Multi-Objective Optimization Design Based on Prototype High-Rise Office Buildings: A Case Study in Shandong, China
Abstract
1. Introduction
1.1. Background of the Study
1.2. Related Work
1.3. Aims and Originality
- This study first defines representative design parameter ranges for high-rise office buildings through actual project surveys and statistical analysis. Parametric prototype building models are then developed to reflect the practical design space, providing a scientific foundation for subsequent performance simulation and optimization efforts. These models and datasets are designed to be reusable for future research and practical applications.
- Large-scale datasets are generated through building performance simulations, and stacking ensemble learning is employed to construct multi-performance prediction models. These models are integrated with the NSGA-III algorithm to achieve multi-objective optimization of energy consumption, daylighting, and thermal comfort in the early design stages.
- Using high-rise buildings in Shandong Province as a case study, optimized parameter ranges are extracted from the Pareto front (the set of non-dominated solutions that represents the optimal trade-offs among conflicting objectives) [37], and design recommendations are proposed. This provides localized guidance for performance optimization in cold climates, supporting informed decision-making for early-stage high-rise office building design.
2. Methods
2.1. Overview of the Workflow
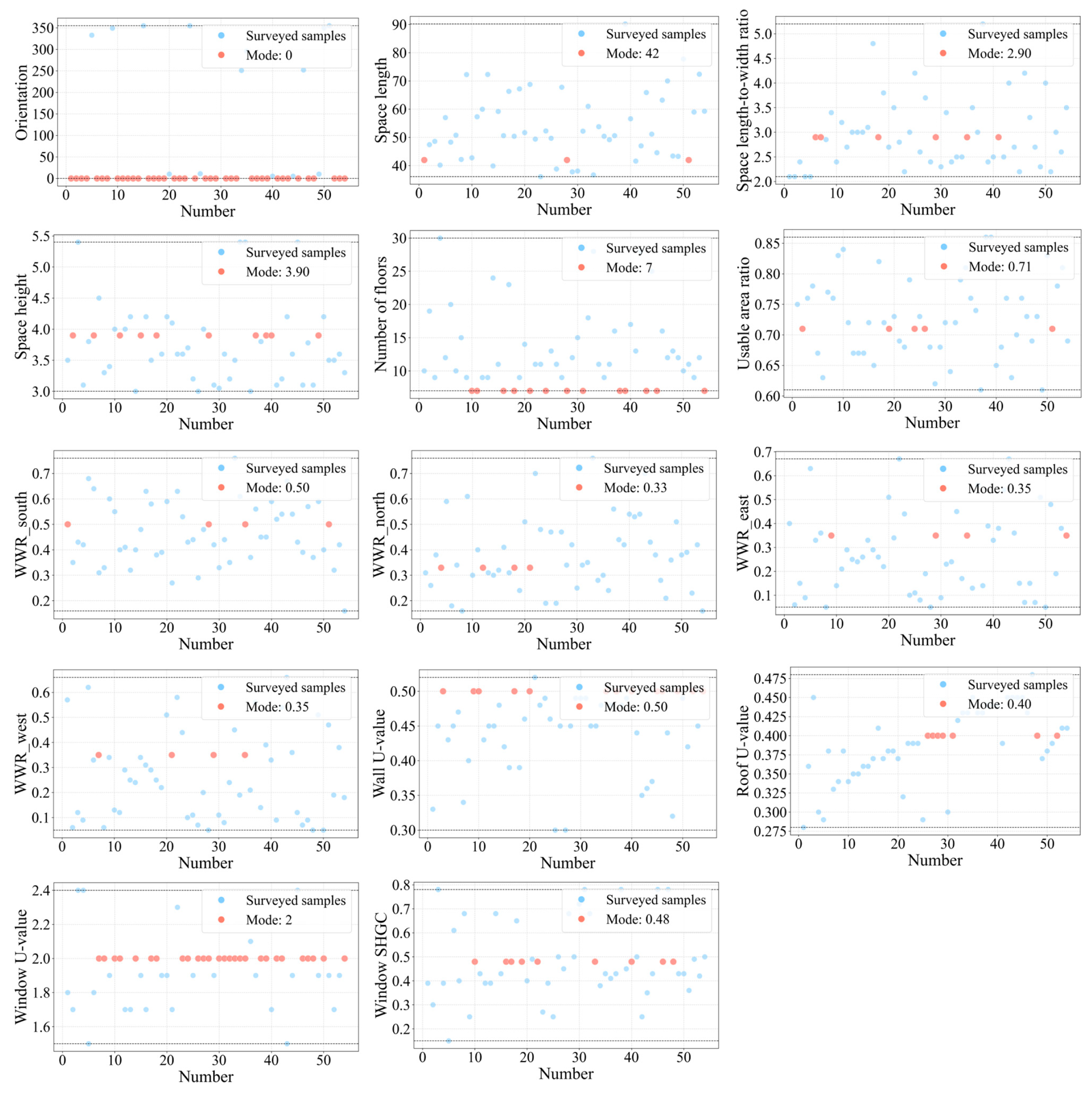
2.2. Investigation and Definition of Design Parameter Ranges
2.3. Building Performance Simulation Indicators and Dataset Generation
2.4. Machine Learning Prediction Model Development and Evaluation
2.4.1. Stacking Ensemble Learning Method
2.4.2. Explaining the Model Using SHAP Values
2.5. Multi-Objective Optimization
2.6. Entropy-TOPSIS Method
- Ⅰ.
