Prediction of the Shear Strengths of New–Old Interfaces of Concrete Based on Data-Driven Methods Through Machine Learning
Abstract
1. Introduction
2. Experimental Database and Feature Engineering
2.1. Database
2.2. Feature Engineering
3. Interpretable ML Framework
3.1. AdaBoost
3.2. XGBoost
3.3. RF
- (1)
- Taking n training samples from the training set each time and putting them back to form a new training set;
- (2)
- Training M sub-models using these bootstrap samples;
- (3)
- For regression prediction tasks in this paper, the final prediction is obtained by averaging the predictions of the M sub-models.
3.4. Support Vector Regression
4. Model Development and Validation
4.1. Performance Metrics for Structural Reliability
4.2. Hyperparameter Optimization via Bayesian Methods
4.3. Cross-Validation Strategy Addressing Data Scarcity
- (1)
- Defining the hyperparameter search space;
- (2)
- Training the model for each hyperparameter combination;
- (3)
- Evaluating the performance of each model using cross-validation;
- (4)
- Selecting the hyperparameter combination with the best performance.
- (1)
- Learning rate (eta): [0.1, 0.2, 0.3];
- (2)
- Maximum depth of decision trees: [3, 5, 7];
- (3)
- Minimum leaf node weight: [1, 3, 5];
- (4)
- Subsample ratio: [0.8, 0.9, 1.0];
- (5)
- Feature subsampling ratio (colsample_bytree): [0.8, 0.9, 1.0];
- (6)
- Learning rate decay coefficient: [0.1, 0.01, 0.05].
- (1)
- Number of boosted trees: [50, 100, 200, 300];
- (2)
- Maximum tree depth for the base learner: [0, 10, 20, 30, 50];
- (3)
- Minimum samples to split: [2, 5, 10];
- (4)
- Minimum samples per leaf: [1, 2, 4].
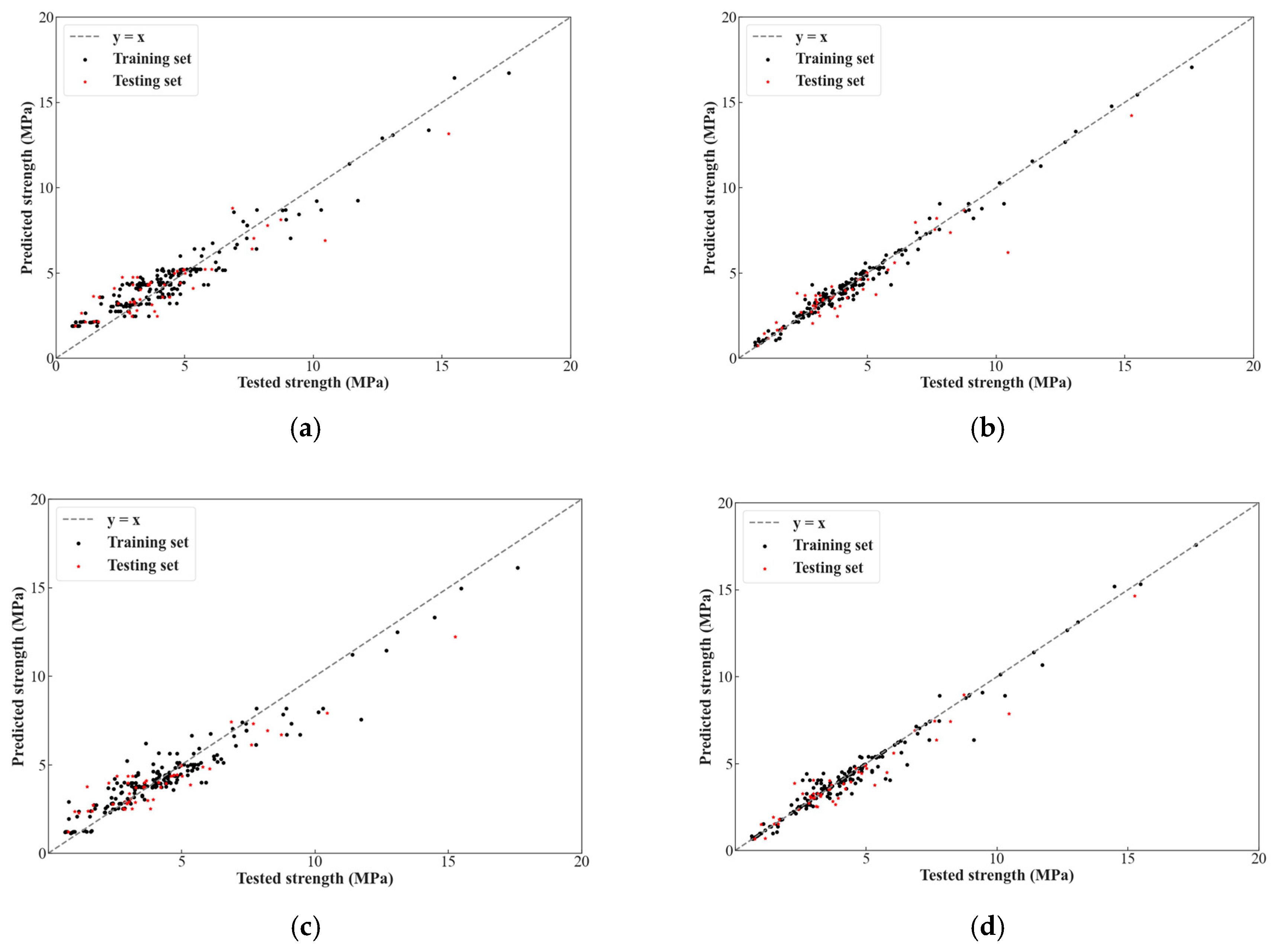
4.4. Training and Testing Results
5. Multiscale Model Interpretation
5.1. Global Feature Importance: SHAP Value Aggregation
5.2. Local Explanation: Interfacial Parameter Interactions
6. Conclusions
- (1)
- XGBoost outperformed all the other ML models. Although SVR exhibited a strong performance on the training set, it suffered from a significant decline in the test accuracy, indicating overfitting. RF and AdaBoost achieved R2 values of 0.829 and 0.801, respectively, on the test set. In contrast, the XGBoost model achieved the highest performance, with an R2 value of 0.933, the lowest RMSE (0.663), MAE (0.486), and MAPE (12.937%), confirming its superior generalization and predictive capacities for the interfacial shear strength;
- (2)
- SHAP analysis provided insights into the key factors influencing model predictions. Both global and local SHAP results consistently identified the shear reinforcement ratio, interface type, higher value of the compressive strength (fcmax), interface width (b), and reinforcement yield strength (fy) as the most influential features. Variables such as ρ, fcmin, and fy generally had positive effects on shear strength predictions. In contrast, smooth interfaces tended to reduce the predicted shear strength, while rough surfaces enhanced it;
- (3)
- Compared with traditional empirical models, XGBoost demonstrated significantly higher accuracy and stability. Among the empirical approaches, the AASHTO model performed the best, with R2 = 0.939. However, it showed much higher error metrics (RMSE = 2.057, MAE = 1.402, and MAPE = 31.235%) and a greater coefficient of variation (COV = 0.384) than XGBoost (COV = 0.176). Moreover, the mean prediction ratio of XGBoost (1.054) was significantly closer to 1.0 than that of the AASHTO model (1.514), indicating better balance and reduced bias in its predictions. These results confirm the superior predictive consistency, accuracy, and reliability of the XGBoost model in modeling interfacial shear strength.
