic statistical imaging characteristics, leading to color banding artifacts when processed [...] Read more.
γ-photon tomography, which leverages the high penetration and electrical neutrality of high-energy γ-photons, offers a promising non-contact approach for industrial flow field monitoring. However, γ-photon flow-field images are inherently grayscale and exhibit probabilistic statistical imaging characteristics, leading to color banding artifacts when processed by mainstream colorization algorithms like DeOldify, which compromise structural continuity and visual consistency. To address this issue, this paper proposes a Structure Enhancement Colorization Network (SECN) model for γ-photon flow-field image colorization. A U-Net + GAN framework is employed, with ResNet101 as the generator backbone. It integrates structure-aware enhancement and multi-scale attention modules, while the discriminator incorporates enhanced blocks for improved boundary and texture discrimination. By adaptively fusing global–local features across channel and spatial dimensions, the SECN model effectively suppresses color banding artifacts and enhances structural consistency. To validate the effectiveness of the proposed algorithm, two CFD-simulated γ-photon flow-field image colorization scenarios—namely a large-scale vortex wake and a horizontal wake—are used as evaluation targets. In terms of image quality metrics, the proposed colorization algorithm achieves PSNR, SSIM, FID, and MAE values of 32.5831, 0.8612, 17.8514, and 0.0191, respectively, corresponding to improvements over DeOldify of 4.54%, 2.82%, 5.18%, and 11.16%. When considering information entropy, the proposed colorization algorithm achieves an average entropy value of 4.0257, marking a 4.44% increase compared to DeOldify’s 3.8543, demonstrating superior information preservation and reduced uncertainty in reconstructing complex probabilistic structures. Furthermore, from the perspective of parameter inversion, the temperature inversion MAPE is 7.60%, which is a significant reduction of 18.42% compared to that of DeOldify. Full article
(This article belongs to the Section Information Theory, Probability and Statistics)
Show Figures

Figure 1

21 pages, 6183 KB  
Article
Pavement Rut Detection and Accuracy Validation Using Lightweight Equipment and Machine Learning Algorithms
by Jinxi Zhang, Wanting Li, Lei Nie and Wangda Guo
Appl. Sci. 2026, 16(7), 3534; https://doi.org/10.3390/app16073534 - 4 Apr 2026
Viewed by 223
Abstract
Pavement rutting is caused by grooves formed by vehicle traffic, affecting driving comfort, safety, and service life. Rutting detection methods have evolved from manual and automated approaches to intelligent detection for smart cities and maintenance. However, lightweight intelligent detection still faces challenges such [...] Read more.
Pavement rutting is caused by grooves formed by vehicle traffic, affecting driving comfort, safety, and service life. Rutting detection methods have evolved from manual and automated approaches to intelligent detection for smart cities and maintenance. However, lightweight intelligent detection still faces challenges such as insufficient accuracy and technical complexity, and a mature system has yet to be established. This study aims to develop a portable intelligent terminal for pavement rut detection, which can address the challenges associated with traditional pavement rut detection while providing accuracy and reliability. In this study, rutting detection experiments were performed on a full-scale accelerated loading track to collect data on vibration acceleration, angular velocity, and attitude angles. Comparative experiments were carried out between traditional and lightweight detection methods. Subsequently, GRU-CNN, LSTM–Transformer, GRU, and LSTM models were developed to analyze and compare their performance in predicting rutting depth. The results show that the terminal operates stably, offering convenient usability and reliable data acquisition. Furthermore, vehicle angular velocity and roll angle emerge as critical indicators reflecting rutting impacts on driving states and prove suitable for pavement rut depth detection. The proposed GRU-CNN model achieves superior accuracy and overall performance relative to widely used models. Under synchronous detection conditions, the lightweight method yields a mean absolute error (MAE) of 1.22 mm, achieving performance improvements of 17.32%, 8.74%, and 10.08% over the LSTM–Transformer, GRU, and LSTM models, respectively. Additionally, the method yields a mean absolute percentage error of approximately 10.6%, representing error reductions of 15.87%, 19.08%, and 23.74% compared to the aforementioned baseline models, which meets application requirements. Innovation lies in the development of a lightweight intelligent terminal and GRU-CNN hybrid model that integrates vehicle dynamic parameters for large-scale pavement rutting detection. This study presents a lightweight, real-time pavement rutting detection method based on vehicle operation data for the construction and maintenance of smart cities and intelligent transportation infrastructure, combining the features of high cost effectiveness, high accuracy, and ease of large-scale application. Full article
(This article belongs to the Section Transportation and Future Mobility)
Show Figures