- Determining indicator weights using the entropy weighting method
- Ⅱ.
- Calculating the coefficient of variation
- Ⅲ.
- Optimal solution selection using the TOPSIS method
3. Application
3.1. Research Scope and Survey Targets
3.2. Survey Results and Statistical Analysis of Design Parameters
3.3. Parametric Prototype Building Model Design Parameter Settings
3.4. Building Performance Model Setup
3.5. Model Validation
4. Results
4.1. Analysis of the BPS Dataset
4.2. Training and Evaluation of the Stacking Ensemble Learning Model
4.3. SHAP Value Interpretation Results
4.4. Multi-Objective Optimization Results
4.4.1. Pareto-Front Solution Set and Optimization Design Range
4.4.2. Optimal Solutions Based on the Entropy-Weighted TOPSIS Method
5. Discussion
5.1. Research Contributions and Design Implications
5.2. Limitations and Future Work
6. Conclusions
- Based on on-site surveys and design drawing analyses of high-rise office buildings in Shandong Province, in this study, key design parameters were systematically collected and analyzed to develop parametric prototype building models that met regional design practice needs. The model clearly defined reasonable value ranges for key parameters such as building geometric features, envelope design, and envelope thermal performance, and it provided supporting information and data in the Supplementary Materials to offer a reusable data foundation for other researchers in building design optimization studies.
- The stacking ensemble learning model outperformed individual models in predicting multiple performance indicators, achieving improvements in R2 ranging from 0.5% to 16.1%, reductions in MSE between 4.4% and 70.6%, and decreases in MAE from 2.8% to 45.8%.
- SHAP interpretability analysis identified space length, aspect ratio, and standard floor usable area ratio as primary factors affecting energy use and daylighting comfort, while window U-value and SHGC were found to be the most influential on thermal comfort, parameters that should be prioritized in design considerations.
- Compared to baseline buildings, the optimized point-type high-rise office building solutions achieved EUI reductions of 7.06–11.81%, UDI improvements of 40.16–50.32% and maintained thermal comfort within acceptable limits. For slab-type buildings, EUI decreased by 3.79–5.85%, UDI improved by 44.63–49.21%, and thermal comfort indicators remained within a reasonable range.
- By analyzing the distribution of design variable parameters in the Pareto front solution set, reasonable optimized parameter range characteristics for point-type and slab-type high-rise office buildings were identified in this study. Based on the entropy-weighted TOPSIS method, the solutions were comprehensively ranked and selected, providing recommendations for a practical parameter range and optimized solutions to achieve multi-objective performance balance in the early design stage.
Supplementary Materials
Author Contributions
Funding
Data Availability Statement
Conflicts of Interest
Abbreviations
| EUI | Energy use intensity |
| UDI | Useful daylight illuminance |
| PMV | Predicted mean vote |
| U-value | Thermal transmittance |
| SHGC | Solar heat gain coefficient |
| WWR | Window-to-wall ratio |
| BPS | Building performance simulation |
| GA | Genetic algorithms |
| NSGA-II | Non-dominated sorting genetic algorithm II |
| NSGA-III | Non-dominated sorting genetic algorithm III |
| ML | Machine learning |
| DSE | Design space exploration |
| SHAP | Shapley Additive Explanation |
| LightGBM | Light gradient boosting model |
| XGBoost | eXtreme Gradient Boosting |
| RF | Random forest |
| CatBoost | Categorical boosting |
| MLP | Multilayer perceptron |
| R2 | Coefficient of determination |
| MSE | Mean squared error |
| MAE | Mean absolute error |
| LHS | Latin hypercube sampling |
References
- National Bureau of Statistics of China. China Statistical Yearbook. Available online: http://www.stats.gov.cn/sj/ndsj/ (accessed on 16 February 2025).