7. Discussion
Author Contributions
Funding
Data Availability Statement
Conflicts of Interest
Appendix A
| Author(s) | Number | fcmax | fcmin | fy | db | nb | Interface | b | h | Test | |
|---|---|---|---|---|---|---|---|---|---|---|---|
| [53] | 1 | 98.80 | 98.80 | 0.00370 | 572.0 | 9.5 | 2 | S | 127.0 | 304.8 | 3.65 |
| 2 | 83.10 | 83.10 | 0.00740 | 572.0 | 9.5 | 4 | S | 127.0 | 304.8 | 5.66 | |
| 3 | 80.90 | 80.90 | 0.00366 | 572.0 | 9.5 | 2 | R | 127.0 | 304.8 | 6.20 | |
| 4 | 80.90 | 80.90 | 0.00740 | 572.0 | 9.5 | 4 | R | 127.0 | 304.8 | 9.43 | |
| 5 | 86.00 | 86.00 | 0.01110 | 572.0 | 9.5 | 6 | R | 127.0 | 304.8 | 12.67 | |
| 6 | 86.00 | 86.00 | 0.01480 | 572.0 | 9.5 | 8 | R | 127.0 | 304.8 | 15.25 | |
| 7 | 89.30 | 89.30 | 0.01110 | 572.0 | 9.5 | 6 | R | 127.0 | 304.8 | 13.09 | |
| 8 | 89.30 | 89.30 | 0.01480 | 572.0 | 9.5 | 8 | R | 127.0 | 304.8 | 14.48 | |
| 9 | 101.70 | 101.70 | 0.00370 | 572.0 | 9.5 | 2 | R | 127.0 | 304.8 | 10.45 | |
| 10 | 101.70 | 101.70 | 0.00740 | 572.0 | 9.5 | 4 | R | 127.0 | 304.8 | 11.40 | |
| 11 | 104.90 | 104.90 | 0.01110 | 572.0 | 9.5 | 6 | R | 127.0 | 304.8 | 15.48 | |
| 12 | 104.90 | 104.90 | 0.01480 | 572.0 | 9.5 | 8 | R | 127.0 | 304.8 | 17.59 | |
| [4] | 13 | 65.65 | 56.64 | 0.00502 | 446.0 | 8.0 | 6 | S | 200.0 | 300.0 | 4.21 |
| 14 | 65.65 | 56.64 | 0.00502 | 446.0 | 8.0 | 6 | S | 200.0 | 300.0 | 3.61 | |
| 15 | 65.65 | 56.64 | 0.00502 | 446.0 | 8.0 | 6 | S | 200.0 | 300.0 | 3.53 | |
| 16 | 65.65 | 56.64 | 0.00502 | 446.0 | 8.0 | 6 | S | 200.0 | 300.0 | 3.46 | |
| 17 | 65.65 | 56.64 | 0.00502 | 446.0 | 8.0 | 6 | S | 200.0 | 300.0 | 3.54 | |
| 18 | 65.65 | 56.64 | 0.00502 | 446.0 | 8.0 | 6 | S | 200.0 | 300.0 | 4.24 | |
| 19 | 65.65 | 56.64 | 0.00502 | 446.0 | 8.0 | 6 | S | 200.0 | 300.0 | 3.58 | |
| 20 | 65.65 | 56.64 | 0.00502 | 446.0 | 8.0 | 6 | S | 200.0 | 300.0 | 3.57 | |
| 21 | 65.65 | 56.64 | 0.00502 | 446.0 | 8.0 | 6 | S | 200.0 | 300.0 | 3.36 | |
| 22 | 65.65 | 56.64 | 0.00502 | 446.0 | 8.0 | 6 | S | 200.0 | 300.0 | 3.29 | |
| [54] | 23 | 42.34 | 40.15 | 0.00439 | 351.0 | 9.5 | 2 | S | 127.0 | 254.0 | 1.45 |
| 24 | 42.34 | 40.15 | 0.00878 | 351.0 | 9.5 | 4 | S | 127.0 | 254.0 | 2.48 | |
| 25 | 40.90 | 40.90 | 0.01318 | 348.0 | 9.5 | 6 | S | 127.0 | 254.0 | 2.95 | |
| 26 | 40.90 | 40.90 | 0.01757 | 356.0 | 9.5 | 8 | S | 127.0 | 254.0 | 4.14 | |
| 27 | 42.31 | 42.17 | 0.02196 | 364.0 | 9.5 | 10 | S | 127.0 | 254.0 | 5.38 | |
| 28 | 42.31 | 42.17 | 0.03140 | 312.0 | 12.7 | 8 | S | 127.0 | 254.0 | 6.08 | |
| 29 | 43.30 | 39.95 | 0.00439 | 353.0 | 9.5 | 2 | R | 127.0 | 254.0 | 3.36 | |
| 30 | 43.30 | 39.95 | 0.00878 | 348.0 | 9.5 | 4 | R | 127.0 | 254.0 | 4.83 | |
| 31 | 42.58 | 41.42 | 0.01318 | 353.0 | 9.5 | 6 | R | 127.0 | 254.0 | 7.27 | |
| 32 | 42.58 | 41.42 | 0.01757 | 371.0 | 9.5 | 8 | R | 127.0 | 254.0 | 8.80 | |
| 33 | 41.31 | 25.79 | 0.03140 | 340.0 | 12.7 | 8 | R | 127.0 | 254.0 | 11.72 | |
| 34 | 42.72 | 25.79 | 0.00439 | 353.0 | 9.5 | 2 | R | 127.0 | 254.0 | 4.07 | |
| 35 | 42.72 | 25.79 | 0.00878 | 353.0 | 9.5 | 4 | R | 127.0 | 254.0 | 6.34 | |
| 36 | 40.42 | 20.11 | 0.01318 | 386.0 | 9.5 | 6 | R | 127.0 | 254.0 | 6.96 | |
| 37 | 40.42 | 20.11 | 0.01757 | 386.0 | 9.5 | 8 | R | 127.0 | 254.0 | 6.91 | |
| 38 | 41.62 | 17.07 | 0.01757 | 372.0 | 9.5 | 8 | R | 127.0 | 254.0 | 6.85 | |
| 39 | 42.41 | 20.21 | 0.03140 | 334.0 | 12.7 | 8 | R | 127.0 | 254.0 | 10.13 | |
| [55] | 40 | 33.51 | 33.51 | 0.01328 | 456.0 | 9.5 | 6 | S | 114.0 | 280.0 | 4.55 |
| 41 | 33.51 | 33.51 | 0.01328 | 456.0 | 9.5 | 6 | S | 114.0 | 280.0 | 4.82 | |
| 42 | 33.51 | 33.51 | 0.01328 | 456.0 | 9.5 | 6 | S | 114.0 | 280.0 | 5.44 | |
| 43 | 52.06 | 52.06 | 0.01328 | 456.0 | 9.5 | 6 | S | 114.0 | 280.0 | 9.11 | |
| 44 | 52.06 | 52.06 | 0.01328 | 456.0 | 9.5 | 6 | S | 114.0 | 280.0 | 7.41 | |
| 45 | 52.06 | 52.06 | 0.01328 | 456.0 | 9.5 | 6 | S | 114.0 | 280.0 | 7.69 | |
| 46 | 33.24 | 33.24 | 0.01328 | 456.0 | 9.5 | 6 | R | 114.0 | 280.0 | 8.21 | |
| 47 | 33.24 | 33.24 | 0.01328 | 456.0 | 9.5 | 6 | R | 114.0 | 280.0 | 7.43 | |
| 48 | 33.24 | 33.24 | 0.01328 | 456.0 | 9.5 | 6 | R | 114.0 | 280.0 | 7.43 | |
| 49 | 51.64 | 51.64 | 0.01328 | 456.0 | 9.5 | 6 | R | 114.0 | 280.0 | 10.29 | |
| 50 | 51.64 | 51.64 | 0.01328 | 456.0 | 9.5 | 6 | R | 114.0 | 280.0 | 7.80 | |
| 51 | 51.64 | 51.64 | 0.01328 | 456.0 | 9.5 | 6 | R | 114.0 | 280.0 | 8.92 | |
| 52 | 67.80 | 43.69 | 0.01072 | 605.0 | 8.0 | 8 | S | 150.0 | 250.0 | 5.39 | |
| 53 | 67.80 | 43.69 | 0.01072 | 605.0 | 8.0 | 8 | S | 150.0 | 250.0 | 5.23 | |
| 54 | 67.80 | 43.69 | 0.01072 | 605.0 | 8.0 | 8 | S | 150.0 | 250.0 | 5.37 | |
| [56] | 55 | 25.80 | 19.80 | 0.00502 | 450.0 | 8.0 | 6 | S | 200.0 | 300.0 | 1.71 |
| 56 | 25.80 | 19.80 | 0.00502 | 450.0 | 8.0 | 6 | S | 200.0 | 300.0 | 1.68 | |
| 57 | 25.80 | 19.80 | 0.00502 | 450.0 | 8.0 | 6 | S | 200.0 | 300.0 | 1.79 | |