Figure 1

17 pages, 9423 KB  
Article
Photovoltaic Power Prediction Based on Multi-Source Environmental Information Fusion Using a VMD-ZOA-LSTM Hybrid Mode
by Zixiu Qin, Hai Wei, Xiaoning Deng, Yi Zhang and Xuecheng Wang
Processes 2026, 14(7), 1166; https://doi.org/10.3390/pr14071166 - 4 Apr 2026
Viewed by 261
Abstract
New energy power generation has become the first choice for low-carbon reform in the energy industry due to its emission reduction characteristics and environmental friendliness. However, due to the fluctuating nature of renewable energy, sustaining consistent reliability and secure performance within the power [...] Read more.
New energy power generation has become the first choice for low-carbon reform in the energy industry due to its emission reduction characteristics and environmental friendliness. However, due to the fluctuating nature of renewable energy, sustaining consistent reliability and secure performance within the power network has become increasingly challenging. A novel ensemble prediction scheme for photovoltaic (PV) output is presented, leveraging multi-source environmental data fusion to enhance forecast precision. The relationship between environmental variables and PV generation is quantitatively assessed using Pearson’s correlation coefficient to isolate the most influential factors. Subsequently, the PV time-series data are decomposed via variational mode decomposition (VMD) to extract multi-scale dynamic patterns. The refined features are then utilized within a long short-term memory (LSTM) network, whose parameters are adaptively optimized by the zebra optimization algorithm (ZOA). Historical datasets comprising environmental observations and corresponding PV generation records from a representative power station serve as the empirical basis. Results reveal that the VMD-ZOA-LSTM framework achieves the lowest RMSE and MAE, reducing errors by over 50% relative to comparative models. Furthermore, its R2 metric outperforms that of the baseline LSTM and VMD-LSTM configurations by 2.05% and 1.19%, respectively, thereby substantiating the efficiency and validity of the proposed modeling strategy. Full article
Show Figures

Figure 1

29 pages, 6260 KB  
Article
Synergistic Surface Treatments for Sustainable Recycled Aggregate Concrete: Experimental Performance and Machine Learning Prediction of Compressive Strength with an Interactive Online Interface
by Marwah Al tekreeti and Ali Bahadori-Jahromi
Sustainability 2026, 18(7), 3541; https://doi.org/10.3390/su18073541 - 3 Apr 2026
Viewed by 308
Abstract
Recycled concrete aggregate (RC A) is considered a sustainable material; however, its porosity and interfacial properties are poor due to adhering mortar. This study investigates the influence of synergistic surface treatments in terms of improving RCA quality and the resulting compressive strength of [...] Read more.
Recycled concrete aggregate (RC A) is considered a sustainable material; however, its porosity and interfacial properties are poor due to adhering mortar. This study investigates the influence of synergistic surface treatments in terms of improving RCA quality and the resulting compressive strength of recycled aggregate concrete (RAC). A machine learning (ML) model was also developed to predict the compressive strength of recycled aggregate concrete (RAC) with different surface treatments, not just untreated RCA. In this study, three different RCA surface treatments were investigated. In this regard, acetic acid, silica fume, and sodium silicate treatments were combined. The properties of concrete and fresh concrete were investigated using slump and compressive tests at 28 and 90 days. The performance of various ML models, incorporating Gradient Boosting, Random Forest, XGBoost, and Extra Trees, was investigated. The performance of different models was also evaluated using R2, MAE, and RMSE. SHAP analysis was used to evaluate the performance of different models. It has been observed that the use of surface treatment leads to lower water absorption values and higher interfacial bonding, as well as substantial improvements in compressive strength. Specifically, the use of acetic acid and silica fume for treating RCA produced compressive strengths similar to those achieved from natural aggregates at lower costs. XGBoost has the highest accuracy among all models. The R2 value of XGBoost was 0.909. The SHAP analysis indicates that cement and curing age are the main features. RCA treatment parameters are considered modifiers. A user-friendly online tool was created to estimate compressive strength using different types of RCA treatment. The RCA treatment with sodium silicate and silica fume performed best in terms of embodied carbon among the treated mixes; it was deemed the best alternative from an environmental standpoint. Full article
(This article belongs to the Section Sustainable Engineering and Science)
Show Figures