- Mostafavi, F.; Tahsildoost, M.; Zomorodian, Z. Energy efficiency and carbon emission in high-rise buildings: A review (2005–2020). Build. Environ. 2021, 206, 108329. [Google Scholar] [CrossRef]
- China Building Energy Conservation Association. Research Report on Carbon Emissions in China’s Urban and Rural Construction Sector (2024 Edition); China Building Energy Conservation Association: Beijing, China, 2025; Available online: https://www.cabee.org/site/content/25289.html (accessed on 1 March 2025).
- Anand, P.; Deb, C.; Yan, K.; Yang, J.; Cheong, D.; Sekhar, C. Occupancy-based energy consumption modelling using machine learning algorithms for institutional buildings. Energy Build. 2021, 252, 111478. [Google Scholar] [CrossRef]
- Steadman, P. High-Rise Building Much More Energy Intensive than Low-Rise. Available online: https://phys.org/news/2017-06-high-rise-energy-intensive-low-rise.html (accessed on 22 March 2025).
- Douglas, I.P.; Murnane, E.L.; Bencharit, L.Z.; Altaf, B.; Costa, J.M.d.R.; Yang, J.; Ackerson, M.; Srivastava, C.; Cooper, M.; Douglas, K.; et al. Physical workplaces and human well-being: A mixed-methods study to quantify the effects of materials, windows, and representation on biobehavioral outcomes. Build. Environ. 2022, 224, 109516. [Google Scholar] [CrossRef]
- Pezeshki, Z.; Soleimani, A.; Darabi, A. Application of BEM and using BIM database for BEM: A review. J. Build. Eng. 2019, 23, 1–17. [Google Scholar] [CrossRef]
- Kheiri, F. A review on optimization methods applied in energy-efficient building geometry and envelope design. Renew. Sustain. Energy Rev. 2018, 92, 897–920. [Google Scholar] [CrossRef]
- Zhang, R.; Xu, X.; Zhai, P.; Liu, K.; Kong, L.; Wang, W. Agile and integrated workflow proposal for optimising energy use, solar and wind energy potential, and structural stability of high-rise buildings in early design decisions. Energy Build. 2023, 300, 113692. [Google Scholar] [CrossRef]
- Bracht, M.K.; Melo, A.P.; Lamberts, R. A metamodel for building information modeling-building energy modeling integration in early design stage. Autom. Constr. 2021, 121, 103422. [Google Scholar] [CrossRef]
- Lin, B.; Chen, H.; Liu, Y.; He, Q.; Li, Z. A preference-based multi-objective building performance optimization method for early design stage. Build. Simul. 2020, 14, 477–494. [Google Scholar] [CrossRef]
- Zhang, H.; Cui, Y.; Cai, H.; Chen, Z. Optimization and prediction of office building shading devices for energy, daylight, and view consideration using genetic and BO-LGBM algorithms. Energy Build. 2024, 324, 114939. [Google Scholar] [CrossRef]
- Giouri, E.D.; Tenpierik, M.; Turrin, M. Zero energy potential of a high-rise office building in a Mediterranean climate: Using multi-objective optimization to understand the impact of design decisions towards zero-energy high-rise buildings. Energy Build. 2020, 209, 109666. [Google Scholar] [CrossRef]
- Verma, S.; Pant, M.; Snasel, V. A Comprehensive Review on NSGA-II for Multi-Objective Combinatorial Optimization Problems. IEEE Access 2021, 9, 57757–57791. [Google Scholar] [CrossRef]
- Talaei, M.; Mahdavinejad, M.; Azari, R.; Prieto, A.; Sangin, H. Multi-objective optimization of building-integrated microalgae photobioreactors for energy and daylighting performance. J. Build. Eng. 2021, 42, 102832. [Google Scholar] [CrossRef]
- Luo, Z.; Lu, Y.; Cang, Y.; Yang, L. Study on dual-objective optimization method of life cycle energy consumption and economy of office building based on HypE genetic algorithm. Energy Build. 2022, 256, 111749. [Google Scholar] [CrossRef]
- Baghoolizadeh, M.; Rostamzadeh-Renani, M.; Rostamzadeh-Renani, R.; Toghraie, D. Multi-objective optimization of Venetian blinds in office buildings to reduce electricity consumption and improve visual and thermal comfort by NSGA-II. Energy Build. 2023, 278, 112639. [Google Scholar] [CrossRef]
- Guo, R.; Min, Y.; Gao, Y.; Chen, X.; Shi, H.; Liu, C.; Zhuang, C. Unlocking energy and economic benefits of integrated green envelopes in office building retrofits. Build. Environ. 2024, 261, 111747. [Google Scholar] [CrossRef]