| 58 | 55.60 | 51.00 | 0.00502 | 450.0 | 8.0 | 6 | S | 200.0 | 300.0 | 4.02 | |
| 59 | 55.60 | 51.00 | 0.00502 | 450.0 | 8.0 | 6 | S | 200.0 | 300.0 | 3.29 | |
| 60 | 55.60 | 51.00 | 0.00502 | 450.0 | 8.0 | 6 | S | 200.0 | 300.0 | 3.57 | |
| 61 | 55.60 | 51.00 | 0.00502 | 645.0 | 8.0 | 6 | S | 200.0 | 300.0 | 3.39 | |
| 62 | 55.60 | 51.00 | 0.00502 | 645.0 | 8.0 | 6 | S | 200.0 | 300.0 | 3.99 | |
| 63 | 55.60 | 51.00 | 0.00502 | 645.0 | 8.0 | 6 | S | 200.0 | 300.0 | 3.70 | |
| [57] | 64 | 35.70 | 30.90 | 0.00409 | 473.0 | 12.7 | 8 | R | 610.0 | 406.0 | 5.01 |
| 65 | 35.70 | 30.90 | 0.00409 | 473.0 | 12.7 | 8 | R | 610.0 | 406.0 | 4.61 | |
| 66 | 34.70 | 28.90 | 0.00409 | 473.0 | 12.7 | 8 | R | 610.0 | 406.0 | 4.39 | |
| 67 | 34.70 | 28.90 | 0.00409 | 473.0 | 12.7 | 8 | R | 610.0 | 406.0 | 4.75 | |
| 68 | 34.70 | 28.90 | 0.00409 | 473.0 | 12.7 | 8 | R | 610.0 | 406.0 | 4.84 | |
| 69 | 40.10 | 30.10 | 0.00409 | 591.0 | 12.7 | 8 | R | 610.0 | 406.0 | 4.18 | |
| 70 | 34.70 | 28.90 | 0.00409 | 591.0 | 12.7 | 8 | R | 610.0 | 406.0 | 4.37 | |
| 71 | 34.70 | 28.90 | 0.00409 | 591.0 | 12.7 | 8 | R | 610.0 | 406.0 | 4.53 | |
| 72 | 34.70 | 28.90 | 0.00409 | 591.0 | 12.7 | 8 | R | 610.0 | 406.0 | 4.71 | |
| 73 | 34.70 | 28.90 | 0.00409 | 591.0 | 12.7 | 8 | R | 610.0 | 406.0 | 5.22 | |
| 74 | 35.60 | 31.60 | 0.00641 | 443.0 | 15.9 | 8 | R | 406.0 | 610.0 | 4.91 | |
| 75 | 35.60 | 31.60 | 0.00640 | 443.0 | 15.9 | 8 | R | 406.0 | 610.0 | 4.95 | |
| 76 | 36.20 | 28.60 | 0.00640 | 443.0 | 15.9 | 8 | R | 406.0 | 610.0 | 4.98 | |
| 77 | 36.20 | 28.60 | 0.00640 | 443.0 | 15.9 | 8 | R | 406.0 | 610.0 | 4.89 | |
| 78 | 36.20 | 28.60 | 0.00640 | 443.0 | 15.9 | 8 | R | 406.0 | 610.0 | 4.94 | |
| 79 | 35.60 | 31.60 | 0.00640 | 589.0 | 15.9 | 8 | R | 406.0 | 610.0 | 5.42 | |
| 80 | 36.20 | 28.60 | 0.00640 | 589.0 | 15.9 | 8 | R | 406.0 | 610.0 | 5.49 | |
| 81 | 36.20 | 28.60 | 0.00640 | 589.0 | 15.9 | 8 | R | 406.0 | 610.0 | 5.61 | |
| 82 | 36.20 | 28.60 | 0.00640 | 589.0 | 15.9 | 8 | R | 406.0 | 610.0 | 5.08 | |
| 83 | 36.20 | 28.60 | 0.00640 | 589.0 | 15.9 | 8 | R | 406.0 | 610.0 | 5.34 | |
| [58] | 84 | 49.10 | 40 | 0.00410 | 464.0 | 9.5 | 6 | R | 254.0 | 406.4 | 4.83 |
| 85 | 49.10 | 40 | 0.00400 | 464.0 | 9.5 | 6 | R | 254.0 | 406.4 | 4.07 | |
| 86 | 49.10 | 40 | 0.00730 | 424.0 | 12.7 | 6 | R | 254.0 | 406.4 | 4.76 | |
| 87 | 49.10 | 40 | 0.00740 | 424.0 | 12.7 | 6 | R | 254.0 | 406.4 | 5.45 | |
| 88 | 49.10 | 40 | 0.00420 | 896.0 | 9.5 | 6 | R | 254.0 | 406.4 | 3.93 | |
| 89 | 49.10 | 40 | 0.00410 | 869.0 | 9.5 | 6 | R | 254.0 | 406.4 | 4.48 | |
| 90 | 49.10 | 40 | 0.00740 | 965.0 | 12.7 | 6 | R | 254.0 | 406.4 | 5.79 | |
| 91 | 49.10 | 40 | 0.00750 | 905.0 | 12.7 | 6 | R | 254.0 | 406.4 | 4.90 | |
| [59] | 92 | 136.00 | 63 | 0 | 0.0 | 0.0 | 0 | R | 127.0 | 203.0 | 6.56 |
| 93 | 136.00 | 63 | 0 | 0.0 | 0.0 | 0 | R | 127.0 | 203.0 | 4.92 | |
| 94 | 136.00 | 63 | 0.00550 | 414.0 | 9.5 | 2 | R | 127.0 | 203.0 | 6.22 | |
| 95 | 136.00 | 63 | 0.00550 | 414.0 | 9.5 | 2 | R | 127.0 | 203.0 | 6.47 | |
| [60] | 96 | 46.25 | 32.96 | 0 | 476.0 | 0.0 | 0 | R | 150.0 | 150.0 | 3.04 |
| 97 | 46.25 | 32.96 | 0 | 476.0 | 0.0 | 0 | R | 150.0 | 150.0 | 2.88 | |
| 98 | 46.25 | 32.96 | 0 | 476.0 | 0.0 | 0 | R | 150.0 | 150.0 | 3.02 | |
| 99 | 46.25 | 32.96 | 0.00502 | 476.0 | 12.0 | 1 | R | 150.0 | 150.0 | 3.96 | |
| 100 | 46.25 | 32.96 | 0.00502 | 476.0 | 12.0 | 1 | R | 150.0 | 150.0 | 4.06 | |
| 101 | 46.25 | 32.96 | 0.00502 | 476.0 | 12.0 | 1 | R | 150.0 | 150.0 | 4.21 | |
| [21] | 102 | 65.20 | 55.70 | 0.00502 | 446.0 | 8.0 | 6 | S | 200.0 | 300.0 | 3.61 |
| 103 | 65.20 | 55.70 | 0.00502 | 446.0 | 8.0 | 6 | S | 200.0 | 300.0 | 3.53 | |
| 104 | 65.20 | 55.70 | 0.00502 | 446.0 | 8.0 | 6 | S | 200.0 | 300.0 | 3.46 | |
| 105 | 65.20 | 55.70 | 0.00502 | 446.0 | 8.0 | 6 | S | 200.0 | 300.0 | 3.54 | |
| 106 | 65.20 | 55.70 | 0.00502 | 446.0 | 8.0 | 6 | S | 200.0 | 300.0 | 3.58 | |
| 107 | 65.20 | 55.70 | 0.00502 | 446.0 | 8.0 | 6 | S | 200.0 | 300.0 | 3.57 | |
| [52] | 108 | 30.94 | 30.94 | 0.01116 | 325.0 | 8.0 | 8 | S | 120.0 | 300.0 | 2.99 |
| 109 | 30.94 | 30.94 | 0.01116 | 325.0 | 8.0 | 8 | S | 120.0 | 300.0 | 4.45 | |
| 110 | 30.94 | 30.94 | 0.01116 | 325.0 | 8.0 | 8 | S | 120.0 | 300.0 | 3.16 | |
| 111 | 30.94 | 30.94 | 0.01116 | 325.0 | 8.0 | 8 | S | 120.0 | 300.0 | 2.58 | |
| 112 | 30.94 | 30.94 | 0.01116 | 325.0 | 8.0 | 8 | S | 120.0 | 300.0 | 3.27 | |
| [61] | 113 | 31.79 | 24.13 | 0.00818 | 344.8 | 12.7 | 2 | R | 203.2 | 152.4 | 4.69 |
| 114 | 36.68 | 22.34 | 0.00818 | 344.8 | 12.7 | 2 | R | 203.2 | 152.4 | 2.72 | |
| 115 | 36.68 | 25.51 | 0.00818 | 351.6 | 12.7 | 2 | R | 203.2 | 152.4 | 4.41 | |
| 116 | 39.09 | 28.48 | 0.00409 | 334.4 | 12.7 | 2 | R | 203.2 | 304.8 | 3.52 | |
| 117 | 34.27 | 24.68 | 0.00409 | 324.1 | 12.7 | 2 | R | 203.2 | 304.8 | 3.72 | |