Figure 1

22 pages, 8332 KB  
Article
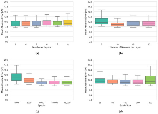
Prediction of the Ultimate Shear Load of Flat Slabs Using a Hybrid ANN-FEM Approach: Implementation and Accuracy Insights
by Leonardo Carvalho Mesquita, Marília Gonçalves Marques, Markssuel Teixeira Marvila, Elyson Pozo Liberati and Vinícius D’Almeida Rodrigues Ramos
Buildings 2026, 16(7), 1424; https://doi.org/10.3390/buildings16071424 - 3 Apr 2026
Viewed by 272
Abstract
This study presents a hybrid approach that combines the Finite Element Method (FEM) and Artificial Neural Networks (ANNs) to predict the ultimate punching shear capacity of flat slabs supported by interior columns. FEM models were first developed and validated against experimental results to [...] Read more.
This study presents a hybrid approach that combines the Finite Element Method (FEM) and Artificial Neural Networks (ANNs) to predict the ultimate punching shear capacity of flat slabs supported by interior columns. FEM models were first developed and validated against experimental results to simulate slab behavior. These models were then used to generate a numerical dataset containing 1000 entries with varying geometric and mechanical parameters. Based on this dataset, 600 ANN architectures were trained and evaluated, from which three were selected for their high predictive performance (R2 > 0.99, MAE < 8 kN). A sensitivity analysis on network hyperparameters and dataset size revealed that 500–750 samples are sufficient for accurate ANN training. Finally, the selected ANN–FEM models were tested against 20 experimental cases and compared to predictions from ACI 318, Eurocode 2, and NBR 6118. While the design codes showed significant underestimations (up to 95%), the ANN and FEM models resulted in mean percentage errors of 11.6% and 10.1%, respectively. These findings demonstrate that the proposed hybrid approach provides an accurate, efficient, and practical alternative for predicting punching shear capacity in structural design. Full article
(This article belongs to the Section Building Structures)
Show Figures