- Ao, J.; Du, C.; Bellamy, L.; Li, B. Integration of thermal-daylighting climate subzones and energy efficiency design optimization for office buildings. J. Build. Eng. 2025, 99, 111669. [Google Scholar] [CrossRef]
- Kangazian, A. Multi-objective optimization of horizontal louver systems with flat, single-curvature, and double-curvature profiles to enhance daylighting, glare control, and energy consumption in office buildings. Solar Energy 2025, 285, 113135. [Google Scholar] [CrossRef]
- Aeinfar, S.; Serteser, N. Parametric study of energy optimization and airflow management in high-rise buildings with double-skin façade using a genetic algorithm and CFD. J. Build. Eng. 2025, 105, 112441. [Google Scholar] [CrossRef]
- liu, P.; Hussein, A.A.; Alizadeh, A.a.; Baghoolizadeh, M.; Yan, G.; Zargari pour, M.; Alkhalifah, T. Multi-objective optimization of office building envelopes properties and Venetian blinds using NSGA-II to save energy consumption and enhance thermal and visual comfort. Case Stud. Therm. Eng. 2024, 64, 105484. [Google Scholar] [CrossRef]
- Long, X.; Jin, Q.; Yu, Z. Multi-objective optimization of PCM-integrated thermochromic glazing to enhance the thermal and daylighting performance. Appl. Therm. Eng. 2025, 266, 125661. [Google Scholar] [CrossRef]
- Luo, D.; Xie, J.; Wu, J.; Liu, J.; Wu, H.; Huang, J. Energy performance and optimization of PV vacuum glazing for high-rise office buildings integrating energy storage with time-of-use arranged grid output management. Renew. Energy 2025, 254, 123677. [Google Scholar] [CrossRef]
- Lu, S.; Luo, Y.; Gao, W.; Lin, B. Supporting early-stage design decisions with building performance optimisation: Findings from a design experiment. J. Build. Eng. 2024, 82, 108298. [Google Scholar] [CrossRef]
- Al Mindeel, T.; Spentzou, E.; Eftekhari, M. Energy, thermal comfort, and indoor air quality: Multi-objective optimization review. Renew. Sustain. Energy Rev. 2024, 202, 114682. [Google Scholar] [CrossRef]
- Lin, C.-H.; Tsay, Y.-S. A metamodel based on intermediary features for daylight performance prediction of façade design. Build. Environ. 2021, 206, 108371. [Google Scholar] [CrossRef]
- Yan, H.; Yan, K.; Ji, G. Optimization and prediction in the early design stage of office buildings using genetic and XGBoost algorithms. Build. Environ. 2022, 218, 109081. [Google Scholar] [CrossRef]
- Chen, T.; Guestrin, C. XGBoost. In Proceedings of the 22nd ACM SIGKDD International Conference on Knowledge Discovery and Data Mining, San Francisco, CA, USA, 13–17 August 2016; pp. 785–794. [Google Scholar]
- Gao, W.; Huang, X.; Lin, M.; Jia, J.; Tian, Z. Short-Term Cooling Load Prediction for Office Buildings Based on Feature Selection Scheme and Stacking Ensemble Model. Eng. Comput. 2022, 39, 2003–2029. [Google Scholar] [CrossRef]
- Nguyen, N.-M.; Cao, M.-T. Energy use intensity analysis of office buildings using green BIM-integrated Interpretable machine learning. J. Build. Eng. 2025, 108, 112760. [Google Scholar] [CrossRef]
- Yang, H.; Xu, Z.; Shi, Y.; Tang, W.; Liu, C.; Yunusa-Kaltungo, A.; Cui, H. Multi-objective optimization designs of phase change material-enhanced building using the integration of the Stacking model and NSGA-III algorithm. J. Energy Storage 2023, 68, 107807. [Google Scholar] [CrossRef]
- Shen, Y.; Hu, Y.; Cheng, K.; Yan, H.; Cai, K.; Hua, J.; Fei, X.; Wang, Q. Utilizing interpretable stacking ensemble learning and NSGA-III for the prediction and optimisation of building photo-thermal environment and energy consumption. Build. Simul. 2024, 17, 819–838. [Google Scholar] [CrossRef]
- Zheng, Z.; Xiao, J.; Yang, Y.; Xu, F.; Zhou, J.; Liu, H. Optimization of exterior wall insulation in office buildings based on wall orientation: Economic, energy and carbon saving potential in China. Energy 2024, 290, 130300. [Google Scholar] [CrossRef]
- TRNSYS. Transient System Simulation Tool, Version 18. Available online: https://www.trnsys.com/ (accessed on 17 August 2025).