| 118 | 28.13 | 22.82 | 0.00409 | 351.6 | 12.7 | 2 | R | 203.2 | 304.8 | 2.41 | |
| 119 | 28.13 | 22.82 | 0.00409 | 351.6 | 12.7 | 2 | R | 203.2 | 304.8 | 2.71 | |
| 120 | 28.13 | 22.82 | 0.00409 | 351.6 | 12.7 | 2 | R | 203.2 | 304.8 | 2.36 | |
| 121 | 30.48 | 27.30 | 0.00409 | 344.8 | 12.7 | 2 | R | 203.2 | 304.8 | 2.52 | |
| 122 | 30.48 | 27.30 | 0.00409 | 344.8 | 12.7 | 2 | R | 203.2 | 304.8 | 2.96 | |
| 123 | 30.48 | 27.30 | 0.00409 | 344.8 | 12.7 | 2 | R | 203.2 | 304.8 | 3.09 | |
| 124 | 34.20 | 20.96 | 0 | 0.0 | 0.0 | 0 | R | 203.2 | 304.8 | 2.87 | |
| 125 | 36.82 | 27.44 | 0 | 0.0 | 0.0 | 0 | R | 203.2 | 304.8 | 3.83 | |
| 126 | 36.34 | 28.61 | 0 | 0.0 | 0.0 | 0 | R | 203.2 | 304.8 | 3.14 | |
| 127 | 34.41 | 28.13 | 0 | 0.0 | 0.0 | 0 | R | 203.2 | 304.8 | 2.41 | |
| 128 | 34.41 | 28.13 | 0 | 0.0 | 0.0 | 0 | R | 203.2 | 304.8 | 2.50 | |
| 129 | 34.82 | 25.65 | 0 | 0.0 | 0.0 | 0 | R | 203.2 | 304.8 | 2.83 | |
| 130 | 34.82 | 25.65 | 0 | 0.0 | 0.0 | 0 | R | 203.2 | 304.8 | 2.81 | |
| 131 | 34.82 | 25.65 | 0 | 0.0 | 0.0 | 0 | R | 203.2 | 304.8 | 2.79 | |
| 132 | 39.58 | 24.41 | 0.00409 | 337.9 | 12.7 | 4 | R | 203.2 | 609.6 | 3.23 | |
| 133 | 34.48 | 23.58 | 0.00613 | 344.8 | 12.7 | 6 | R | 203.2 | 609.6 | 2.76 | |
| 134 | 41.65 | 24.20 | 0.00613 | 344.8 | 12.7 | 6 | R | 203.2 | 609.6 | 3.24 | |
| 135 | 36.68 | 22.34 | 0.00818 | 344.8 | 12.7 | 2 | S | 203.2 | 152.4 | 1.08 | |
| 136 | 36.68 | 22.34 | 0.00818 | 344.8 | 12.7 | 2 | S | 203.2 | 152.4 | 1.55 | |
| 137 | 34.96 | 25.51 | 0.00818 | 344.8 | 12.7 | 2 | S | 203.2 | 152.4 | 1.59 | |
| 138 | 34.96 | 25.51 | 0.00818 | 344.8 | 12.7 | 2 | S | 203.2 | 152.4 | 1.48 | |
| 139 | 34.96 | 25.51 | 0.00818 | 344.8 | 12.7 | 2 | S | 203.2 | 152.4 | 1.65 | |
| 140 | 33.58 | 27.92 | 0.00409 | 345.8 | 12.7 | 2 | S | 203.2 | 304.8 | 1.14 | |
| 141 | 35.65 | 25.24 | 0.00409 | 345.8 | 12.7 | 2 | S | 203.2 | 304.8 | 0.76 | |
| 142 | 33.58 | 27.92 | 0 | 0.0 | 0.0 | 0 | S | 203.2 | 304.8 | 0.86 | |
| 143 | 35.65 | 25.24 | 0 | 0.0 | 0.0 | 0 | S | 203.2 | 304.8 | 1.59 | |
| 144 | 36.82 | 27.44 | 0 | 0.0 | 0.0 | 0 | S | 203.2 | 304.8 | 0.90 | |
| 145 | 36.34 | 28.61 | 0 | 0.0 | 0.0 | 0 | S | 203.2 | 304.8 | 0.62 | |
| 146 | 34.41 | 28.13 | 0 | 0.0 | 0.0 | 0 | S | 203.2 | 304.8 | 0.83 | |
| 147 | 32.13 | 29.10 | 0 | 0.0 | 0.0 | 0 | S | 203.2 | 609.6 | 0.75 | |
| 148 | 32.13 | 29.10 | 0 | 0.0 | 0.0 | 0 | S | 203.2 | 609.6 | 0.65 | |
| 149 | 32.13 | 29.10 | 0 | 0.0 | 0.0 | 0 | S | 203.2 | 609.6 | 0.69 | |
| [62] | 150 | 44.09 | 38.71 | 0.00174 | 603.8 | 5.0 | 2 | S | 150.0 | 150.0 | 2.66 |
| 151 | 44.09 | 38.71 | 0.00174 | 603.8 | 5.0 | 2 | S | 150.0 | 150.0 | 2.95 | |
| 152 | 44.09 | 38.71 | 0.00174 | 603.8 | 5.0 | 2 | S | 150.0 | 150.0 | 3.08 | |
| 153 | 44.09 | 38.71 | 0.00342 | 584.3 | 7.0 | 2 | S | 150.0 | 150.0 | 3 | |
| 154 | 44.09 | 38.71 | 0.00342 | 584.3 | 7.0 | 2 | S | 150.0 | 150.0 | 3.61 | |
| 155 | 44.09 | 38.71 | 0.00342 | 584.3 | 7.0 | 2 | S | 150.0 | 150.0 | 3.93 | |
| [63] | 156 | 60.75 | 35.99 | 0.00804 | 400.0 | 8.0 | 6 | R | 150.0 | 250.0 | 6.05 |
| 157 | 60.75 | 35.99 | 0.00804 | 400.0 | 8.0 | 6 | R | 150.0 | 250.0 | 5.59 | |
| 158 | 60.75 | 35.99 | 0.01256 | 400.0 | 10.0 | 6 | R | 150.0 | 250.0 | 7.78 | |
| 159 | 60.75 | 35.99 | 0.01256 | 400.0 | 10.0 | 6 | R | 150.0 | 250.0 | 7.62 | |
| 160 | 60.75 | 35.99 | 0.01809 | 400.0 | 12.0 | 6 | R | 150.0 | 250.0 | 8.94 | |
| 161 | 60.75 | 35.99 | 0.01809 | 400.0 | 12.0 | 6 | R | 150.0 | 250.0 | 8.73 | |
| [64] | 162 | 53.01 | 41.58 | 0.00393 | 340.0 | 10.0 | 1 | R | 100.0 | 200.0 | 3.93 |
| 163 | 53.01 | 41.58 | 0.00565 | 353.0 | 12.0 | 1 | R | 100.0 | 200.0 | 4.26 | |
| 164 | 53.01 | 41.58 | 0.00769 | 347.0 | 14.0 | 1 | R | 100.0 | 200.0 | 5.22 | |
| 165 | 58.34 | 41.95 | 0.02308 | 347.0 | 14.0 | 3 | R | 100.0 | 200.0 | 7.02 | |
| 166 | 45.38 | 33.88 | 0.02010 | 353.0 | 16.0 | 2 | R | 100.0 | 200.0 | 6.33 | |
| 167 | 69.55 | 60.36 | 0.00769 | 347.0 | 14.0 | 1 | R | 100.0 | 200.0 | 3.93 | |
| [12] | 168 | 200 | 200 | 0 | 0.0 | 0.0 | 0 | S | 184.0 | 304.8 | 1.63 |
| 169 | 200 | 200 | 0 | 0.0 | 0.0 | 0 | S | 184.0 | 304.8 | 1.31 | |
| 170 | 200 | 200 | 0 | 0.0 | 0.0 | 0 | S | 184.0 | 304.8 | 1.37 | |
| 171 | 200 | 200 | 0.00505 | 506.8 | 9.5 | 4 | S | 184.0 | 304.8 | 3.92 | |
| 172 | 200 | 200 | 0.00505 | 506.8 | 9.5 | 4 | S | 184.0 | 304.8 | 4.05 | |
| 173 | 200 | 200 | 0.00505 | 506.8 | 9.5 | 4 | S | 184.0 | 304.8 | 3.62 | |
| 174 | 200 | 84.40 | 0 | 0.0 | 0.0 | 0 | S | 184.0 | 304.8 | 0.99 | |
| 175 | 200 | 84.40 | 0 | 0.0 | 0.0 | 0 | S | 184.0 | 304.8 | 0.94 | |
| 176 | 200 | 84.40 | 0 | 0.0 | 0.0 | 0 | S | 184.0 | 304.8 | 1.43 | |
| 177 | 200 | 84.40 | 0.00253 | 506.8 | 9.5 | 2 | S | 184.0 | 304.8 | 2.11 | |
| 178 | 200 | 84.40 | 0.00253 | 506.8 | 9.5 | 2 | S | 184.0 | 304.8 | 2.31 | |
| 179 | 200 | 84.40 | 0.00253 | 506.8 | 9.5 | 2 | S | 184.0 | 304.8 | 2.13 | |