Figure 1

23 pages, 4047 KB  
Article
UAV-Based Estimation of Tea Leaf Area Index in Mountainous Terrain: Integrating Topographic Correction and Interpretable Machine Learning
by Na Lin, Jian Zhao, Huxiang Shao, Miaomiao Wang and Hong Chen
Sensors 2026, 26(7), 2218; https://doi.org/10.3390/s26072218 - 3 Apr 2026
Viewed by 276
Abstract
Leaf Area Index (LAI) is a fundamental parameter for characterizing the growth of tea (Camellia sinensis L.). However, in rugged mountainous regions, the combined effects of topographic relief and canopy structural heterogeneity severely constrain the accuracy of UAV-based multispectral LAI retrieval. This [...] Read more.
Leaf Area Index (LAI) is a fundamental parameter for characterizing the growth of tea (Camellia sinensis L.). However, in rugged mountainous regions, the combined effects of topographic relief and canopy structural heterogeneity severely constrain the accuracy of UAV-based multispectral LAI retrieval. This study develops an integrated framework combining topographic correction with interpretable machine learning to improve LAI estimation. We utilized a UAV multispectral dataset collected during the peak growing season from a typical tea-growing region in Fujian Province, China (altitude range: 58–186 m), comprising a total of 90 samples. Three topographic correction methods, including Sun–Canopy–Sensor (SCS), SCS with C correction (SCS+C), and Minnaert+SCS, were evaluated in combination with Linear Regression (LR), Decision Tree (DT), Random Forest (RF), and Extreme Gradient Boosting (XGBoost) models. Results indicated that the SCS+C algorithm outperformed other methods by effectively accounting for direct and diffuse radiation components, thereby reducing topographic dependence while maintaining radiometric consistency across heterogeneous surfaces. The XGBoost model combined with SCS+C correction achieved the highest performance (R2 = 0.8930, RMSE = 0.6676, nRMSE = 7.93%, MAE = 0.4936, Bias = −0.0836). SHapley Additive exPlanations (SHAP) analysis revealed a structure-dominated retrieval mechanism, in which red-band textural features (Correlation_R) exhibited higher importance than conventional vegetation indices. Compared with previous studies that primarily focus on either topographic correction or model development, this study provides quantitative insights into the underlying retrieval mechanisms. This framework improves the precision of tea LAI retrieval in complex terrains and provides a robust methodological basis for digital management in mountainous agriculture. Full article
(This article belongs to the Special Issue AI UAV-Based Systems for Agricultural Monitoring)
Show Figures

Figure 1

14 pages, 1901 KB  
Article
Prediction of Surge Control Valve Opening for Centrifugal Compressors in Natural Gas Pipelines Based on GWO-Optimized BP Neural Network
by Qingfeng Sun, Jinxin Tang, Weidong Li and Xingguang Wu
Algorithms 2026, 19(4), 271; https://doi.org/10.3390/a19040271 - 1 Apr 2026
Viewed by 223
Abstract
The centrifugal compressor is the heart that drives the operation of natural gas pipeline systems. Under low-throughput conditions, natural gas often returns back to the compressor through the surge control valve to increase the flow rate and avoid surge. However, how to reasonably [...] Read more.
The centrifugal compressor is the heart that drives the operation of natural gas pipeline systems. Under low-throughput conditions, natural gas often returns back to the compressor through the surge control valve to increase the flow rate and avoid surge. However, how to reasonably determine the opening of the surge control valve is still an important problem in production. To predict the opening of the surge control valve in a centrifugal compressor, this work proposes a BP neural network optimized by the grey wolf optimizer (GWO). Five key parameters, including compressor shell vibration, power turbine speed, compressor inlet pressure, compressor outlet temperature, and gas turbine power, are determined to be key factors correlated to the opening of the surge control valve, and the relationships of these parameters are physically analyzed from a physical perspective. Compared with the other five parallel models, the GWO–BP method effectively optimizes the initial weights and thresholds of the neural network, reduces the probability of falling into a local optimum, and significantly improves prediction accuracy and stability. The root mean square error (RMSE), determination coefficient (R-square), and mean absolute error (MAE) of the GWO–BP model are all the best fit, and the predicted and actual openings of the surge control valve match well, with the average relative deviation being 4.65%, indicating that the GWO–BP model proposed in this paper has a good ability to predict the opening of surge control valves. Full article
Show Figures