- Kang, Y.; Cui, Y.; Zhang, D.; Xu, W.; Pang, F.; Lu, S.; Wu, J.; Zhao, Y.; Mao, R. Comprehensive photovoltaic system in roofs, opaque walls, and windows toward zero-energy buildings utilizing multi-objective optimization. J. Build. Eng. 2025, 104, 112320. [Google Scholar] [CrossRef]
- Messac, A.; Ismail-Yahaya, A.; Mattson, C.A. The normalized normal constraint method for generating the Pareto frontier. Struct. Multidiscip. Optim. 2003, 25, 86–98. [Google Scholar] [CrossRef]
- Aguilar-Carrasco, M.T.; Díaz-Borrego, J.; Acosta, I.; Campano, M.Á.; Domínguez-Amarillo, S. Validation of lighting parametric workflow tools of Ladybug and Solemma using CIE test cases. J. Build. Eng. 2023, 64, 105608. [Google Scholar] [CrossRef]
- Deng, H.; Fannon, D.; Eckelman, M.J. Predictive modeling for US commercial building energy use: A comparison of existing statistical and machine learning algorithms using CBECS microdata. Energy Build. 2018, 163, 34–43. [Google Scholar] [CrossRef]
- David, M.; Donn, M.; Garde, F.; Lenoir, A. Assessment of the thermal and visual efficiency of solar shades. Build. Environ. 2011, 46, 1489–1496. [Google Scholar] [CrossRef]
- GB 50033-2013; Standard for Daylighting Design of Buildings. China Architecture & Building Press: Beijing, China, 2013.
- Sun, Y.; Liu, D.; Flor, J.-F.; Shank, K.; Baig, H.; Wilson, R.; Liu, H.; Sundaram, S.; Mallick, T.K.; Wu, Y. Analysis of the daylight performance of window integrated photovoltaics systems. Renew. Energy 2020, 145, 153–163. [Google Scholar] [CrossRef]
- Zhang, S.; He, W.; Chen, D.; Chu, J.; Fan, H.; Duan, X. Thermal comfort analysis based on PMV/PPD in cabins of manned submersibles. Build. Environ. 2019, 148, 668–676. [Google Scholar] [CrossRef]
- Fanger, P.O. Thermal Comfort; Danish Technical Press: Copenhagen, Denmark, 1970. [Google Scholar]
- Biswas, B.K.; Ishii, K.; Watanabe, Y.; Li, J.; Tan, Y.; Dempoya, A.; Lee, S.-I.; Iwamura, T.; Konoshita, S.; Wakabayashi, H. Predicting individual variability in thermal sensation, PMV predictions, and local skin temperature differences using infrared thermography. Build. Environ. 2025, 269, 112477. [Google Scholar] [CrossRef]
- McKay, M.D.; Beckman, R.J.; Conover, W.J. A Comparison of Three Methods for Selecting Values of Input Variables in the Analysis of Output from a Computer Code. Technometrics 2000, 42, 55–61. [Google Scholar] [CrossRef]
- Digital Structures at MIT. Design Space Exploration (DSE): A Suite of Open-Source Grasshopper Tools. Available online: https://www.food4rhino.com/en/app/design-space-exploration (accessed on 25 March 2025).
- Zhou, Z.-H. Ensemble Methods: Foundations and Algorithms; CRC Press: Boca Raton, FL, USA, 2012. [Google Scholar]
- Wolpert, D.H. Stacked Generalization. Neural Netw. 1992, 5, 241–259. [Google Scholar] [CrossRef]
- Hancock, J.T.; Khoshgoftaar, T.M. CatBoost for big data: An interdisciplinary review. J. Big Data 2020, 7, 94. [Google Scholar] [CrossRef] [PubMed]
- Geyer, P.; Singaravel, S. Component-based machine learning for performance prediction in building design. Appl. Energy 2018, 228, 1439–1453. [Google Scholar] [CrossRef]
- Sun, X.; Liu, M.; Sima, Z. A Novel Cryptocurrency Price Trend Forecasting Model Based on LightGBM. Financ. Res. Lett. 2020, 32, 101084. [Google Scholar] [CrossRef]
- Fan, J.; Wang, X.; Wu, L.; Zhou, H.; Zhang, F.; Yu, X.; Lu, X.; Xiang, Y. Comparison of Support Vector Machine and Extreme Gradient Boosting for predicting daily global solar radiation using temperature and precipitation in humid subtropical climates: A case study in China. Energy Convers. Manag. 2018, 164, 102–111. [Google Scholar] [CrossRef]
- Breiman, L. Random Forests. Mach. Learn. 2001, 45, 5–32. [Google Scholar] [CrossRef]
- Yao, L.; Cai, M.; Chen, Y.; Shen, C.; Shi, L.; Guo, Y. Prediction of antiepileptic drug treatment outcomes of patients with newly diagnosed epilepsy by machine learning. Epilepsy Behav. 2019, 96, 92–97. [Google Scholar] [CrossRef]