| 180 | 200 | 84.40 | 0.00505 | 506.8 | 9.5 | 4 | S | 184.0 | 304.8 | 3.89 | |
| 181 | 200 | 84.40 | 0.00505 | 506.8 | 9.5 | 4 | S | 184.0 | 304.8 | 3.20 | |
| 182 | 200 | 84.40 | 0.00505 | 506.8 | 9.5 | 4 | S | 184.0 | 304.8 | 3.28 | |
| 183 | 200 | 84.40 | 0.00758 | 506.8 | 9.5 | 6 | S | 184.0 | 304.8 | 4.44 | |
| 184 | 200 | 84.40 | 0.00758 | 506.8 | 9.5 | 6 | S | 184.0 | 304.8 | 3.36 | |
| 185 | 200 | 84.40 | 0.00758 | 506.8 | 9.5 | 6 | S | 184.0 | 304.8 | 4.82 | |
| 186 | 200 | 84.40 | 0 | 0.0 | 0.0 | 0 | R | 184.0 | 304.8 | 2.62 | |
| 187 | 200 | 84.40 | 0 | 0.0 | 0.0 | 0 | R | 184.0 | 304.8 | 2.14 | |
| 188 | 200 | 84.40 | 0 | 0.0 | 0.0 | 0 | R | 184.0 | 304.8 | 2.86 | |
| [65] | 189 | 26.50 | 20.20 | 0 | 0.0 | 0.0 | 0 | R | 250.0 | 250.0 | 0.99 |
| 190 | 26.50 | 20.20 | 0.00362 | 358.0 | 12.0 | 2 | R | 250.0 | 250.0 | 2.21 | |
| 191 | 26.50 | 20.20 | 0.00492 | 344.0 | 14.0 | 2 | R | 250.0 | 250.0 | 2.86 | |
| 192 | 26.50 | 20.20 | 0.00723 | 358.0 | 12.0 | 4 | R | 250.0 | 250.0 | 3.68 | |
| 193 | 26.50 | 20.20 | 0.00985 | 344.0 | 14.0 | 4 | R | 250.0 | 250.0 | 4.32 | |
| 194 | 30.60 | 26.50 | 0 | 0.0 | 0.0 | 0 | R | 250.0 | 250.0 | 1.15 | |
| 195 | 30.60 | 26.50 | 0.00362 | 358.0 | 12.0 | 2 | R | 250.0 | 250.0 | 2.72 | |
| 196 | 30.60 | 26.50 | 0.00492 | 344.0 | 14.0 | 2 | R | 250.0 | 250.0 | 3.20 | |
| 197 | 30.60 | 26.50 | 0.00723 | 358.0 | 12.0 | 4 | R | 250.0 | 250.0 | 4.16 | |
| 198 | 30.60 | 26.50 | 0.00985 | 344.0 | 14.0 | 4 | R | 250.0 | 250.0 | 4.96 | |
| [13] | 199 | 41.50 | 34.60 | 0.00502 | 440.2 | 12.0 | 1 | R | 150.0 | 150.0 | 3.60 |
| 200 | 27.20 | 24.50 | 0.00171 | 564.1 | 7.0 | 1 | R | 150.0 | 150.0 | 1.75 | |
| 201 | 27.20 | 24.50 | 0.00349 | 420.2 | 10.0 | 1 | R | 150.0 | 150.0 | 2.41 | |
| 202 | 27.20 | 24.50 | 0.00502 | 440.2 | 12.0 | 1 | R | 150.0 | 150.0 | 3.04 | |
| 203 | 27.20 | 24.50 | 0.00684 | 383.8 | 14.0 | 1 | R | 150.0 | 150.0 | 4.13 | |
| 204 | 27.20 | 24.50 | 0.00893 | 375.5 | 16.0 | 1 | R | 150.0 | 150.0 | 4.54 | |
| 205 | 39.70 | 37.70 | 0.00171 | 564.1 | 7.0 | 1 | R | 150.0 | 150.0 | 2.41 | |
| 206 | 39.70 | 37.70 | 0.00349 | 420.2 | 10.0 | 1 | R | 150.0 | 150.0 | 2.37 | |
| 207 | 39.70 | 37.70 | 0.00502 | 440.2 | 12.0 | 1 | R | 150.0 | 150.0 | 2.98 | |
| 208 | 39.70 | 37.70 | 0.00684 | 383.8 | 14.0 | 1 | R | 150.0 | 150.0 | 4.13 | |
| 209 | 39.70 | 37.70 | 0.00893 | 375.5 | 16.0 | 1 | R | 150.0 | 150.0 | 4.37 | |
| 210 | 47.60 | 44.60 | 0.00502 | 440.2 | 12.0 | 1 | R | 150.0 | 150.0 | 4.42 | |
| 211 | 47.60 | 44.60 | 0.00684 | 383.8 | 14.0 | 1 | R | 150.0 | 150.0 | 4.36 | |
| 212 | 47.60 | 44.60 | 0.00893 | 375.5 | 16.0 | 1 | R | 150.0 | 150.0 | 4.82 | |
| 213 | 51.90 | 50.20 | 0.00171 | 564.1 | 7.0 | 1 | R | 150.0 | 150.0 | 3.26 | |
| 214 | 51.90 | 50.20 | 0.00349 | 420.2 | 10.0 | 1 | R | 150.0 | 150.0 | 3.51 | |
| 215 | 51.90 | 50.20 | 0.00502 | 440.2 | 12.0 | 1 | R | 150.0 | 150.0 | 4.40 | |
| 216 | 51.90 | 50.20 | 0.00684 | 383.8 | 14.0 | 1 | R | 150.0 | 150.0 | 4.50 | |
| 217 | 51.90 | 50.20 | 0.00893 | 375.5 | 16.0 | 1 | R | 150.0 | 150.0 | 4.71 | |
| [52] | 218 | 30.94 | 30.94 | 0.01110 | 325 | 8.0 | 4 | S | 120 | 300 | 2.99 |
| 219 | 30.94 | 30.94 | 0.01110 | 325 | 8.0 | 4 | S | 120 | 300 | 4.45 | |
| 220 | 30.94 | 30.94 | 0.01110 | 325 | 8.0 | 4 | S | 120 | 300 | 3.16 | |
| 221 | 30.94 | 30.94 | 0.01110 | 325 | 8.0 | 4 | S | 120 | 300 | 2.58 | |
| 222 | 30.94 | 30.94 | 0.01110 | 325 | 8.0 | 4 | S | 120 | 300 | 3.27 | |
| 223 | 31.41 | 31.41 | 0.01110 | 325 | 8.0 | 4 | S | 120 | 300 | 4.06 | |
| 224 | 25.64 | 25.64 | 0.01110 | 325 | 8.0 | 4 | S | 120 | 300 | 3.10 | |
| 225 | 25.64 | 25.64 | 0.01110 | 325 | 8.0 | 4 | S | 120 | 300 | 4.13 | |
| 226 | 25.64 | 25.64 | 0.01110 | 325 | 8.0 | 4 | S | 120 | 300 | 3.27 | |
| 227 | 25.64 | 25.64 | 0.01110 | 325 | 8.0 | 4 | S | 120 | 300 | 4.58 | |
| 228 | 25.64 | 25.64 | 0.01110 | 325 | 8.0 | 4 | S | 120 | 300 | 2.27 | |
| 229 | 30.06 | 30.06 | 0.01110 | 325 | 8.0 | 4 | S | 120 | 300 | 3.60 | |
| 230 | 30.76 | 30.76 | 0.01110 | 325 | 8.0 | 4 | S | 120 | 300 | 4.40 | |
| 231 | 30.76 | 30.76 | 0.01110 | 325 | 8.0 | 4 | S | 120 | 300 | 5.91 | |
| 232 | 30.76 | 30.76 | 0.01110 | 325 | 8.0 | 4 | S | 120 | 300 | 4.79 | |
| 233 | 30.76 | 30.76 | 0.01110 | 325 | 8.0 | 4 | S | 120 | 300 | 4.04 | |
| 234 | 30.76 | 30.76 | 0.01110 | 325 | 8.0 | 4 | S | 120 | 300 | 2.84 | |
| 235 | 23.43 | 23.43 | 0.01110 | 325 | 8.0 | 4 | S | 120 | 300 | 5.32 | |
| 236 | 33.03 | 33.03 | 0.01110 | 325 | 8.0 | 4 | S | 120 | 300 | 5.74 | |
| [66] | 237 | 140.00 | 40.00 | 0.00335 | 453.0 | 8.0 | 2 | S | 150 | 200 | 0.77 |
| 238 | 140.00 | 40.00 | 0.00335 | 453.0 | 8.0 | 2 | R | 150 | 200 | 3.13 | |
| 239 | 140.00 | 40.00 | 0.00335 | 453.0 | 8.0 | 2 | R | 150 | 200 | 3.29 | |
| 240 | 140.00 | 40.00 | 0.00335 | 453.0 | 8.0 | 2 | R | 150 | 200 | 2.72 | |