Figure 1

23 pages, 2752 KB  
Article
Electricity Demand Forecasting Based on Flexibility Characterization
by Jesús Alexander Osorio-Lázaro, Ricardo Isaza-Ruget and Javier Alveiro Rosero García
Electricity 2026, 7(2), 27; https://doi.org/10.3390/electricity7020027 - 1 Apr 2026
Viewed by 233
Abstract
Electricity demand forecasting is essential for optimizing energy management and planning in microgrids and institutional contexts. The purpose of this article is to demonstrate how flexibility characterization can serve as a structural foundation for prediction, providing a contextualized framework that surpasses the limitations [...] Read more.
Electricity demand forecasting is essential for optimizing energy management and planning in microgrids and institutional contexts. The purpose of this article is to demonstrate how flexibility characterization can serve as a structural foundation for prediction, providing a contextualized framework that surpasses the limitations of traditional approaches. Representative trajectories (A–D), derived from entropy and variability metrics, were consolidated from historical user data and used as the basis for modeling. Two complementary approaches were implemented: ARIMA models, which capture endogenous dynamics, and ARX models, which extend this capacity by incorporating exogenous cyclical variables (hour, day of the week, month) and lagged predictors. A systematic grid search was conducted to identify optimal parameter configurations, followed by validation through rolling forecasts with a 24-h horizon, relevant for operators of microgrids, institutional managers, and energy planners. Performance was evaluated using MAE, RMSE, MAPE, and SMAPE, ensuring comparability across trajectories. Results show that ARIMA consistently achieved lower error rates in stable trajectories (A and C), with SMAPE values around 2.0%, while ARX provided substantial improvements in irregular ones (B and C), reducing SMAPE from 3.7–5.9% to approximately 2.2–2.6%. In highly irregular profiles (D), all models converged to similar accuracy (SMAPE ≈ 9.0%). When applied to individual users, predictive errors varied more widely depending on trajectory assignment: stable users showed SMAPE values around 3–4%, while irregular users exhibited much higher errors, exceeding 18–21%. Unlike conventional methods that treat characterization and prediction as separate processes, this study integrates both into a unified framework, enabling forecasts to capture stability, cyclicity, and adaptability. The methodology was further applied to individual users by assigning them to representative trajectories and adjusting predictions through baseline scaling. Overall, the findings demonstrate that embedding forecasts within characterized trajectories transforms prediction into a contextualized analysis of flexibility, enabling accurate short-term forecasts and supporting practical applications in energy planning, demand management, and economic dispatch. The framework has been designed to support electricity demand forecasting across multiple contexts, from microgrids and institutional systems to larger territorial and national scales. Through contextual calibration, the methodology ensures adaptability and broader relevance for energy forecasting and demand-side management. Full article
Show Figures

Figure 1

31 pages, 4729 KB  
Article
A Multi-Graph Attention Fusion Network for Dam Deformation Prediction Under Data Missing Conditions
by Weiting Lu, Dongjie Wu, Jian Liang, Guanghe Zhang, Zhenhao Wu and Na Xia
Electronics 2026, 15(7), 1457; https://doi.org/10.3390/electronics15071457 - 31 Mar 2026
Viewed by 212
Abstract
Dam deformation monitoring is essential for ensuring the safe operation of hydraulic structures, yet practical data are often compromised by missing values and noise, while spatial coupling among monitoring points further complicates prediction. To address these challenges, this study proposes a Spatio-Temporal Multi-Graph [...] Read more.
Dam deformation monitoring is essential for ensuring the safe operation of hydraulic structures, yet practical data are often compromised by missing values and noise, while spatial coupling among monitoring points further complicates prediction. To address these challenges, this study proposes a Spatio-Temporal Multi-Graph Attention Fusion Network (STMGAFN) for dam deformation prediction and risk early warning under incomplete data conditions. Data quality is enhanced through a data-quality-aware hierarchical adaptive imputation mechanism combined with a VMD–wavelet joint denoising strategy. A multi-graph spatial modeling framework integrating temporal similarity, spatial proximity, structural zoning, and measuring-line connectivity is constructed, and fuses multi-source spatial features through a lightweight adaptive attention mechanism. A parameter-sharing recursive probabilistic temporal modeling approach is adopted to jointly predict deformation values and their associated uncertainties. Based on the predicted confidence intervals, a four-level risk classification and early-warning scheme is established. Experimental results on real GNSS monitoring data from dam sites demonstrate that the proposed method achieves an RMSE of 0.3588 mm, an MAE of 0.1738 mm, and an R2 of 0.9865, outperforming baseline models including LSTM, TCN, CNN-LSTM, and STGCN. Moreover, the correlation between predictive uncertainty and actual error reaches 0.892, verifying the effectiveness and reliability of the proposed method for dam safety monitoring under complex conditions. Full article
Show Figures

Figure 1

Back to TopTop