- Chen, Z.; Cui, Y.; Zheng, H.; Ning, Q. Optimization and prediction of energy consumption, light and thermal comfort in teaching building atriums using NSGA-II and machine learning. J. Build. Eng. 2024, 86, 108687. [Google Scholar] [CrossRef]
- Etemad, A.; Shafaat, A.; Bahman, A.M. Data-Driven Performance Analysis of a Residential Building Applying Artificial Neural Network (ANN) and Multi-Objective Genetic Algorithm (GA). Build. Environ. 2022, 225, 109633. [Google Scholar] [CrossRef]
- Barbiero, P.; Squillero, G.; Tonda, A. Modeling Generalization in Machine Learning: A Methodological and Computational Study. arXiv 2020, arXiv:2006.15680. [Google Scholar]
- Han, Y.; Shen, L.; Sun, C. Developing a parametric morphable annual daylight prediction model with improved generalization capability for the early stages of office building design. Build. Environ. 2021, 200, 107932. [Google Scholar] [CrossRef]
- Yan, H.; Ji, G.; Yan, K. Data-driven prediction and optimization of residential building performance in Singapore considering the impact of climate change. Build. Environ. 2022, 226, 109735. [Google Scholar] [CrossRef]
- Liu, Q.; Chen, Y.; Liu, Y.; Lei, Y.; Wang, Y.; Hu, P. A review and guide on selecting and optimizing machine learning algorithms for daylight prediction. Build. Environ. 2023, 244, 110822. [Google Scholar] [CrossRef]
- Han, Z.; Liu, G.; Zhang, L.; Li, X.; Yuan, Y. Developing a dual-modal surrogate model training framework for building performance prediction in early design stage. Energy Build. 2025, 329, 115307. [Google Scholar] [CrossRef]
- Zheng, G.; Zhang, Y.; Yue, X.; Li, K. Interpretable prediction of thermal sensation for elderly people based on data sampling, machine learning and SHapley Additive exPlanations (SHAP). Build. Environ. 2023, 242, 110602. [Google Scholar] [CrossRef]
- Ye, M.; Li, L.; Yoo, D.-Y.; Li, H.; Zhou, C.; Shao, X. Prediction of shear strength in UHPC beams using machine learning-based models and SHAP interpretation. Constr. Build. Mater. 2023, 408, 133752. [Google Scholar] [CrossRef]
- Katoch, S.; Chauhan, S.S.; Kumar, V. A Review on Genetic Algorithm: Past, Present, and Future. Multimed. Tools Appl. 2021, 80, 8091–8126. [Google Scholar] [CrossRef]
- Deb, K.; Jain, H. An Evolutionary Many-Objective Optimization Algorithm Using Reference-Point-Based Nondominated Sorting Approach, Part I: Solving Problems with Box Constraints. IEEE Trans. Evol. Comput. 2013, 18, 577–601. [Google Scholar] [CrossRef]
- Razmi, A.; Rahbar, M.; Bemanian, M. PCA-ANN integrated NSGA-III framework for dormitory building design optimization: Energy efficiency, daylight, and thermal comfort. Appl. Energy 2022, 305, 117828. [Google Scholar] [CrossRef]
- Rosso, F.; Ciancio, V.; Dell’Olmo, J.; Salata, F. Multi-objective optimization of building retrofit in the Mediterranean climate by means of genetic algorithm application. Energy Build. 2020, 216, 109945. [Google Scholar] [CrossRef]
- Yu, S.; An, Y.; Shi, C.; Wang, A. Multi-objective hierarchical strategy for university dorm renovation in severe cold areas. J. Build. Eng. 2024, 91, 109660. [Google Scholar] [CrossRef]
- Chen, Z.; Cui, Y.; Song, D.; Zheng, H.; Ding, X.; Yang, H. Data-driven Approach of Academic Building-integrated Photovoltaic System Based on Carbon Emission, Energy Payback Time and Comfort: Considering Climate Change. Build. Environ. 2025, 270, 112489. [Google Scholar] [CrossRef]
- GB 50352-2019; Standard for Unified Design of Civil Buildings. China Architecture & Building Press: Beijing, China, 2019.
- GB 50016-2014; Code of Design on Building Fire Protection and Prevention. China Architecture & Building Press: Beijing, China, 2014.
- GB 55015-2021; General Code for Energy Efficiency and Utilization of Renewable Energy in Buildings. China Architecture & Building Press: Beijing, China, 2021.
- GB/T 50785-2012; Evaluation Standard for Indoor Thermal and Humidity Environment of Civil Buildings. China Architecture & Building Press: Beijing, China, 2016.