| 241 | 140.00 | 40.00 | 0.00335 | 453.0 | 8.0 | 2 | R | 150 | 200 | 3.62 | |
| [67] | 242 | 140.0 | 40.0 | 0.00296 | 540.0 | 8.0 | 1 | S | 100 | 170 | 2.24 |
| 243 | 140.0 | 40.0 | 0.00591 | 540.0 | 8.0 | 2 | S | 100 | 170 | 2.45 | |
| 244 | 140.0 | 40.0 | 0.01183 | 540.0 | 8.0 | 4 | S | 100 | 170 | 4.06 | |
| 245 | 140.0 | 40.0 | 0.00296 | 540.0 | 8.0 | 1 | R | 100 | 170 | 4.10 | |
| 246 | 140.0 | 40.0 | 0.00591 | 540.0 | 8.0 | 2 | R | 100 | 170 | 4.53 | |
| 247 | 140.0 | 40.0 | 0.01183 | 540.0 | 8.0 | 4 | R | 100 | 170 | 5.72 |
References
- Ahmad, F.; Rawat, S.; Yang, R.C.; Zhang, L.; Zhang, Y.X. Fire resistance and thermal performance of hybrid fibre-reinforced magnesium oxychloride cement-based composites. Constr. Build. Mater. 2025, 472, 140867. [Google Scholar] [CrossRef]
- Zhang, J.; Ding, C.; Rong, X.; Yang, H.; Li, Y. Development and experimental investigation of hybrid precast concrete beam–column joints. Eng. Struct. 2020, 219, 110922. [Google Scholar] [CrossRef]
- Ahmad, S.; Bhargava, P.; Chourasia, A.; Sharma, U.K. Shear transfer strength of uncracked concrete after elevated temperatures. J. Struct. Eng. 2020, 146, 04020133. [Google Scholar] [CrossRef]
- Liu, J.; Fang, J.X.; Chen, J.J.; Xu, G. Evaluation of design provisions for interface shear transfer between concretes cast at different times. J. Bridge Eng. 2019, 24, 06019002. [Google Scholar] [CrossRef]
- Raposo, J.M.; Cavaco, E.; Neves, L.C.; Júlio, E. A novel roughness parameter for more precise estimation of the shear strength of concrete-to-concrete interfaces. Constr. Build. Mater. 2024, 410, 134146. [Google Scholar] [CrossRef]
- Birkeland, P.W.; Birkeland, H.W. Connections in precast concrete construction. J. Proc. 1966, 63, 345–368. [Google Scholar]
- Walraven, J.C. Theory and experiments on the mechanical behaviour of cracks in plain and reinforced concrete subjected to shear loading. Heron 1981, 26, 1–68. [Google Scholar]
- Hermansen, B.R.; Cowan, J. Modified shear-friction theory for bracket design. J. Proc. 1974, 71, 55–60. [Google Scholar]
- Patnaik, A.K.; Eng, P. Horizontal shear strength of composite concrete beams with a rough interface. PCI J. 1994, 39, 48–69. [Google Scholar] [CrossRef]
- Randl, N. Research on Force Transfer Between Old and New Concrete with Different Joint Roughness. Ph.D. Thesis, University of Innsbruck, Innsbruck, Austria, 1997. [Google Scholar]
- Ali, M.A.; White, R.N. Enhanced contact model for shear friction of normal and high-strength concrete. Struct. J. 1999, 96, 348–360. [Google Scholar]
- Crane, C.K. Shear and Shear Friction of Ultra-High Performance Concrete Bridge Girders. Ph.D. Thesis, Georgia Institute of Technology, Atlanta, GA, USA, 2010. [Google Scholar]
- Ye, G. Study on the Anti-Shear Behavior of Bond-Interface Between New and Old Concrete. Ph.D. Thesis, Chongqing University, Chongqing, China, 2011. [Google Scholar]
- Santos, P.M.; Júlio, E.N. Interface shear transfer on composite concrete members. ACI Struct. J. 2014, 111, 113–122. [Google Scholar] [CrossRef]
- Wu, Y.F.; Hu, B. Shear strength components in reinforced concrete members. J. Struct. Eng. 2017, 143, 04017092. [Google Scholar] [CrossRef]
- ACI Committee 318; Building Code Requirements for Structural Concrete and Commentary (ACI 318-19). American Concrete Institute: Farmington Hills, MI, USA, 2019.
- Canadian Standards Association. Canadian Highway Bridge Design Code (CSA S6:19); Canadian Standards Association: Mississauga, ON, Canada, 2019. [Google Scholar]
- American Association of State Highway and Transportation Officials. AASHTO LRFD Bridge Design Specifications, 9th ed.; American Association of State Highway and Transportation Officials: Washington, DC, USA, 2020. [Google Scholar]
- Maekawa, K.; Qureshi, J. Stress transfer across interfaces in reinforced concrete due to aggregate interlock and dowel action. Doboku Gakkai Ronbunshu 1997, 1997, 159–172. [Google Scholar] [CrossRef]
- Mattock, A.H. Shear friction and high-strength concrete. Struct. J. 2001, 98, 50–59. [Google Scholar]
- Liu, J.; Huang, H.; Ma, Z.J.; Chen, J. Effect of shear reinforcement corrosion on interface shear transfer between concretes cast at different times. Eng. Struct. 2021, 232, 111872. [Google Scholar] [CrossRef]
- Xu, J.G.; Chen, S.Z.; Xu, W.J.; Shen, Z.S. Concrete-to-concrete interface shear strength prediction based on explainable extreme gradient boosting approach. Constr. Build. Mater. 2021, 308, 125088. [Google Scholar] [CrossRef]
- Salehi, H.; Burgueño, R. Emerging artificial intelligence methods in structural engineering. Eng. Struct. 2018, 171, 170–189. [Google Scholar] [CrossRef]
- Dean, J.; Monga, R. TensorFlow: Large-Scale Machine Learning on Heterogeneous Distributed Systems. TensorFlow. 2015. Available online: https://arxiv.org/abs/1603.04467 (accessed on 22 January 2025).
- Subramanian, V. Deep Learning with PyTorch: A Practical Approach to Building Neural Network Models Using PyTorch; Packt Publishing: Mumbai, India, 2018. [Google Scholar]
- Pedregosa, F.; Varoquaux, G.; Gramfort, A.; Michel, V.; Thirion, B.; Grisel, O.; Blondel, M.; Prettenhofer, P.; Weiss, R.; Dubourg, V.; et al. Scikit-learn: Machine learning in Python. J. Mach. Learn. Res. 2011, 12, 2825–2830. [Google Scholar]
- Salami, B.A.; Iqbal, M.; Abdulraheem, A.; Jalal, F.E.; Alimi, W.; Jamal, A.; Tafsirojjaman, T.; Liu, Y.; Bardhan, A. Estimating compressive strength of lightweight foamed concrete using neural, genetic and ensemble machine learning approaches. Cem. Concr. Compos. 2022, 133, 104721. [Google Scholar] [CrossRef]
- Chen, S.Z.; Feng, D.C.; Han, W.S.; Wu, G. Development of data-driven prediction model for CFRP-steel bond strength by implementing ensemble learning algorithms. Constr. Build. Mater. 2021, 303, 124470. [Google Scholar] [CrossRef]
- Bedriñana, L.A.; Sucasaca, J.; Tovar, J.; Burton, H. Design-oriented machine-learning models for predicting the shear strength of prestressed concrete beams. J. Bridge Eng. 2023, 28, 04023009. [Google Scholar] [CrossRef]
- Athanasiou, A.; Ebrahimkhanlou, A.; Zaborac, J.; Hrynyk, T.; Salamone, S. A machine learning approach based on multifractal features for crack assessment of reinforced concrete shells. Comput. -Aided Civ. Infrastruct. Eng. 2020, 35, 565–578. [Google Scholar] [CrossRef]
- Hsieh, Y.A.; Tsai, Y.J. Machine learning for crack detection: Review and model performance comparison. J. Comput. Civ. Eng. 2020, 34, 04020038. [Google Scholar] [CrossRef]
- Liu, Q.F.; Iqbal, M.F.; Yang, J.; Lu, X.Y.; Zhang, P.; Rauf, M. Prediction of chloride diffusivity in concrete using artificial neural network: Modelling and performance evaluation. Constr. Build. Mater. 2021, 268, 121082. [Google Scholar] [CrossRef]
- Jin, L.; Dong, T.; Fan, T.; Duan, J.; Yu, H.; Jiao, P.; Zhang, W. Prediction of the chloride diffusivity of recycled aggregate concrete using artificial neural network. Mater. Today Commun. 2022, 32, 104137. [Google Scholar] [CrossRef]
- Zhong, Z.; Zhao, S.; Xia, J.; Luo, Q.; Zhou, Q.; Yang, S.; He, F.; Yao, Y. Regression prediction model for shear strength of cold joint in concrete. Structures 2024, 68, 107168. [Google Scholar] [CrossRef]
- Yan, B.; Zhang, W.; Ye, Y.; Yi, W. Study on the prediction of shear capacity of new and old concrete interfaces based on explainable machine learning algorithms. Structures 2025, 71, 108065. [Google Scholar] [CrossRef]
- Sturm, A.B.; Visintin, P.; Farries, K.; Oehlers, D.J. New testing approach for extracting the shear friction material properties of ultra-high-performance fiber-reinforced concrete. J. Mater. Civ. Eng. 2018, 30, 04018235. [Google Scholar] [CrossRef]
- Hastie, T.; Tibshirani, R.; Friedman, J. The Elements of Statistical Learning, 2nd ed.; Springer: New York, NY, USA, 2009. [Google Scholar]
- Saillard, Y. Reinforced Concrete: An International Manual; Butterworths: London, UK, 1971. [Google Scholar]
- Chen, T.; Guestrin, C. XGBoost: A scalable tree boosting system. In Proceedings of the 22nd ACM SIGKDD International Conference on Knowledge Discovery and Data Mining, San Francisco, CA, USA, 13–17 August 2016; pp. 785–794. [Google Scholar]
- Breiman, L. Random forests. Mach. Learn. 2001, 45, 5–32. [Google Scholar] [CrossRef]
- Guo, L.; Chehata, N.; Mallet, C.; Boukir, S. Relevance of airborne lidar and multispectral image data for urban scene classification using Random Forests. ISPRS J. Photogramm. Remote Sens. 2011, 66, 56–66. [Google Scholar] [CrossRef]
- Rodriguez-Galiano, V.F.; Sanchez-Castillo, M.; Chica-Olmo, M.; Chica-Rivas, M. Machine learning predictive models for mineral prospectivity: An evaluation of neural networks, random forest, regression trees and support vector machines. Ore Geol. Rev. 2015, 71, 804–818. [Google Scholar] [CrossRef]
- Biau, G.; Scornet, E. A random forest guided tour. Test 2016, 25, 197–227. [Google Scholar] [CrossRef]
- Murphy, K.P. Machine Learning: A Probabilistic Perspective; MIT Press: Cambridge, MA, USA, 2012. [Google Scholar]
- Yuvaraj, P.; Murthy, A.R.; Iyer, N.R.; Sekar, S.K.; Samui, P. Support vector regression based models to predict fracture characteristics of high strength and ultra high strength concrete beams. Eng. Fract. Mech. 2013, 98, 29–43. [Google Scholar] [CrossRef]
- Yan, K.; Shi, C. Prediction of elastic modulus of normal and high strength concrete by support vector machine. Constr. Build. Mater. 2010, 24, 1479–1485. [Google Scholar] [CrossRef]
- Golafshani, E.M.; Ashour, A. A feasibility study of BBP for predicting shear capacity of FRP reinforced concrete beams without stirrups. Adv. Eng. Softw. 2016, 97, 29–39. [Google Scholar] [CrossRef]
- Hariharan, S.; Velicheti, A.; Anagha, A.S.; Thomas, C.; Balakrishnan, N. Explainable artificial intelligence in cybersecurity: A brief review. In Proceedings of the 2021 4th International Conference on Security and Privacy (ISEA-ISAP), Dhanbad, India, 27–30 October, 2021; IEEE: New York, NY, USA, 2021; pp. 1–12. [Google Scholar]
- Dwivedi, R.; Dave, D.; Naik, H.; Singhal, S.; Omer, R.; Patel, P.; Qian, B.; Wen, Z.; Shah, T.; Morgan, G.; et al. Explainable AI (XAI): Core ideas, techniques, and solutions. ACM Comput. Surv. 2023, 55, 194. [Google Scholar] [CrossRef]
- Lundberg, S.M.; Lee, S.I. A unified approach to interpreting model predictions. In Proceedings of the Advances in Neural Information Processing, Long Beach, CA, USA, 4–9 December 2017; Volume 30, pp. 4765–4774. [Google Scholar]
- Lundberg, S.M.; Erion, G.G.; Lee, S.I. Consistent individualized feature attribution for tree ensembles. arXiv 2018, arXiv:1802.03888. [Google Scholar]
- Xiao, J.; Sun, C.; Lange, D.A. Effect of joint interface conditions on shear transfer behavior of recycled aggregate concrete. Constr. Build. Mater. 2016, 105, 343–355. [Google Scholar] [CrossRef]
- Kahn, L.F.; Mitchell, A.D. Shear friction tests with high-strength concrete. Struct. J. 2002, 99, 98–103. [Google Scholar]
- Mattock, A.H. Shear Transfer Under Monotonic Loading Across an Interface Between Concretes Cast at Different Times; Report No. SM 76-3; University of Washington: Washington, DC, USA, 1976. [Google Scholar]
- Shaw, D.M.; Sneed, L.H. Interface shear transfer of lightweight-aggregate concretes cast at different times. PCI J. 2014, 59, 130–144. [Google Scholar] [CrossRef]