- Chen, X.; Li, Y. Survey and Analysis of Energy Consumption in Commercial Office Buildings. Build. Energy Effic. 2016, 44, 73–75. (In Chinese) [Google Scholar]
- Zhu, X.; Liu, S.; Zhang, S.; Ye, S. Investigation on the Current Situation of Air Conditioning Systems and Analysis of Energy-Saving Renovation Potential in Office Buildings in Beijing. Archit. Technol. 2024, 55, 1693–1696. (In Chinese) [Google Scholar]
- Li, L.; Chen, Z.; Cao, Y.; Wei, Z.; Qi, Z.; Song, Y. Statistical Analysis of Energy Consumption Characteristics of Large Office Buildings. Constr. Technol. 2022, Z1, 31–35. (In Chinese) [Google Scholar]
- Liu, R.; Wang, G.; Deng, Q. Multi-objective optimization of rural residential envelopes in cold regions of China based on performance and economic efficiency. Case Stud. Therm. Eng. 2024, 61, 104937. [Google Scholar] [CrossRef]
- Foroughi, R.; Asadi, S.; Khazaeli, S. On the optimization of energy efficient fenestration for small commercial buildings in the United States. J. Clean. Prod. 2021, 283, 124604. [Google Scholar] [CrossRef]
- Xu, Y.; Zhang, G.; Yan, C.; Wang, G.; Jiang, Y.; Zhao, K. A two-stage multi-objective optimization method for envelope and energy generation systems of primary and secondary school teaching buildings in China. Build. Environ. 2021, 204, 108142. [Google Scholar] [CrossRef]















| Optimization Algorithm Settings | Values | Optimization Objectives | Benchmark |
|---|---|---|---|
| Mutation rate | 0.9 | Point block_min EUI | 66.15 kWh/m2 |
| Mutation probability | 0.2 | Point block_max UDI | 44.89% |
| Elitism | 0.5 | Point block_opt PMV | −0.327 |
| Crossover rate | 0.8 | Slab block_min EUI | 65.62 kWh/m2 |
| Population size | 100 | Slab block_max UDI | 43.20% |
| Max generation | 200 | Slab block_opt PMV | −0.117 |
| Classification | Design Parameter | Range | Baseline | Units | Supplement |
|---|---|---|---|---|---|
| Geometry | Orientation | [0, 360] a | 0 | degree | Resolution: 1 |
| Space length | [27.6, 60.3] | 30.0 | m | Resolution: 0.1 | |
| Space length-to-width ratio | [1.0, 2.0] | 1.0 | / | Resolution: 0.1 | |
| Space height | [3.0, 5.4] | 4.2 | m | Resolution: 0.1 | |
| Number of floors | [9, 43] | 20 | / | Resolution: 1 | |
| Standard floor usable area ratio | [0.60, 0.86] | 0.75 | Resolution: 0.01 | ||
| Skin | WWR_south | [0.16, 0.76] | 0.61 | / | Resolution: 0.01 |
| WWR_north | [0.16, 0.76] | 0.58 | / | Resolution: 0.01 | |
| WWR_east | [0.05, 0.75] | 0.38 | / | Resolution: 0.01 | |
| WWR_west | [0.05, 0.75] | 0.56 | / | Resolution: 0.01 | |
| Shading width | [0.1, 0.5] | / | m | Resolution: 0.1 | |
| Shading spacing | [1.2, 4.5] | / | m | Resolution: 0.1 | |
| Opaque envelope parameter | Outdoor side wall U-value | [0.30, 0.60] | 0.50 | W/(m2·K) | Resolution: 0.01 |
| Outdoor side roof U-value | [0.30, 0.55] | 0.43 | W/(m2·K) | Resolution: 0.01 | |
| Glazing parameter | Outdoor side window U-value | [1.4, 2.7] | 2.0 | W/(m2·K) | Resolution: 0.1 |
| Outdoor side window SHGC | [0.22, 0.78] | 0.35 | / | Resolution: 0.01 |
| Classification | Design Parameter | Range | Baseline | Units | Supplement |
|---|---|---|---|---|---|
| Geometry | Orientation | [0, 360] a | 0 | degree | Resolution: 1 |
| Space length | [31.6, 90.2] | 42.0 | m | Resolution: 0.1 | |
| Space length-to-width ratio | [2.1, 5.2] | 2.9 | / | Resolution: 0.1 | |
| Space height | [3.0, 5.4] | 3.9 | m | Resolution: 0.1 | |
| Number of floors | [7, 30] | 7 | / | Resolution: 1 | |
| Standard floor usable area ratio | [0.60, 0.86] | 0.71 | Resolution: 0.01 | ||
| Skin | WWR_south | [0.16, 0.76] | 0.50 | / | Resolution: 0.01 |
| WWR_north | [0.16, 0.76] | 0.33 | / | Resolution: 0.01 | |
| WWR_east | [0.05, 0.67] | 0.35 | / | Resolution: 0.01 | |
| WWR_west | [0.05, 0.67] | 0.35 | / | Resolution: 0.01 | |
| Shading width | [0.1, 0.5] | / | m | Resolution: 0.1 | |
| Shading spacing | [1.2, 4.5] | / | m | Resolution: 0.1 | |
| Opaque envelope parameter | Outdoor side wall U-value | [0.30, 0.52] | 0.50 | W/(m2·K) | Resolution: 0.01 |
| Outdoor side roof U-value | [0.28, 0.48] | 0.40 | W/(m2·K) | Resolution: 0.01 | |
| Glazing parameter | Outdoor side window U-value | [1.5, 2.4] | 2.0 | W/(m2·K) | Resolution: 0.1 |
| Outdoor side window SHGC | [0.15, 0.78] | 0.48 | / | Resolution: 0.01 |
| Zoning Parameters | PD | LD | RI | ED | FV | RTS | RTW |
|---|---|---|---|---|---|---|---|
| Office area | 0.1 P/ | 8 W/ | 450 lux | 15 W/ | 30/(h·P) | 26 | 20 |
| Auxiliary area | 0.02 P/ | 5 W/ | 150 lux | 15 W/ | / | / | / |
| Model | Hyperparameter | R2 | MSE | MAE | Grid Search Time (s) | Train Time (s) |
|---|---|---|---|---|---|---|
| CatBoost | Depth: 5, iterations: 200, learning_rate: 0.3 | 0.9421 | 2.1015 | 0.8089 | 4.3785 | 0.2148 |
| MLP | Activation: tanh, alpha: 0.05, hidden_layer_sizes: (50, 50) | 0.8151 | 6.8275 | 1.4511 | 16.6896 | 9.2089 |
| LightGBM | Learning_rate: 0.3, max_depth: 3, n_estimators: 200 | 0.9225 | 3.2133 | 0.9113 | 10.9386 | 0.0677 |
| XGBoost | Learning_rate: 0.3, max_depth: 3, n_estimators: 200 | 0.9190 | 3.2052 | 0.9115 | 1.1488 | 0.0730 |
| RF | Max_depth: None, n_estimators: 200 | 0.8459 | 4.4269 | 1.1649 | 4.7104 | 1.9994 |
| Linear regression | - | 0.8310 | 5.2444 | 1.2228 | 0.2123 | 0.0027 |
| Stacking model | - | 0.9464 | 2.0089 | 0.7862 | 0 | 9.6822 |
| Building Type | Target Values | Unit | Min EUI | Max UDI | Opt PMV | Baseline Building |
|---|---|---|---|---|---|---|
| Point block | EUI | kWh/ | 55.25 | 67.71 | 57.97 | 66.15 |
| UDI | % | 34.27 | 68.26 | 45.73 | 44.89 | |
| PMV | / | −0.376 | −0.259 | −0.008 | −0.327 | |
| Slab block | EUI | kWh/ | 55.77 | 78.82 | 66.41 | 65.62 |
| UDI | % | 33.36 | 67.62 | 65.57 | 43.20 | |
| PMV | / | −0.198 | 0.333 | 0.048 | −0.117 |
| Building Type | EUI | UDI | PMV |
|---|---|---|---|
| Point block | 16.509% | 57.658% | 25.833% |
| Slab block | 11.369% | 53.56% | 35.07% |
Disclaimer/Publisher’s Note: The statements, opinions and data contained in all publications are solely those of the individual author(s) and contributor(s) and not of MDPI and/or the editor(s). MDPI and/or the editor(s) disclaim responsibility for any injury to people or property resulting from any ideas, methods, instructions or products referred to in the content. |
© 2025 by the authors. Licensee MDPI, Basel, Switzerland. This article is an open access article distributed under the terms and conditions of the Creative Commons Attribution (CC BY) license (https://creativecommons.org/licenses/by/4.0/).
Share and Cite
Zhang, H.; Zhuang, Z. Multi-Objective Optimization Design Based on Prototype High-Rise Office Buildings: A Case Study in Shandong, China. Buildings 2025, 15, 3071. https://doi.org/10.3390/buildings15173071
Zhang H, Zhuang Z. Multi-Objective Optimization Design Based on Prototype High-Rise Office Buildings: A Case Study in Shandong, China. Buildings. 2025; 15(17):3071. https://doi.org/10.3390/buildings15173071
Chicago/Turabian StyleZhang, Hangyue, and Zhi Zhuang. 2025. "Multi-Objective Optimization Design Based on Prototype High-Rise Office Buildings: A Case Study in Shandong, China" Buildings 15, no. 17: 3071. https://doi.org/10.3390/buildings15173071
APA StyleZhang, H., & Zhuang, Z. (2025). Multi-Objective Optimization Design Based on Prototype High-Rise Office Buildings: A Case Study in Shandong, China. Buildings, 15(17), 3071. https://doi.org/10.3390/buildings15173071