- Liu, J.; Bu, Y.; Chen, J.; Wang, Q. Contribution of shear reinforcements and concrete to the shear capacity of interfaces between concretes cast at different times. KSCE J. Civ. Eng. 2021, 25, 2065–2077. [Google Scholar] [CrossRef]
- Barbosa, A.R.; Trejo, D.; Nielson, D. Effect of high-strength reinforcement steel on shear friction behavior. J. Bridge Eng. 2017, 22, 04017038. [Google Scholar] [CrossRef]
- Harries, K.A.; Zeno, G.; Shahrooz, B. Toward an improved understanding of shear-friction behavior. ACI Struct. J. 2012, 109, 835–844. [Google Scholar] [CrossRef]
- Semendary, A.A.; Hamid, W.K.; Steinberg, E.P.; Khoury, I. Shear friction performance between high strength concrete (HSC) and ultra high-performance concrete (UHPC) for bridge connection applications. Eng. Struct. 2020, 205, 110122. [Google Scholar] [CrossRef]
- Xia, J.; Shan, K.Y.; Wu, X.H.; Gan, R.L.; Jin, W.L. Shear-friction behavior of concrete-to-concrete interface under direct shear load. Eng. Struct. 2021, 238, 112211. [Google Scholar] [CrossRef]
- Hanson, N.W. Precast-Prestressed Concrete Bridges 2: Horizontal Shear Connections; Portland Cement Association: Washington, DC, USA, 1960. [Google Scholar]
- Hu, T.M.; Huang, C.K.; Chen, X.F. Experimental research on shear of bonding interface between young and old concrete influenced by constructional reinforcement. Concrete 2009, 3, 26–28. [Google Scholar]
- Jiang, H.; Fang, Z.; Liu, A.; Li, Y.; Feng, J. Interface shear behavior between high-strength precast girders and lightweight cast-in-place slabs. Constr. Build. Mater. 2016, 128, 449–460. [Google Scholar] [CrossRef]
- Jiang, H.; Fang, Z.; Ma, Z.J.; Fang, X.; Jiang, Z. Shear-friction behavior of groove interface in concrete bridge rehabilitation. J. Bridge Eng. 2016, 21, 04016081. [Google Scholar] [CrossRef]
- Xing, Q. Research on Connection Methods and Mechanical Behavior of Old-New Concrete Interfaces. Master’s Thesis, Xi’an University of Science and Technology, Xi’an, China, 2012. [Google Scholar]
- Liu, J.; Chen, Z.; Guan, D.; Lin, Z.; Guo, Z. Experimental study on interfacial shear behaviour between ultra-high performance concrete and normal strength concrete in precast composite members. Constr. Build. Mater. 2020, 261, 120008. [Google Scholar] [CrossRef]
- Du, W.; Yang, C.; De Backer, H.; Li, C.; Ming, K.; Zhang, H.; Pan, Y. Experimental investigation on shear behavior of the interface between early-strength self-compacting shrinkage-compensating high-performance concrete and ordinary concrete substrate. Materials 2022, 15, 4939. [Google Scholar] [CrossRef]












| Variable | Range | Mean | Median |
|---|---|---|---|
| (15.68, 200) | 58.06 | 40.42 | |
| (15.68, 200) | 46.21 | 37.7 | |
| (0, 0.0314) | 0.00665 | 0.00502 | |
| (0, 965) | 395.17 | 440.2 | |
| (0, 16) | 8.89 | 9.5 | |
| (0, 10) | 3.86 | 4.0 | |
| Interface | 0, 1 | 0.60 | 1.0 |
| B | (100, 610) | 194.72 | 184.0 |
| H | (150, 610) | 292.18 | 300.0 |
| (0.62, 17.59) | 4.31 | 3.72 |
| 1. A training dataset with a weight distribution of is used to obtain the weak classifier . |
| 2. The classification error rate of on the training dataset is calculated as follows: |
| 3. The weight of in the strong classifier is calculated as follows: |
| 4. The weight distribution of the training dataset is as follows: where zm is a normalization factor that ensures the sum of the sample probabilities equals 1. |
| Model | Phase | R2 | RMSE | MAE | MAPE |
|---|---|---|---|---|---|
| AdaBoost | Training | 0.897 | 0.834 | 0.685 | 0.260 |
| Testing | 0.801 | 1.140 | 0.890 | 0.321 | |
| XGBoost | Training | 0.984 | 0.325 | 0.186 | 0.051 |
| Testing | 0.933 | 0.663 | 0.486 | 0.129 | |
| RF | Training | 0.898 | 0.829 | 0.581 | 0.183 |
| Testing | 0.829 | 1.057 | 0.780 | 0.269 | |
| SVR | Training | 0.966 | 0.475 | 0.250 | 0.065 |
| Testing | 0.927 | 0.688 | 0.453 | 0.126 |
| Model | Phase | R2 | RMSE | MAE | MAPE | Total Score | Final Score |
|---|---|---|---|---|---|---|---|
| XGBoost | Train | 4 | 4 | 4 | 3 | 15 | 31 |
| Test | 4 | 4 | 4 | 4 | 16 | ||
| RF | Train | 2 | 1 | 2 | 2 | 7 | 17 |
| Test | 3 | 3 | 2 | 2 | 10 | ||
| AdaBoost | Train | 2 | 2 | 1 | 1 | 6 | 12 |
| Test | 2 | 2 | 1 | 1 | 6 | ||
| SVR | Train | 3 | 3 | 3 | 4 | 13 | 21 |
| Test | 1 | 1 | 3 | 3 | 8 |
| Code | Design Equations | Limitations | Parameter | Smooth Interface | Roughened Interface |
|---|---|---|---|---|---|
| ACI | 0.60 | 1.0 | |||
| 0.20 | 0.20 | ||||
| 5.52 | 11.03 | ||||
| ASSHTO | 0.52 | 1.65 | |||
| 0.60 | 1.0 | ||||
| 0.20 | 0.25 | ||||
| 5.52 | 10.34 | ||||
| CSA | 0.25 | 0.5 | |||
| 0.6 | 1.0 |
| Model | R2 | RMSE | MAE | MAPE (%) | COV | Mean Ratio |
|---|---|---|---|---|---|---|
| ACI | 0.895 | 2.869 | 2.300 | 54.827 | 0.436 | - |
| AASHTO | 0.939 | 2.057 | 1.402 | 32.235 | 0.384 | 1.514 |
| CSA | 0.924 | 2.553 | 1.950 | 45.312 | 0.610 | 2.255 |
| XGBoost | 0.933 | 0.663 | 0.486 | 12.937 | 0.176 | 1.054 |
Disclaimer/Publisher’s Note: The statements, opinions and data contained in all publications are solely those of the individual author(s) and contributor(s) and not of MDPI and/or the editor(s). MDPI and/or the editor(s) disclaim responsibility for any injury to people or property resulting from any ideas, methods, instructions or products referred to in the content. |
© 2025 by the authors. Licensee MDPI, Basel, Switzerland. This article is an open access article distributed under the terms and conditions of the Creative Commons Attribution (CC BY) license (https://creativecommons.org/licenses/by/4.0/).
Share and Cite
Wu, Y.; Xu, W.; Chen, J.; Liu, J.; Wu, F. Prediction of the Shear Strengths of New–Old Interfaces of Concrete Based on Data-Driven Methods Through Machine Learning. Buildings 2025, 15, 3137. https://doi.org/10.3390/buildings15173137
Wu Y, Xu W, Chen J, Liu J, Wu F. Prediction of the Shear Strengths of New–Old Interfaces of Concrete Based on Data-Driven Methods Through Machine Learning. Buildings. 2025; 15(17):3137. https://doi.org/10.3390/buildings15173137
Chicago/Turabian StyleWu, Yongqian, Wantao Xu, Juanjuan Chen, Jie Liu, and Fangwen Wu. 2025. "Prediction of the Shear Strengths of New–Old Interfaces of Concrete Based on Data-Driven Methods Through Machine Learning" Buildings 15, no. 17: 3137. https://doi.org/10.3390/buildings15173137
APA StyleWu, Y., Xu, W., Chen, J., Liu, J., & Wu, F. (2025). Prediction of the Shear Strengths of New–Old Interfaces of Concrete Based on Data-Driven Methods Through Machine Learning. Buildings, 15(17), 3137. https://doi.org/10.3390/buildings15173137

